Deformations of biological tissues with photothermal nanoparticles under laser irradiation
- Authors: Kasyanenko E.M.1, Omelchenko A.I.2
-
Affiliations:
- Institute of the Photon Technologies of Federal Scientific Research Centre «Crystallography and Photonics» of RAS
- Institute of Photon Technologies of Federal Scientific Research Centre «Crystallography and Photonics» of RAS
- Issue: Vol 18, No 1 (2022)
- Pages: 21-31
- Section: New materials and technology
- URL: https://bakhtiniada.ru/1816-9228/article/view/258502
- DOI: https://doi.org/10.18822/byusu20220121-31
- ID: 258502
Cite item
Full Text
Abstract
In this work, optical coherence tomography (OCT) of gel phantoms and cartilage tissue of the joint impregnated with nanoparticles was performed under laser exposure to an erbium fiber laser with a wavelength of 1.56 μm. Multifunctional magnetite nanoparticles stabilized by starch obtained by co-precipitation of an aqueous solution of salts, and oxide bronzes KxTiO2 and NaxTiO2 are formed in the processes of self-propagating high-temperature synthesis and mechanical activation. An improvement in the efficiency of the diagnostic method by introducing antireflection additives and absorbing nanoparticles due to a decrease in the irradiation intensity and an increase in the photothermal effect is shown. OCT elastography data indicate the dependence of tissue deformation on the preliminary history of tissue exposure.
Full Text
Введение
В настоящее время среди методов оптических исследований слабопоглощающих сред [1, 2] наиболее быстро развиваются методы оптической когерентной томографии (ОКТ) [3], которые широко применяются для неинвазивной диагностики биотканей [4]. В области лазерной медицины с помощью ОКТ проводят исследования структуры с высоким пространственно-временным разрешением, обычно ~10-15 мкм по пространству и ~100 мкс по времени [5-6]. В настоящее время максимальная глубина, достигнутая при зондировании мягких тканей, составляет 3 мм [7, 8]. Этого достаточно для исследования внутренней структуры и оптических свойств полупрозрачных тканей различных органов на глубине до 3 мм [9]. Толщина хрящевой пластинки сустава обычно не более 1-2 мм, а дефекты хряща: каверны, узуры и раковины и др. – обычно располагаются в толще хрящевой пластины и могут быть обнаружены только с помощью ОКТ [10]. Импрегнация в сустав фотопоглощающих наночастиц и оптимизация режима облучения позволяют повысить эффективность и безопасность лазерного лечения [11-13]. Разработка оптической неинвазивной диагностики повреждений хряща позволит ускорить введение метода в клиническую практику. Введение в ткань наночастиц, обладающих фототермическим эффектом, позволит использовать щадящие режимы облучения и локализовать область лазерного воздействия при медицинских операциях, указанных выше. Более того, подобные наночастицы могут служить маркером повреждения хрящевой ткани, так как ранее было доказано, что здоровая хрящевая ткань устойчива к прониканию в нее каких-либо частиц [6], а наночастицы оседают именно в местах различных повреждений или травм [7].
Цель работы – сравнить величину фотоупругой деформации фантомов биологических тканей под воздействием лазерного излучения при пропитке образцов разными типами контрастирующих наночастиц для дальнейшего их применения в методах ОКТ-диагностики и лазерной термотерапии артрита.
Современное состояние методов исследований
Оптическая диагностика с использованием контрастирующих веществ в биологических тканях используется в настоящее время в различных областях биологии и медицины. Она применяется для выявления мест локализации опухоли в онкологии. В ангиологии железооксидные магнитные частицы используются при проведении ангиографических исследований при атеросклерозе [14].
Интерференционные методы использовались при изучении доставки лекарств в мягкие ткани [15]. Неинвазивная ОКТ-диагностика в основном применяется при исследовании патологии, расположенной вблизи поверхности ткани (от 1 до 3 мм), например в коже или под слизистой полости горла [16, 17]. В хрящевых тканях, без введения контрастирующих веществ, ОКТ применялась при исследовании упорядоченных структур коллагена в межпозвонковых дисках [18], в офтальмологии – при исследовании неабляционного лазерного воздействия на ткани глаза [19]. С помощью ОКТ проводилось исследование недеструктивного лазерного воздействия на склеру и роговицу [19, 20]. В результате были определены оптимальные режимы лазерного воздействия на ткани глаза для изменения их механических свойств [20-23]. Поляризационно-чувствительная ОКТ применялась в офтальмологии для исследования тонких структур тканей глаза в трабекулярной области [21].
В последнее время в работах авторов проекта получила развитие оптическая когерентная эластография [22], с помощью, которой изучались относительные деформации хрящевых тканей и тканей глаза при неабляционном воздействии лазерного излучения. Таким образом, метод ОКТ, обладая высоким разрешением, используется в медицине для обнаружения тонких структур тканей, находящихся на небольшом расстоянии от поверхности, в глубину не более 3 мм.
В литературе известно изготовление 20-30 нм наночастиц магнетита в золотой оболочке [23]. Получение таких частиц связано с определенными трудностями поддержания режимов синтеза, относящихся к тонкой химической технологии, а также требующих дорогих расходных материалов и химических веществ. Также известно изготовление наночастиц оксидов железа методом лазерной абляции в жидкости (PLAL) [24, 25]. Этот метод отличается простотой, химической чистотой и не требует сложных материалов. В результате абляции получаются монодисперсные коллоидные растворы наночастиц железа и оксидов со структурой «ядро-оболочка», отличающиеся стабильностью [25]. Монодисперсные железооксидные наночастицы структуры «ядро-оболочка» размером 10-20 нм в золотой оболочке методом одномоментной PLAL до настоящего времени не получены.
Было установлено увеличения питания и, следовательно, регенерации хрящевой ткани при терапевтическом импульсно-периодическом лазерном воздействии на гиалиновый хрящ суставной поверхности, такое воздействие приводит к образованию пор субмикронного размера [26]. Использование лазерного воздействия с определенной частотой повторения импульсов и интенсивностью на искуственно изогнутый хрящ в определенные области с повышенным внутренним напряжением способно стабилизировать новую форму хрящевой ткани и имплантата [27-28]. Подобное воздействие на ткани может привести к повреждению ее матрикса и клеток, следовательно, и к дальнейшему лизису ткани после имплантации, поэтому для успешного применения в медицинской практике требуют минимизации травмирующего влияния на клетки и структуры хрящевой ткани.
Исследования на хрящевой ткани с наночастицами магнетита Fe3O4, установили [29], что пропитка хрящевой гиалиновой ткани их растворами увеличивает скорость нагрева при импульсно-периодическом лазерном воздействии эрбиевым волоконным лазером. А исследования на наночастицах металлооксидных бронз (NaхTiO2, KхMoO3, KхWO3, HxMoO3, где 0,1 <x <0,3) обнаружили, что импрегнация ткани наночастицами Na0.2TiO2 и K0.1MoO3 изменяет скорость нагрева, остальные наночастицы не вносят дополнительного фототермического эффекта [30]. Дальнейшие работы было решено проводить с использованием наночастиц магнетита Fe3O4 и металлооксидных бронз Na0.2TiO2, так как они обладают магнитными свойствами [31-32].
Для описаных ранее технологий по изменению формы и регенерации хрящевой ткани контроль достижения необходимых изменений осуществляется термометрическим способом. В виду того что хрящевая ткань не является однородным материалом, а состоит из неоднородностей с различной степенью нагрева, а так же максимум температуры при лазерном нагреве находится не на поверхности ткани, это влечет за собой ошибку при контроле температуры на поверхности биоткани.
Методика исследования
Исследование проводилось с использованием двух типов наночастиц: наночастицы магнетита Fe3O4, синтезированы в лаборатории биофотоники ИФТ ФНИЦ «Кристаллография и Фотоника» РАН методом соосаждения водного раствора солей FeCl2 и FeCl3 с добавлением основания в атмосфере инертного газа при комнатной температуре [33] и наночастицы металлооксидной бронзы оксида титана Na0.2TiO2, произведенные методом самораспространяющегося высокотемпературного синтеза [34]. Подготовка растворов наночастиц из порошков проводилась перед созданием полиакриламидных гидрогелей. Водные растворы наночастицс размером порядка 10-20 нм использовались для пропитки образцов хрящевой ткани и биофантомов.
В работе использовалась установка ОКТ-эластографии, созданная в Институте прикладной физики РАН, Нижний Новгород, группой под руководством Владимира Юрьевича Зайцева, с областью визуализации 4 мм в ширину и 2 мм в глубину, позволяющая получить зависимость внутренних деформаций от времени. Данная установка позволяла оценивать и визуализировать упругие свойства ткани и деформационные процессы на глубине порядка 1-2 миллиметров [35-36].
Предварительные исследования проводились на фантомах биологической ткани - специально подобранные полиакриламидные гидрогели (ПААГ) моделирующие температурные свойства и однородную структуру хрящевой ткани. Гели создавались на базе раствора наночастиц заданной концентрации, что позволяло достичь одинаковой концентрации и распределения по фантому наночастиц Na0.2TiO2 и Fe3O4.
Общий вид экспериментального стенда приведен на рисунке 1. В качестве биологического объекта использовались срезы гиалинового хряща свиньи, полученные с бойни.
Рисунок 1. Схема экспериментального исследования
Образцы подготавливались при помощи специальных резаков, позволяющих получить образцы одинакового размера и массы, после извлечения хранились в физиологическом растворе не более четырех дней при температуре 2° С. Предварительно, перед пропиткой растворами наночастиц образцы подвергались лазерной обработке в заданых режимах [26]. Также часть образцов оставалась нетронутой, интактной и служила контролем.
Во всех случаях облучение проводилось с помощью эрбиевого волоконного лазера с длиной волны 1,56 мкм в импульсно-периодическом режиме. Для хрящевой ткани эксперимент был проведен с концентрацией наночастиц 1мг/мл, импрегнация под действием направленного магнитного поля.
Результаты эксперимента
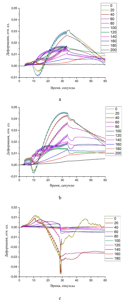
В результате проведенных исследований были получены картины внутренних напряжений ПААГ («пустых» и с наночастицами) при лазерном воздействии эрбиевым волоконным лазером в импульсно переодическом режиме и графики амплитуды внутренних напряжений ткани при удалении от оси лазерного излучения вдоль поверхности (рисунок 3). Обработка велась узкими областями со смещением вдоль поверхности по ширине от оси лазерного излучения на одинаковые промежутки.
Анализ полученных графиков показал увеличение ширины распространения деформации для образцов с наночастицами металлооксидных бронз натрий титана, а также увеличение амплитуды деформации растяжения на 50% по сравнению с «пустыми» ПААГ. ПААГ с наночастицами магнетита при ОКТ-эластографии образцов давали «засветы» и искажение картины деформаций, а также частые разрывы поверхности ПААГ, которые на графике деформаций выражаются резким скачком амплитуды например на рисунке 3 с в области 30 секунд и рисунок 2 b. Для исследования на хрящевой ткани было решено провести уменьшение концентрации наночастиц.
Рисунок 2. «Засветы» на картине межкадровой разности фаз при исследовании ПААГ с магнетитом
Рисунок 3. Графики внутренних деформаций при удалении от оси лазерного воздействия для: а – «пустого» ПААГ, b – ПААГ с наночастицами Na0.2TiO2, c – ПААГ с наночастицами магнетита
Магнитные свойства коллоидных растворов наночастиц оксидов железа исследовались с помощью неоднородного магнитного поля и оптической микроскопии. Динамику взаимодействующих частиц в коллоидном растворе, содержащем наночастицы с широким распределением по размерам от 100 нм до 10 мкм, наблюдали с помощью оптического микроскопа ПОЛАР1, МикроМед. Наночастицы, используемые для визуализации, были помещены в сахарный раствор с вязкостью, равной вязкости синовиальной жидкости и наблюдали на просвет при увеличении х20 и числовой апертурой 0.25. Это позволяло визуализировать наночастицы размером вплоть до 1 ÷10 мкм.
Так как, для увеличения вязкости в коллоидные растворы наночастиц был добавлен сахар, в поляризованном свете визуально были видны наночастицы размером менее 1 мкм. Это позволило наблюдать динамику броуновского движения наночастиц непосредственно при воздействии неоднородного магнитного поля и в случае его отсутствия.
На рисунке 4 демонстрируется динамика броуновского движения наночастиц. На последовательных кадрах, снятых с интервалом 1 сек, видны смещения наночастиц в коллоидном растворе. На рисунке 4е показаны агломераты наночастиц, образовавшиеся при наложении магнитного поля с градиентом 100 Т/м индукцией 0.1 Т.
Рисунок 4. Изображение наночастиц магнетита, полученное с помощью видеокамеры ToupCam в оптическом микроскопе Микромед. : (a-d) – динамика броуновского движения наночастиц, (e,f) – моментальное распределение наночастиц (е)- без магнитного поля, (f) – с магнитным полем.
Наночастицы магнетита в процессе съемки совершали броуновское движение: крупные частицы размером до 10 мкм двигались медленно, а самые малые, менее 1 мкм, двигались достаточно быстро и меняли свою траекторию движения не менее, чем 1 раз в сек. С помощью видеосъемки удалось зарегистрировать динамику движения наночастиц с частотой захвата кадров 50 Гц.
При исследовании методом ОКТ-эластографии образцов хрящевой ткани, пропитанной наночастицами магнетита в концентрации 1мг/мл, были получены временные зависимости межкадровой деформации при лазерном воздействии. Анализ картин деформаций ткани при первом лазерном импульсе выявил тот факт, что разницы между распространением деформации в интактной ткани и ткани после импрегнации практически нет, что подтверждает сложность проникновения наночастиц в свежую/интактную хрящевую ткань. При анализе картин накопленного напряжения за время лазерного воздействия на ткань после лазерной модификации + пропитка магнетитом и интактной ткани после пропитке магнетитом были выявлены явные различия (см. рис. 5). Для ткани после лазерной модификации очевидно нарастание внутренних деформаций и их локализация в месте лазерного воздействия, что свидетельствует о проникновении наночастиц в толщу ткани и влиянии на поглощающую способность хрящевой ткани в местах скопления наночастиц, что дает усиление отклика биоткани на лазерное воздействие.
Рисунок 5. Деформационная картина при лазерном импульсе для: а – интактной ткани, b –после лазерного воздействия и пропитки наночастицами.
Обсуждение результатов
При сравнении величины деформаций для пустых ПААГ и гелей с магнетитом и Na0.2TiO2 амплитуда напряжений на равном удалении от центра лазерного воздействия для образцов с магнетитом меньше. Однако разница между максимальным значением сжатия и растяжения для образцов с магнетитом больше. Это является важной особенностью, так как для порообразования при лазерном воздействии, которое в дальнейшем может привести к запуску регенерации, необходимо изменение знака деформаций (сжатие/растяжение) с определенной частотой, при которой создаются знакопеременные поля термонапряжений.
Как видно из результатов оптической микроскопии (Рис. 4) наночастицы магнетита размером 0.1 ÷1мкм движутся в вязкой среде со скоростями до 10 ÷100 мкм/с. Крупные частицы до 10 мкм и более остаются неподвижными ввиду высокой вязкости среды. Движение наночастиц без внешних полей вызвано действием как броуновских сил, так и магнитных сил спонтанно намагниченных крупных частиц. Случайное «блуждание» наночастиц в микрополе крупных частиц возможно обусловлено тепловым движением и случайным распределением спонтанной намагниченностью крупных частиц. При наложении внешнего неоднородного магнитного поля все частицы движутся в направлении градиента поля и выстраиваются вдоль силовых линий.
Картины деформаций при лазерном воздействии на хрящевую интактную ткань – без наночастиц и ткань, пропитанную наночастицами, практически неразличимы, что подтверждает ранее сделанное заключение о том, что хрящевая ткань устойчива к проникновению инородных наноразмерных объектов.
Предварительное лазерное изменение хрящевой ткани приводит к изменению структуры ткани и вероятно делает ее менее устойчивой к прониканию наночастиц, следовательно они проходят в толщу ткани и вносят дополнительный эффект на внутренние напряжения при последующем лазерном воздействии, который и обнаруживается с помощью ОКТ- эластографии. Фототермический эффект лазерного воздействия на ткань с наночастицами вызывает дополнительное термомеханическое стимулирование деформаций и релаксацию напряжений в результате броуновского движения частиц. Это может быть причиной вызывающей регенерацию хрящевой ткани в экспериментах in vivo по лазерно-стимулированной регенерации хрящевой ткани [37].
Выводы
Таким образом, можно сделать вывод о том, что наночастицы (магнетит Fe3O4 и металлооксидная бронза Na0.2TiO2) имеют одинаковое влияние на скорость роста температуры при лазерном воздействии эрбиевым волоконным лазером с длиной волны λ=1,56 мкм, но деформационный отклик ткани при этом различен.
Подтверждено, что картина ОКТ-деформаций для интактной ткани и ткани после пропитки раствором наночастиц практически не отличается, так как интактная ткань практически не пропускает наночастиц.
ОКТ-эластография позволила определить изменения амплитуды смещений в хрящевой ткани при пропитке ее магнетитом в зависимости от ее начального состояния.
About the authors
Ekaterina M. Kasyanenko
Institute of the Photon Technologies of Federal Scientific Research Centre «Crystallography and Photonics» of RAS
Author for correspondence.
Email: ekkassianenko@gmail.com
Researcher
Russian Federation, MoscowAlexander I. Omelchenko
Institute of Photon Technologies of Federal Scientific Research Centre «Crystallography and Photonics» of RAS
Email: alexio1954@mail.ru
ORCID iD: 0000-0001-8546-8187
SPIN-code: 5134-5353
Candidate of Physics and Mathematics Sciences, Senior Researcher
Russian Federation, MoscowReferences
- Enhanced optical clearing of skin in vivo and optical coherence tomography in-depth im-aging / X. Wen, D. Zhu, S. L. Jacques, V. V. Tuchin. – doi: 10.1117/1.JBO.17.6.066022 // Journal of Biomedical Optics. – 2012. – Vol. 17, № 6. – P. 066022.
- Correction factor in temperature measurements by optoelectronic systems / N. Bikberdina, R. Yunusov, M. Boronenko, P. Gulyaev // Journal of Physics: Conference Series. – 2017. – Vol. 917. – P. 052031.
- Ghosn, M. G. Nondestructive quantification of analyte diffusion in cornea and sclera using optical coherence tomography / M. G. Ghosn, K. V. Larin, V. V. Tuchin. – doi: 10.1167/iovs.06-1331 // Investigative Ophthalmology and Visual Science. – 2007. – Vol. 48, № 6. – P. 2726–2733.
- Thermal expansion of rib cartilage implants at the non-isothermal cooling and heating / E. Kasianenko, A. Omelchenko, R. Nushtaeva, E. Sobol. – doi: 10.1007/s10973-019-08695-7 // Journal of Thermal Analysis and Calorimetry. – 2020. – Vol. 139, № 6. – P. 3519–3526.
- Оценка скорости и температуры дисперсной фазы / М. П. Бороненко, И. П. Гуляев, П. Ю. Гуляев [и др.]. – Текст : непосредственный // Фундаментальные исследования. – 2014. – № 11-10. – С. 2135–2140.
- Borodina, K. Thermal analysis of reaction producing KXTiO2 / K. Borodina, S. Sorokina, N. Blinova. – doi: 10.1007/s10973-017-6840-0 // Journal of Thermal Analysis and Calorimetry. – 2018. – Vol. 131, № 1. – P. 561–566.
- Бороненко, М. П. Телевизионная измерительная система наносекундного разрешения / М. П. Бороненко, П. Ю. Гуляев. – Текст : непосредственный // Доклады Томского государственного университета систем управления и радиоэлектроники. – 2014. – № 1 (31). – С. 60–64.
- Измерение скорости и температуры частиц / М. П. Бороненко, И. П. Гуляев, П. Ю. Гуляев, А. Е. Серегин. – Текст : непосредственный // Известия высших учебных заведений. Физика. – 2014. – Т. 57, № 3-2. – С. 70–73.
- Долматов, А. В. Спектральный пирометр для контроля температуры / А. В. Долматов, И. П. Гуляев, Р. Р. Имамов. – Текст : непосредственный // Вестник Югорского государственного университета. – 2014. – № 2 (33). – С. 32–42.
- Dolmatov, A. V. Investigation of structure formation in thin films by means of optical pyrometry / A. V. Dolmatov, I. V. Milyukova, P. Y. Gulyaev. – doi: 10.1088/1742-6596/1281/1/012010 // Journal of Physics: Conference Series, Saint Petersburg, 14-16.05.2019. – Saint Petersburg : Institute of Physics Publishing, 2019. – P. 012010.
- Optical coherence tomography monitoring of enhanced skin optical clearing in rats in vivo / E. A. Genina, A. N. Bashkatov, E. A. Kolesnikova [et al.]. – doi: 10.1117/1.JBO.19.2.021109 // Journal of Biomedical Optics. – 2014. – Vol. 19, № 2. – P. 021109.
- Photothermal effects of laser heating iron oxide and oxide bronze nanoparticles in cartilaginous tissues / P. Y. Gulyaev, M. K. Kotvanova, S. S. Pavlova [et al.]. – doi: 10.1134/S1995078012020097 // Nanotechnologies in Russia. – 2012. – Vol. 7, № 3-4. – P. 127–131.
- Metal oxide nanoparticles as novel contrast agents for optical diagnostics and laser treatment of arthritis / E. N. Sobol, Y. M. Soshnikova, A. I. Omelchenko [et al.] // Optics InfoBase Conference Papers, Fort Lauderdale, FL, 25-28.04.2016. – Fort Lauderdale, 2016. – P. 3.
- SHT-synthesis and application of biofunctional nanoparticals used high photothermal effect for laser heating of biotissues / P. Yu. Gulyaev, M. K. Kotvanova, A. I. Omelchenko, E. N. Sobol // The 23th Annual International Conference on Advanced Laser Technologies. ALT'15 : Book of Abstracts, Faro, 07-11.09.2015. – Faro, 2015. – P. 46.
- Molecular imaging with optical coherence tomography using ligandconjugated microparticles that detect activated endothelial cells: rational design through target quantification / A. Jefferson, R. S. Wijesurenda, M. A. McAteer [et al.] // Atherosclerosis. – 2011. – Vol. 219. – P. 579–587.
- Single-molecule imaging of hyaluronan in human synovial fluid / J. Kappler, T. P. Kaminski, V. Gieselmann [et al.]. – doi: 10.1117/1.3514639 // Journal of Biomedical Optics. – 2010. – Vol. 15 (6). – P. 060504.
- Continuous optical coherence tomography monitoring of nanoparticles accumulation in biological tissues / M. A. Sirotkina, M. V. Shirmanova, M. L. Bugrova [et al.]. – doi: 10.1007/s11051-010-0028-x // Journal of Nanoparticle Research. – 2011. – Vol. 13, № 1. – P. 283–291.
- Optical Coherence Tomography monitoring for laser surgery of laryngeal carcinoma / A. V. Shakhov, A. B. Terentjeva, V. A. Kamensky [et al.]. – doi: 10.1002/jso.1105 // Journal of Surgical Oncology. – 2001. – Vol. 77, № 4. – P. 253–258.
- Клинико-экспериментальное обоснование применения оптической когерентной томографии в медицинской практике / Н. М. Шахова, В. М. Геликонов, Г. В. Геликонов [и др.]. – Текст : непосредственный // Лазерная медицина. – 2004. – Т. 8, № 3. – С. 292.
- Kamensky, V. In sity monitoring of laser modification process in human cataractous lens and porcine cornea using coherence tomography / V. Kamensky, F. Feldchtein, A. Sergeev // Journal Biomedical Optics. – 1999. – Vol. 4, № 1. – P. 137–143.
- Eye tissue structure and refraction alterations upon nondestructive laser action / E. N. Sobol, O. I. Baum, N. Yu. Ignat'eva [et al.]. – doi: 10.1134/S1054660X0605001X // Laser Physics. – 2006. – Vol. 16. – No 5. – P. 735-740.
- Visibility of trabecular meshwork by standard and polarization-sensitive optical coherence tomography / Y.Yasuno, M.Yamanari, K.Kawana [et al.]. – doi: 10.1117/1.3499421 // Journal of Biomedical Optics. – 2010. – Vol. 15 (6). – P. 061705.
- Григорьевская, А. А. Компьютерный эксперимент верификации инвариантных свойств Trace-критерия спиновой неустойчивости / А. А. Григорьевская. – Текст : непосредственнный // Математика : материалы LIX Международной научной студенческой конференции, Новосибирск, 12 февраля 2021 года. – Новосибирск : Новосибирский национальный исследовательский государственный университет, 2021. – С. 94–95.
- Optical coherence elastography for strain dynamics measurements in laser correction of cornea shape / V. Y. Zaitsev, A. L. Matveyev, L. A. Matveev [et al.]. – doi: 10.1002/jbio.201600291 // Journal of Biophotonics. – 2017. – Vol. 10, № 11. – P. 1450–1463.
- Magnetite nanoparticles with tunable gold or silver shell / M. Mandal, S. Kundu, S. K. Ghosh [et al.] // Journal of Colloid and Interface Science. – 2017. – Vol. 286. – P. – 187–194.
- Iwamoto, T. Fabrication of iron oxide nanoparticles using laser ablation in liquids / T. Iwamoto, T. Ishigaki. – doi: 10.1088/1742-6596/4411/012034 // 11th APCPST and 25th SPSM JOP:Conf.Series. – 2013. – Vol. 441. – P. 012034.
- Biofunctional magnetic 'coreshell' nanoparticles generated by laser ablation of iron in liquid / A. I. Omelchenko, E. N. Sobol, A. V. Simakin [et al.]. – doi: 10.1088/1054-660X/25/2/025607 // Laser Physics. – 2015. – Vol. 25, № 2. – P. 025607.
- Laser-induced micropore formation and modification of cartilage structure in osteoarthritis healing / E. Sobol, O. Baum, A. Sviridov A. [et al.]. – doi: 10.1117/1.JBO.22.9.091515 // Journal of Biomedical Optics. – 2017. – Vol. 22, № 9. – P. 091515.
- Laser reshaping of costal cartilage for transplantation / O. I. Baum, Y. M. Soshnikova, E. N. Sobol [et al.]. – doi: 10.1002/lsm.21077 // Lasers in Surgery and Medicine. – 2011. – Vol. 43, № 6. – P. 511–515.
- Criteria for spin instability based on the node distribution in Trace-transform of the SHS / A. Grigoryevskaya, V. Jordan, I. Shmakov, P. Gulyaev. – doi: 10.1088/1742-6596/1745/1/012065 // Journal of Physics: Conference Series : 6, Samara, 26-29.05.2020. – Samara, 2021. – P. 012065.
- Цуи, Х. Ж. Сценарии структурообразования системы c упрочняющими добавками / Х. Ж. Цуи, А. А. Григорьевская, П. Ю. Гуляев. – doi: 10.17816/byusu20200241-49 // Вестник Югорского государственного университета. – 2020. – № 2 (57). – С. 41–49.
- The new method for treatment of larynx stenosis based on transplantation of rib cartilage reshaped with 1.56-μm laser radiation / O. I. Baum, Y. M. Alexandrovskaya, S. V. Starostina [et al.]. – doi: 10.1117/12.2511410 // Progress in Biomedical Optics and Imaging – Proceedings of SPIE, San Francisco, CA, 02.02.2019. – San Francisco, 2019. – P. 108530G.
- Kasianenko, E. M. Photothermal effect of laser radiation on the electrical properties of cartilage impregnated with magnetite nanoparticles / E. M. Kasianenko, A. I. Omelchenko, E. N. Sobol // Bulletin of the Russian Academy of Sciences: Physics volume. – 2016. – Vol. 80. – P. 463–466.
- Касьяненко, Е. М. Фототермический эффект лазерного нагрева наночастиц в биологических тканях / Е. М. Касьяненко, А. И. Омельченко. – Текст : непосредственный // Ученые записки физического факультета Московского университета. – 2019. – № 2. – С. 1920302.
- Стимуляция проникновения магнитных наночастиц в хрящевую и костную ткань с помощью градиента магнитного поля / В. Ю. Афонькин, К. Г. Добрецов, А. К. Кириченко [и др.]. – Текст : непосредственный // Сибирское медицинское обозрение. – 2008. – № 2 (50). – С. 37–39.
- Gulyaev, P. Experimental observation of the instability mode in the combustion wave by the differential chronoscopy method / P. Gulyaev, A. Grigoryevskaya, V. Jordan. – doi: 10.1109/EFRE47760.2020.9241952 // 7th International Congress on Energy Fluxes and Radiation Effects (EFRE 2020), Virtual, Tomsk, Russia, 14-26.09.2020. – Tomsk : Institute of Electrical and Electronics Engineers Inc., 2020. – P. 1227–1231.
- Омельченко, А. И. Влияние лазерного излучения и магнитного поля на массоперенос фотопоглощающих магнитных наночастиц в вязкоупругих биологических тканях / А. И. Омельченко, Э. Н. Соболь. – Текст : непосредственный // Перспективные материалы. – 2010. – № 8. – С. 125–128.
- Equipment and technologies of airplasma spraying of functional coatings / V. Kuzmin, I. Gulyaev, D. Sergachev [et al.]. – doi: 10.1051/matecconf/201712901052 // MATEC Web of Conferences, Sevastopol, 11-15.09.2017. – Sevastopol : EDP Sciences, 2017. – P. 01052.
- Солоненко, О. П. Плазменная обработка и напыление порошков оксидов металлов / О. П. Солоненко, И. П. Гуляев, А. В. Смирнов. – Текст : непосредственный // Письма в Журнал технической физики. – 2008. – Т. 34, № 24. – С. 22–27.
- Starchmodified magnetite nanoparticles for impregnation into cartilage / Y. M. Soshnikova, O. I. Baum, E. N. Sobol [et al.]. – doi: 10.1007/s11051-013-2092-5 // Journal of Nanoparticle Research. – 2013. – Vol. 15, № 11. – P. 2092–2101.
- Gulyaev, P. Y. Nanotechnologies of the Treatment and Production of Complex Transition Metal Oxides with High Photothermal Effect / P. Y. Gulyaev, M. K. Kotvanova, A. I. Omelchenko. – doi: 10.1134/S2075113318030140 // Inorganic Materials: Applied Research. – 2018. – Vol. 9, № 3. – P. 540–545.
- Optical coherence tomography for visualizing transient strains and measuring large deformations in laser-induced tissue reshaping / V. Y. Zaitsev, A. L. Matveyev, L. A. Matveev [et al.]. – doi: 10.1088/1612-2011/13/11/115603 // Laser Physics Letters. – 2016. – Vol. 13, № 11. – P. 115603.
- Материалы на основе оксидов переходных металлов для лазерной медицины / С. С. Павлова, М. К. Котванова, П. Ю. Гуляев, А. И. Омельченко. – Текст : непосредственный // Новые материалы : Сборник материалов, Сочи, 01-04 июня 2016 года. – Сочи : Интерконтакт Наука, 2016. – С. 196–197.
- Optical coherence elastography for strain dynamics measurements in laser correction of cornea shape / V. Y. Zaitsev, A. L. Matveyev, L. A. Matveev [et al.]. – doi: 10.1002/jbio.201600291 // Journal of Biophotonics. – 2017. – Vol. 10, № 11. – P. 1450–1463.
- Лазерная стимуляция клеток хрящевой ткани: термомеханическое и низкоинтенсивное воздействие / Ю. М. Александровская, О. И. Баум, А. Б. Шехтер [и др.] // Лазеры в науке, технике, медицине : сборник научных трудов XXX Международной конференции, Москва, 02-04 октября 2019 года / под редакцией В. А. Петрова. – Москва : Московское НТО радиотехники, электроники и связи им. А.С. Попова, 2019. – С. 156–160.
Supplementary files







