Method and the device of actualization of controlling effect loading of knot of the electric power system
- Autores: Shuvalova A.A.1, Polishchuk V.I.1
-
Afiliações:
- Altai State Technical University
- Edição: Volume 19, Nº 2 (2023)
- Páginas: 144-152
- Seção: POWER INDUSTRY
- URL: https://bakhtiniada.ru/1816-9228/article/view/253728
- DOI: https://doi.org/10.18822/byusu202302144-152
- ID: 253728
Citar
Texto integral
Resumo
Subject of research: is the technique of identification СCL in electric power system knots.
Purpose of research: consists in working out of a technique of monitoring of changes КREL in electric power system knot.
Methods of research: imitating modelling of electric modes, digital processing of signals, method of natural experiment.
Main results of research: the technique of monitoring КREL of knot of an electric power system of digital processing of the information based on a method has been as a result developed, having author's specific features, also has criteria of suitability of data and the device realising a technique is developed. Experimental approbation of work of the device analyzing data from means of a telemetering, an operatively-measuring complex or automated data management system is spent. Device check has shown, that on an indication range 0,75 … 1,2Uном the error of identification КREL has made 0,2 % that speaks about high reliability of an offered technique of actualisation КREL.
Texto integral
Введение
Решение задач оперативно-диспетчерского управления электроэнергетических систем требует актуальных данных описывающих изменение нагрузки. Наиболее полно свойства нагрузки в установившихся режимах описываются их статическими характеристиками (СХН) [1, 2]. В тоже время приходится учитывать, что СХН, в особенности в узлах энергосистемы, хоть и медленно, но все-таки, изменяются [3]. Изменения СХН возможны вследствие сезонных изменений характера нагрузок, изменения топологии сети, изменения состава активно реактивных элементов энергосистемы. Для актуализации СХН перспективно использовать методы пассивного эксперимента, основанные на накоплении и обработке данных измерений напряжений и мощностей в конкретных узлах электрической сети [3, 4].
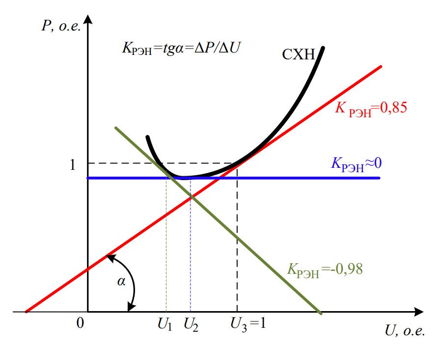
Особый интерес вызывает идея использования регулирующего эффекта нагрузки узла энергосистемы для выработки управляющего воздействия направленного на снижения перетоков мощности по перегруженному элементу электрической сети, что позволяет управлять перетоком мощности, не производя коммутационных переключений и не вводя ограничений потребителям [5, 6]. Численно регулирующий эффект нагрузки характеризуется коэффициентом (КРЭН), представляющим собой тангенс угла касательной к СХН проведенной в точке конкретного напряжения рисунок 1.
Рисунок 1 – Иллюстрация коэффициента регулирующего эффекта нагрузки
Как видно из рисунка 1 использование регулирующего эффекта нагрузки перспективно для оперативного диспетчерского управления. Зная величину КРЭН можно воздействием на напряжение добиться снижения перетока мощности, что особенно актуально при возникновении перегрузки на элементе энергосистеме [7, 8]. Например, если КРЭН >0 снижение перетока мощности производится путем снижения напряжения, если КРЭН <0 снижение перетока мощности производится путем увеличения напряжения, а если КРЭН ≈ 0, регулирующий эффект нагрузки отсутствует [5].
Очевидно, что для практического использования данной идеи необходима методика актуализации данных о величине КРЭН. При этом практический интерес ограничивается возможным диапазоном регулирования напряжения, что в большинстве случаев не превышает +15% Uном.
Безусловно, система актуализации данных не должна строиться на активных принудительных вмешательствах в режим. Методика и устройство актуализации КРЭН строятся на пассивном наблюдении за естественными изменениями режима в энергосистеме [8].
В данной работе ставилась задача по разработке методики актуализации данных КРЭН для участка +15% Uном СХН по напряжению.
Данная методика имеет авторскую специфическую особенность, которая заключается в разработке основных положений методики, регистрации обоснованного количества пар отклонений, обосновании критериев пригодности данных и разработке алгоритма обработки данных и расчете изменения КРЭН.
Результаты и обсуждение
По мнению авторов, при актуализации КРЭН, нет необходимости периодического и многократного перерасчета СХН, а надо проводить процедуру актуализации (корректировки) только по мере накопления изменений СХН. Как показал опыт снятия характеристики различными научными группами [9, 10, 11, 12, 13] СХН на участке +15% Uном достаточно достоверно отображает полиномиальная функция СХН второго порядка, получаемая путем адаптивно регрессионной аппроксимации [9, 12].
, (1)
Имея значения коэффициентов полиномиальной функции, легко определись КРЭН по формуле
, (2)
Расчет необходимо проводить в относительных единицах. В качестве базисного напряжения берется Uср. Базисное напряжение неизменно на всем протяжении расчетов UBAS = const. При этом существенное значение имеет качество исходных данных. Как было доказано в [14] к расчету пригодны только приведенные к единой оси времени данные напряжения и мощности, взятые с системы оперативно измерительного комплекса (ОИК), телеизмерения (ТИ) или с АСУ ТП по каналу измерения имеющем отметку качества 100.
Исходя из необходимости регистрировать только изменения, в основе методики положена концепция, используемая научной группой ТПУ [4], а именно для расчета СХН берутся не временные ряды измерений, а пары измерений. Пара – это регистрация одного изменения мощности после одного изменения напряжения. То есть в определенный момент производится измерение напряжения и мощности, а вторая точка измерения пары фиксируется только после изменения напряжения на величину не мене чем │Ui – Ui+1│>ΔUmin. При этом исходя из возможной величины изменения напряжения за одну ступень переключения РПН принимаем ΔUmin=0,75%Uном Следует отметить, что между первым и последующим измерениями пары проходит время и если оно достаточно большое, то возможен дрейф мощности, если же оно не существенно, то дрейфа мощности может и не быть [8].
Пример пар представлен на рисунке 2а. Как видно из рисунка 2,а из пар складывает определенный тренд. Некоторые пары (1,4,5) могут отклонятся от общего тренда вследствие некорректных измерений, дрейфа мощности, случайных колебаний и т.д., поэтому производится корректировка учитывающая дрейф мощности, а случайный измерения надо отфильтровать.
Рисунок 2 – Иллюстрация пары измерений
Как показала практика снятия СХН, для расчета достаточно иметь достоверных пять пар измерений, в тоже время практика показала, что максимально до 40…45% пар может оказаться некорректными. Следовательно, предусмотрев 20% запас по надежности, необходимым и достаточным количеством данных в выборке является Nпар=5/0,5·1,2=12 пар. Отсев пар отклонившихся от тренда производится за счет исключения пар вышедших за доверительный интервал (рисунок 2,б).
Корректировку учитывающей дрейф мощности предлагается производить путем изменения в процессе расчета базисной мощности [4]. Как видно из формулы (3) определения СХН в именованных единицах:
, (3)
PBAS(ti) является следствием колебаний мощности нагрузки, а
, реакция на изменение напряжения. Поскольку дрейф мощности и ее случайные колебания связаны с PBAS(ti), то возможна корректировка путем ввода масштабирующих коэффициентов. Базисная мощность изменятся случайным образом.
Методика актуализации КРЭН
Учитывая все вышеизложенное, методика актуализации КРЭН представляет собой последовательность следующих операций:
- Измеренные значения напряжения переводятся в относительные единицы
(4)
- Регистрируются 12 пар измерения исходя из условия образования пары
(5)
- Рассчитываются для всех 12 пар (пример приведен в таблице 1)
(6)
- Отфильтровываются которые не входят в доверительный интервал.
- Задается первое приближение базисной мощности
- Определяются коэффициенты а0, а1, а2 полиноминальной функции СХН, например, методом наименьших квадратов.
(7)
где и – напряжение и мощность в о.е. до j-го измерения;
и – напряжение и мощность в о.е. после j-го измерения.
- Определяется среднеквадратичное отклонение мощности.
(8)
где N – количество пар измерений, оставшихся после фильтрации.
- Определяется второе приближение базисной мощности
(9)
- Расчет повторяется до тех пор, пока среднеквадратичное отклонение уменьшается. После достижения среднеквадратичным отклонением минимального значения расчет заканчивается. В результате получаются коэффициенты а0, а1, а2 полиномиальной функции СХН.
Для экспериментальной проверки основных положений методики на базе микроконтроллера серии 51 производителя atmel AT89S53 по блочной схеме, представленной на рисунке 3 было реализовано устройство актуализации КРЭН.
Рисунок 3 – Блок схема устройства актуализации КРЭН
Экспериментальная апробация работы устройства осуществлялась на ОРУ 35/6 кВ Томского завода «Сибкабель» во время пассивного мониторинга в течение одних судок.
Данные поступали с периодичностью 1 раз в 150 сек. К расчету принимались значения пар с разницей по напряжению не менее 45 В при Uном=6000 В.. На рисунке 4 и в таблице 1 приведены зарегистрированные 12 пар с рассчитанными KРЭН,i.
Рисунок 4 – Пример зарегистрированных 12 пар
Таблица 1. Регистрация 12 пар измерений
i | U1,i, кВ | P1,i, кВт | U2,i, кВ | P2,i, кВт | KРЭН,i |
1 | 6,09 | 1,41 | 6,18 | 1,4 | -0,06 |
2 | 6,16 | 1,61 | 6,27 | 1,63 | 0,92 |
3 | 6,26 | 1,28 | 6,36 | 1,31 | 1,46 |
4 | 6,38 | 1,02 | 6,48 | 1,01 | -0,76 |
5 | 6,48 | 1,22 | 6,59 | 1,23 | 0,51 |
6 | 6,58 | 1,03 | 6,68 | 1,05 | 0,98 |
7 | 6,69 | 1,05 | 6,8 | 1,08 | 1,78 |
8 | 6,79 | 1,06 | 6,89 | 1,09 | 1,55 |
9 | 6,89 | 1,59 | 6,79 | 1,51 | 3,05 |
10 | 6,79 | 1,01 | 6,69 | 0,98 | 1,85 |
11 | 6,70 | 1,27 | 6,59 | 1,24 | 1,47 |
12 | 6,60 | 1,18 | 6,49 | 1,15 | 1,51 |
В процессе расчета СХН проводилась итерационная корректировка базисной мощности. На рисунке 5 проиллюстрировано значение мощности на первой итерации рисунок 5,а и последней итерации рисунок 5,б.
Рисунок 5 – Иллюстрация расчета точек СХН после первой – а) и последней – б) итерации
Среднеквадратичное отклонение σ уменьшалось до величины σ = 0,003. Коэффициенты полиномиальной функции СХН приняли значения а0=1,481, а1=–2,277, а2=1,796. На рисунке показана рассчитанная по этим коэффициентам СХН.
Рисунок 6 – Результирующая СХН
Для определения погрешности актуализации проводилось сравнение результирующей СХН с СХН полученной по данным активного эксперимента. В определяемом диапазоне погрешность составила 0,2%, что доказывает правильность предлагаемой методики.
Численное значение КРЭН в контролируемом диапазоне принимает значения КРЭН= 0,387........1,475.
Заключение и выводы
Разработана методика и устройство актуализации коэффициента регулирующего эффекта нагрузки узла электроэнергетической системы, позволяющая производить с погрешностью 0,2% определение изменений статической характеристики по напряжению на участке характеристики +15%Uном даже при наличии нерегулярных колебаний нагрузки и дрейфа мощности.
Sobre autores
Alena Shuvalova
Altai State Technical University
Autor responsável pela correspondência
Email: alena_shuvalova_360@mail.ru
Candidate of Technical Sciences, Senior Lecturer, Department «Power supply of industrial enterprises»
Rússia, BarnaulVladimir Polishchuk
Altai State Technical University
Email: polischuk_vi@mail.ru
Doctor of Technical Sciences, Professor, Department «Power supply of industrial enterprises»
Rússia, BarnaulBibliografia
- Тавлинцев, А. С. Статистически равновесные состояния нагрузки в задаче идентификации статических характеристик нагрузки / А. С. Тавлинцев, А. А. Суворов. – doi: 10.14529/power170203. – Текст : непосредственный // Вестник Южно-Уральского государственного университета. Серия: Энергетика. – 2017. – Т. 17. – № 2. – С. 23-28.
- Определение статических характеристик мощности нагрузок узлов сети на основе активного эксперимента / В. Ф. Кравченко, В. И. Нагай, И. Ф. Бураков, Б. П. Золоев. – Текст : непосредственный // Известия высших учебных заведений. Северо-Кавказский регион. Технические науки. – 2015. – № 1(182). – С. 54-59. – doi: 10.17213/0321-2653-2015-1-54-59. – EDN TKPEUB.
- Определение статических характеристик нагрузки по напряжению по данным пассивного эксперимента с учётом реакции сети / А. В. Панкратов, А. К. Жуйков, А. А. Шувалова, В. И. Полищук. – Текст : непосредственный // Электротехнические системы и комплексы. – 2021. – № 2(51). – С. 4-11. – doi: 10.18503/2311-8318-2021-2(51)-4-11. – EDN JQOOPA.
- Методика идентификации статических характеристик нагрузки по результатам активного эксперимента / Ю. В. Хрущев, А. В. Панкратов, Н. Л. Бацева [и др.]. – Текст : непосредственный // Известия Томского политехнического университета. – 2014. – Т. 325. – № 4. – С. 164-175.
- Петров, В. В. Разработка методики управления транспортом электроэнергии в пределах заданной пропускной способности элементов питания: специальность 05.14.02 «Электрические станции и электроэнергетические системы» : диссертация на соискание ученой степени кандидата технических наук / Петров Вячеслав Валерьевич; Самарский государственный технический университет.– Красноярск, 2019. – 157 с. – Библиогр.: с. 134 –143. – Текст : непосредственный.
- Полищук, В. И. Интеллектуальная автоматизированная система управления перетоком активной мощности по линиям электропередач в вынужденном режиме работы / В. И. Полищук, А. А. Шувалова, А. В. Панкратов. – Текст : непосредственный // Современные наукоемкие технологии. – 2021. – № 9. – С. 94-99. – doi: 10.17513/snt.38822. – EDN HITRML.
- Петров, В. В. Анализ влияния уровней напряжения в энергосистеме на значение сальдо-перетока активной мощности в сечении / В. В. Петров, В. И. Полищук, А. А. Альмендеев. – Текст : непосредственный // Электроэнергетика глазами молодежи – 2017 : Материалы VIII Международной научно-технической конференции, Самара, 02–06 октября 2017 года. Том 2. – Самара: Самарский государственный технический университет, 2017. – С. 169-170. – EDN ZIWZGX.
- Шувалова А. А. Разработка автоматизированной системы управления перетоком активной мощности по линии электропередач в вынужденном режиме работы : специальность 2.3.3. «Автоматизация и управление технологическими процессами и производствами»: диссертация на соискание ученой степени кандидата технических наук / Шувалова Алена Александровна; Алтайский государственный технический университет им. И.И. Ползунова. – Омск, 2022. –153 с. – Библиогр.: с. 113 –127. – Текст : непосредственный.
- Панкратов, А. В. Экспериментальное определение статических характеристик нагрузки электроэнергетических систем / А. В. Панкратов, В. И. Полищук, Н. Л. Бацева // Вестник Южно-Уральского государственного университета. Серия: Энергетика. – 2015. – Т. 15, № 1. – С. 11-20. – doi: 10.14529/power150102. – EDN TKRYSB.
- Анализ влияния вольт-амперной характеристикой выпрямителей на статические характеристики нагрузки водородного электролизера / Р. А. Уфа, А. С. Васильев, А. В. Панкратов, Я. Ю. Малькова // Международный научный журнал Альтернативная энергетика и экология. – 2021. – № 1-3(359-361). – С. 113-125. – doi: 10.15518/isjaee.2021.01.008. – EDN BOIOZZ.
- Кондрашов, М. А. Информационная модель программного обеспечения идентификации статических характеристик нагрузки по напряжению / М. А. Кондрашов, А. Ю. Смирнова, А. В. Панкратов. – Текст : непосредственный // Электроэнергетика глазами молодежи – 2018 : Материалы IX Международной молодежной научно-технической конференции. В 3-х томах, Казань, 01–05 октября 2018 года / Ответственный редактор Э.В. Шамсутдинов. Том 2. – Казань: Казанский государственный энергетический университет, 2018. – С. 203-206. – EDN YZKOXJ.
- Load Model Identification using Steady-state Measurements for Power System Control / A. V. Pankratov, A. K. Zhuykov, V. I. Polishchuk [et al.] // Journal of Physics: Conference Series : 5, Omsk, 16–17 марта 2021 года. – Omsk, 2021. – P. 012076. – doi: 10.1088/1742-6596/1901/1/012076. – EDN AUIZQL.
Arquivos suplementares








