Influence of crosspolarization of dual-polarized antenna elements on the ergodic capacity of a multichannel system
- Authors: Averina E.V.1, Smuseva K.V.2, Tokarev P.A.2, Uskov G.K.2
-
Affiliations:
- JSC «Concern “Sozvezdie”»
- Voronezh State University
- Issue: Vol 28, No 2 (2025)
- Pages: 40-48
- Section: Articles
- URL: https://bakhtiniada.ru/1810-3189/article/view/314397
- DOI: https://doi.org/10.18469/1810-3189.2025.28.2.40-48
- ID: 314397
Cite item
Abstract
Background. Antenna arrays based on dual-polarization elements are used as radiating devices for modern and perspective radio communication systems. The main factor reducing the effectiveness of this approach is the presence of spatial correlation and cross-polarization between elements in the array. These effects can lead to a significant reduction in communication system capacity. Aim. Derive relationships based on the Kronecker model that allow to take into account the polarization properties of antenna elements when calculating the ergodic capacity of a multi-channel communication system. Investigate the influence of the cross-polarization parameter of the antenna element on the capacity. Assess the polarization characteristics of synthesized real antenna elements of various types and their impact on the capacity value. Methods. When deriving the basic relationships, methods of statistical radiophysics and electromagnetic analysis of the propagation channel were used. When synthesizing dual-polarization antenna elements, electrodynamic analysis methods based on Maxwell’s equations were used. Results. Based on the analysis using the derived relationships, it was established that the influence of the cross-polarization properties of the array antenna elements on the capacity of a multi-channel communication system becomes significant when the value of the cross-polarization parameters decreases below 10 dB. It is shown that synthesized real antenna elements of various types have high polarization isolation, which will lead to a slight decrease in the system capacity. Conclusion. The derived relationships and the developed methodology make it possible to estimate the change in the capacity of the communication system when taking into account the cross-polarization properties of the dual-polarization elements of the antenna array. This will allow to optimally select radiating elements for a given system. At the same time, the developed antenna elements of various types satisfy the imposed cross-polarization restrictions.
Full Text
Введение
Современные многоканальные радиосредства сверхвысокочастотного (СВЧ) диапазона в качестве приемо-передающих устройств все чаще используют антенные решетки. Для систем беспроводной связи с целью повышения пропускной способности без увеличения апертуры решетки в последнее время применяют двухполяризационные излучающие элементы (кросс-диполи, патчи и т. д.).
При этом зачастую уменьшают расстояние между антенными элементами, что приводит к проявлению эффекта взаимного влияния. В работе [1] выведены соотношения, показывающие, насколько диаграмма направленности (ДН) изолированного антенного элемента будет отличаться от ДН того же элемента в составе антенной решетки (парциальной диаграммы направленности). В [2] показано, что взаимное влияние может занижать уровень пропускной способности системы.
Однако, кроме искажения диаграммы направленности из-за взаимного расположения элементов, основным фактором, снижающим эффективность системы связи, является наличие пространственной корреляции и кросс-поляризации между элементами в составе решетки [3]. Уровень пространственной корреляции зависит в основном от канала распространения, в то время как кросс-поляризация является характеристикой антенной системы и зависит от ее конструкции.
Таким образом, целью работы являлись разработка методики учета поляризационных свойств антенных элементов при расчете эргодической пропускной способности многоканальной системы и исследование влияния поляризационных параметров реальных элементов на пропускную способность различных каналов связи.
1. Эргодическая пропускная способность системы massive MIMO
Эргодическая пропускная способность системы massive MIMO определяется соотношением [4]:
где – знак усреднения; P – суммарная передаваемая мощность; K – количество пользователей с одной антенной; N – количество элементов антенной решетки; σ2 – дисперсия шума; H – канальная матрица.
Для расчета канальной матрицы при проведении аналитических исследований часто используют модель Кронекера. Канальная матрица, исходя из модели Кронекера, может быть представлена следующим образом:
где и – матрицы взаимных корреляций антенных элементов на приемной и передающей сторонах соответственно, а элементы матрицы – независимые нормально распределенные случайные величины с нулевым математическим ожиданием и единичной дисперсией. В основе модели Кронекера лежит предположение о независимости коэффициентов корреляции для двух антенных элементов на передаче или на приеме соответственно. Корреляция между пользователями, снабженными одной антенной, пренебрежимо мала, поэтому далее предполагается, что
Воспользовавшись известными допущениями о свойствах канала и некоторых параметрах системы, в частности предположением, что на решетку воздействуют плоские волны, выражения для элементов введенной матрицы можно записать как функцию геометрических параметров решетки, комплексных диаграмм направленности излучающих элементов и вероятностного распределения углов прихода сигнала. Так для плоской решетки будем иметь:
Здесь – элемент матрицы R; – комплексные диаграммы направленности m-го и n-го излучателей с учетом их расположения относительно фазового центра; – совместная плотность вероятности углов прихода сигнала по азимуту и углу места. Если считать решетку эквидистантной с расстоянием между элементами по горизонтали и вертикали соответственно, плотности вероятности углов прихода по азимуту и углу места независимыми а диаграммы направленности каждого независимого излучателя равными то выражение для коэффициента корреляции между элементами с координатами и будет определяться соотношением
(1)
2. Пространственная корреляция двухполяризационных элементов при наличии кросс-поляризации
Если антенные элементы решетки двухполяризационные, то в таком случае корреляционная матрица будет иметь блочную структуру:
(2)
где через нижние индексы обозначена поляризация соответствующих элементов. В отсутствие кросс-поляризации между элементами матрица будет иметь вид
где значения элементов матриц-блоков определяются выражением (1). Найдем значения элементов матриц-блоков из (2) через поляризационные свойства излучающих элементов с учетом наличия кросс-поляризации.
Кросс-поляризация между двумя различными портами двухполяризационного излучающего элемента обычно описывается параметром XPI, который определяется соотношением
где – со-поляризационная и кросс-поляризационная диаграммы направленности каждого порта соответственно. Из определения видно, что в общем случае параметры являются функциями азимута и угла места, но при дальнейшем выводе мы опустим эту зависимость. Тогда для расчета кросс-поляризационной компоненты диаграммы направленности элемента можно воспользоваться соотношениями:
Сначала найдем нормировочные множители для каждого порта, удовлетворяющие условию сохранения излучаемой мощности:
Здесь – диаграмма направленности однополяризационного элемента.
Напряженность поля каждой компоненты с учетом эффекта кросс-поляризации:
(3)
(4)
(5)
При выводе мы воспользовались условием
Тогда коэффициенты корреляционных матриц-подблоков (2) будут иметь вид
(6)
(7)
(8)
Если допустить, что то для выражения (2) получим
(9)
Итак, для расчета матрицы пространственной корреляции двухполяризационной антенной решетки с учетом кросс-поляризации необходимо иметь со-поляризационные диаграммы направленности и значения Если эти значения являются функциями углов, то при расчетах необходимо использовать соотношения (3)–(5). Если эти значения являются постоянными величинами, то можно воспользоваться соотношениями (6)–(8). И наконец, при равенстве со- и кросс-поляризационных свойств портов различной поляризации для расчетов применяется соотношение (9).
Из соотношения (9) видно, что если кросс-поляризация у двухполяризационного элемента незначительная то пространственная корреляция между элементами разной поляризации стремится к нулю. При наличии кросс-поляризации из-за увеличения пространственной корреляции уменьшается число степеней свободы системы, что приведет к уменьшению ее разрешающей способности.
Воспользовавшись выведенными соотношениями и моделью Кронекера методом Монте-Карло, рассчитаем зависимость пропускной способности для плоской антенной решетки размером 4 × 8 с расстояниями между элементами от величины кросс-поляризации В качестве антенного элемента использовался идеальный двухполяризационный патч с поворотом плоскости поляризации Вероятностное распределение углов прихода по углу места описывалось законом Лапласа, по азимуту – законом фон-Мизеса. При расчете использовались допущения для выражения (9). На рис. 1 представлена полученная зависимость. Видно, что уменьшение XPI ниже 10 дБ приводит к уменьшению пропускной способности системы.
Рис. 1. Зависимость эргодической пропускной способности от уровня кросс-поляризации
Fig. 1. Dependence of ergodic capacity on the level of cross-polarization
3. Моделирование с реальными излучающими элементами
Для оценки величины кросс-поляризационного параметра XPI реальных антенных элементов и его влияния на пропускную способность в среде CST Studio Suite были синтезированы модели двухполяризационного двухпортового stacked патч-элемента [2] и кросс-дипольного элемента с поляризациями
Полученные с помощью электродинамического моделирования путем решения системы уравнений Максвелла (метод моментов) диаграммы направленности: со-поляризационная и кросс-поляризационная для каждого порта представлены на рис. 2.
Рис. 2. Диаграммы направленности кросс-дипольного (а – со-поляризационная, б – кросс-поляризационная компоненты) и stacked – патч-элементов (в – со-поляризационная, г – кросс-поляризационная компоненты) для первого (черная линия) и второго (красная линия) порта. Пунктирной линией обозначены срезы вдоль направления поляризации порта, сплошной – перпендикулярно)
Fig. 2. Antenna patterns of cross-dipole (a – co-polarization, b – cross-polarization components) and stacked-patch elements (c – co-polarization, d – cross-polarization components) for the first (black line) and the second (red line) port. Dotted line indicates slices along the direction of port polarization, solid line – perpendicular)
Видно, что со-поляризационные диаграммы каждого элемента совпадают между собой в направлении основного излучения. Поэтому можно считать,
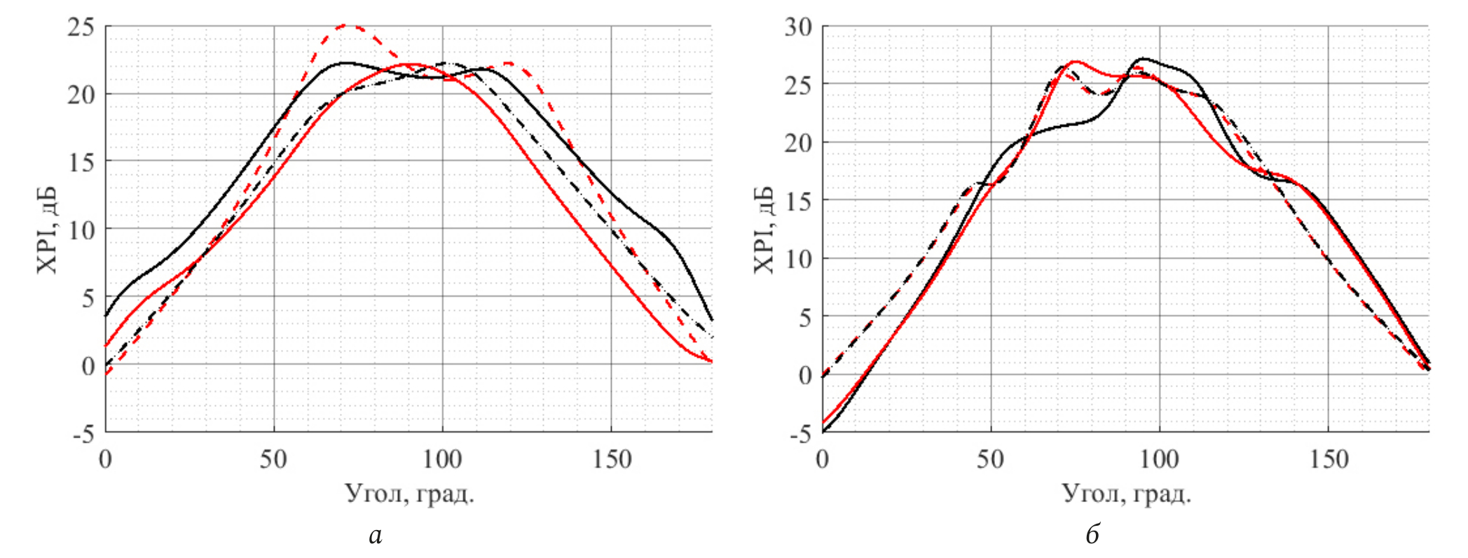
На основе полученных диаграмм направленности порта каждой поляризации были рассчитаны угловые зависимости для кросс-дипольной и патч-антенны (рис. 3).
Рис. 3. Диаграммы XPI кросс-дипольного (а) и stacked – патч-элементов (б) для первого (черная линия (XPIh) и второго (красная линия (XPIv)) порта. Пунктирной линией обозначены срезы вдоль направления поляризации порта, сплошной – перпендикулярно)
Fig. 3. XPI patterns of cross-dipole (a) and stacked-patch elements (b) for the first (black line (XPIh) and the second (red line (XPIv)) port. Dotted line indicates slices along the direction of port polarization, solid line – perpendicular)
Из рисунка видно, что зависимости для и для с графической точностью совпадают как для патч-элемента, так и для кросс-дипольного элемента. Незначительное отличие в видах и для кросс-дипольного элемента можно объяснить несимметричностью его системы запитки.
Таким образом, можно считать, И наконец, сложным образом зависят от θ, Исходя из этого, соотношения для расчета элементов матрицы пространственной корреляции будут иметь вид
С использованием данных соотношений и имеющихся требуемых зависимостей для реальных антенных элементов – кросс-диполя и патча – было рассчитано изменение пропускной способности рассмотренной выше антенной решетки при учете наличия кросс-поляризации. Результаты для обоих типов элементов представлены в таблице.
Таблица. Эргодическая пропускная способность антенной решетки с реальными антенными элементами
Table. Ergodic capacity of an antenna array with real antenna elements
С без учета кросс-поляризации, Бит/c/Гц | С с учетом кросс-поляризации, Бит/c/Гц | ∆C, % | |
Кросс-диполь | 6,884 | 6,869 | 1 |
Патч | 6,641 | 6,616 | 1 |
Полученные результаты показывают, что синтезированные излучающие элементы имеют хорошую развязку по поляризации, которая приведет лишь к незначительному уменьшению пропускной способности системы massive MIMO.
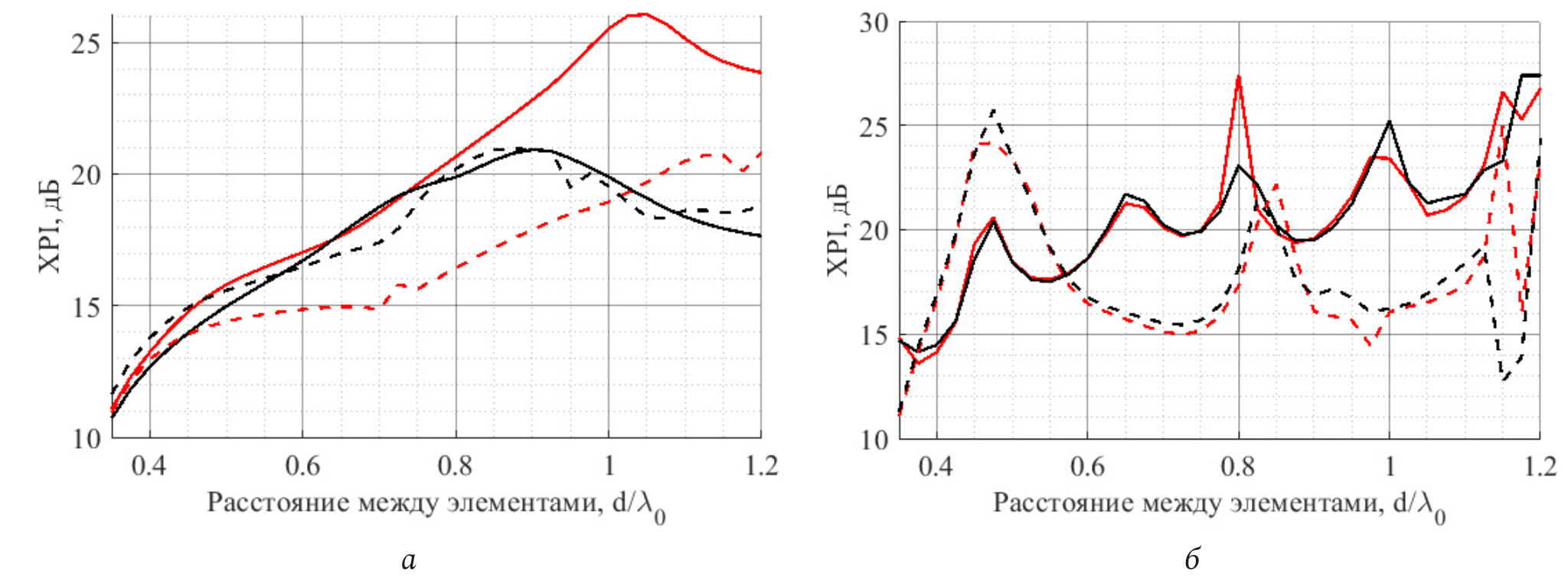
Как показано в работе [2], оптимальные параметры диаграммы направленности антенного элемента в составе решетки, обеспечивающие максимальную пропускную способность, невозможно достичь одиночным антенным элементом. Для уменьшения ширины диаграммы направленности по углу места часто сдваивают (или страивают) антенные элементы. В работе [2] приведены зависимости эргодической пропускной способности от расстояния между сдвоенными элементами.
Для оценки вклада в данные зависимости эффекта кросс-поляризации были синтезированы аналогичные сдвоенные патч- и кросс-дипольные элементы и рассчитан их коэффициент кросс-поляризации.
На рисунках приведены усредненные (в диапазоне от направления главного излучения) значения и в зависимости от расстояния между элементами.
Рис. 4. Среднее значение XPI сдвоенного кросс-дипольного (а) и stacked – патч-элементов (б) для первого (черная линия (XPIh) и второго (красная линия (XPIv) порта. Пунктирной линией обозначены срезы вдоль направления поляризации порта, сплошной – перпендикулярно)
Fig. 4. Average XPI value of dual cross-dipole (a) and stacked-patch elеments (b) for the first (black line (XPIh) and the second (red line (XPIv) port. The dotted line indicates slices along the polarization direction of the port, the solid line – perpendicularly)
Из рисунков видно, во-первых, что при сдваивании патч-элементов зависимости остаются одинаковыми до расстояния между элементам около далее проявляются незначительные отклонения, связанные с появлением боковых лепестков. При этом для кросс-дипольных элементов при расстоянии больше зависимости хоть и имеют схожий характер, но значительно отличаются по величине.
Несмотря на несимметричность и их значения как для сдвоенных кросс-диполей, так и для патч-антенн превышают 12 дБ, что, как было показано ранее, не вносит потерь в величину пропускной способности канала.
Заключение
Выведенные соотношения и разработанная методика позволяют оценить изменение пропускной способности системы связи при учете кросс-поляризационных свойств двухполяризационных элементов антенной решетки. Это позволит оптимальным образом подобрать излучающие элементы для заданной системы. На основе анализа с помощью выведенных соотношений установлено, что влияние кросс-поляризационных свойств антенных элементов решетки на пропускную способность многоканальной системы связи становится значительным при снижении величины кросс-поляризационного параметра ниже 10 дБ. Показано, что синтезированные реальные антенные элементы различного типа обладают высокой развязкой по поляризации, что приведет к незначительному снижению пропускной способности системы. Это позволяет их использовать в качестве излучателей для многоканальных систем связи на основе антенных решеток.
Финансирование
Исследование выполнено за счет гранта Российского научного фонда № 24-19-00891, https://rscf.ru/project/24-19-00891
Благодарности
Для выполнения численных расчетов в работе использовалось оборудование учебно-научного дизайн-центра проектирования радиоэлектронных систем СВЧ, терагерцового и оптического диапазонов на отечественной электронной компонентной базе ФГБОУ ВО «ВГУ» в рамках реализации федерального проекта «Подготовка кадров и научного фундамента для электронной промышленности».
About the authors
Ekaterina V. Averina
JSC «Concern “Sozvezdie”»
Email: fairy_asol@mail.ru
SPIN-code: 3324-9686
senior designer
Russian Federation, 14, Plekhanovskaya Street, Voronezh, 394018Ksenia V. Smuseva
Voronezh State University
Author for correspondence.
Email: smusevaz@gmail.com
ORCID iD: 0000-0002-8515-2841
SPIN-code: 6428-9273
ResearcherId: ABF-1963-2020
postgraduate student, teacher of the Department of Electronics, Faculty of Physics
Russian Federation, 1, Universitetskaya Square, Voronezh, 394018Pavel A. Tokarev
Voronezh State University
Email: tokarevpavel1996@mail.ru
SPIN-code: 2598-7927
postgraduate student of the Department of Electronics, Faculty of Physics
Russian Federation, 1, Universitetskaya Square, Voronezh, 394018Grigory K. Uskov
Voronezh State University
Email: uskov@phys.vsu.ru
ORCID iD: 0000-0001-8250-2511
SPIN-code: 8126-6222
ResearcherId: H-1344-2013
Doctor of Physical and Mathematical Sciences, professor, head of the Department of Electronics, Faculty of Physics
Russian Federation, 1, Universitetskaya Square, Voronezh, 394018References
- O. V. Bazhanova et al., “Investigation of mutual coupling coefficients in dual-polarized antenna arrays,” Physics of Wave Processes and Radio Systems, vol. 26, no. 4, pp. 78–87, 2023, doi: https://doi.org/10.18469/1810-3189.2023.26.4.78-87. (In Russ.)
- L. I. Averina, K. V. Smuseva, and G. K. Uskov, “Design of antenna arrays for massive MIMO microwave systems,” Infokommunikatsionnye i radioelektronnye tekhnologii, vol. 7, no. 3, pp. 485–500, 2024, url: https://www.elibrary.ru/item.asp?id=68637757. (In Russ.)
- X. Cheng, Y. He, and M. Guizani, “3-D geometrical model for multi-polarized MIMO systems,” IEEE Access, vol. 5, pp. 11974–11984, 2017, doi: https://doi.org/10.1109/ACCESS.2017.2715280.
- G. Oliveri, G. Gottardi, and A. Massa, “A new meta-paradigm for the synthesis of antenna arrays for future wireless communications,” IEEE Transactions on Antennas and Propagation, vol. 67, no. 6, pp. 3774–3788, 2019, doi: https://doi.org/10.1109/TAP.2019.2906433.
Supplementary files





