Analysis of methods for reducing the signal PAPR under the influence of the Doppler effect in hybrid communication networks
- Authors: Salnikov R.O.1, Meshkov I.K.1, Gizatulin A.R.1, Timofeev A.L.1, Sultanov A.K.1, Kharenko A.A.1, Meshkova A.G.1
-
Affiliations:
- Ufa University of Science and Technology
- Issue: Vol 27, No 3 (2024)
- Pages: 61-70
- Section: Original Study Articles
- URL: https://bakhtiniada.ru/1810-3189/article/view/269923
- DOI: https://doi.org/10.18469/1810-3189.2024.27.3.61-70
- ID: 269923
Cite item
Abstract
Background. For further development of communication networks, it is planned to use hybrid satellite networks for traffic transmission. However, satellite communication channels have features such as distortion caused by the Doppler effect and increased energy efficiency requirements. Aim of this study is to analyze variants of orthogonal frequency multiplexing methods and modulation methods in order to choose the most stable technology, taking into account destabilizing factors. Method. Comparing different signal processing technologies and studying their resistance to bit errors is the imitation modeling of the communication channel in the Matlab environment. This approach allows creating a model of the communication network, taking into account the main parameters of communication channels, such as the Doppler effect, energy deficiency and destabilizing factors. Results. The distribution of the bit error coefficient for various signal processing technologies, depending on the signal-to-noise ratio, is compared. The method of frequency multiplexing is defined, providing the minimum peak factor and the most resistant to bit error. It is also noted that the effectiveness of all the studied technologies depends on the spacing and modulation constellations, and that it is necessary to adjust the characteristics of the system for each case. Conclusion. The results of this study can be used to improve the quality of communication in difficult interference conditions of hybrid mobile networks of 5 and 6 generations using the satellite segment.
Keywords
Full Text
Introduction
The emergence of standardized Narrow Band Internet of Things (NB-IoT), Industrial Internet of Things and fully connected vehicles (Vehicle-to-Everything, V2X) has led to a shift in the focus of mobile networks from connecting people to connecting devices. However, terrestrial networks have territorial limitations related to base station coverage, so it is proposed to use non-terrestrial communication networks to provide total coverage [1]. Currently, several solutions based on Orthogonal Frequency-Division Multiplexing (OFDM) technology are known for signal transmission in terrestrial and satellite networks. However, transmissions with high Peak-to-Average-Power-Ratio (PAPR) can quickly deplete the battery power of devices and lead to internal interference [1]. Therefore, a variation of OFDM, named DFT-s-OFDM, is proposed as an alternative solution that reduces the peak factor and provides low computational complexity of signal processing algorithms by introducing direct and inverse discrete Fourier transform (DFT, IDFT, Discrete Fourier Transform, Inverse Discrete Fourier Transform) into standard OFDM algorithms. The use of the zero-tail method [2] for controlling the out-of-band radiation and PAPR parameters is also discussed. Hybrid signal processing techniques using zero-tails or unique words [3] can be applied in hybrid communication networks where satellites extend the coverage area and provide continuity of service to subscribers. Modern low-orbit satellites travel in circular orbits at altitudes between 300 and 1500 km [4–6].
Analysis of peculiarities of data retransmission from low-orbit satellites
When retransmitting data over satellite communication networks, latency and Doppler shift are the main problems that need to be addressed in hybrid networks. Doppler shift causes changes in carrier frequency, phase, and subcarrier frequency diversity, which can lead to interference between signals. In the worst case, the Doppler shift can reach values up to several hundred kHz and its rate of change can be several kHz/s [7–8]. The Doppler shift can be compensated using satellite motion information and subscriber terminal location. The Doppler shift also depends on the relative velocities of the terminal and satellite, and increases with increasing frequency. A low-orbit satellite can be connected to the subscriber’s terminal within 14 min. To reduce the Doppler effect during data transmission in the satellite channel, orthogonal frequency-division multiplexing with DFT distribution of subcarrier frequencies and block tails zero padding is used. This is accomplished by nulling the data symbols affecting the tail of the DFT-s-OFDM symbol. The so-called zero-tail is analogous to the cyclic prefix in CP-OFDM, which allows frequency channel equalization to be maintained. ZT-DFT-s-OFDM signal processing technology is a modernization of DFT-s-OFDM technology, but their structures are almost identical. Zero-padding both ends of the DFT distribution block provides a significant reduction of the out-of-band emissions. Flexibility in setting the length of guard intervals is provided by defining the number of zeros at the input of the DFT-distribution block. The papers [3; 9] describe the UW-DFT-s-OFDM technique, which utilizes unique pattern-words to create non-zero fixed samples in ZT DFT-s-OFDM, DFT-s-OFDM, OFDM symbols. The UW pattern can be added either before or after the Fourier transform, and orthogonality between the useful data and the UW pattern is maintained. When demodulating data symbols, there is no need to know the unique word at the receiving end. UW signals retain their contiguity due to circular convolution using the sinc function.
PAPR estimation and compensation under the influence of the Doppler effect in the satellite channel
Consider the process of transmitting signals between a low-orbit satellite and ground equipment, or a mobile subscriber who is located in a moving high-speed ground or air vehicle. Data on Doppler shift calculations and channel model for such cases are presented in 3GPP studies [7; 10].
DFT precoding [11; 12] transforms the input signals into the frequency domain to create single-carrier block signals with different bandwidths by varying the DFT block size with respect to the guard interval duration. DFT-s-OFDM reduces Out Of Band Emissions (OOBE), and has simpler and more flexible implementation mechanisms to control parameters such as PAPR and OOBE compared to OFDM and analogs. It also reduces the PAPR and increases the sampling rate of data symbols. This results in the generation of a signal at a single carrier frequency.
Suppose that the total number of subcarriers that will carry useful information is M, in which case the input data is as follows: and they are displayed as: The display will then be provided using DFT, as shown in (1).
(1)
DFT-distributed symbols related to are arranged in M subcarriers, which are a smaller part of the number of subcarriers, due to the zero padding operation, as shown in (2).
The zero padding operation can be described as:
(2)
where k is the symbol of the k-th subcarrier [13].
There are two variants of subcarrier frequency allocation for subscribers in FDMA technology: distributed (DFDMA) and localized (LFDMA) [14]. DFDMA uses M subcarriers in the DFT transform over the entire frequency band, zero padding the remaining (N-M) carriers. LFDMA uses M consecutive subcarriers in a frequency band of N subcarriers, zero padding the remaining (N-M). There is also an IFDMA access method, which is a variation of distributed FDMA, where the output of the DFT transform is distributed with equal spacing N / M = S.
In general, the value of PAPR is determined by formula (3)
(3)
In order to evaluate noise-like signals transmitted in wireless networks, it is necessary to know the statistical description of their power levels. To do this, the Complementary Cumulative Distribution Function (CCDF) is used to indicate how long the signal is at or above a certain power level. The CCDF curve is a graph of the dependence of power levels on probability. This function is also used to estimate nonlinearities in power amplifiers and transmitters. The probability that PAPR does not exceed a given threshold power level, denoted as FPAPR(z), and that PAPR not exceeding z, where z is the threshold signal level, will be equal to:
(4)
for N low-speed data streams, with CCDF as
(5)
Traditionally, synchronization errors due to multipath can be corrected due to pilot estimation because synchronization errors are converted into phase errors using Cyclic Prefix (CP). This also makes the subcarriers immune to the temporal circular shift that causes phase errors.
The relationship between BER (Bit Error Rate) and Doppler shift in wireless communication is an important area of research in telecommunications. BER, or Bit Error Rate, is a key quality indicator in digital communication systems [15]. It is calculated by determining the ratio of the number of incorrectly received bits to the total number of bits transmitted. A high BER indicates poor communication quality, which can lead to data loss and inefficiencies in the communication system. Doppler shift, on the other hand, is a physical effect caused by motion between the transmitter and receiver. This movement can change the frequency of the received signal relative to its original frequency. Changing the frequency can distort the signal and increase the BER. The distortion is particularly noticeable when the transmitter or receiver moves quickly, which is common in mobile wireless systems. In mobile communications, where devices often move at high speeds, such as cell phones in moving cars or trains, the effect of Doppler shift can be particularly noticeable. This leads to a significant increase in BER and degradation of communication quality.
The Doppler effect is very important for bit error rate estimation, especially for low-orbit satellite systems. The transit time of such satellites is limited to 14 min. The relative velocity of the satellite is maximum at a position angle of 30° and below. At this point, the Doppler shift reaches maximum. Thus, the signal spectrum is shifted from the nominal value that is generated by the local heterodyne, resulting in demodulation errors [16–17].
In addition, an OFDM system requires tight frequency synchronization compared to single-carrier systems because the subcarriers are narrowband and each subcarrier experiences different Doppler shifts. Doppler diversity properties can be used in multi-carrier systems to combat channel fading, for example by artificially adding shifts using digital processing at the transmitter. However, this anti-fading solution leads to a significant deterioration of the PAPR parameter values. Obviously, after Doppler shift of a multi-carrier signal, the amplitude of the superimposed signal changes more dramatically in the time domain, which leads to an increase in PAPR [18–19].
We use a linear filter model with a dedicated delay with time-varying coefficients to model the channel. Each delayed signal is modulated in amplitude and phase by independent random functions of the main frequency band time, resulting in Rayleigh fading. TDL (TappedDelayLine) channel models [10; 20] are defined for the full frequency range from 0,5 to 100 GHz with a maximum bandwidth of 2 GHz. This paper considers a TDL-C channel model that describes the behavior of a wireless channel considering the effects of multipath propagation, fading and noise. This model can be used to simulate various wireless communication scenarios and evaluate the performance of communication systems. Some applications of the model include evaluating the performance of 5G mobile networks in urban and rural areas, and designing communication systems for high interference environments. The paper also analyzes the effect of signal processing technologies and channel types on PAPR and bit error rate in satellite channel.
Modeling results
Simulation modeling was carried out in Matlab environment, the code used is based on the simulation program presented in [21–22].
The main data used in the modeling are: signal processing techniques and data access methods, such as OFDM, with and without cyclic prefix (OFDM and OFDMnoCP); DFT-s-OFDM, with and without cyclic prefix (DFT-OFDM and DFT-OFDMnoCP); its hybrid variations, ZT-DFT-s-OFDM and UW-DFT-s-OFDM (ZTDFT-OFDM and UWDFT-OFDM), as well as the frequency-division multiplexing method with multiple carriers using a frequency filter comb (FilterBankMulticarrier, FBMC). OFDM and FBMC techniques have already been validated for use in satellite communication channels [23–24]. Other data used in the modeling include the radiated signal waveform, number of subcarriers, modulation order, carrier frequency (4,8 GHz, [25]), channel model (AWGN, TDL [10; 26]), and so on. Since the channel is modeled for communication with a satellite in low-Earth orbit, the velocity values are taken as 7556,2 m/s or 27202,32 km/h (orbit altitude of 600 km).
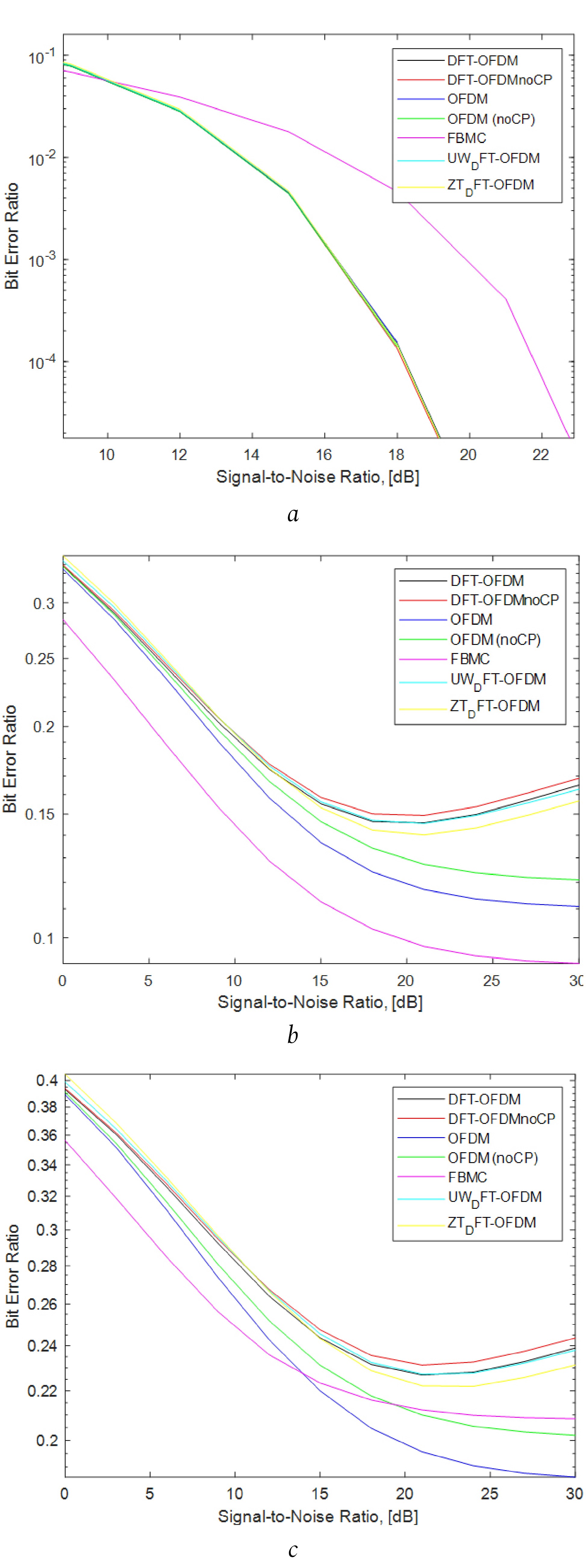
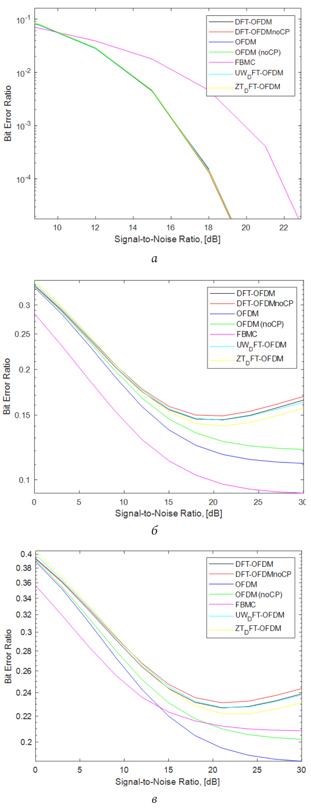
The simulation compares the distribution of the bit error rate as a function of the change in signal-to-noise ratio for different signal processing techniques. The obtained bit error rate graphs for AWGN and TDL-C channels are presented (Fig. 1). Fig.1, a shows the result of bit error rate estimation under white Gaussian noise, which does not take into account the satellite speed, with subcarrier spacing of 30 kHz and modulation constellation of 16-QAM. The effect of Doppler shift under high speed movement conditions introduced significant distortion in the estimation of the bit error rate. For this reason, Figs. 1, b–c are enlarged for better clarity. The minimum value of BER for DFT-s-OFDM-based processing technologies under satellite-Earth channel conditions was achieved in the case of 480 kHz spacing and QAM-16 modulation (Fig.1, b), the variations of the obtained BER values for different technologies lie in the range from 0,15 to 0,2. Considering the results in general, the FBMC method showed the lowest BER value during the study. After the conducted experiments, it is worth noting that the efficiency of all presented technologies changes with the change of separation intervals and modulation constellations, which allows us to conclude that it is necessary to adjust the characteristics of the system for each specific case. All the above experimental results show a rather high complexity in channel error correction for satellites moving at high velocities. Nevertheless, proper selection of the modulation constellation and development of frequency plans, including for networks of 5G and 6G technologies, can yield positive results.
Fig. 1. Graphs of the bit error coefficient for all the presented processing technologies: a – AWGN channel; b – channel TDL_C, QAM-16, subcarrier spacing – 480 kHz; c – TDL_C channel, QAM-64, subcarrier spacing – 480 kHz
Рис. 1. Графики коэффициента битовой ошибки для всех представленных технологий обработки: а – канал AWGN; б – канал TDL_C, QAM-16, разнесение поднесущих – 480 кГц; в – канал TDL_C, QAM-64, разнесение поднесущих – 480 кГц
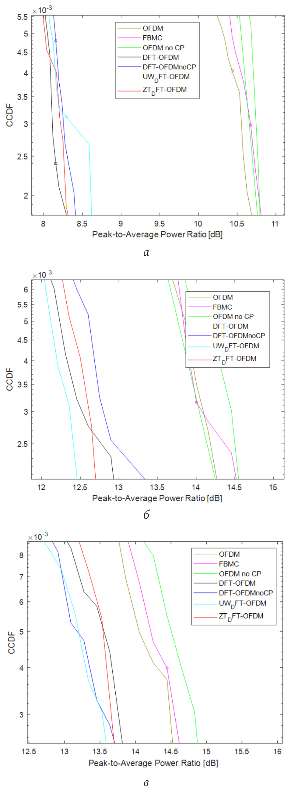
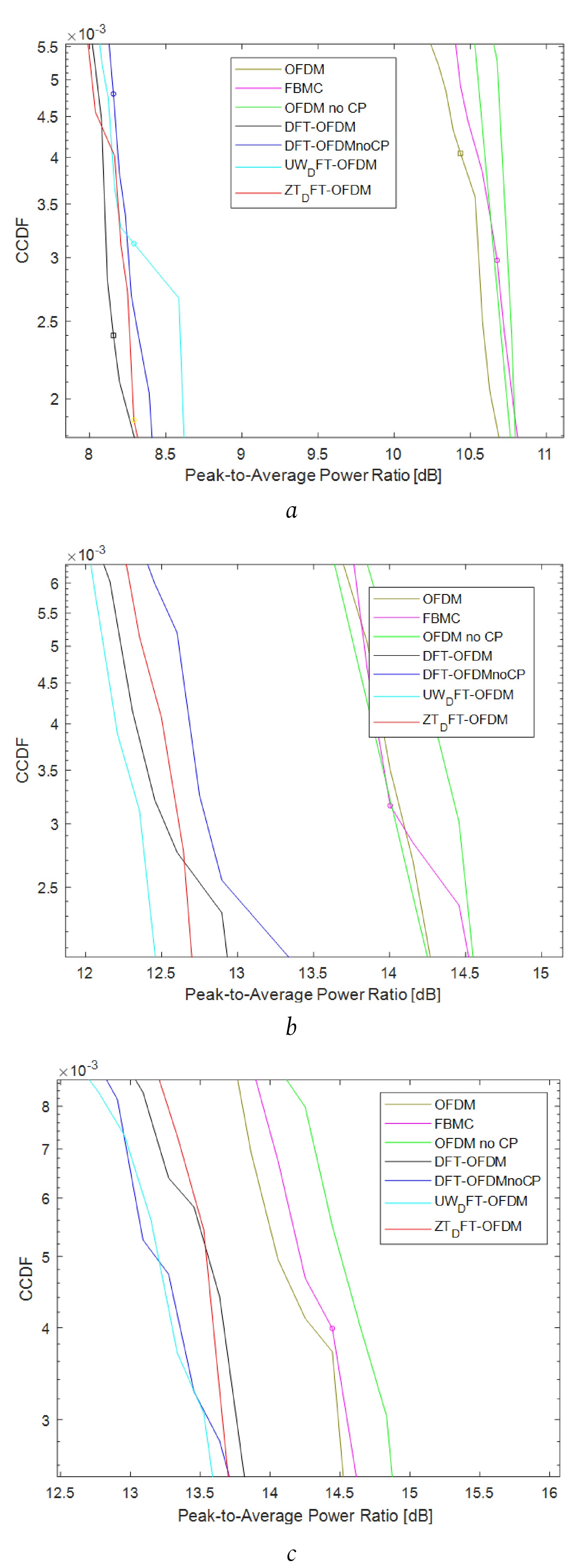
Fig. 2 shows the graphs of the dependence of CCDF on PAPR for all studied signal processing technologies. Fig. 2, a shows the PAPR estimation result for a channel with white Gaussian noise, ignoring the satellite velocity, with a subcarrier spacing of 30 kHz and a modulation constellation of 16-QAM. DFT-s-OFDM-based signal processing techniques significantly reduce PAPR values (3–4 dB difference) relative to OFDM, OFDMnoCP, and FBMC processing techniques under conditions of significant Doppler shift exposure (Fig. 2, b–c). With the change of modulation format and increase of subcarrier diversity, the energy efficiency of UW-DFT-s-OFDM and ZT-DFT-s-OFDM technologies in modeling data transmission in satellite channel increases.
Fig. 2. PAPR graphs for all presented processing technologies: a – AWGN channel; b – channel TDL_CQAM-16, subcarrier spacing – 480 kHz; c – TDL_CQAM-64 channel, subcarrier spacing – 480 kHz
Рис. 2. Графики зависимости PAPR к CCDF для всех представленных технологий обработки: а – канал AWGN; б – канал TDL_CQAM-16, разнесение поднесущих – 480 кГц; в – канал TDL_CQAM-64, разнесение поднесущих – 480 кГц
Nevertheless, as can be seen from the figures in Fig. 2, b–c, the size of the QAM modulation constellation affects the PAPR level in the context of complex channels. The larger the constellation size, the greater the potential signal power levels, and hence the higher the PAPR. For example, 64-QAM has a larger PAPR compared to 16-QAM.
The above results allow us to consider the hybrid technologies UW-DFT-s-OFDM and ZT-DFT-s-OFDM as effective methods to improve the quality of services in complex interference conditions and as candidates for use in mobile networks of 5 and 6 generations with space segment from the point of view of PAPR reduction in the transceiver equipment.
Conclusion
The study shows that for data transmission between mobile subscriber and satellite segments in new converged fifth and sixth generation networks, it is feasible to use DFT-s-OFDM technologies and their hybrid variations to reduce the PAPR level and preserve the channel energy performance. However, the results for the bit error rate parameter are not as good, which may be corrected by proper selection of modulation constellation and frequency plans. In order to reduce the bit error rate values in complex channels, it is further proposed to investigate the use of deep learning techniques and determine the necessary characteristics to reduce the BER.
About the authors
Roman O. Salnikov
Ufa University of Science and Technology
Author for correspondence.
Email: kosshak17@yandex.ru
ORCID iD: 0009-0009-9670-6000
SPIN-code: 2069-1136
full-time postgraduate student of the Department of Telecommunication Systems
Russian Federation, 32, Zaki Validi Street, Ufa, 450076Ivan K. Meshkov
Ufa University of Science and Technology
Email: mik.ivan@bk.ru
ORCID iD: 0000-0003-3479-3072
SPIN-code: 3751-8588
Candidate of Technical Sciences, Associate Professor of the Department of Telecommunication Systems
Russian Federation, 32, Zaki Validi Street, Ufa, 450076Azat R. Gizatulin
Ufa University of Science and Technology
Email: azat_poincare@mail.ru
ORCID iD: 0000-0002-0753-0608
SPIN-code: 3283-7153
Candidate of Technical Sciences, Associate Professor of the Department of Telecommunication Systems
Russian Federation, 32, Zaki Validi Street, Ufa, 450076Alexandr L. Timofeev
Ufa University of Science and Technology
Email: a_l_t@inbox.ru
ORCID iD: 0000-0003-2137-803X
SPIN-code: 2638-4439
Candidate of Technical Sciences, Associate Professor of the Department of Electronic Engineering
Russian Federation, 32, Zaki Validi Street, Ufa, 450076Albert Kh. Sultanov
Ufa University of Science and Technology
Email: sultanov.ah@mail.ru
ORCID iD: 0000-0002-2830-3498
Doctor of Technical Sciences, Professor of the Department of Telecommunication Systems, Full member of the International Academy of Telecommunications, Honored Scientist of the Republic of Bashkortostan, Honored Worker of Higher Education of the Russian Federation
Russian Federation, 32, Zaki Validi Street, Ufa, 450076Artemy A. Kharenko
Ufa University of Science and Technology
Email: tema@kharenko.art
ORCID iD: 0000-0002-0652-8979
SPIN-code: 2518-2430
Postgraduate student of the Department of Telecommunication Systems
Russian Federation, 32, Zaki Validi Street, Ufa, 450076Alina G. Meshkova
Ufa University of Science and Technology
Email: Alina0808@gmail.com
ORCID iD: 0009-0007-7178-7524
SPIN-code: 4372-6130
Associate Professor of the Department of Telecommunication Systems
Russian Federation, 32, Zaki Validi Street, Ufa, 450076References
- W. Tong and P. Zhu, 6G: The Next Horizon. From Connected People and Things to Connected Intelligence. Cambridge: Cambridge University Press, 2021.
- M. Nemati, H. Takshi, and H. Arslan, “A flexible hybrid waveform,” 2017 IEEE International Black Sea Conference on Communications and Networking (BlackSeaCom), pp. 1–5, 2017, doi: https://doi.org/10.1109/BlackSeaCom.2017.8277659.
- A. Sahin et al., “An improved unique word DFT-spread OFDM scheme for 5G systems,” 2015 IEEE Globecom Workshops (GC Wkshps), pp. 1–6, 2015, doi: https://doi.org/10.1109/GLOCOMW.2015.7414173.
- S. V. Pekhterev, S. I. Makarenko, and A. A. Koval'skiy, “Descriptive model of the Starlink satellite communications system,” Sistemy upravleniya, svyazi i bezopasnosti, no. 4, pp. 190–255, 2022, doi: https://doi.org/10.24412/2410-9916-2022-4-190-255. (In Russ.)
- N. D. An' and A. V. Ershov, “The «Marathon IoT» system and the new satellite IoT market,” Tekhnologii i sredstva svyazi, no. S1, pp. 75–80, 2021, url: https://elibrary.ru/item.asp?id=48046779. (In Russ.)
- M. Ozger et al., “G for connected sky: A vision for integrating terrestrial and non-terrestrial networks,” 2023 Joint European Conference on Networks and Communications & 6G Summit (EuCNC/6G Summit), pp. 711–716, 2023, doi: https://doi.org/10.1109/EuCNC/6GSummit58263.2023.10188330.
- GPP TR 28.808 V17.0.0 (2021-03). 3rd Generation Partnership Project; Technical Specification Group Services and System Aspects Study on management and orchestration aspects of integrated satellite components in a 5G network (Release 17), 2021.
- A. Sattarzadeh et al., “Satellite-based non-terrestrial networks in 5G: Insights and challenges,” IEEE Access, vol. 10, pp. 11274–11283, 2022, doi: https://doi.org/10.1109/ACCESS.2021.3137560.
- P. Pedrosa et al., “A state-space approach for tracking Doppler shifts in radio inter-satellite links,” IEEE Access, vol. 9, pp. 102378–102386, 2021, doi: https://doi.org/10.1109/ACCESS.2021.3098562.
- G. Berardinelli et al., “Zero-tail DFT-spread-OFDM signals,” 2013 IEEE Globecom Workshops (GC Wkshps), pp. 229–234, 2013, doi: https://doi.org/10.1109/GLOCOMW.2013.6824991.
- GPP ETSI TR 138 901 V17.0.0 (2022-04). 5G; Study on channel model for frequencies from 0.5 to 100 GHz (3GPP TR 38.901 version 17.0.0 Release 17), 2022.
- G. Berardinelli, “Generalized DFT-s-OFDM waveforms without cyclic prefix,” IEEE Access, vol. 6, pp. 4677–4689, 2018, doi: https://doi.org/10.1109/ACCESS.2017.2781122.
- U. Kumar et al., “A Waveform for 5G: Guard interval DFT-s-OFDM,” 2015 IEEE Globecom Workshops (GC Wkshps), pp. 1–6, 2015, doi: https://doi.org/10.1109/GLOCOMW.2015.7414204.
- I. K. Meshkov et al., “The development of methods for estimating and compensating frequency and time offset in 6G DFT-s-OFDM technology communication systems,” 2022 IEEE International Multi-Conference on Engineering, Computer and Information Sciences (SIBIRCON), pp. 1040–1045, 2022, doi: https://doi.org/10.1109/SIBIRCON56155.2022.10016969.
- M. Yu. Zuev, “Complex improvement of the efficiency of radio electronic devices and information transmission systems with OFDM based on nonlinear systems with dynamic chaos,” Physics of Wave Processes and Radio Systems, vol. 25, no. 1, pp. 55–64, 2022, doi: https://doi.org/10.18469/1810-3189.2022.25.1.55-64. (In Russ.)
- Y. S. Cho et al., MIMO-OFDM Wireless Communications with MATLAB. Hoboken: John Wiley & Sons, 2010.
- M. G. Polyak, “Bit error ratio, caused by Doppler effect, for systems of space diversity reception,” Journal of Siberian Federal University. Engineering & Technologies, no. 12 (1), pp. 64–71, 2019, doi: https://doi.org/10.17516/1999-494X-0075.
- A. S. Abraham and S. Nitha, “Significance and effects of peak to average power ratio reduction techniques in an OFDM system,” International Journal of Research Studies in Science, Engineering and Technology, vol. 2, no. 8, pp. 79–83, 2015, url: https://ijrsset.org/pdfs/v2-i8/11.pdf.
- Y. Zhao et al., “OAM-based reconfigurable Doppler shifts enable PAPR reduction for multi-carrier Doppler diversity,” 2022 Asia-Pacific Microwave Conference (APMC), pp. 485–487, 2022, doi: https://doi.org/10.23919/APMC55665.2022.9999832.
- G.-R. Barb et al., “Performance evaluation of TDL channels for downlink 5G MIMO systems,” 2019 International Symposium on Signals, Circuits and Systems (ISSCS), pp. 1–4, 2019, doi: https://doi.org/10.1109/ISSCS.2019.8801790.
- R. Nissel and M. Rupp, “Pruned DFT-spread FBMC: Low PAPR, low latency, high spectral efficiency,” IEEE Transactions on Communications, vol. 66, no. 10, pp. 4811–4825, 2018, doi: https://doi.org/10.1109/TCOMM.2018.2837130.
- R. O. Sal'nikov et al., “Study of methods for estimating and compensating frequency mismatch in 6G communication systems with DFT-s-OFDM technology in channels with Rician and Rayleigh fading,” Infokommunikacionnye tehnologii, vol. 20, no. 4, pp. 14–22, 2022, url: https://www.elibrary.ru/item.asp?id=54514011. (In Russ.)
- B. Vaseghi et al., “Finite time chaos synchronization in time-delay channel and its application to satellite image encryption in OFDM communication systems,” IEEE Access, vol. 9, pp. 21332–21344, 2021, doi: https://doi.org/10.1109/ACCESS.2021.3055580.
- M. Caus and A. I. Pérez-Neira, “FBMC-based random access signal design and detection for LEO base stations,” IEEE Transactions on Wireless Communications, vol. 22, no. 3, pp. 2156–2170, 2023, doi: https://doi.org/10.1109/TWC.2022.3209898.
- Frequencies for 5G in Russia. TAdviser. URL: https://clck.ru/353BMG (In Russ.)
- J. Lahdenperä, “On feasibility of the UE power saving signal for the 5G new radio,” Master’s thesis, University of Oulu, 2019.
Supplementary files



