Receiving and transmitting feed of reflector antennas for satellite communication systems
- 作者: Gabriel’ean D.D.1, Demchenko V.I.1, Korovkin A.E.1, Boychuk S.I.1
-
隶属关系:
- FRPC «FSUE “RSRIRC”»
- 期: 卷 25, 编号 2 (2022)
- 页面: 83-90
- 栏目: Articles
- URL: https://bakhtiniada.ru/1810-3189/article/view/143685
- DOI: https://doi.org/10.18469/1810-3189.2022.25.2.83-90
- ID: 143685
如何引用文章
全文:
详细
The performance indicators of the antenna-feed path of a multiband reflector antenna are formulated and analyzed in the form of partial coefficients of the complex amplitude of the input signal, vectors of the polarization signal and noise in the input signal in each of the combined ranges. Examples of implementation of antenna-feed path multiband antennas based on various layouts are considered. Conclusions are drawn about the advantages and disadvantages of the presented methods.
全文:
Введение
Постоянный рост объемов передаваемой информации и расширение рынка спутниковых информационных услуг приводят к необходимости освоения новых диапазонов частот и использования поляризационного уплотнения передаваемых сигналов в системах спутниковой связи (ССС). При этом для снижения стоимости наземных приемных комплексов ССС широкое распространение находят многодиапазонные зеркальные антенны (МЗА), осуществляющие в каждом из совмещаемых диапазонов частот прием сигналов ортогональных поляризаций.
Использование таких антенн приводит к необходимости решения вопросов построения антенно-волноводных трактов (АВТ), обеспечивающих эффективное разделение принимаемых сигналов по частоте и поляризации. При этом под эффективностью разделения сигналов следует понимать отношение сигнал/(помеха + шум) на выходе соответствующего частотно-поляризационного канала МЗА при заданном распределении мощностей принимаемых сигналов и шумов по частотным диапазонам и поляризациям. Помехой в этом случае являются сигналы того же или близких диапазонов частот других поляризаций.
Различные варианты построения АВТ и входящих в их состав устройств для разделения принимаемых сигналов по частоте и поляризации рассматривались в ряде работ, например [1–4]. Однако в этих работах отсутствует системный анализ эффективности применения того или иного способа разделения сигналов, что не позволяет в полной мере использовать результаты выполненных исследований. Вследствие этого возникает необходимость системного рассмотрения способов разделения и реализации их в АВТ МЗА ССС [4–8].
Целью работы является системный анализ эффективности применения различных способов частотно-поляризационного разделения сигналов в АВТ МЗА ССС.
Решаемые задачи:
- Формулировка показателя эффективности применения АВТ в составе МЗА ССС.
- Анализ эффективности применения способа разделения принимаемых сигналов по частоте-поляризации.
- Анализ эффективности применения способа разделения принимаемых сигналов по поляризации-частоте.
1. Формулировка показателя эффективности применения АВТ в составе МЗА ССС
В многодиапазонной антенне ССС, предназначенной для совмещенного приема сигналов нескольких диапазонов частот и поляризаций, на вход АВТ поступает сигнал, представляющий собой сумму сигналов различных диапазонов частот и поляризаций
(1)
где – частотная зависимость комплексной амплитуды входного сигнала; и – соответственно, частотная зависимость комплексной амплитуды и вектор одной из возможных поляризаций m-го входного сигнала – частотная зависимость шумов во входном сигнале.
Антенно-волноводный тракт в МЗА ССС представляет собой устройство с одним входом и выходами, в каждом из которых формируется сигнал одного диапазона частот и одной поляризации …, – выделенный на выходе АВТ сигнал l-го частотного диапазона одной из четырех возможных видов поляризаций). Каждый из сигналов на выходе АВТ соответствует приему сигнала с k-м набором частотно-поляризационных характеристик и может быть представлен с использованием следующего выражения
(2)
где – обобщенный коэффициент передачи сигнала l-го диапазона частоты i-й поляризации из входного сигнала на соответствующий ему выход АВТ; – поляризационный базис канала АВТ l-го диапазона частот i-й поляризации.
Выражение (2) позволяет учитывать как согласование входов АВТ с облучателем МЗА и выходов АВТ с приемным устройством, так и совпадение поляризации принимаемого сигнала и поляризационного базиса соответствующего канала АВТ.
Сигналы всех остальных диапазонов частот и поляризаций на выходе канала, соответствующего выделению сигнала l-го частотного диапазона i-й поляризации, по аналогии с выражением (2) могут быть записаны следующим образом:
(3)
Выбор параметров АВТ выбирается таким образом, чтобы обеспечить наилучший прием сигналов всех совмещаемых диапазонов частот, что математически может быть представлено как
(4)
где
– вектор, элементами которого являются параметры АВТ.
С физической точки зрения предлагаемый показатель эффективности представляет собой изменение ОСШ на выходе МЗА, обусловленное структурой и параметрами АВТ.
Предложенный показатель эффективности может использоваться для проведения системного анализа различных способов построения АВТ, которые принципиально могут быть выделены в две группы:
- разделение по частоте – разделение по поляризации, при котором на первом этапе из принимаемого сигнала выделяются сигналы, соответствующие совмещаемым частотным диапазонам, на втором этапе проводится их поляризационное разуплотнение;
- разделение по поляризации – разделение по частоте, при котором на первом этапе выполняется поляризационное разуплотнение принимаемой совокупности сигналов совмещаемых диапазонов частот, на втором этапе – частотная селекция сигналов выделенных поляризаций.
2. Анализ эффективности применения способа разделения принимаемых сигналов по частоте-поляризации
Рассмотрим реализацию АВТ МЗА, построенного на основе принципа «разделение по частоте – разделение по поляризации». Указанный способ построения АВТ, структурная схема которого приведена на рис. 1, реализуется следующим образом:
- принимаемый сигнал с выхода облучателя попадает на вход частотного диплексера первого (низшего из совмещаемых) диапазона частот, в котором обеспечивается:
- прохождение сигнала первого диапазона частот на первый выход, к которому подключено устройство поляризационного преобразования и селекции первого диапазона;
- прохождение сигналов более высоких диапазонов частот на второй выход, к которому подключен второй диплексер;
- во втором частотном диплексере аналогичным образом на первом выходе выделяется сигнал второго частотного диапазона, а сигналы более высоких диапазонов частот со второго выхода поступают на вход третьего частотного диплексера;
- в -м частотном диплексере на первом выходе выделяется сигнал -го диапазона частот, который поступает на вход устройства поляризационного преобразования и селекции -го частотного диапазона, а на втором выходе формируется сигнал K-го частотного диапазона, который поступает на вход устройства поляризационного преобразования и селекции соответствующего диапазона частот.
Рис. 1. Блок-схема способа разуплотнения в многодиапазонном АВТ «разделение по частоте – разделение по поляризации»
Возможность частотного разноса совмещаемых диапазонов частот определяется, как следует из приведенной схемы, построением первого диплексера. Возможность максимального разноса частот в диплексере на практике не превышает 5:1 [2]. Дальнейшее расширение полосы частот приводит к возбуждению высших мод верхнего диапазона частот и, соответственно, снижению амплитуды основной моды верхнего из диапазонов.
В частном случае совмещения двух диапазонов возможен вариант первичного отбора второго частотного диапазона, а сигнал первого диапазона поступает на выход частотного диплексера.
Достоинством данного варианта построения АВТ является типовое построение устройств поляризационного преобразования и селекции в каждом из частотных диапазонов, недостатком – необходимость использования частотных диплексеров и однодиапазонных устройств поляризационного преобразования и селекции соответствующих диапазонов частот. С учетом этого возможное число совмещаемых диапазонов частот определяется параметрами частотных диплексеров. Кроме того, при отсутствии технологических погрешностей изготовления АВТ рассогласование вектора поляризации принимаемого сигнала и поляризационного базиса соответствующего канала АВТ отсутствует, т. е. В этом случае выражение, определяющее эффективность АВТ, упрощается и принимает вид
(5)
Анализ способов частотно-поляризационного разделения сигналов проведен на основе двух вариантов построения трехдиапазонного АВТ.
- Трехдиапазонный АВТ построен путем подключения к оптимальному по критерию (5) двухдиапазонному АВТ устройства поляризационного преобразования и селекции третьего частотного диапазона с сохранением параметров устройств (неоптимизированного трехдиапазонного АВТ). При этом в качестве исходного двухдиапазонного АВТ может рассматриваться как тракт с совмещением двух нижних диапазонов частот с подключением более высокочастотного тракта, так и тракт с совмещением двух верхних диапазонов частот с подключением тракта нижнего диапазона частот.
- Трехдиапазонный АВТ построен путем подключения к двухдиапазонному АВТ устройства поляризационного преобразования и селекции третьего частотного диапазона и оптимизации трехдиапазонного АВТ в целом по критерию (5).
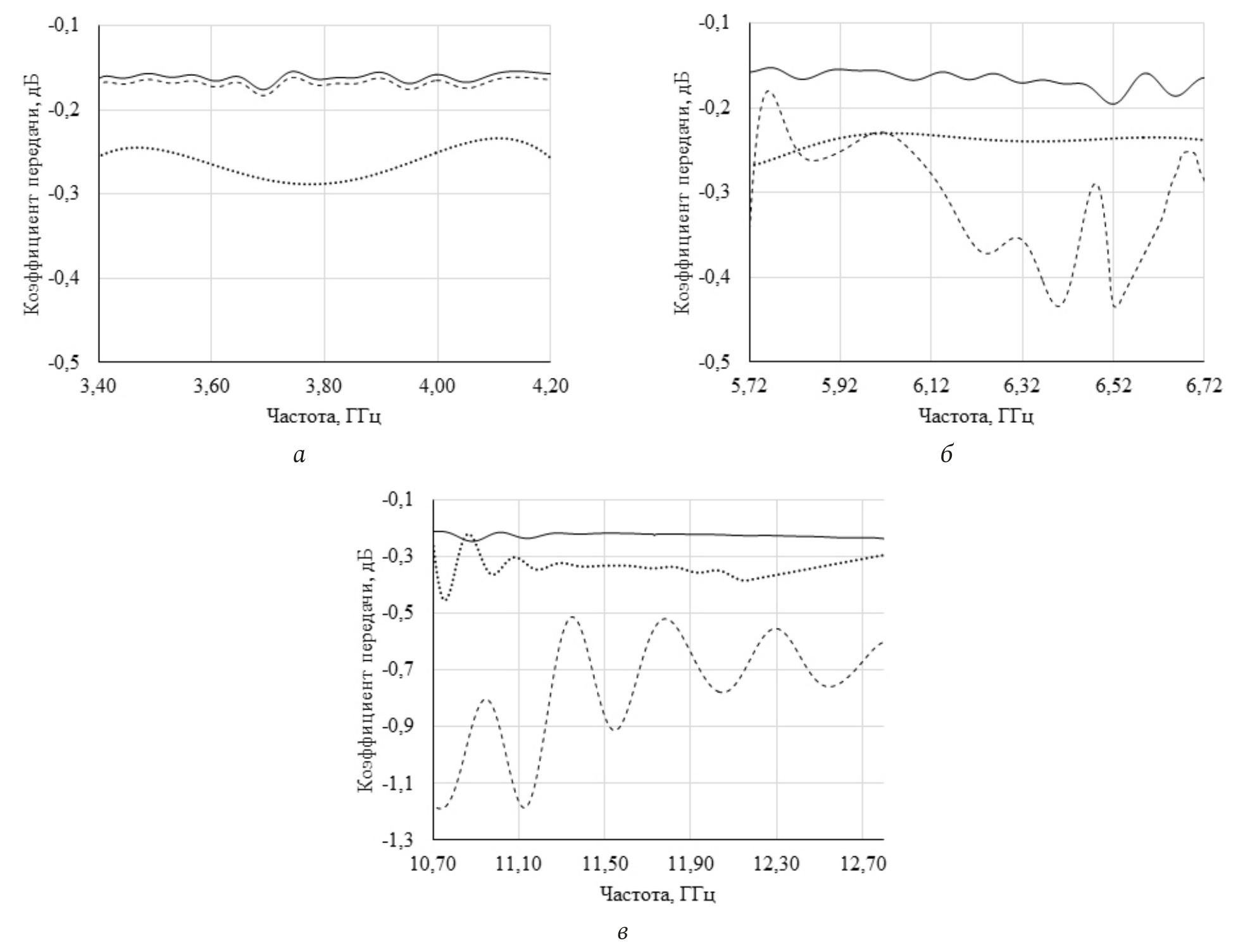
На рис. 2 приведены результаты измерений частотных зависимостей обобщенных коэффициентов передачи сигналов в трехдиапазонном АВТ для приема сигналов с центральными частотами ГГц, ГГц, ГГц и полосами частот ГГц, ГГц, ГГц соответственно. Рассмотрено построение трехдиапазонного тракта на основе оптимального АВТ с совмещением двух нижних диапазонов частот путем подключения тракта третьего диапазона.
Рис. 2. Частотные зависимости обобщенного коэффициента передачи: а – в диапазоне частот 3,4–4,2 ГГц; б – в диапазоне частот 5,8–6,6 ГГц; в – в диапазоне частот 10,7–12,7 ГГц
Сплошной линией на рис. 2 обозначены характеристики трех однодиапазонных трактов в каждом из совмещаемых диапазонов частот. Штриховой линией обозначены характеристики неоптимизированного трехдиапазонного тракта, который состоит из оптимизированного двухдиапазонного тракта 3,4–4,2/5,8–6,6 ГГц и присоединенного к нему без оптимизации входных устройств третьего тракта диапазона 10,7–12,7 ГГц. Характеристики оптимизированного трехдиапазонного тракта 3,4–4,2/5,8–6,6/10,7–12,7 ГГц представлены точечной линией.
Как следует из приведенных зависимостей, подключение без оптимизации входных устройств тракта диапазона частот к двухдиапазонному тракту практически не влияет на характеристики в нижнем диапазоне частот (рис. 2, а), но приводит к ухудшению во втором (рис. 2, б) и в наибольшей степени в третьем (рис. 2, в) из совмещаемых диапазонов частот. При оптимизации параметров трехдиапазонного АВТ в целом происходит ухудшение в нижнем диапазоне. Однако во втором и третьем диапазонах характеристики улучшаются, что обуславливает повышение эффективности АВТ в целом. Достигаемый выигрыш в эффективности применения АВТ составляет 0,4 дБ.
При построении трехдиапазонного АВТ на основе оптимального двухдиапазонного тракта, обеспечивающего совмещение диапазонов с центральными частотами и путем подключения тракта диапазона с центральной частотой характеристики АВТ остаются практическими неизменными в самом высокочастотном из совмещаемых диапазоне. В диапазонах с центральными частотами и происходит уменьшение коэффициента передачи. При оптимизации трехдиапазонного АВТ в целом наблюдается уменьшение коэффициента передачи в диапазоне с центральной частотой но повышение коэффициента передачи в диапазонах с центральными частотами и Достигаемое при этом повышение эффективности применения АВТ по отношению к неоптимизированному составляет 0,37 дБ.
3. Анализ эффективности применения способа разделения принимаемых сигналов по поляризации-частоте
При реализации АВТ МЗА, построенного на основе способа «разделение по поляризации – разделение по частоте» выполняется следующая последовательность операций:
- принимаемый сигнал с выхода облучателя поступает на вход устройства поляризационного преобразования и селекции, на выходе которого формируется совокупность сигналов, каждый из которых представляет собой совокупность сигналов одной поляризации различных диапазонов частот;
- сформированные сигналы поступают на входы соответствующих частотных фильтров, на выходе каждого из которых формируются сигналы требуемых поляризаций в совмещаемых частотных диапазонах.
Структурная схема АВТ, реализующего данный способ, приведена на рис. 3. Достоинством данного варианта построения АВТ является отсутствие диплексеров совмещаемых диапазонов частот, недостатком – ограничения по реализации устройства поляризационного преобразования и селекции, работающего в широкой полосе частот, включающей совмещаемые частотные диапазоны.
Рис. 3. Блок-схема способа разуплотнения в многодиапазонном АВТ «разделение по поляризации – разделение по частоте»
Как следует из приведенной схемы, число и ширина полосы совмещаемых диапазонов определяется полосой рабочих частот устройства поляризационного преобразования и селекции. Как правило, верхняя и нижняя границы такого частотного диапазона удовлетворяют условию [2]. Таким образом, совмещаемые диапазоны частот должны удовлетворять условию Характерным для частотных зависимостей таких устройств являются участки, где частотная зависимость имеет резонансный характер, что приводит к дополнительным ограничениям по построению МЗА на основе таких АВТ.
На рис. 4 для устройства поляризационного преобразования и селекции приведены результаты измерений частотной зависимости обобщенного коэффициента передачи в полосе частот 3,4–6,8 ГГц. В полосе частот 4,3–5,45 ГГц наблюдается ярко выраженная резонансная зависимость коэффициента передачи, вследствие чего возможно совмещение только двух диапазонов с центральными частотами 3,85 и 6,1 ГГц и полосами частот 0,9 ГГц и 1,4 ГГц соответственно.
Рис. 4. Частотная зависимость обобщенного коэффициента передачи устройства поляризационного преобразования и селекции в полосе частот 3,4–6,8 ГГц
Приведенные результаты различных способов частотно-поляризационного разделения сигналов позволяют проводить научно обоснованный выбор способов построения АВТ МЗА в соответствии с требованиями к числу и ширине рабочей полосы совмещаемых диапазонов частот.
Заключение
- Проведенный анализ взаимосвязи параметров АВТ и ОСШ на выходе МЗА позволил разработать показатель эффективности применения АВТ в составе МЗА в виде отношения на соответствующем выходе МЗА в требуемой полосе частот мощности выделяемого сигнала к сумме мощностей сигналов с другими частотно-поляризационными характеристиками и шумов.
- Анализ способа построения АВТ МЗА с разделением сигналов по частоте-поляризации показал:
- достоинством способа построения АВТ МЗА, обеспечивающего разделение принимаемых сигналов по частоте и поляризации, являются типовое построение устройств поляризационного преобразования и селекции в каждом из частотных диапазонов, возможность совмещения диапазонов с отношением центральных частот, близким 5:1;
- недостатком данного способа построения АВТ является необходимость использования частотных диплексеров и однодиапазонных устройств поляризационного преобразования и селекции соответствующих диапазонов частот.
- Анализ способа построения АВТ МЗА с разделением сигналов по поляризации-частоте показал:
- достоинством данного варианта построения является упрощение АВТ, обусловленное отсутствием диплексеров совмещаемых диапазонов частот;
- недостатком являются ограничения, связанные с шириной рабочей полосы частот устройства поляризационного преобразования и селекции, определяемой на практике соотношением верхней и нижней полосы частот 2:1, и наличие резонансных участков частотной зависимости в пределах данной полосы частот.
作者简介
Dmitry Gabriel’ean
FRPC «FSUE “RSRIRC”»
Email: rniirs@rniirs.ru
ORCID iD: 0000-0002-9883-8826
Doctor of Engineering Sciences, professor, deputy head of FRPC «FSUE “RSRIRC”», Rostov-on-Don, Russia.
Research interests: electrodynamics, microwave devices, antennas, antenna arrays, integrated communication systems.
俄罗斯联邦, 130, Nansen Street, Rostov-on-Don, 344038Valentin Demchenko
FRPC «FSUE “RSRIRC”»
Email: rniirs@rniirs.ru
Candidate of Engineering Sciences, head of FRPC «FSUE “RSRIRC”», Rostov-on-Don, Russia.
Research interests: electrodynamics, microwave devices, antennas, integrated communication systems.
俄罗斯联邦, 130, Nansen Street, Rostov-on-Don, 344038Alexander Korovkin
FRPC «FSUE “RSRIRC”»
Email: rniirs@rniirs.ru
Candidate of Engineering Sciences, senior researcher of FRPC «FSUE “RSRIRC”», Rostov-on-Don, Russia.
Research interests: electrodynamics, corrugated horns, microwave devices, antennas.
俄罗斯联邦, 130, Nansen Street, Rostov-on-Don, 344038Sergey Boychuk
FRPC «FSUE “RSRIRC”»
编辑信件的主要联系方式.
Email: rniirs@rniirs.ru
team leader of FRPC «FSUE “RSRIRC”», Rostov-on-Don, Russia.
Research interests: electrodynamics, microwave devices, antennas.
俄罗斯联邦, 130, Nansen Street, Rostov-on-Don, 344038参考
- Korovkin A.E. et al. Antenna-waveguide devices of multiband reflector antennas. Antenny, 2011, no. 12 (175), pp. 38–41. URL: https://www.elibrary.ru/item.asp?id=17764070 (In Russ.)
- Bojchuk S.I., Razdorkin D.Ya. Antenna-waveguide devices with a single horn for multi-band antenna systems. Radiotehnika, 2019, vol. 83, no. 7 (9), pp. 202–208. URL: https://www.elibrary.ru/item.asp?id=41117354 (In Russ.)
- Beadle M. et al. A C/X/Ku-band dual polarized Cassegrain antenna system. IEEE Antennas and Propagation Society International Symposium. 1999 Digest. Held in conjunction with: USNC/URSI National Radio Science Meeting, 1999, vol. 1, pp. 692–695. DOI: https://doi.org/10.1109/APS.1999.789232
- Granet C., Kot J.S. Design of a receive-only simultaneous X/Ka feed system for F/D=0.8 offset parabolic reflectors. 2020 4th Australian Microwave Symposium (AMS), 2020, pp. 1–2. DOI: https://doi.org/10.1109/AMS48904.2020.9059548
- Ravanelli R. et al. C band self diplexed Tx/Rx feed system for telecom. 2020 14th European Conference on Antennas and Propagation (EuCAP), 2020, pp. 1–4. DOI: https://doi.org/10.23919/EuCAP48036.2020.9135295s
- Carkaci M.E., Secmen M. Design and prototype manufacturing of a feed system for Ku-band satellite communication by using 3D FDM/PLA printing and conductive paint technology. International Journal of RF and Microwave Computer-Aided Engineering, 2019, vol. 30, no. 4, p. e22062. DOI: https://doi.org/10.1002/mmce.22062
- Granet C. et al. Design of an X-band feed system for the Auckland University of Technology 30m diameter warkworth radio telescope. 2017 11th European Conference on Antennas and Propagation (EUCAP), 2017, pp. 3621–3625. DOI: https://doi.org/10.23919/EuCAP.2017.7928103
- Granet C. et al. Simultaneous X/Ka-band feed system for large earth station SATCOM antennas. 2014 Military Communications and Information Systems Conference (MilCIS), 2014, pp. 1–5. DOI: https://doi.org/10.1109/MilCIS.2014.7002726
补充文件






