Kisspeptins Kiss1 and Kiss2 in fish modulate corticoliberin and gonadoliberin gene expression in brain structures of Danio rerio
- Authors: Lizunov A.V.1, Blazhenko A.1, Komlev A.S.1, Petrova P.E.1, Khokhlov P.P.1, Bychkov E.R.1, Shabanov P.D.1
-
Affiliations:
- Institute of Experimental Medicine
- Issue: Vol 15, No 4 (2024)
- Pages: 355-362
- Section: Original Study Articles
- URL: https://bakhtiniada.ru/1606-8181/article/view/284133
- DOI: https://doi.org/10.17816/phbn635902
- ID: 284133
Cite item
Abstract
BACKGROUND: The kisspeptin system in the brain is crucial for regulating reproductive functions in humans and animals. In contrast to mammals, the brains of Danio rerio express two types of kisspeptins — Kiss1 and Kiss2. The role of these kisspeptins in hormonal regulation in fish remains an important area of investigation.
AIM: To examine the effects of Kiss1 and Kiss2 on corticoliberin and gonadoliberin gene expression in the midbrain and diencephalon of Danio rerio.
MATERIALS AND METHODS: Kisspeptins Kiss1 and Kiss2 are oligopeptides consisting of 13 and 9 amino acid residues, respectively. Danio rerio fish were administered intracerebroventricular injections of 1 ng and 4 ng of each peptide at 1 μL volumes. At 1 and 4 hours post-administration, the fish brains were extracted, and the midbrain and diencephalon were isolated as a single complex. Gene expression levels of corticoliberin and gonadoliberin were analyzed using real-time polymerase chain reaction (PCR).
RESULTS: Intracerebroventricular administration of Kiss1 and Kiss2 significantly modulated corticoliberin and gonadoliberin gene expression in the midbrain and diencephalon of Danio rerio. In the group injected with 4 ng of Kiss1, corticoliberin gene expression increased 17- and 65-fold after 4 hours compared to the control groups. In the group administered 1 ng of Kiss2, corticoliberin gene expression increased by 23- and 92-fold compared to the control groups after 1 hour. In the group administered 4 ng of Kiss1, gonadoliberin gene expression decreased threefold compared to the control group euthanized at 1 hour. In the group administered 1 ng of Kiss2, gonadoliberin gene expression decreased fourfold compared to the control group after 1 hour. In the group administered 1 ng of Kiss2, gonadoliberin gene expression decreased threefold compared to the control group after 4 hours.
CONCLUSION: The experimental results reveal that Kiss1 and Kiss2 kisspeptins in Danio rerio stimulate corticoliberin gene expression while suppressing gonadoliberin gene expression in the midbrain and diencephalon.
Keywords
Full Text
BACKGROUND
The kisspeptin system in the brain is crucial for regulating reproductive functions in humans and animals. Kisspeptin activates the hypothalamic-pituitary-gonadal (HPG) axis by stimulating the secretion of gonadotropin-releasing hormone (GnRH) in the hypothalamus [1]. In humans, the Kiss1 gene encodes a 145-amino-acid protein. The active forms of kisspeptin are short peptides containing 54, 14, 13, and 10 amino acid residues, which bind to the kisspeptin receptor KISS1R.
The zebrafish (Danio rerio) is widely used as a model organism to evaluate the pharmacological activity of new compounds. In contrast to mammals, the brain of Danio rerio expresses two types of kisspeptins—Kiss1 and Kiss2. Kiss1 in fish is an ortholog of mammalian Kiss1; however, it does not regulate gonadal function but rather suppresses fear responses and promotes exploratory behavior [2]. At the same time, the Kiss2 peptide is involved in the regulation of reproductive function in fish and is synthesized in the periventricular region of the hypothalamus. Administration of Kiss2, but not Kiss1, increased the expression of follicle-stimulating hormone (FSH) and luteinizing hormone (LH) genes in the pituitary gland of female Danio rerio [3].
GnRH is synthesized in the hypothalamus and stimulates the release of FSH and LH from the anterior pituitary gland. GnRH activity is also linked to sexual and social behavior in fish. Studies have shown that cichlids with elevated GnRH expression display a greater tendency for dominant behavior [1, 4]. In humans, GnRH is encoded by the GNRH1 gene, whereas in Danio rerio, it is encoded by the gnrh3 gene.
Corticotropin-releasing hormone (CRH) regulates the activity of the hypothalamic-pituitary-adrenal (HPA) axis. CRH stimulates the secretion of adrenocorticotropic hormone (ACTH) from the anterior pituitary gland. It is primarily synthesized in the paraventricular nucleus of the hypothalamus and is encoded by the CRH gene in humans and the crh gene in Danio rerio. CRH plays a key role in the stress response and is one of the primary triggers of anxiety, fear, and distress, which contribute to reduced appetite, sleep disturbances, and decreased sexual activity. Strong morphofunctional connections have been observed between corticotropin-releasing hormone-containing and kisspeptinergic neurons. One of the first studies investigating the influence of the HPA axis on kisspeptin suggested that both acute and chronic stress reduce kisspeptin levels, thereby suppressing the synthesis and secretion of pituitary LH [1, 5, 6].
AIM: To investigate the effects of intracerebroventricular administration of fish kisspeptins Kiss1 and Kiss2 in Danio rerio on the expression of gonadotropin-releasing hormone and corticotropin-releasing hormone genes in the midbrain and diencephalon.
MATERIALS AND METHODS
The selection of experimental animals (Danio rerio) and their housing conditions have been previously described in detail [7]. Anesthesia and sample collection from the midbrain and diencephalon were performed according to standard protocols [8].
Danio rerio kisspeptins Kiss1 (NVAYYNLNSFGLRY-NH2) and Kiss2 (FNYNPFGLRF-NH2) were synthesized using the standard Fmoc-based solid-phase peptide synthesis method at the Department of General Pathology and Pathophysiology, Federal State Budgetary Scientific Institution, Institute of Experimental Medicine (St. Petersburg) [9].
The animals were divided into ten groups: Group 1 (Control 1), intracerebroventricular (ICV) injection of 1 µL saline, euthanized 1 hour post-injection; Group 2 (Control 2), ICV injection of 1 µL saline, euthanized 4 hours post-injection; Group 3 (Kiss1, 1 ng, 1 µg/mL, 1 hour), ICV injection of 1 ng Kiss1, euthanized 1 hour post-injection; Group 4 (Kiss1, 1 ng, 1 µg/mL, 4 hours), ICV injection of 1 ng Kiss1, euthanized 4 hours post-injection; Group 5 (Kiss1, 4 ng, 4 µg/mL, 1 hour), ICV injection of 4 ng Kiss1, euthanized 1 hour post-injection; Group 6 (Kiss1, 4 ng, 4 µg/mL, 4 hours), ICV injection of 4 ng Kiss1, euthanized 4 hours post-injection; Group 7 (Kiss2, 1 ng, 1 µg/mL, 1 hour), ICV injection of 1 ng Kiss2, euthanized 1 hour post-injection; Group 8 (Kiss2, 1 ng, 1 µg/mL, 4 hours), ICV injection of 1 ng Kiss2, euthanized 4 hours post-injection; Group 9 (Kiss2, 4 ng, 4 µg/mL, 1 hour), ICV injection of 4 ng Kiss2, euthanized 1 hour post-injection; Group 10 (Kiss2, 4 ng, 4 µg/mL, 4 hours), ICV injection of 4 ng Kiss2, euthanized 4 hours post-injection. All intracerebral injections were performed in a total volume of 1 µL.
To assess the expression of corticoliberin and gonadoliberin genes, the fish brains were extracted 1 and 4 hours after Kiss1 and Kiss2 administration. The midbrain and diencephalon were isolated as a single unit, and total mRNA was extracted using a standard protocol. The dissected brain tissue was homogenized in 100 µL of TRIzol reagent and incubated for 5 minutes at 40 °C. Then, 40 µL of chloroform was added to each sample, mixed thoroughly, and incubated for 5 minutes with gentle agitation. The samples were centrifuged at 13,000 g for 10 minutes, and the upper phase was collected. An equal volume of isopropanol was added to the collected upper phase, mixed, and incubated at −20 °C for 24 hours. The samples were then centrifuged at 13,000 g for 10 minutes to collect the pellet. Isopropanol was removed, the pellet was washed with 70% ethanol, dried in a thermal block at 40 °C, and resuspended in 50 µL of deionized water containing 1% RNase inhibitor. After mRNA extraction, reverse transcription reactions were performed. Real-time PCR was then performed using primers specific to the mRNA of corticotropin-releasing hormone (corticoliberin, JN859047.1) and gonadotropin-releasing hormone (gonadoliberin, AJ304429.1). The reference housekeeping genes used were cyclophilin and glyceraldehyde-3-phosphate dehydrogenase (gapdh). The expression levels of corticoliberin and gonadoliberin genes were normalized to the geometric mean of the two reference genes (cyclophilin and gapdh) and calculated as relative expression values compared to the control groups.
Statistical analyses were performed using GraphPad PRISM 8.0. The Kolmogorov–Smirnov test was used to assess the normality of data distribution. If the data followed a normal distribution, one-way ANOVA was applied, followed by Tukey’s post hoc test for pairwise comparisons between experimental groups. If the data distribution was non-normal or unknown, the Kruskal–Wallis test was performed, followed by Dunn’s post hoc test for multiple comparisons. Differences were considered significant at p < 0.05.
RESULTS AND DISCUSSION
The mRNA expression levels of the сorticoliberin gene in the midbrain and diencephalon of Danio rerio exhibited the following patterns. In the control group (CG) sampled 1 hour after injection, сorticoliberin gene expression was four times higher than in the CG sampled 4 hours after saline administration. In Group 3, 1 hour post-injection, сorticoliberin expression was lower than in the CG (4 hours). In Groups 4 and 5, сorticoliberin expression did not significantly differ from either CG at the 1-hour time point. In Group 6, corticoliberin expression increased 17-fold and 65-fold compared to both CGs after 4 hours. In Group 7, 1 hour post-injection, corticoliberin expression increased 23-fold and 92-fold compared to both CGs. In Group 8, after 4 hours, corticoliberin expression increased 17-fold and 64-fold compared to both CGs. In Group 9, 1 hour post-injection, corticoliberin expression increased 41-fold and 167-fold compared to both CGs. In Group 10, 4 hours post-injection, corticoliberin expression increased 19-fold and 75-fold compared to both CGs. These data are presented in Figure 1.
Fig. 1. Corticoliberin gene expression in the midbrain and diencephalon of Danio rerio. * — p < 0.05, *** — p < 0.001 relative to the control group euthanized after 1 hour; ### — p < 0.001 relative to the control group euthanized after 4 hours. Data are presented in arbitrary units normalized to the expression levels of Cyclophilin and Gapdh genes and calculated relative to the mean corticoliberin expression in the groups. The alignment was performed using the geometric mean of the reference genes (Cyclophilin and Gapdh). Data are presented as mean ± standard error of the mean (M ± SEM)
Рис. 1. Экспрессия гена кортиколиберина в среднем и промежуточном мозге Danio rerio. * — p < 0,05, *** — p < 0,001 по отношению к группе контроля, забитой через 1 час; ### — p < 0,001 по отношению к группе контроля, забитой через 4 часа. Данные выражены в условных единицах и нормированы к уровню экспрессии генов циклофилина (Cyclophilin) и глицеральдегид-3-фосфатдегидрогеназы (Gapdh) и рассчитаны в относительных единицах по отношению к средней величине экспрессии гена Corticoliberin в группах. Выравнивание производилось по среднему геометрическому двух референсных генов (Cyclophilin и Gapdh). Данные представлены как среднее ± стандартная ошибка среднего
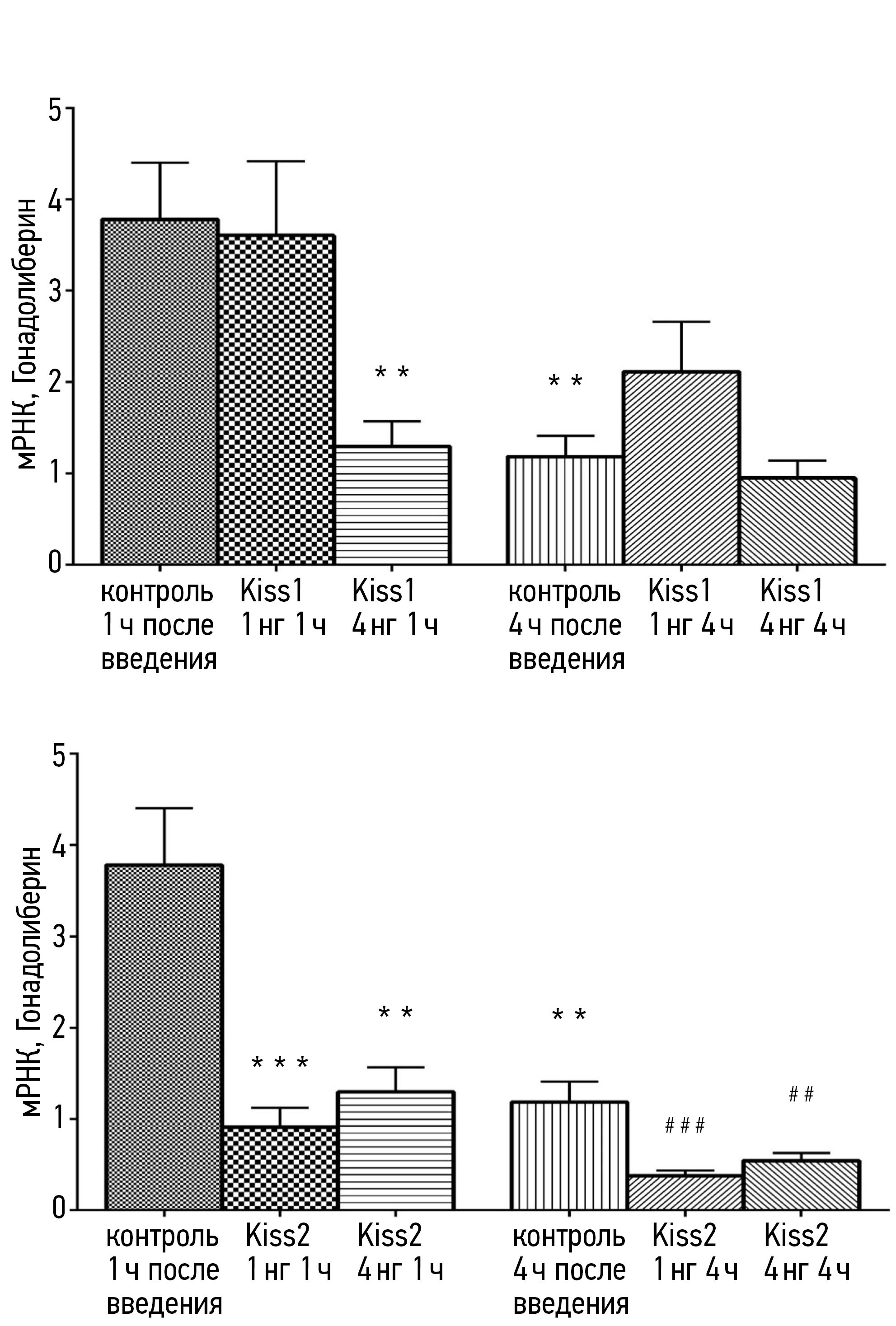
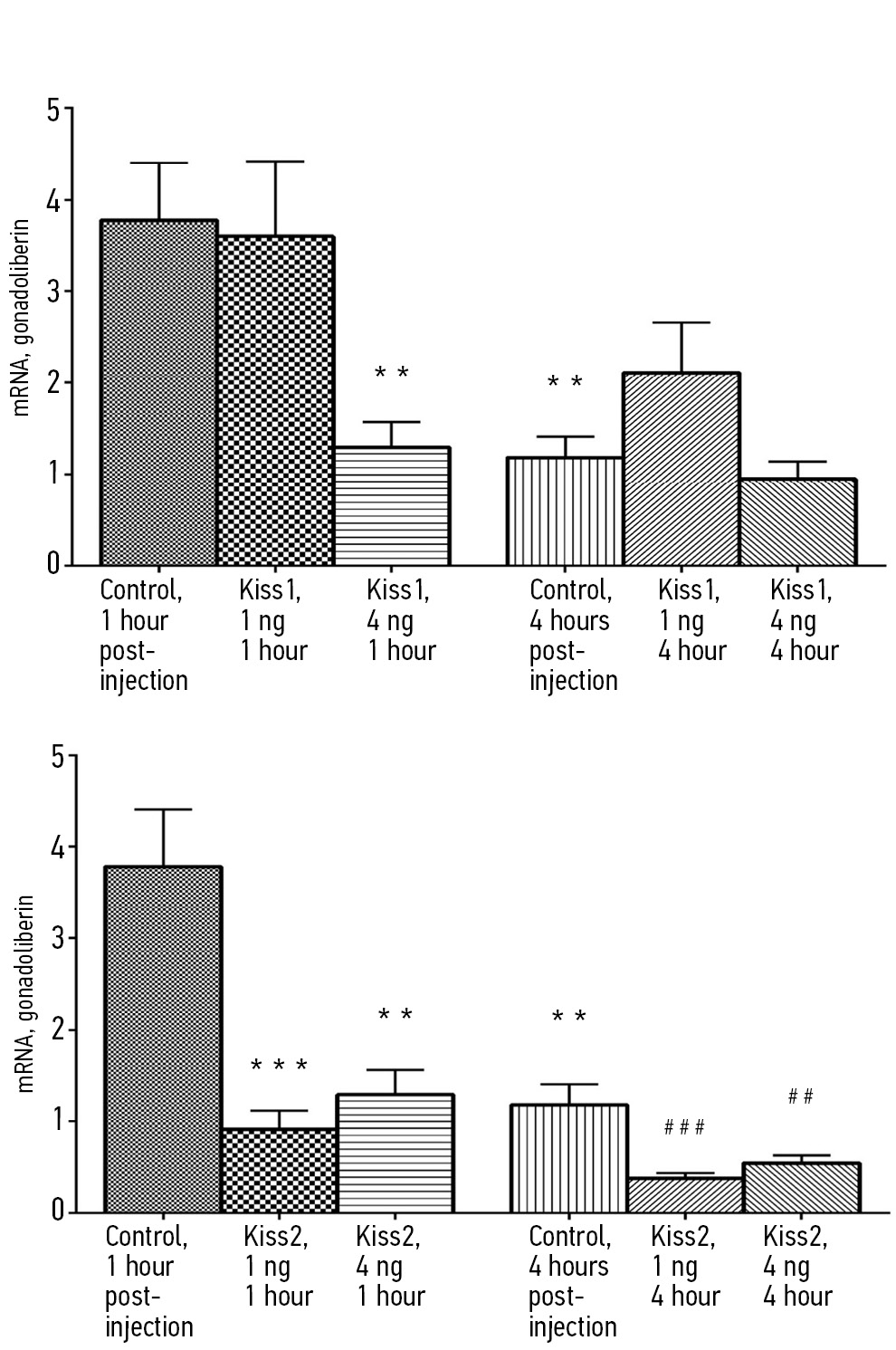
The mRNA expression levels of the gonadoliberin gene in the midbrain and diencephalon of Danio rerio showed the following results. In the CG sampled 1 hour after saline administration, gonadoliberin gene expression was three times higher than in the CG sampled after 4 hours. In groups that received ICV injections of Kiss1 and Kiss2 at a concentration of 1 ng, gonadoliberin expression did not significantly differ from either CG at the 1-hour or 4-hour time points. In the group that received an ICV injection of Kiss1 at a concentration of 4 µg/mL, gonadoliberin expression decreased threefold compared to the CG sampled at 1 hour. In Group 6, 4 hours post-injection, gonadoliberin expression decreased 1.2-fold compared to the CG sampled at 1 hour. In Group 7, after 1 hour, gonadoliberin expression decreased fourfold compared to the CG sampled at 1 hour. In Group 8, after 4 hours, gonadoliberin expression decreased threefold compared to the CG sampled at 4 hours. In Group 9, after 1 hour, gonadoliberin expression decreased threefold compared to the CG sampled at 1 hour. In Group 10, after 4 hours, gonadoliberin expression decreased 2.4-fold compared to the CG sampled at 4 hours. These data are presented in Figure 2.
Fig. 2. Gonadoliberin gene expression in the midbrain and diencephalon of Danio rerio. ** — p < 0.01, *** — p < 0.001 relative to the control group euthanized after 1 hour; ## — p < 0.01, ### — p < 0.001 relative to the control group euthanized after 4 hours. Data are presented in arbitrary units normalized to the expression levels of Cyclophilin and Gapdh genes and calculated relative to the mean gonadoliberin expression in the groups. The alignment was performed using the geometric mean of the reference genes (Cyclophilin and Gapdh). Data are presented as mean ± standard error of the mean (M ± SEM)
Рис. 2. Экспрессия гена гонадолиберина в среднем и промежуточном мозге Danio rerio. ** — p < 0,01, *** — p < 0,001 по отношению к группе контроля, забитой через 1 ч; ## — p < 0,01, ### — p < 0,001 по отношению к группе контроля, забитой через 4 ч. Данные выражены в условных единицах и нормированы к уровню экспрессии генов циклофилина (Cyclophilin) и глицеральдегид-3-фосфатдегидрогеназы (Gapdh) и рассчитаны в относительных единицах по отношению к средней величине экспрессии гена Gonadoliberin в группах. Выравнивание производилось по среднему геометрическому двух референсных генов (Cyclophilin и Gapdh). Данные представлены как среднее ± стандартная ошибка среднего
Previous behavioral experiments have demonstrated that various types of stress induce anxiety-like behavior in bony fish [2]. It has been established that this is associated with increased levels of CRH and GnRH in the brain of the studied animals [2, 11]. The regulation of peptide synthesis occurs both at the level of gene expression and at the post-translational level. Therefore, when investigating the mechanisms of action of drugs that alleviate stress-related conditions, it is essential to study changes in the expression levels of stress-related peptide genes. Kisspeptin-based drugs have previously been investigated as anti-stress agents [12]. The present study demonstrated that administration of the Kiss2 peptide in Danio rerio increased the expression of the corticoliberin gene while simultaneously decreasing the expression of the gonadoliberin gene in the brain of the studied fish. In contrast, the Kiss1 peptide significantly affected the upregulation of corticoliberin and the downregulation of gonadoliberin gene only at higher concentrations and longer exposure times. This suggests that different kisspeptins activate distinct signaling pathways in neural cells, leading to differential regulation of target genes. Previous studies have shown that CRH plays a key role in the stress-induced anxiety response [6]. Additionally, it has been demonstrated that GnRH is involved in activating reproductive and territorial behaviors in fish, which are linked to stress [4]. Therefore, a compound that activates the corticoliberin gene simultaneously represses the gonadoliberin gene in the brain of Danio rerio. It is worth noting that this effect at the cellular signaling level may arise from the interaction of different kisspeptins with various components of the signaling cascade. The opposing effects on the expression of corticoliberin and gonadoliberin genes are consistent with previous research findings [13, 14]. Multiple studies have demonstrated that regulatory pathways through signaling cascades in humans and other animal species may function in entirely opposite directions [15, 16]. Consequently, in human cell culture experiments, unlike in fish, the regulation of CRH and GNRH1 gene expression by kisspeptin drugs may be co-directional rather than opposing.
Table 1. Primer Sequence
Таблица 1. Последовательность праймеров
Gene | Primer sequences | |
Forward (5’-3’) | Reverse (3’-5’) | |
Cyclophilin | AGCATCCGCAAACGGAAAAG | CCCTTGTAGCCATAGCCAGG |
Gapdh | GATACACGGAGCACCAGGTT | GCCATCAGGTCACATACACG |
Corticoliberin | GGTAACGGGATCCTGAGCAG | ATGATCTTGCGGTTGTGGGT |
Gonadoliberin | CACTGGTCATACGGTTGGCT | GCAAACCTTCAGCATCCACC |
CONCLUSION
The obtained data expand current understanding of the mechanisms of action of kisspeptin-based drugs and suggest their potential for further investigation as anti-stress agents.
ADDITIONAL INFORMATION
Author contributions. All authors made significant contributions to concept development, study activities, and preparation of the article, and read and approved the final version before publication. Contribution of each author: A.V. Lizunov — conducting RT-PCR experiments, A.A. Blazhenko — conducting experiments on intracerebral administration of drugs, dissecting animals, A.S. Komlev, P.E. Petrova — data analysis, P.P. Khokhlov — development of the general concept, writing the article, E.R. Bychkov — data analysis, article writing, P.D. Shabanov — development of the general concept.
Conflict of interest. The authors declare that there are no obvious or potential conflicts of interest related to the publication of this article.
Sources of funding. The study was part of the state task of the Institute of Experimental Medicine, Ministry of Education and Science of Russia.
ДОПОЛНИТЕЛЬНАЯ ИНФОРМАЦИЯ
Вклад авторов. Все авторы внесли существенный вклад в разработку концепции, проведение исследования и подготовку статьи, прочли и одобрили финальную версию перед публикацией. Вклад каждого автора: А.В. Лизунов — проведение экспериментов по ОТ ПЦР, А.А. Блаженко — проведение экспериментов по введению препаратов интрацеребрально, препарирование животных, А.С. Комлев, П.Е. Петрова — анализ данных, П.П. Хохлов — разработка общей концепции, написание статьи, Е.Р. Бычков — анализ данных, написание статьи, П.Д. Шабанов — разработка общей концепции.
Конфликт интересов. Авторы декларируют отсутствие явных и потенциальных конфликтов интересов, связанных с публикацией настоящей статьи.
Источники финансирования. Исследование выполнено в рамках государственного задания ФГБНУ «Институт экспериментальной медицины» Минобрнауки России.
About the authors
Aleksey V. Lizunov
Institute of Experimental Medicine
Author for correspondence.
Email: izya12005@yandex.ru
ORCID iD: 0000-0001-6458-5683
Cand. Sci. (Biology)
Russian Federation, 197022, Saint Petersburg, Academician Pavlov st., 12Alexandra Blazhenko
Institute of Experimental Medicine
Email: alexandrablazhenko@gmail.com
ORCID iD: 0000-0002-8079-0991
SPIN-code: 8762-3604
Cand. Sci. (Biology)
Russian Federation, 197022, Saint Petersburg, Academician Pavlov st., 12Aleksey S. Komlev
Institute of Experimental Medicine
Email: izya12005@yandex.ru
ORCID iD: 0000-0001-9111-0755
SPIN-code: 5921-6703
Russian Federation, 197022, Saint Petersburg, Academician Pavlov st., 12
Polina E. Petrova
Institute of Experimental Medicine
Email: izya12005@yandex.ru
ORCID iD: 0000-0002-9138-8076
Russian Federation, 197022, Saint Petersburg, Academician Pavlov st., 12
Platon P. Khokhlov
Institute of Experimental Medicine
Email: platonkh@list.ru
ORCID iD: 0000-0001-6553-9267
SPIN-code: 8673-7417
Cand. Sci. (Biology)
Russian Federation, 197022, Saint Petersburg, Academician Pavlov st., 12Eugenii R. Bychkov
Institute of Experimental Medicine
Email: bychkov@mail.ru
ORCID iD: 0000-0002-8911-6805
SPIN-code: 9408-0799
Cand. Sci. (Medicine)
Russian Federation, 197022, Saint Petersburg, Academician Pavlov st., 12Petr D. Shabanov
Institute of Experimental Medicine
Email: pdshabanov@mail.ru
ORCID iD: 0000-0003-1464-1127
SPIN-code: 8974-7477
MD, Dr. Sci. (Medicine), professor
Russian Federation, 197022, Saint Petersburg, Academician Pavlov st., 12References
- Needova AA, Kostina MI, Blazhenko AA Dynamics in cortisol levels in danio rerio fish under the influence of a synthetic analog of kisspeptin 1. Biomedical Chemistry. 2024;70(3):176–179. EDN: DLZZNG doi: 10.18097/PBMC20247003176
- Ogawa S, Nathan FM, Parhar IS. Habenular kisspeptin modulates fear in the zebrafish. Proc Natl Acad Sci U S A. 2014;111(10):3841–3846. doi: 10.1073/pnas.1314184111
- Kitahashi T, Ogawa S, Parhar IS. Cloning and expression of kiss2 in the zebrafish and medaka. Endocrinology. 2009;150(2):821–831. doi: 10.1210/en.2008-0940
- Chee SS, Espinoza WA, Iwaniuk AN, et al. Social status, breeding state, and GnRH soma size in convict cichlids (Cryptoheros nigrofasciatus). Behav Brain Res. 2013;237:318–324. doi: 10.1016/j.bbr.2012.09.023
- Daviu N, Bruchas MR, Moghaddam B, et al. Neurobiological links between stress and anxiety. Neurobiol Stress. 2019;11:100191. doi: 10.1016/j.ynstr.2019.100191
- Khokhlov PP, Bayramov AA, Blazhenko AA. et al. Peptide signalling systems of bony fish as a new molecular model for experimental neuropharmacology. Bulletin of Smolensk State Medical Academy. 2023;22(1):42–52. EDN: DGHYWC doi: 10.37903/ vsgma.2023.1.6
- Shabanov PD, Blazhenko AA, Devyashin AS, et al. In search of new brain biomarkers of stress. Research Results in Pharmacology. 2021;7(1):41–46. EDN: IZPGYW doi: 10.3897/rrpharmacology.7.63326
- Patent RUS № 2766689 / 30.12.2020. Blazhenko AA, Khokhlov PP, Lebedev AA, Shabanov PD. Application of lidocaine for anaesthesia of the model organism Danio rerio in experimental conditions. Available from: https://elibrary.ru/item.asp?id=48140886 EDN: WEGTHB
- Khokhlov PP, Blazhenko AA, Komlev AS, et al, Synthetic analogues of kisspeptin peptides have pharmacological properties of natural peptides. Experimental and Clinical Pharmacology. 2023;86(11S):153a. (In Russ.) EDN: MOWCYR doi: 10.30906/ ekf-2023-86s-153a
- Vandesompele J, De Preter K, Pattyn F, et al. Accurate normalization of real-time quantitative RT-PCR data by geometric averaging of multiple internal control genes. Genome Biol. 2002;3(7):RESEARCH0034. doi: 10.1186/gb-2002-3-7-research0034
- Clarkson J, d’Anglemont de Tassigny X, Moreno AS, et al. Kisspeptin-GPR54 signaling is essential for preovulatory gonadotropin-releasing hormone neuron activation and the luteinizing hormone surge. J Neurosci. 2008;28(35):8691–8697. doi: 10.1523/JNEUROSCI.1775-08.2008
- Thyssen IY, Lebedev AA, Tsikunov SG, Shabanov PD. Kisspeptin reduces sexual dysfunction in a rat model of posttraumatic stress disorder. Psychopharmacology and Biological Narcology. 2023;14(4):237–244. EDN: WVXICW doi: 10.17816/phbn623033
- Lund J, Chen F, Hua A, et al. Comparative sequence analysis of 634 kb of the mouse chromosome 16 region of conserved synteny with the human velocardiofacial syndrome region on chromosome 22q11.2. Genomics. 2000;63(3):374–383. doi: 10.1006/geno.1999.6044
- Stephen SL, Freestone K, Dunn S, et al. Scavenger receptors and their potential as therapeutic targets in the treatment of cardiovascular disease. Int J Hypertens. 2010;2010:646929. doi: 10.4061/2010/646929
- Zarubina IV, Ganapolsky VP, Alexandrov PV, Shabanov PD. Study of meteoadaptogenic properties in healthy volunteers in cold exposure. Psychopharmacology and Biological Narcology. 2007;7(1):1459–1463. EDN: HZUPKR
- Mineo C. Lipoprotein receptor signalling in atherosclerosis. Cardiovasc Res. 2020;116(7):1254–1274. doi: 10.1093/cvr/cvz338
Supplementary files




