Relationship of Locally Inhomogeneous, Elastic and Magnetic Fields in Mn–Zn Ferrites
- Authors: Samoylenko Z.A.1, Ivakhnenko N.N.1,2, Pushenko E.I.1, Badekin M.Y.2,3, Sycheva V.Y.1
-
Affiliations:
- Donetsk Institute of Physics and Technology named after A. A. Galkin
- Russian State Agrarian University — Moscow Timiryazev Agricultural Academy
- Donetsk State University
- Issue: No 8 (2024)
- Pages: 50-60
- Section: Articles
- URL: https://bakhtiniada.ru/1028-0960/article/view/274325
- DOI: https://doi.org/10.31857/S1028096024080072
- EDN: https://elibrary.ru/ELMLID
- ID: 274325
Cite item
Full Text
Abstract
Using the methods of X-ray diffraction analysis, X-ray spectroscopy and theoretical physics, we studied the patterns of changes in the atomic, electronic and magnetic subsystems in ferrites of variable composition MnxZnyFezO4 associated with the formation of clusters differing in the composition of cations. Experimentally detected clusters, which appear in X-ray diffraction patterns as a halo, are characterized by a certain superposition of ion states, the magnetic moment of which depends not only on the spin of the electron, but also on its orbital moment and the spin of the nucleus. A phase transition was discovered in the mesoscopic cluster structure from manganese-containing clusters, caused by the interaction of trivalent manganese ions with oxygen ions, to clusters with a predominance of di- and trivalent manganese ions with oxygen ions. It is found that the clustered structure of manganese-zinc ferrites is responsible for the appearance of extreme magnetic properties; the maximum corresponds to a change in the dominant type of clusters. It is found that with an increase in mass density, a repopulation of energy states occurs as a decrease in the states of the low-energy electron group and an increase in the high-energy Fermi surface in the form of a saddle. It has been established that the peculiarities of condensation of the fundamental and soft modes of complexes (clusters) containing manganese and oxygen ions lead to changes in the physical parameters of the samples.
Full Text
Введение
В современном окружающем мире очень важным становится вопрос совершенствования цифровых технологий. Для этого создают и исследуют новые материалы с функциональными физическими свойствами — электрическими, магнитными, химическими [1–5]. Актуальными материалами являются многокомпонентные твердые растворы, например, ферриты. Повышенный интерес к ним связан с многообразием кристаллических структур (шпинельная, магнетоплюмбитовая, гранатовая), неэквивалентностью кристаллохимических состояний ионов, различных обменных взаимодействий и разнообразием свойств. Широко распространены и изучены ферриты со структурой шпинели.
Магнитные свойства марганец-цинковых ферритов (Mn–Zn) определяются не только элементным составом, но и структурой с участием двух- и трехмерных дефектов. Уменьшение размера зерна до размера одного домена полезно для уменьшения ряда характеристик, работающих на высоких частотах. Процесс спекания при низких температурах является эффективным методом получения мелкозернистых ферритов. Целый ряд соавторов [6–8] исследовал процесс спекания Mn–Zn ферритов при низких температурах. Образцы с размером зерна 0.6 и 1.7 мкм были получены в результате спекания при 960°C и 1100°C соответственно. Однако уплотнение мелких зерен очень затруднительно. Один из полезных способов решения этой проблемы — использование жидкофазных добавок для спекания, которые индуцируют компактирование в условиях относительно низких температур спекания. В некоторых работах сообщали о применении добавок в Mn–Zn ферритах для ускорения спекания в жидкой фазе [9, 10]. Таким образом, добавление спекающей добавки является эффективным методом получения плотных ферритов. Именно такие ферриты обладают высокой проницаемостью, низкими потерями мощности и высокой рабочей температурой [11, 12]. Также авторы [13–16] отмечают положительное влияние легирующих добавок для ряда электромагнитных параметров.
Именно исследование взаимосвязи атомной и электронной структур является решением сложной проблемы для прогнозирования и улучшения физических свойств веществ [17–20].
Материал и методика эксперимента
Исследуемые Mn–Zn ферриты получены в технологическом процессе [21] бестигельной зонной плавки с бесконтактным нагревом материала сфокусированным зеркальной системой мощным потоком света дуговой ксеноновой лампы. Ферриты существенно различались концентраций химических элементов, сочетания которых формируют катионную подрешетку типа шпинели. В исследованной системе образцов одновременно присутствуют вакансии в катионной и анионной подрешетках, что способствует образованию сложных дефектов мезоскопического порядка (кластеров) [22], чему и посвящена настоящая работа (табл. 1).
Таблица 1. Свойства ферритов MnxZnyFezO4
Образец | Химический состав ферритов | Рентгеновская плотность ρ, г/см3 | a, Å | a444, Å |
№ 1 | 0.50Fe2O3 + 0.30MnO + 0.20ZnO | 5.03 | 8.460 | 8.50 |
№ 2 | 0.54Fe2O3 + 0.29MnO + 0.17ZnO | 5.06 | 8.462 | 8.44 |
№ 3 | 0.60Fe2O3 + 0.14MnO + 0.26ZnO | 5.10 | 8.438 | 8.48 |
№ 4 | 0.59Fe2O3 + 0.24MnO + 0.17ZnO | 5.13 | 8.476 | 8.54 |
№ 5 | 0.46Fe2O3 + 0.30MnO + 0.24ZnO | 5.14 | 8.464 | 8.50 |
Статистические искажения атомного порядка, накапливающиеся в структуре, проявляются в изменении параметра кубической решетки различных образцов ферритов. Изменение периода кристаллической решетки ферритов — один из критериев изменения их состава и состояния. Период решетки необходим для определения плотности, вычисленной на основе объема и массы элементарной ячейки:
,
где n = 8 для феррошпинелей, m — молярная масса формульной единицы, NA — число Авогадро, V — объем элементарной ячейки. Для кубических кристаллов V = а3. Относительная погрешность определения плотности твердых фаз составляет ±0.05%.
В исследуемых материалах плотность служила параметром, характеризующим высокодефектное состояние структуры, а именно катионные и анионные вакансии, разновалентные ионы в “октаэдрических” и “тетраэдрических” позициях, сложные дефекты кластерного типа. Параметр плотности — индикатор изменения структурного типа, учитывает массу ионов. Следовательно, плотность — параметр синтеза образцов.
Одной из основных особенностей Mn–Zn ферритов является наличие катионов нескольких типов с разной валентностью , которые заселяют различные тетраэдрические и октаэдрические позиции [23]. В исследуемых ферритах дефектность структуры проявляется в неравномерном распределении ионов железа и марганца в решетке [24]. Присутствие ионов марганца и железа с переменной валентностью искажает решетку и содействует формированию кластеров мезоскопического размера в шпинельной структуре феррита. Ионы цинка характеризуются устойчивым зарядовым состоянием, и их влияние связано с отличным от других ионов в шпинели размером.
Химический состав образцов анализировали химики в лаборатории института ДонФТИ им. А.А. Галкина. Для анализа атомной структуры дальнего и мезоскопического порядков были получены и проанализированы дифракционные картины Mn–Zn ферритов (CrKα-излучение) аналогично методике, примененной в [25]. Подобно [26] были получены рентгеновские эмиссионные спектры в ферритах MnxZnyFezO4. В качестве реперной линии для определения энергетического положения использовали линию на спектрограммах порошка оксида железа, нанесенного на поверхность исследуемого феррита. На спектрограммах одновременно фиксировали линии и .
Рентгеновские эмиссионные спектры были получены с помощью облучения тонкого (не более 500 Å) поверхностного слоя образца электронным пучком (напряжение не более 10 кВ), что не вызывало его нагрев и позволяло получать информацию об изменении электронной структуры марганца. Спектр регистрировали на рентгеновской пленке в длинноволновом рентгеновском спектрографе ДРС-2. В качестве отражающего кристалла использовали кварц с постоянной решетки d = 4.2457 Å и отражающими плоскостями (). Физические свойства, в том числе электромагнитные параметры, были определены по общепринятым методикам [27, 28].
Результаты и их обсуждение
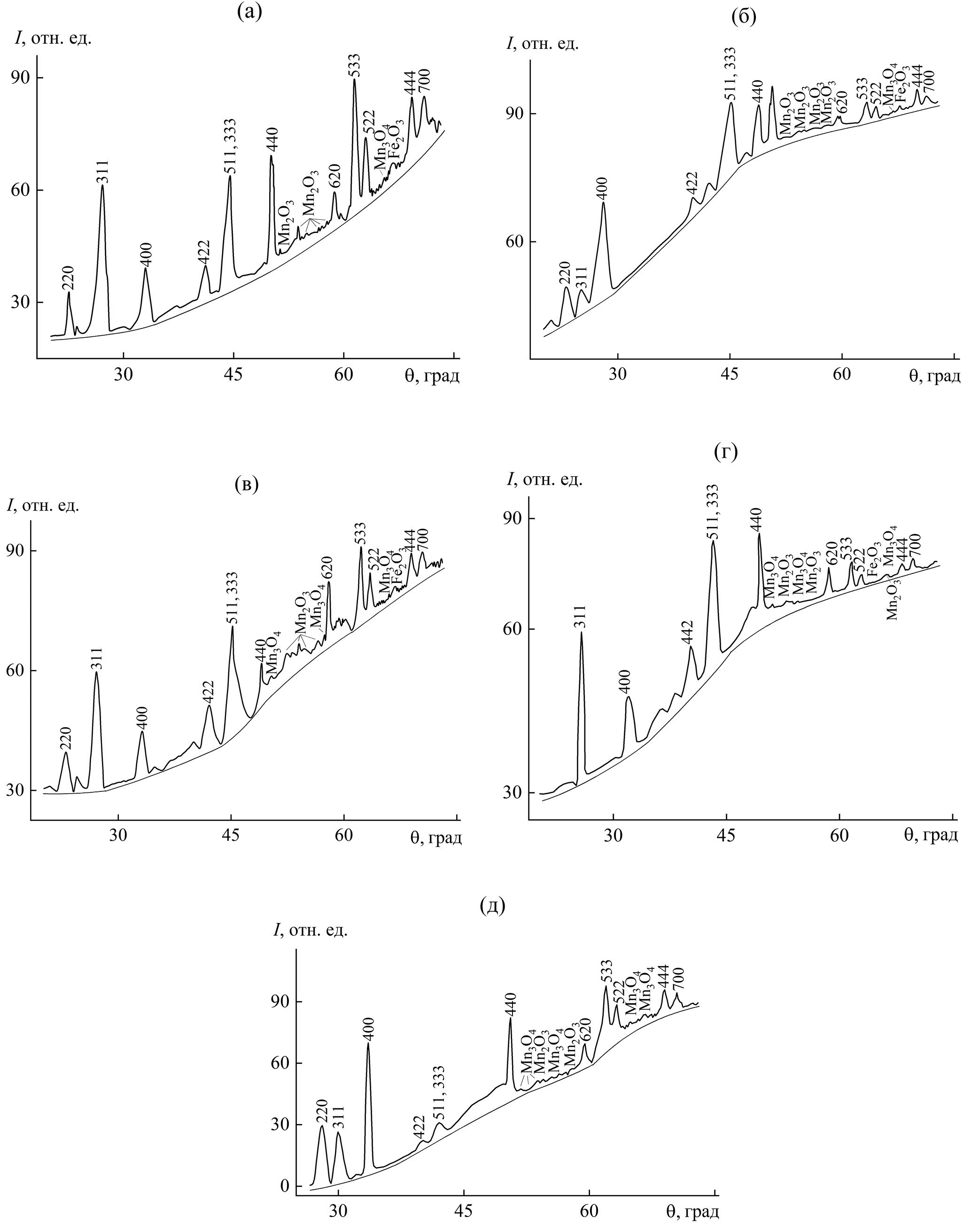
Согласно рентгеновским данным (рис. 1) все образцы были однофазными и содержали фазу шпинели с изменяющимся содержанием кислорода и параметром решетки (табл. 1), найденным по отдельным межплоскостным расстояниям (hkl) с использованием формулы для кубической структуры. Изменения состава, параметра решетки и рентгеновской плотности Mn–Zn феррошпинелей (табл. 1) свидетельствуют о мезоскопическом, т.е. кластерном характере дефектности структуры.
Рис. 1. Дифракционные картины образцов ферритов MnxZnyFezO4: № 1 (а); № 2 (б); № 3 (в), № 4 (г); № 5 (д).
Проведенные исследования Mn–Zn ферритов показывают концентрационные структурные неоднородности [29] в шпинельной решетке, возникающие в результате искажений матричной структуры в виде полей упругих деформаций. Искажения в семействе высокоиндексных плоскостей, проявляющиеся в расщеплении дифракционных отражений (рис. 1), сопровождаются формированием кластеров мезоскопического размера с преобладанием ионов марганца или железа. Кластеры визуализируются в виде диффузных максимумов во всем угловом интервале дифракционной картины. Кластеры в твердых растворах ферритов исследованы в более ранних работах [30].
Обнаружен фазовый переход в мезоскопической кластерной структуре (образец № 3) от марганецсодержащих кластеров, обусловленных взаимодействием трехвалентных ионов марганца с ионами кислорода, к кластерам с преобладанием двух- и трехвалентных ионов марганца с ионами кислорода. В случае образцов № 1 и № 5 кластеры с содержанием ионов железа не выявлены (табл. 2). Для образцов № 2 и № 4 характерно присутствие кластеров всех видов: α-Fe2O3, γ-Mn2O3, и γ-Mn3O4, что проявилось на дифракционных картинах в виде диффузных максимумов в интервалах углов 49°–60° и 60°–71° (рис. 1).
Фазы γ-Mn2O3 и γ-Mn3O4 характеризуются тетрагональной и ромбической решетками, а α-Fe2O3 — ромбоэдрической, что является реакцией матричной структуры, испытывающей искажения тетрагонального (a = b ≠ c, α = β = γ = 90°), ромбического (a ≠ b ≠ c, α = β = γ = 90°) и ромбоэдрического (a = b = c, α = β = γ ≠ 90°) типов. Измеряя ширину диффузных максимумов для исследуемых образцов, углы по методике [31] (длина волны λ CrKα-излучения), оценили линейный размер кластеров по формуле:
,
,
где параметр η — безразмерный коэффициент, связывающий размеры кластеров с шириной диффузного максимума при учете геометрических параметров регистрируемой рентгеновской камеры, В — ширина диффузного максимума, D — диаметр фокусного пятна на образце, k — коэффициент анизотропии формы кластеров, для энергетически более выгодных плоских кластеров согласно [32] k = 3 (табл. 3).
Таким образом, в Mn–Zn ферритах кластеры различаются не только размерами, но и фазовой принадлежностью. На всех дифракционных картинах (рис. 1) показаны отражения, принадлежащие кластерам, представляющим собой мезоскопические группировки атомов в матричной структуре феррошпинели с дальним порядком. В исследуемых материалах кластеры представляют собой крупномасштабные флуктуации химического и атомного порядка в матричной структуре феррошпинели с дальним порядком.
С целью качественного и количественного анализа состава кластеров использовали модель, основанную на понятиях о конденсации локальных мягких оптических и акустических фононных мод [33, 34]. Мягкие колебательные моды представляют собой нормальные колебания квазиодномерной цепочки, которые через промежуточный ион dMn связываются с другими цепочками (основными модами). В зависимости от температуры наблюдается конденсация мод с проявлением макроскопически заполненного основного состояния, т.е. можно говорить об образовании “струны”.
Магнитные комплексы 2O––4Mn+ определяются вектором состояния |F; m>. В данном случае F — квантовое число полного углового момента магнитных ионов, m = (3cos2Θ — 1) — параметр направленности валентных связей с учетом локальной тригональной симметрии, Θ — угол между осью ОZ и локальной осью симметрии. Зарядовые и магнитные состояния ионов в квазидвумерных цепочках основной и мягкой мод соответствуют обозначениям, принятым в [33, 34]. В качестве dMn могут быть ионы 4Mn+(5/2), 3Mn2+(3), 3Mn2+(2), 2Mn3+(7/2), 2Mn3+(3/2), 2Mn3+(5/2), где в круглых скобках указаны квантовые числа полного углового момента ионов. Эти ионы выполняют промежуточную роль при косвенном анизотропном обмене. Стабилизация квазиодномерной структуры кластеров осуществляется за счет конденсации мягких колебательных мод цепочек.
На рис. 2 представлена тонкая структура эмиссионных рентгеновских спектральных линий MnKβ для ферритов, различающихся концентрационным соотношением электронной плотности при разложении β1-линии для теоретически полученных значений энергии Е1, …, Е6. Анализ тонкой структуры мультиплета MnKβ1 позволил проследить особенности перераспределения электронов валентной полосы марганца в Mn–Zn феррите в зависимости от его содержания и сравнить со спектром железа.
Рис. 2. Зависимости интенсивностей I линий от для образцов ферритов MnxZnyFezO4: № 1 (а); № 2 (б); № 3 (в); № 4 (г); № 5 (д). На оси абсцисс ноль соответствует началу отсчета энергии от Е0, где Е0 — энергетическое положение центра тяжести линии b1. Штрихграмма значений энергии -спектра образца № 1 (е).
В рентгеновских спектрах интегрируется влияние соседних ионов на ион марганца во всех позициях структуры, т.е. когда нет искажений, когда искажения лишь в первой координационной сфере и при наличии дефектов мезоскопических размеров. Эта особенность спектров позволяет проследить перераспределение 3p- и 3d-электронов марганца. Линия β′ отражает локализованные состояния при взаимодействиях p–d, а линия β1 — состояния при взаимодействиях d–d. Между электронными группами p- и d-состояний преобладают силы кулоновского характера. Их ослабление способствует пространственной локализации группы p-электронов, что в спектре выражается обособлением мультиплета β′ от β1. Усиление же кулоновского взаимодействия p–d-электронов проявляется в сближении максимумов β′ и β1 и характеризует усиление межатомного взаимодействия марганца с другими элементами.
Из рис. 2 видно, что при переходе от образца № 1 к № 5 происходит перезаселение подзон, о чем свидетельствует инверсное изменение интенсивности в области максимума Kβ1. Размытость пика β1 в случае образца № 2 связана с неустойчивой электронной подсистемой. Для образцов № 3 и № 4 характерна максимальная заселенность, соответствующая пику Kβ1, причем в случае образца № 3 имеет место локализация заселенностей, проявляющаяся в расщеплении β1 на склонах (рис. 2). Правильные формы линии β1 в случае образцов № 1 и № 5 свидетельствуют об обменном взаимодействии при квантовых переходах. Происходит перезаселение низкоэнергетических электронных уровней и высокоэнергетических.
Подходы, основанные на электронной плотности, позволяют выявить некоторые особенности строения твердых тел, обусловленные такого рода взаимодействиями, в частности, существование термодинамически равновесных гетерогенных структур в металлических системах с крупномасштабными неоднородностями локального порядка. К ним относятся упорядоченные сплавы с большими периодами, кристаллы, в которых возникают волны зарядовой плотности, неупорядоченные сплавы [35]. Таким образом, сложная дефектность атомного порядка, состоящая в сосуществовании дальнего, ближнего и мезоскопического порядков в кристаллической структуре ферритов MnxZnyFezO4, сопровождается неравномерным распределением плотности валентных электронов марганца.
Рассмотрим зависимость эффективной зарядовой плотности и истинной от дискретных значений энергии. Эффективная зарядовая плотность описывается уравнением ρэ = 1.76Е + + 6492, а истинная — ρэ = С1 + 2С2 + 3С3, где С1, С2 и С3 — весовые коэффициенты, показывающие количественное содержание соответствующих ионов марганца 4Mn+, 2Mn3+, 3Mn2+. Отличие эффективной зарядовой плотности от истинной связано с различными квантовыми состояниями диамагнитного иона dMn, на внутренних оболочках которого есть дипольный момент электрической природы, ион находится в двух состояниях — 2+ и 3+. То есть зарядовое состояние сохраняется, а изменяется дипольный момент ионов Mn, и происходит плавный поворот и рост эффективной зарядовой плотности от Е1 до Е4. Аналогично рост эффективной зарядовой плотности в интервале Е4–Е6 также объясняется дипольным моментом на ионах Mn с различными квантовыми состояниями: p = qr — дипольный момент, где r задает орбиту дипольного момента, меняет его величину. Квантовые состояния задают радиус орбиты, т.е. изменение дипольного момента изменяет радиус орбиты. Таким образом, имеем дипольный момент трех видов.
Таблица 2. Интенсивности диффузного рассеяния на кластерах в ферритах MnxZnyFezO4
Образец | I(Mn2O3), отн. ед. | I(Mn3O4), отн. ед. | I(Fe2O3), отн. ед. |
№ 1 | 650 | 250 | – |
№ 2 | 700 | 100 | 320 |
№ 3 | 800 | 200 | 30 |
№ 4 | 350 | 500 | 350 |
№ 5 | 540 | 1100 | – |
Таблица 3. Размеры аморфных и аморфно-кристаллических кластеров в ферритах MnxZnyFezO4
Образец | ma, Å | mc, Å |
№ 1 | 60 | 650 |
№ 2 | 140 | 380 |
№ 3 | 230 | 1150 |
№ 4 | 200 | 650 |
№ 5 | 40 | 520 |
Электронная конфигурация иона 4Mn+ . Возникновение иона 4Mn+ связано с переходом двух 3d-электронов с d-оболочки на 4s-оболочку первоначального иона 1Mn2+ с электронной оболочкой 3d5. Образующиеся пустые d-состояния можно описывать в терминах d-дырок. Эффективный квадрупольный момент электрической природы создают 4s2-электроны с противоположно направленными спинами, находящиеся на одном уровне, и две дырки на 3d-уровне с противоположно направленными спинами. Они могут также создавать два связанных дипольных момента, если 4s2-электронная пара локализована на ионе. Если пара делокализована, то будет квадрупольный момент, который приводит к реализации механизма косвенного обменного взаимодействия между магнитными ионами 4Mn0 и комплексами (2O––4Mn+).
Электронная конфигурация иона 3Mn2+ . Его появление можно рассматривать как результат перехода одного 3d-электрона с d-оболочки на 4-оболочку первоначального иона 1Mn2+ с электронной оболочкой 3d5, 4-электрон и d-дырка связываются в электронно-дырочную пару (-d-типа) с образованием дипольного момента электрической природы. Спиновый момент создан 4-электроном, спин которого направлен противоположно полному моменту 3d-оболочки. Для этого иона дипольный момент равен нулю. Электронная конфигурация иона 2Mn3+ 3d44s. Спиновый момент создает 4s-электрон, спин которого сонаправлен с полным моментом 3d-оболочки.
Таким образом, зависимость эффективной и истинной зарядовой плотности от дискретных значений энергии отражает истинный и приближенный переход от дипольного момента 3Mn2+. Дипольная неустойчивость проявляется в виде симметрии системы и в результате того, что системы с собственными дипольными моментами могут иметь две равновесные конфигурации, различающиеся направлениями моментов, переходы между которыми меняют свойства. В случае исследуемых образцов при минимальной энергии Е = Е1 преобладает дипольный момент 4Mn+, при повышении энергии Е = Е4 добавляется суперпозиция 3Mn2+ и 2Mn3+ и уменьшается 4Mn+. При энергии Е = 6495.20 эВ присутствует в основном 3Mn2+. При энергии Е6 = 6497.30 эВ доминирует 2Mn3+.
На рис. 3 показана схема поведения мягких мод ветвей в рамках струнной модели. Согласно модели, энергетическая щель между активными валентной зоной и зоной проводимости, параметры порядка для мягких оптических (2Δ) и акустических (2Δq) мод валентных связей определяются выражениями:
Ед = 2πnF1m1, 2Δ = nF2b0m2,
2Δq = nF2b0m3, i = 1, 2, 3,
Mi = 3cos2θi – 1, b0 = b1γn/2π,
b1 = 117.68308 Кэ·мэВ/МГц,
где nFi — число магнетонов Бора μВ магнитного иона, mi — параметр направленности валентных связей, записанный с учетом локальной тригональной симметрии, γn — ядерное гиромагнитное отношение промежуточного диамагнитного иона, участвующего в косвенном обмене. Получены четыре квазиоптические ε1, ε3, ε5, ε7 и четыре квазиакустические –ε6, –ε8, ε2, ε4 ветви выше уровня Ферми:
2ε1 = εq1 + ε01, 2ε3 = εq2 + ε02,
2ε5 = εq3 + ε01, 2ε7 = εq4 + ε02,
–2ε6 = –εq3 + ε01, –2ε8 = –εq4 + ε02,
2ε2 = –εq1 – ε01, 2ε4 = εq2 – ε02,
где введены следующие обозначения (bq = = 0.30907377):
ε201= E20 + Δ2, ε202 = E20 – Δ2,
ε2q1 = ε201 + Δ2q1, ε2q2 = ε202+ Δ2q2,
ε2q3= ε201 – Δ2q1, ε2q4 = ε202 – Δ2q2,
Δq1 = b1ε01, Δq2 = bqε02.
Ниже уровня Ферми спектр имеет симметричную описанной модели структуру ветвей. Его характерная особенность — появление восьми квазиоптических ветвей вблизи уровня Ферми как результат конденсации мягких квазиакустических мод с параметрами порядка Δq1, Δq2. Появление ветвей –ε6, –ε8 (ε8, ε6) связано с эффектом поднятия (опускания) уровней валентной зоны (зоны проводимости) ниже (выше) уровня Ферми. Ветви ε2, ε4 (–ε4, –ε2) образованы уровнями зоны проводимости (валентной зоны). С одной стороны, возникает ситуация типа фазового перехода диэлектрик–металл, когда уровни валентной зоны становятся выше уровней зоны проводимости. С другой стороны, при Δ = 0 (для кристаллографических направлений типа [111] с m2 = 0 либо для ионов в состоянии с nF2 = 0) имеет место попарное вырождение энергии –ε6 = –ε8, ε2 = ε4. Конденсация мягкой квазиоптической моды с Δ ≠ 0 приводит к снятию указанного вырождения. С увеличением Δ внешние ветви –ε6, ε4 квартета расталкиваются, а внутренние ветви –ε8, ε2 сближаются и затем при некотором критическом значении Δ пересекаются (что указывает на возможную смену регулярного режима на стохастический в поведении физических параметров, связанных с данным спектром).
На рис. 4 показано поверхностное распределение интенсивности линии MnKβ1 от удельной намагниченности насыщения и энергии квантовых уровней. Форма поверхности напоминает модель “седла” , что характеризует изменение перезаселенности энергетических состояний подзон в соответствии с квантовыми переходами Kβ1 для дискретных значений энергии Е1, …, Е6.
Рис. 3. Схема механизма рассеяния рентгеновских лучей.
Рис. 4. Аномальное поведение интенсивности эмиссионных спектров MnKβ1 в зависимости от энергии электронных состояний и удельной намагниченности насыщения σ Mn–Zn ферритов.
Наблюдающийся переход связан с уменьшением интенсивности в низкоэнергетической группе спектра и с ее усилением в высокоэнергетической группе. Это подтверждает инверсию, что соответствует области энергии Ферми, которая в данном случае граничная E3 = 6495.05 и E4 = 6495.32 эВ (рис. 2, 4). Седловина поверхности связана с обособленной заселенностью энергетических уровней и отдаленностью их друг от друга, что проявляется в виде холма и впадины. Неровности поверхности зависят от типа промежуточного иона dMn, преобладающего в образце. Например, за глубину потенциальной ямы ответственно расположение иона 2Mn3+(2) при E3 = 6495.05 эВ в матричной кристаллической решетке феррита, а за гребень — 2Mn3+(3/2) при E5 = 6496.83 эВ (рис. 2, 4). Из-за различного расположения промежуточных ионов возникает инверсная заселенность энергетических уровней, что приводит к изменению зарядово-магнитного взаимодействии ферритов, сопровождающемуся переориентацией магнитных диполей ионов Mn и фазовым переходом диамагнетик–ферромагнетик с появлением ферромагнетизма типа Дзялошинского–Мория.
Заключение
Обнаружена корреляция электронных и магнитных состояний ферритов в твердом растворе MnxZnyFezO4. При взаимодействии локально-неоднородных упругих, электростатических и магнитных полей феррит Mn–Zn стремится к самоорганизации с минимизацией электронной плотности. Экстремальное состояние соответствует критическим параметрам при фазовых переходах диамагнетик–ферромагнетик.
КОНФЛИКТ ИНТЕРЕСОВ
Авторы данной работы заявляют, сто у них нет конфликта интересов.
About the authors
Z. A. Samoylenko
Donetsk Institute of Physics and Technology named after A. A. Galkin
Email: yulduz19.77@mail.ru
Russian Federation, Donetsk, 283048
N. N. Ivakhnenko
Donetsk Institute of Physics and Technology named after A. A. Galkin; Russian State Agrarian University — Moscow Timiryazev Agricultural Academy
Author for correspondence.
Email: yulduz19.77@mail.ru
Russian Federation, Donetsk, 283048; Moscow, 127434
E. I. Pushenko
Donetsk Institute of Physics and Technology named after A. A. Galkin
Email: yulduz19.77@mail.ru
Russian Federation, Donetsk, 283048
M. Y. Badekin
Russian State Agrarian University — Moscow Timiryazev Agricultural Academy; Donetsk State University
Email: korund2002@list.ru
Russian Federation, Moscow, 127434; Donetsk, 283001
V. Y. Sycheva
Donetsk Institute of Physics and Technology named after A. A. Galkin
Email: yulduz19.77@mail.ru
Russian Federation, Donetsk, 283048
References
- Mansour S.F., Abdo M.A., El-Dek S.I. // J. Magn. Magn. Mater. 2017. V. 422. P. 105. http://doi.org./10.1016/j.jmmm.2016.07.049
- Mansour S.F., Hemeda O.M., Abdo M.A., Nada W.A. // J. Mol. Struct. 2018. V. 1152. P. 207. http://doi.org./10.1016/j.molstruc.2017.09.089
- Ji H.N., Lan Z.W., Xu Z.Y., Zhang H.W., Yu J.X., Li M.Q. // IEEE Trans. App. Supercond. 2014. V. 24. № 5. P. 1. http://doi.org./10.1109/TASC.2014.2340449
- Zhu N., Ji H., Shen C., Wu J., Niu J., Yang J., Farooq M.U., Li H., Niu X. // IEEE Trans. Appl. Supercond. 2019. V. 29. № 2. P. 1. http://doi.org./10.1109/TASC.2018.2882416
- Marracci M., Tellini B. // IEEE Trans. Magn. 2013. V. 49. № 6. P. 2865. http://doi.org./10.1109/TMAG.2012.2219877
- Ying Y., Xiong X., Wang N., Zheng J., Yu J., Li W., Qiao L., Cai W., Li J., Huang H., Che S. // J. Eur. Ceram. Soc. 2021. V. 41. № 12. P. 5924. http://doi.org./10.1016/j.jeurceramsoc.2021.05.013
- Ying Y., Hu L., Li Z., Zheng J., Yu J., Li W., Qiao L., Cai W., Li J., Bao D., Che S. // Process. Mater. (Basel). 2023. V. 16. № 9. P. 3454. http://doi.org./10.3390/ma16093454
- Szczygieł I., Winiarska K., Sobianowska-Turek A. // J. Therm. Anal. Calorim. 2018. V. 134. P. 51. http://doi.org./10.1007/s10973-018-7417-2
- Kaneva I.I., Kostishin V.G., Andreev V.G., Nikolaev A.N., Volkova E.I. // Modern Electron. Mater. 2015. V. 1. № 3. P. 76. http://doi.org./10.1016/j.moem.2015.11.003
- Jogi J.K., Singhal S.K., Joshi S.K., Jangir R. // Woodhead Publishing Series in Electronic and Optical Materials, Applications of Nanostructured Ferrites, Woodhead Publishing, 2023. P. 353. http://doi.org./10.1016/B978-0-443-18874-9.00009-6
- Praveena K., Chen H., Liu H., Sadhana K., Murthy S.R. // J. Magn. Magn. Mater. 2016. V. 420. P. 129. http://doi.org./10.1016/j.jmmm.2016.07.011
- Hussain A., Bai G., Huo H., Yi S., Wang X., Fan X., Yan M. // Ceram. Int. 2019. V 45. № 9. P. 12544. http://doi.org./10.1016/j.ceramint.2019.03.193
- Kogias G., Zaspalis V.T. // Ceram. Int. 2016. V. 42. № 6. P. 7639. http://doi.org./10.1016/j.ceramint.2016.01.176
- Sun B., Chen F., Yang W., Shen H., Xie D. // J. Magn. Magn. Mater. 2014. V. 349. P. 180. http://doi.org./10.1016/j.jmmm.2013.09.006
- Wang S.F., Hsu Y.F., Chen C.H. // J. Electroceram. 2014. V. 33. P. 172. http://doi.org./10.1007/s10832-014-9943-z
- Wei Z., Zheng P., Zheng L., Shao L., Hu J., Zhou J., Qin H. // J. Mater. Sci.: Mater Electron. 2016. V. 27. P. 6048. http://doi.org./10.1007/s10854-016-4529-y
- Zhong Y.U., Zhongwen L., Shengming C., Yueming S., Ke S. // Rare Metals. 2006. V. 25. № 6. P. 584. http://doi.org./10.1016/S1001-0521(07)60150-8
- Zapata A., Herrera G. // Ceram. Int. 2013. V. 39. № 7. P. 7853. http://doi.org./10.1016/j.ceramint.2013.03.046
- Hajalilou A., Mazlan S.A. // Appl. Phys. A. 2016. V. 122. P. 680. http://doi.org./10.1007/s00339-016-0217-2
- Hajalilou A., Hashim M., Ebrahimi-Kahrizsangi R., Mohamed kamari H., Sarami N. // Ceram. Int. 2014. V. 40. № 4. P. 5881. http://doi.org./10.1016/j.ceramint.2013.11.032
- Шемяков А.А., Котельникова А.М., Пащенко В.П. // Неорган. материалы. 1990. Т. 26. № 7. С. 402.
- Элиашберг Г.М. Физические свойства высокотемпературных сверхпроводников. М.: Мир, 1990. 505 с.
- Пащенко В.П., Нестеров А.М., Дригибко Я.Г., Потапов Г.А. // Порошковая металлургия. 1994. Т. 373. № 5-6. С. 89.
- Пащенко В.П., Даровских Е.Г., Потапов Г.А., Абрамов В.С., Топчиенк О.Б., Хапалюк Е.А. // Неорган. материалы. 1994. Т. 30. № 4. С. 547.
- Самойленко З.А., Ивахненко Н.Н., Пащенко В.П., Копаев О.В., Остафийчук Б.К., Гастюк И.М. // Журнал технической физики. 2002. Т. 72. Вып. 3. С. 83.
- Самойленко З.А., Абрамов В.С., Ивахненко Н.Н. // Физика твердого тела. 2005. Т. 47. Вып. 10. С. 1846.
- Варшавский М.Т., Пашенко В.П., Мень А.Н. // Неорган. материалы. 1999. Т. 26. № 7. С. 405.
- Смит Я., Вейн Х. Ферриты: физические свойства и практические применения. М: Изд-во иностр. лит., 1962. 504 с.
- Архаров В.И., Самойленко З.А., Пащенко В.П. // Неорган. материалы. 1991. Т. 27. № 10. С. 2184.
- Самойленко З.А., Ивахненко Н.Н., Пушенко Е.И., Пашинская Е.Г., Варюхин В.Н. // Физика твердого тела. 2016. Т. 58. Вып. 2. С. 217.
- Китайгородский А.И. Рентгеноструктурный анализ мелкокристаллических и аморфных тел. М.: Изд-во тех.-теор. лит., 1952. 588 с.
- Кривоглаз М.А. Диффузное рассеяние рентгеновских лучей и нейтронов на флуктуационных неоднородностях в неидеальных кристаллах Киев: Наукова думка, 1984. 288 с.
- Abramov V.S., Pashenko V.P., Khartsev S.I., Cherenkov O.P. // Funct. Mater. 1999. V. 6. № 1. P. 64.
- Абрамов В.И., Линник А.И. // Физика и техника высоких давлений. 1998. Т. 8. № 3. С. 90.
- Электронная структура и электронные свойства металлов и сплавов: Сб. науч. тр. / Ред. Барьяхтар В. Г. Киев: Наукова думка, 1988. 248 с.
Supplementary files






