Complex Diagnostics of Silicon-on-Insulator Layers after Ion Implantation and Annealing
- Authors: Yunin P.A.1, Drozdov M.N.1, Novikov A.V.1, Shmagin V.B.1, Demidov E.V.1, Mikhailov A.N.2, Tetelbaum D.I.2, Belov A.I.2
-
Affiliations:
- Institute for Physics of Microstructures, RAS
- N.I. Lobachevsky Nizhny Novgorod State University
- Issue: No 5 (2024)
- Pages: 61-68
- Section: Articles
- URL: https://bakhtiniada.ru/1028-0960/article/view/264378
- DOI: https://doi.org/10.31857/S1028096024050094
- EDN: https://elibrary.ru/FTWLJO
- ID: 264378
Cite item
Full Text
Abstract
A technology was developed for activating ion-implanted dopants in silicon-on-insulator layers at a low annealing temperature (600°C) using the pre-amorphization technique of a silicon device layer. In the case of phosphorus implantation, silicon was amorphized directly by dopant ions. In the case of boron implantation for pre-amorphization, the layers were preliminary irradiated with argon or fluorine ions. Complex diagnostics of the implanted layers was carried out using secondary ion mass spectrometry, X-ray diffractometry and small-angle X-ray reflectometry. The combination of methods made it possible to characterize the impurity distribution, the degree of silicon crystallinity, the layer thicknesses, and the interface widths in structures. The results of diagnostics of the structure and composition correlate well with calculations in the SRIM software package and the electrophysical characteristics of the layers after annealing. It was shown that the use of argon for pre-amorphization of silicon interfered with the recrystallization process and did not make it possible to achieve acceptable electrical characteristics of the doped layer. Amorphization with phosphorus and pre-amorphization with fluorine during boron implantation allowed obtaining the required values of the resistance of the doped layers after annealing at a temperature of 600°C. The use of a complex approach made it possible to optimize the modes of amorphization, ion doping, and annealing of silicon-on-insulator structures at low temperatures, necessary for the creation of light-emitting device structures based on silicon-germanium nanoislands.
Full Text
ВВЕДЕНИЕ
Ионная имплантация донорных и акцепторных примесей в кремний с их последующим высокотемпературным (800°С и более) отжигом – стандартная технология формирования легированных слоев и контактов в различных приборных структурах [1, 2]. Эта же технология применяется и для структур типа “кремний на изоляторе” (КНИ), в том числе и “кремний на сапфире” [3–5]. В случае КНИ необходимым условием восстановления кристаллической структуры приборного слоя при постимплантационном отжиге является сохранение затравочного слоя кремния с высоким кристаллическим совершенством [6–9]. При изготовлении на подложках КНИ светоизлучающих структур с самоформирующимися наноостровками Ge(Si) [10, 11] для задач кремниевой фотоники требуются особые подходы к технологии легирования и активации примесей. Сигнал люминесценции от таких структур значительно снижается после отжига при температурах выше 600°С, проводимого для активации имплантированной примеси [12]. Поэтому для них необходимо применять методики активации примесей и создания омических контактов к легированным слоям при пониженных температурах отжига. Известно, что эффективно проводить активацию имплантированной примеси при пониженной температуре можно в случае кристаллизации предварительно аморфизированного слоя [13–17]. В случае легирования фосфором при типичных дозах аморфизации достигают за счет ионов легирующей примеси. В случае бора доза аморфизации слишком большая, так что предаморфизацию можно осуществлять путем имплантации более тяжелых ионов. Режимы имплантации и тип ионов, используемых для предаморфизации, могут различаться в зависимости от особенностей структур.
В ходе отработки и оптимизации технологии изготовления контактов к структурам с самоформирующимися наноостровками Ge(Si) на подложках КНИ при пониженной температуре активации примесей возникла необходимость диагностики структуры и состава слоев Si после имплантации и отжига. Для этого применяли комплексную диагностику структур методами вторично-ионной масс-спектрометрии (ВИМС), высокоразрешающей рентгеновской дифрактометрии и малоугловой рентгеновской рефлектометрии [18–22].
Результаты используются для оптимизации методики предаморфизации, имплантационного легирования и отжига с целью реализации электрической накачки светоизлучающих структур с самоформирующимися наноостровками Ge(Si), выращенных на подложках КНИ.
МЕТОДИКА ЭКСПЕРИМЕНТА
В работе были исследованы четыре коммерческих образца КНИ с номинальной толщиной нелегированного приборного слоя кремния 250 нм, оксидного слоя 2 мкм. Кристаллографическая ориентация рабочего слоя и подложки (100). В первый образец двукратно имплантировали ионы P+: сначала дозой 1.5 × 1015 см–2 с энергией 60 кэВ, затем 4 × 1014 см–2 с энергией 15 кэВ (далее по тексту режим 1.5 × 1015/60 + 4 × 1014/15), чтобы был аморфизирован приповерхностный слой кремния толщиной ~150 нм. Второй образец перед имплантацией ионов B+ (1.5 × 1015/20 + 4 × 1014/5) для предаморфизации Si предварительно облучали ионами Ar+ (2 × 1015/100 + 2 × 1015/30). Для третьего образца в том же режиме имплантации бора была использована меньшая энергия предварительного облучения аргоном (6 × 1014/70 + 2 × 1014/15). В случае четвертого образца при легировании бором в том же режиме предаморфизации Si достигали облучением ионов фтора F+ (3 × 1015/35). Ионную имплантацию проводили при комнатной температуре на ионно-лучевой установке ИЛУ-200. Распределения имплантированных ионов и номинальные распределения генерированных при облучении вакансий (т.е. число смещенных из узлов атомов в 1 см–3 Si) рассчитывали с помощью программного комплекса SRIM (The Stopping and Range of Ions in Matter) [23]. После облучения образцы раскалывали на несколько частей, которые отжигали в атмосфере азота в установке для быстрого термического отжига Accu Thermo AW 410 в различных режимах: 600°С, 10 мин (режим 1) и 1000°С, 10 с (режим 2). Сводные данные о всех образцах, режимам имплантации и отжига приведены в табл. 1.
Таблица 1. Сводные данные по всем режимам предаморфизации, имплантации и отжига исследованных образцов КНИ (см–2/кэВ)
КНИ:P | КНИ:B + Ar | КНИ:B + Ar | КНИ:B + F | |
Предаморфизация | Не проводилась, происходит сама при имплантации P | Ar+: 2 × 1015/100 + 2 × 1015/30 | Ar+: 6 × 1014/70 + 2 × 1014/15 | F+: 3 × 1015/35 |
Легирование | P+: 1.5 × 1015/60 + 4 × 1014/15 | B+: 1.5 × 1015/20 + 4 × 1014/5 | ||
Отжиг режим 1 | 600°С, 10 мин | |||
Отжиг режим 2 | 1000°С, 10 с | |||
Исходные и отожженные части структур анализировали методами рентгеновской дифрактометрии и малоугловой рентгеновской рефлектометрии на рентгеновском дифрактометре Bruker D8 Discover [18–20], а также с помощью послойного анализа на времяпролетном масс-спектрометре вторичных ионов TOF.SIMS-5 [18–22].
На отожженные фрагменты методом магнетронного распыления осаждали контактные слои Ti/Au, быстрый термический отжиг контактов проводили на установке Accu Thermo AW 410 при температуре 330°С в течение 3 мин в атмосфере аргона. Слоевое и удельное контактное сопротивление отожженных структур измеряли методом длинной линии – TLM (transmission line method) с радиальной геометрией контактов [24, 25].
РЕЗУЛЬТАТЫ И ИХ ОБСУЖДЕНИЕ
На рис. 1 показаны результаты анализа исходной структуры КНИ методом малоугловой рентгеновской рефлектометрии. Точками показан результат эксперимента, линией – расчет кривой по модели со слоем кремния на подложке из оксида кремния. Подгонка расчета модели под эксперимент является стандартным подходом к обработке данных рентгеновской рефлектометрии, ее проводили с помощью программного комплекса Bruker Diffrac.Leptos. Расхождение вблизи 0° вызвано попаданием первичного пучка напрямую в детектор, что не учитывается при моделировании, так как не оказывает влияния на определяемые параметры пленок и точность подгонки. По результатам подгонки определена толщина приборного слоя кремния – 260 нм. Ширины верхнего и нижнего переходных слоев составляют 2 нм. Эти значения учитывали при расчетах режимов имплантации ионов, а также для пересчета времени травления методом ВИМС в глубину. Контроль толщины приборного слоя и ширины переходных слоев с помощью ВИМС проводили в дальнейшем также в случае отожженных структур для оценки диффузионного перемешивания на границах раздела.
Рис. 1. Кривая рентгеновской рефлектометрии для исходной структуры КНИ: точки – эксперимент; кривая – результат подгонки. На вставке – фрагмент кривой, на котором видны осцилляции Киссига от верхнего слоя Si. Толщина приборного слоя Si 260 нм, ширина переходных слоев 2 нм
На рис. 2 показаны результаты расчета SRIM (кривая 1) и анализа методом ВИМС (кривая 3) распределения концентрации фосфора в первом образце. Режим имплантации фосфора (1.5 × 1015/60 + 4 × 1014/15) подбирали таким образом, чтобы остался кристаллический слой кремния толщиной около 110 нм, служащий затравочным при последующей рекристаллизации (расчетная номинальная концентрация вакан- сий – кривая 2). Для оценки толщины аморфизированного слоя использовали расчеты [26], где была принята относительная величина критической концентрации дефектов 10%. Из рис. 2 также следует, что экспериментальное распределение фосфора в структуре практически совпадает с результатами расчета по SRIM. Отжиг в режиме 2 (кривая 4) не приводит к существенному изменению профиля легирующей примеси.
Рис. 2. Результаты расчета с помощью SRIM (1, 2) и ВИМС-анализа (3, 4) в случае легирования фосфором: 1 – распределение фосфора после имплантации (1.5 × 1015/60 + 4 × 1014/15); 2 – номинальное распределение вакансий в приборном слое кремния, вызванных облучением; 3 – распределение фосфора после имплантации; 4 – распределение фосфора после отжига в режиме 2. Пунктиром отмечена граница приборного слоя Si в структуре КНИ, стрелкой показана расчетная толщина оставшегося кристаллического затравочного слоя
Результаты рентгенодифракционного анализа структуры КНИ:P до и после отжига приведены на рис. 3. По осцилляциям толщинного контраста (рис. 3а) можно оценить толщину оставшегося кристаллического затравочного слоя Si 118 нм, что хорошо согласуется с расчетным значением [26]. Дифрактограммы, снятые после отжига, приведены на рис. 3б. По периоду осцилляций толщинного контраста и формированию отдельного пика (помечен стрелкой), соответствующего деформированному слою Si (деформация растяжения), можно сделать вывод, что рекристаллизация приборного слоя Si произошла вплоть до поверхности образца и что имеются напряжения, обусловленные встраиванием фосфора в узлы решетки. Пик недеформированного слоя Si находится при угле 2θ 69.13°. Результаты для двух режимов отжига различаются слабо. Контроль толщин слоев и ширины переходных слоев методом рентгеновской рефлектометрии не показал значительных отличий от исходной структуры; ширина переходных слоев сохраняется на уровне 2 нм.
Рис. 3. Рентгенодифракционный анализ структуры КНИ: а – после имплантации фосфора (1 – эксперимент, 2 – подгонка); б – после отжига в режимах 1 (1) и 2 (2). Стрелкой отмечен пик, соответствующий деформированному слою Si (деформация растяжения)
Результаты измерения слоевого и удельного контактного сопротивлений отожженных структур приведены в табл. 2. Оба режима отжига дают близкие, приемлемые для практики значения сопротивлений. В случае создания p-областей имплантацией бора для понижения температуры активационного отжига использовали методику предварительной аморфизации приборного слоя кремния более тяжелыми, чем бор, ионами. На рис. 4 показаны результаты расчета программой SRIM (кривая 1) и послойного ВИМС-анализа (кривая 5) распределения концентрации бора (режим 1.5 × 1015/20 + 4 × 1014/5) во втором образце КНИ. Также приведены результаты расчета с помощью SRIM номинальной концентрации вакансий при использовании для предаморфизации кремния ионов аргона с различной энергией (кривые 2, 3) и фтора (кривая 4).
Таблица 2. Результаты измерения слоевого и удельного контактного сопротивлений структуры КНИ:P после отжигов
Режим отжига | Слоевое сопротивление, Ом/кв. | Удельное контактное сопротивление, 10–7 Ом∙см–2 |
Режим 1 | 38 | 3 |
Режим 2 | 37 | 4 |
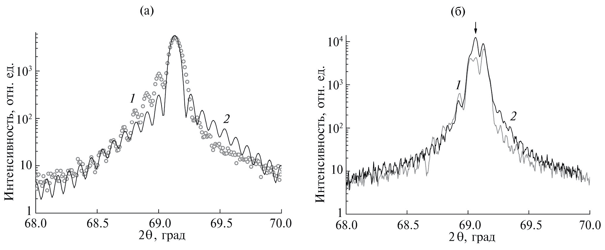
Результаты рентгенодифракционного анализа структуры КНИ:B после предаморфизации ионами аргона с энергий 100 кэВ до и после отжига приведены на рис. 5. По осцилляциям толщинного контраста (рис. 5а) оценена толщина оставшегося кристаллического затравочного слоя Si 70 нм, что согласуется с расчетами дефектообразования (рис. 4). Дифрактограммы отожженного образца приведены на рис. 5б. В этом случае рекристаллизация всего приборного слоя Si в результате отжигов не происходит. Восстанавливаются лишь около 180 нм слоя. Явное встраивание примеси бора в структуру кремния, судя по отсутствию напряжений, также не наблюдается. Такой результат имеет место после отжига в обоих режимах.
Рис. 4. Результаты расчета с помощью SRIM (1–4) и ВИМС (5) в случае легирования бором: 1 – распределение бора после имплантации (1.5 × 1015/20 + 4 × 1014 5); 2 – номинальное распределение вакансий в приборном слое кремния, вызванных облучением ионами аргона (2 × 1015/100 + 2 × 1015/30); 3 – номинальное распределение вакансий после облучения ионами аргона (6 × 1014/70 + 2 × 1014/15); 4 – номинальное распределение вакансий после облучения ионами фтора (3 × 1015/35); 5 – распределение бора после имплантации. Пунктиром показана толщина приборного слоя Si в структуре, стрелкой – уровень, при котором согласно расчету [26] наступает аморфизация кремния
Рис. 5. Рентгенодифракционный анализ структуры КНИ: а – после имплантации бора с предаморфизацией ионами аргона (1 – эксперимент, 2 – подгонка); б – после отжига в режимах 1 (1) и 2 (2)
Результаты измерения слоевого и удельного контактного сопротивлений отожженных структур КНИ:B после предаморфизации ионами аргона приведены в табл. 3. Удовлетворительных значений удельного контактного сопротивления для этого режима получить не удалось. Было сделано предположение, что при выбранной энергии имплантации ионов аргона оставшийся затравочный слой кристаллического кремния слишком тонкий и дефектный для осуществления рекристаллизации всего приборного слоя Si. Эксперимент был повторен на третьем образце КНИ с меньшей энергией ионов аргона (6 × 1014/70 + 2 × 1014/15). Рентгенодифракционный анализ показал, что в этом случае остается затравочный слой толщиной 110 нм, что приблизительно совпадает с расчетом (рис. 4, кривая 3) и соответствует толщине затравочного слоя, оставшегося в первом образце после имплантации фосфора. Однако и в этом случае рентгенодифракционный анализ показал, что полная рекристаллизация не происходит, а значения сопротивлений остались неудовлетворительными. Таким образом, режим предварительной аморфизации с имплантацией ионами аргона не позволяет достичь требуемых результатов. В литературе есть данные о формировании пузырьков аргона при больших дозах имплантации, которые накапливаются на фронте рекристаллизации и останавливают ее [27, 28]. Это объяснение согласуется с данными рентгенодифракционного анализа отожженных слоев.
Таблица 3. Результаты измерения слоевого и удельного контактного сопротивлений структуры КНИ:B c предаморфизацией ионами аргона после отжига
Режим отжига | Слоевое сопротивление, Ом/кв. | Удельное контактное сопротивление, 10–5 Ом∙см–2 |
Режим 1 | 1000 | – |
Режим 2 | 200 | 8 |
Предаморфизацию четвертого образца КНИ перед имплантацией бора проводили ионами фтора (3 × 1015/35). Результаты рентгенодифракционного анализа структуры КНИ:B после предаморфизации до и после отжига приведены на рис. 6. По осцилляциям толщинного контраста (рис. 6а) толщина оставшегося кристаллического зародышевого слоя Si составляет 130 нм, что согласуется с расчетами (рис. 4). Дифрактограммы отожженного образца приведены на рис. 6б. Здесь, как и в случае имплантации фосфора, наблюдаются хорошее восстановление кристалличности приборного слоя кремния и вхождение примеси бора в узлы. Пик деформированного (деформация сжатия) при встраивании бора кремния помечен стрелкой на рис. 6б. Пик недеформированного слоя Si находится при угле 2θ 69.13°. Эффект восстановления кристалличности проявляется несколько лучше в случае отжига в режиме 2. Контроль ширин переходных слоев методом рентгеновской рефлектометрии показывает, что они сохраняются на уровне 2 нм.
Рис. 6. Рентгенодифракционный анализ структуры КНИ: а – после имплантации бора с предаморфизацией ионами фтора (1 – эксперимент, 2 – подгонка); б – после отжига в режимах 1 (1) и 2 (2), пик деформированного слоя кремния (деформация сжатия) помечен стрелкой
Результаты измерения слоевого и удельного контактного сопротивлений отожженных структур КНИ:B после предаморфизации ионами фтора приведены в табл. 4. Видно, что оба режима отжига дают приемлемые значения слоевого и контактного сопротивления, что хорошо согласуется с результатами комплексного анализа структуры и состава слоев.
Таблица 4. Результаты измерения слоевого и удельного контактного сопротивлений структуры КНИ:B c предаморфизацией ионами фтора после отжига
Режим отжига | Слоевое сопротивление, Ом/кв. | Удельное контактное сопротивление, 10–7 Ом∙см–2 |
Режим 1 | 89 | 7 |
Режим 2 | 86 | 5 |
Можно сделать вывод, что совместное применение методов ВИМС, рентгеновской дифрактометрии и рефлектометрии позволяет комплексно характеризовать структуру, состав и толщины слоев в структурах КНИ. Это особенно актуально в случае анализа частично аморфизированных слоев после ионной имплантации и активационного отжига. Результаты, полученные различными методами, хорошо согласуются между собой, а также с данными моделирования и результатами измерений электрофизических характеристик отожженных структур. С использованием предложенной методики анализа показано преимущество использования ионов фтора по сравнению с ионами аргона для предаморфизации кремния в структурах КНИ перед низкотемпературной активацией бора.
ЗАКЛЮЧЕНИЕ
Совместное использование методов ВИМС, рентгеновской дифрактометрии и рефлектометрии для анализа структур КНИ позволило определить оптимальные режимы ионной имплантации и предаморфизации, позволяющие восстанавливать кристаллическое качество приборного слоя Si при пониженной температуре отжига 600°С. Результаты исследования структуры и состава согласуются с электрофизическими измерениями, показывающими активацию проводимости имплантированных примесей фосфора и бора, а также с данными моделирования. Установленные режимы облучения и отжига могут быть в дальнейшем использованы для низкотемпературной активации примесей в эпитаксиальных структурах с наноостровками Ge(Si) на КНИ, светоизлучающие свойства которых крайне чувствительны к термическому воздействию.
ФИНАНСИРОВАНИЕ РАБОТЫ
Исследования структур выполнены в лаборатории диагностики радиационных дефектов в твердотельных наноструктурах ИФМ РАН при поддержке Министерства науки и высшего образования РФ (г/з № FFUF-2021-0030). Использовано оборудование ЦКП ИФМ РАН. Обоснование и разработка методик выполнена в рамках научной программы Национального центра физики и математики (проект “Ядерная и радиационная физика”).
Конфликт интересов. Авторы заявляют, что у них нет конфликта интересов.
About the authors
P. A. Yunin
Institute for Physics of Microstructures, RAS
Author for correspondence.
Email: yunin@ipmras.ru
Russian Federation, Nizhny Novgorod
M. N. Drozdov
Institute for Physics of Microstructures, RAS
Email: yunin@ipmras.ru
Russian Federation, Nizhny Novgorod
A. V. Novikov
Institute for Physics of Microstructures, RAS
Email: yunin@ipmras.ru
Russian Federation, Nizhny Novgorod
V. B. Shmagin
Institute for Physics of Microstructures, RAS
Email: yunin@ipmras.ru
Russian Federation, Nizhny Novgorod
E. V. Demidov
Institute for Physics of Microstructures, RAS
Email: yunin@ipmras.ru
Russian Federation, Nizhny Novgorod
A. N. Mikhailov
N.I. Lobachevsky Nizhny Novgorod State University
Email: yunin@ipmras.ru
Russian Federation, Nizhny Novgorod
D. I. Tetelbaum
N.I. Lobachevsky Nizhny Novgorod State University
Email: yunin@ipmras.ru
Russian Federation, Nizhny Novgorod
A. I. Belov
N.I. Lobachevsky Nizhny Novgorod State University
Email: yunin@ipmras.ru
Russian Federation, Nizhny Novgorod
References
- Зорин Е.И., Павлов П.В., Тетельбаум Д.И. Ионное легирование полупроводников. М.: Энергия, 1975. 129 с.
- Wolf S., Tauber R.N. Silicon Processing for the VLSI Era. Vol. 1. Process Technology, 2000.
- Hemmet P., Lysenko V.S., Nazarov A.N. Perspective Science and Technologies for Novel Silicon on Insulator Devices. Dordrecht: Springer Science and Business Media, 2012.
- Wang Q.-Y., Nie J.-P., Yu F., Liu Z.-L., Yu Y.-H. // Mater. Sci. Engin. B. 2000. V. 72. P. 189. https://doi.org/10.1016/s0921-5107(99)00511-5
- Shemukhin A.A., Nazarov A.V., Balakshin Y.V., Chernysh V.S. // Nucl. Instrum. Methods Phys. Res. B. 2015. V. 354. P. 274. https://doi.org/10.1016/j.nimb.2014.11.090
- Plummer J.D., Deal M., Griffin P.D. Silicon VLSI Technology: Fundamentals, Practice and Modeling. Pearson, 2000.
- Woodard E.M., Manley R.G., Fenger G., Saxer R.L., Hirschman K.D., Dawson-Elli D., Couillard J.G. // 2006 16th Biennial University/Government/Industry Microelectronics Symposium. San Jose, CA, USA, 25–28 June, 2006. P. 161. https://doi.org/10.1109/UGIM.2006.4286374
- Heiermann W., Buca D., Trinkaus H., Holländer B., Breuer U., Kernevez N., Ghyselen B., Mantl S. // ECS Trans. 2009. V. 19. P. 95. https://doi.org/10.1149/1.3118935
- Wang Y., Liao X., Ma Z., Yue G., Diao H., He J., Kong G., Zhao Y., Li Z., Yun F. // Appl. Surf. Sci. 1998. V. 135. P. 205. https://doi.org/10.1016/s0169-4332(98)00230-x
- Смагина Ж.В., Зиновьев В.А., Степихова М.В., Перетокин А.В., Дьяков С.А., Родякина Е.Е., Новиков А.В., Двуреченский А.В. // Физика и техника полупроводников. 2021. Т. 55. Вып. 12. C. 1210. https://doi.org/10.21883/FTP.2021.12.51707.9722
- Smagina Z.V., Zinovyev V.A., Zinovieva A.F., Stepikho-va M.V., Peretokin A.V., Rodyakina E.E., Dyakov S.A., Novikov A.V., Dvurechenskii A.V. // J. Luminescence. 2022. V. 249. P. 119033. https://doi.org/10.1016/j.jlumin.2022.119033
- Xu X., Usami N., Maruizumi T., Shiraki Y. // J. Cryst. Growth. 2013. V. 378. P. 636. https://doi.org/10.1016/j.jcrysgro.2012.11.002
- Miyao M., Yoshihiro N., Tokuyama T., Mitsuishi T. // J. Appl. Phys. 1979. V. 50. P. 223. https://doi.org/10.1063/1.325703
- Ebiko Y., Suzuki K., Sasaki N. // IEEE Trans. Electron Devices. 2005. V. 52. P. 429. https://doi.org/10.1109/TED.2005.843870
- Шемухин А.А., Назаров А.В., Балакшин Ю.В., Черныш В.С. // Поверхность. Рентген., синхротор. и нейтрон. исслед. 2014. № 3. С. 56. https://doi.org/10.7868/S0207352814030214
- Hamilton J.J., Collart E.J.H., Colombeau B., Bersani M., Giubertoni D., Kah M., Cowern N.E.B., Kirkby K.J. // MRS Proc. 2011. V. 912. P. 0912-C01. https://doi.org/10.1557/PROC-0912-C01-10
- Sultan A., Banerjee S., List S., Pollack G., Hosack H. // Proc. 11th Int. Conf. on Ion Implantation Technology. Austin, TX, USA, 16–21 June, 1996. P. 25. https://doi.org/10.1109/IIT.1996.586104
- Абросимова Н.Д., Юнин П.А., Дроздов М.Н., Оболенский С.В. // Физика и техника полупроводников. 2022. Т. 56. С. 753. https://doi.org/10.21883/FTP.2022.08.53140.26
- Юнин П.А., Дроздов Ю.Н., Дроздов М.Н., Королев С.А., Лобанов Д.Н. // Физика и техника полупроводников. 2013. Т. 47. Вып. 12. С. 1580.
- Юнин П.А., Дроздов Ю.Н., Новиков А.В., Юрасов Д.В. // Поверхность. рентген., синхротрон. и нейтрон. исслед. 2012. № 6. C. 36.
- Юнин П.А., Дроздов Ю.Н., Дроздов М.Н., Новиков А.В., Юрасов Д.В. // Поверхность. Рентген., синхротрон. и нейтрон. исслед. 2012. № 7. C. 26.
- Панкратов Е.Л., Гуськова О.П., Дроздов М.Н., Абросимова Н.Д., Воротынцев В.М. // Физика и техника полупроводников. 2014. Т. 48. Вып. 5. С. 631.
- Ziegler J.F., Ziegler M.D., Biersack J.P. // Nucl. Instrum. Methods Phys. Res. B. 2010. V. 268. P. 1818. https://doi.org/10.1016/j.nimb.2010.02.091
- Boberg G., Stolt L., Tove P. A., Norde H. // Phys. Scripta. 1981. V. 24. P. 405. https://doi.org/10.1088/0031-8949/24/2/012
- Андреев А.Н., Растегаева М.Г., Растегаев В.П., Решанов С.А. // Физика и техника полупроводников. 1998. Т. 32. С. 832.
- Окулич Е.В., Окулич В.И., Тетельбаум Д.И. // Физика и техника полупроводников. 2020. Т. 54. Вып. 8. С. 771.
- https://doi.org/10.21883/FTP.2020.08.49649.9338
- Revesz P., Wittmer M., Roth J., Mayer J.W. // J. Appl. Phys. 1978. V. 49. P. 5199. https://doi.org/10.1063/1.324415
- Cullis A.G., Seidel T.E., Meek R.L. // J. Appl. Phys. 1978. V. 49. P. 5188. https://doi.org/10.1063/1.324414
Supplementary files








