Ab initio modelling of the interface energy α-Fe/Fe3c with the Bagaryatskii type orientation
- Authors: Verkhovykh A.V.1, Mirzoev A.A.1, Okishev K.Y.2, Dyuryagina N.S.1
-
Affiliations:
- Institute of Natural Sciences and Mathematics, South Ural State University (national research university)
- Institute of New Materials and Technologies, Ural Federal University named after the first President of Russia B.N. Yeltsin
- Issue: No 1 (2024)
- Pages: 48-56
- Section: Articles
- URL: https://bakhtiniada.ru/1028-0960/article/view/256990
- DOI: https://doi.org/10.31857/S1028096024010077
- EDN: https://elibrary.ru/DOMGFF
- ID: 256990
Cite item
Full Text
Abstract
Perlite is one of the main structural constituents of carbon and low-alloy steels. In it, between the bcc ferritic and orthoboric cementite phases of Fe3C, the orientational relation (OR) of Bagaryatskii, Isaichev, and Pitch can be observed. The first two, which are close to each other and are not always, repeated in the experiment, predominate in low-temperature pearlite, which has the highest strength. In this study, the simulation "from first principles" by the DFT method in the WIEN2k software package of the structure and energy of coherent α-Fe/Fe3C interfaces was carried out. The supercells were subjected to structural and volume optimization. Calculations of the surface energy of the interphase boundaries gave the values of 0.383 J/m2 for the Bagaryatskii OR and 0.594 J/m2 for the Isaichev OR. This agrees well with the existing experimental values and the results of other molecular dynamics and first-principles calculations. The difference in surface energy can play a significant role for low-temperature pearlite with a small thickness of ferrite and cementite plates and a large area of interfacial boundaries per unit volume.
Full Text
ВВЕДЕНИЕ
Цементит – метастабильный карбид железа Fe3C, имеющий орторомбическую решетку пространственной группы Pnma с 12 атомами железа и 4 атомами углерода в элементарной ячейке [1].
В сталях цементит формируется в твердом состоянии, выделяясь из твердого раствора углерода в γ- или α-железе. В первом случае он может возникать в виде тонкой сетки по границам зерен γ-фазы (аустенита) или пластинчатых видманштеттовых кристаллов, но наиболее практически важен эвтектоидный распад γ-твердого раствора, при котором образуется перлит – смесь цементита и α-фазы (феррита). Наиболее важный пример второго – отпуск закаленной стали. После закалки основной структурной составляющей углеродистых сталей является ФОРМУЛА -твердый раствор (мартенсит), пересыщенный углеродом; при его нагреве избыточный углерод выделяется в виде частиц различных карбидов железа. Выше 450°C единственным карбидом остается цементит [2].
Структура перлита, как правило, состоит из чередующихся протяженных тонких пластинок феррита и цементита. Он присутствует в любой углеродистой стали после охлаждения от высоких температур с малыми и умеренными скоростями. Цементитные пластины в перлите имеют толщину 10–100 нм. Несмотря на распространенность и практическую важность перлита, детали его строения изучены далеко не полностью [3–6].
Перлитная структура обладает сложным механическим поведением. Стали со структурой тонкопластинчатого перлита могут испытывать большие пластические деформации, но проявляя способность к сильному упрочнению [7]: в лабораторных условиях удавалось достигнуть предела прочности 7 ГПа [8]. Эту особенность используют при волочении высокопрочной проволоки. В ходе деформации происходит утонение и частичное растворение цементитных пластин [9–12]. Кроме этого, перлитные стали обладают высокой износостойкостью, контактной прочностью и выносливостью (их применяют для изготовления, например, пружин, рельсов) [13, 14]. Термическая обработка стали, при которой в результате распада аустенита при 500–550°C формируется тонкопластинчатый перлит с толщиной цементитных пластин ~10 нм, называется в технике патентированием.
В пределах одного зерна исходного аустенита формируется несколько колоний перлита, пластины фаз в которых параллельны друг другу. Ориентация кристаллической решетки каждой из фаз в пределах колонии одинакова, а между решетками цементита (Ц) и феррита (Ф) имеется ориентационная связь. Наиболее известны два типа таких ориентационных соотношений (ОС): Багаряцкого (ОСБ) [15]
[100]ц ~||<10>Ф;
[010]ц ||<111>Ф; (1)
(001)ц ~|| {11}Ф
и Питча (Питча – Петча) (ОСП) [16, 17]
[100]ц – 2.6° от <31>Ф;
[010]ц – 2.6° от <131>Ф; (2)
(001)ц || {5}Ф.
Разброс ориентаций в колониях с ОС Питча не превышает 1°–2° [18], тогда как ОС Багаряцкого соблюдается не вполне точно. Часто наблюдаются отклонения от ОСБ [18, 19], приближающие взаимную ориентацию кристаллических решеток феррита и цементита к другому типу – Исайчева (ОСИ) [20]
[10]ц ||<10>Ф;
[010]ц ||<11>Ф; (3)
(101)ц || {112}Ф.
Отметим, что некоторые авторы наблюдали и иные типы ОС между цементитом и ферритом в перлите [21, 22].
ОСБ и ОСИ различаются поворотом всего на 3.8°, но имеют разную габитусную плоскость: (001)Ц || {112}Ф для ОСБ [11, 16, 21, 24, 25] и (101)Ц || {112}Ф для ОСИ [12, 18, 19, 24–26]. При ОСП габитусная плоскость (001)Ц || {125}Ф [11, 19, 24, 25]. Указанные плоскости имеют схожее расположение атомов в решетках цементита и феррита [3, 19, 27] – именно это обычно выдвигают в качестве причины появления таких типов ОС между двумя фазами. Можно также отметить работы [28], где реализация ОСИ (в противовес ОСБ) объясняется кристаллографией сдвиговой перестройки ОЦК-решетки в решетку цементита, и [29], где появление ОСБ объясняют через специфический механизм двойникования ГЦК- и ОЦК-решеток.
Относительно факторов, влияющих на вероятность реализации того или иного типа ОС, единства в литературе нет. Ряд авторов, начиная с В. Питча [16, 19, 24], указывали, что ОСБ (ОСИ) и ОСП проявляются с равной вероятностью независимо от состава стали и температуры образования перлита. Были попытки связать преобладание того или иного вида ОС с местами зарождения пластин в начале роста колонии [5, 30, 31] или химическим составом стали [22].
По-видимому, доля колоний с ОСБ (ОСИ) увеличивается с понижением температуры аустенит-перлитного превращения [18, 23]. В работах, где исследован грубопластинчатый перлит, образовавшийся при высоких (600–700°C) температурах, указано, что доля колоний с ОСП составляет 60–70% [18, 19, 24, 30, 32, 33]. В то же время в низкотемпературном (330–550°C) тонкопластинчатом перлите преобладает ОСБ (ОСИ) [12, 19, 23, 26, 34, 35]. К этому выводу пришли ранее авторы монографии [5].
Высказано мнение, что преимущественная реализация того или иного типа ОС зависит от соотношения межатомных расстояний в габитусных плоскостях фаз, меняющегося в зависимости от температуры [36] или легирования [27]. Возможно, именно поэтому Г.Д. Сухомлин наблюдал разные тенденции в нелегированной [18] и легированной [24] доэвтектоидных сталях.
Отметим, что в случае выделения цементита из α-, а не из γ-твердого раствора (при образовании нижнего бейнита или при отпуске мартенсита) реализуется только ОСБ (ОСИ) [2, 27, 37, 38].
Вопрос о частоте реализации разных видов ОС, по-видимому, важен для выяснения природы механического поведения перлитных структур разной дисперсности. Об этом свидетельствуют результаты работы [39], где с помощью молекулярно-динамического моделирования с потенциалом MEAM (при 300 К) было показано, что различное строение ядра межфазных дислокаций делает все их “сидячими” при ОСП, тогда как при ОСБ и ОСИ присутствуют скользящие межфазные дислокации. Возможно, именно поэтому низкотемпературный перлит с большей долей колоний, в которых реализуется ОСБ (ОСИ), обладает высокой деформируемостью.
В работах [40, 41] было проведено молекулярно-динамическое моделирование межфазных границ в перлите с различными видами ОС и продемонстрировано, что расчетная энергия сильно зависит не только от выбранного потенциала, но и от того, какая атомная плоскость цементитной структуры, параллельная габитусу, будет принята в качестве граничной. Минимальные значения энергии составили 0.28, 0.12 и 0.39 Дж/м2 для ОСБ, ОСИ и ОСП соответственно. Были определены векторы Бюргерса и типы межфазных дислокаций в каждом случае.
Более точные, но и более требовательные к вычислительным ресурсам методы расчета из первых принципов не позволяют моделировать структуру дефектов, однако более надежно выявляют атомные конфигурации и электронную структуру на когерентных участках границы. Так, в работе [26] путем моделирования с использованием псевдопотенциала с учетом обобщенного градиентного приближения в программном пакете VASP были рассчитаны положения атомов и энергии для когерентной границы (101)Ц || (112)Ф с ОСИ. Минимальное значение межфазной энергии составило 0.45 Дж/м2. Однако в этой работе рассмотрено только ОСИ с габитусом (101)Ц || (112)Ф и не рассмотрено ОСБ с габитусом (001)Ц || (112)Ф. Между тем, выше отмечено, что эти два ОС очень близки, и в экспериментальных исследованиях зачастую не разделены. Поэтому важно сравнить строение и энергию границы цементит/феррит для ОСБ (ОСИ) с этими двумя типами габитусных плоскостей.
В настоящей работе была поставлена цель провести моделирование из первых принципов атомной, электронной и магнитной структуры когерентных межфазных границ цементит/феррит, имеющих ОС Багаряцкого (Исайчева), с габитусами (001)Ц || (112)Ф и (101)Ц || (112)Ф.
ОПРЕДЕЛЕНИЕ ПАРАМЕТРОВ МОДЕЛИРОВАНИЯ
Построение суперячейки с ориентационными соотношениями Багаряцкого
Поскольку габитусная плоскость (001)Ц || (112)Ф при ОСБ параллельна одной из граней ромбической элементарной ячейки цементита, то за основу при построении суперячейки с межфазной границей была взята полученная ранее [42] оптимизированная по параметрам решетки и положению атомов орторомбическая ячейка цементита, содержащая 12 атомов Fe и 4 атома C, с параметрами aЦ = 4.510 Å; bЦ = 5.063 Å; cЦ = 6.747 Å, близкими к экспериментальным (4.524, 5.088, 6.741 Å соответственно [43]). Атомы Fe в ней образуют 6 плоскостей, параллельных (001)Ц: в плоскостях 1, 3, 4 и 6 расположены атомы, занимающие позиции типа G (“general”), а в плоскостях 2 и 5 – позиции типа S (“special”), согласно терминологии [44]. Каждая из 6 плоскостей содержит по 2 атома Fe.
Над плоскостью 6 цементитной части должна располагаться ферритная часть суперячейки, образованная плоскостями (112)Ф, параллельными (001)Ц. Если принимать для параметра решетки феррита значение aФ= 2.84 Å, полученное при моделировании из первых принципов [45] и несколько меньшее экспериментального значения 2.866 Å при комнатной температуре [46], то расстояние между этими плоскостями составит 1.159 Å.
Плоскость 1 ферритной части должна располагаться так же, как плоскость 1 цементитной
(4)
с которой плоскость 6
(5)
граничит в однофазной цементитной структуре (рис. 1), но при z = 7.447 Å.
Рис. 1. Взаимное положение плоскостей 1 и 6 атомов железа в структуре цементита (а) и плоскостей 6 цементита и 1 феррита на межфазной границе
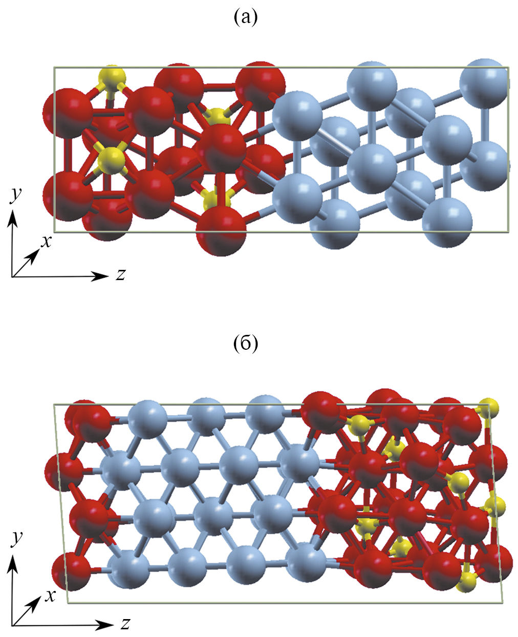
Каждая последующая плоскость ферритной части должна быть смещена относительно предыдущей на вектор [100] = [2.84; 0; 0] Å в системе координат ОЦК-решетки феррита. В системе координат, где x = [100]Ц || [10]Ф, y = [010]Ц || [1]Ф, z = [001]Ц || [112]Ф этот вектор будет иметь вид [2.008; –1.640; 1.159] Å. В таком случае близкой к положению атомов в плоскости 6 цементитной части суперячейки окажется плоскость 6 ферритной части. Если сместить ее в положение, аналогичное плоскости 6 цементитной части, и пересчитать координаты остальных атомов так, чтобы итоговая суперячейка оказалась ромбической, то получится набор координат 12 + 12 = 24 атомов Fe и 4 атомов C при параметрах суперячейки a = 4.510 Å; b = 5.063 Å; c = 13.941 Å (рис. 2а), который может служить основой для дальнейшей объемной и структурной оптимизации.
Рис. 2. Суперячейки с межфазной границей феррит/цементит до объемной и структурной оптимизации ОС Багаряцкого (а) и ОС Исайчева (б).
Построение суперячейки с ориентационными соотношениями Исайчева
При выполнении ОСИ габитусная плоскость (101)Ц || (112)Ф непараллельна граням ромбической элементарной ячейки цементита, поэтому в качестве базисных векторов следует выбрать a'Ц = [–aЦ, 0, cЦ], b'Ц = [0, bЦ, 0], c'Ц = [aЦ, 0, cЦ]. Построенная на них элементарная ячейка цементита будет моноклинной с углом β = 67.52° и содержать 24 атома Fe и 8 атомов C. В направлении оси c'Ц будут чередоваться с периодом 12 плоскости, содержащие атомы Fe в G- и S-позициях. В качестве начальной и конечной плоскостей цементитной части суперячейки следует выбрать плоскости, содержащие атомы Fe в позициях S, так как при таком выборе граничных плоскостей не нарушается целостность образующих железную подрешетку цементита трехгранных призм, внутри которых находятся атомы углерода. Такое же условие было соблюдено при построении суперячейки с ОСБ. Тогда цементитная часть суперячейки будет состоять из 14 плоскостей, в каждой из которых лежат по 2 атома Fe, и 4 плоскостей, содержащих по 2 атома C.
Атомы плоскости 1 ферритной части суперячейки должны быть смещены относительно атомов плоскости 14 цементитной части так, чтобы обеспечить расстояние между атомами Fe в двух плоскостях, наиболее близкое к 2.48 Å в однофазной ОЦК структуре феррита. Для того, чтобы плоскости 1 цементитных частей двух соседних суперячеек располагались точно друг над другом, количество плоскостей в ферритной части должно быть равно 7.
Подробнее построение суперячейки описано в [47]. Она содержит 56 атомов Fe (по 28 в цементитной и ферритной частях) и 8 атомов C, а ее параметры равны a = 8.118 Å, b = 5.088 Å; c = 16.842 Å; β = 94.22°; a = γ = 90° (рис. 2б). В дальнейшем построенная этим образом суперячейка также подвергалась объемной и структурной оптимизации.
Выбор параметров моделирования
Все вычисления проводили в рамках теории функционала плотности (DFT) методом линейных присоединенных плоских волн (LAPW) с учетом обобщенного градиентного приближения (GGA’96) в программном пакете WIEN2k [48]. Оптимальные параметры моделирования имеют следующие значения: параметр, контролирующий сходимость, (RmtKmax) = 7.25; радиусы МТ-сфер Rmt(Fe) = 2.0; Rmt(С) = 1.45 a. e. Количество k-точек для двух суперячеек было выбрано разным: 343 для ОСБ и 64 для ОСИ, так как суперячейки содержали разное количество атомов (28 и 64 соответственно).
Была выполнена объемная оптимизация структур с релаксацией положений отдельных атомов в соответствии с силами Хеллмана– Фейнмана до тех пор, пока результирующая сила на каждом атоме не оказывалась меньше 0.01 эВ/Å. Все это обеспечивает погрешность результатов расчетов не более 0.01 эВ.
РЕЗУЛЬТАТЫ МОДЕЛИРОВАНИЯ
Параметры решетки
Параметры решетки определяли путем объемной оптимизации структуры суперячейки. Для ячейки с ОСБ сначала варьировали объем системы при постоянных значениях параметра решетки c и отношении a / b (рис. 3). На оси ординат на рис. 3 отложена относительная энергия Ei – E0, где E0 – самое низкое значение энергии из всех рассмотренных вариантов, а Ei – значение энергии, соответствующее конкретному значению объема. Согласно уравнению Мурнагана, наименьшей энергии отвечает объем системы 298.9 Å3 (–6% от начального): a1 = 4.416 Å, b1 = 4.958 Å, c1 = 13.652 Å.
Рис. 3. Зависимость относительной энергии системы от общего объема системы.
Следующим шагом фиксировали параметры b1 и c1, а параметр a1 меняли в пределах от –3% до +2%. Наименьшей энергии отвечает a2 = 4.324 Å (–2.1% от a1). Аналогичным образом определяли параметры b2 = 5.025 Å (+1.4% от b1) и c2 = 13.845 Å (+1.4% от c1). Для цементитной части наблюдали сокращение параметра a на 4.1% (4.324 вместо 4.510 Å), в то время как параметры b и c изменились лишь на –0.8 и +1.7% соответственно. В ферритной части также наблюдали уменьшение параметра решетки на 1.1% (до 2.81 Å).
Процедура нахождения постоянных решетки для ОСИ была аналогичной; подробно она описана в работе [49]. В этом случае оптимизированные параметры суперячейки a = 7.957 Å, b = 4.987 Å, c = 17.173 Å; α = 93.95°; β = γ = 90° [49, 50]. Параметры решетки для цементитной области отличаются от рассчитанных для чистого Fe3C незначительно: a на 1.9% (7957 вместо 8.115 Å), b на 1.5% (4.987 вместо 5.063 Å), c на 1.0% (8.197 вместо 8.115 Å). Для ферритной фазы постоянная решетки 2.84 Å совпадает с рассчитанной для чистого ОЦК железа.
Для всех систем была проведена оценка межплоскостных расстояний Fe – Fe вблизи межфазных границ после выполнения процедуры оптимизации в сравнении со значениями для исходных структур (рис. 4). Для обоих ОС наблюдаются отличия между начальными и конечными межплоскостными расстояниями; особенно это заметно для цементитной части. Видны осцилляции межплоскостных расстояний.
Рис. 4. Графики зависимости межплоскостного расстояния вблизи межфазной границы для изначальной структуры и структуры после проведения оптимизации ОСБ (а) и ОСИ (б). Отрицательные номера соответствуют плоскостям феррита, положительные – цементита.
Энергетические свойства
Энергию формирования межфазной границы феррит/цементит определяли по соотношению [51]:
(6)
где – полная энергия системы, содержащей межфазную границу феррит/цементит; EFe – полная энергия объемного кристалла феррита; – полная энергия объемного кристалла цементита; A – площадь межфазной границы.
Результаты расчета поверхностной энергии межфазных границ составили 0.383 Дж/м2 для ОСБ и 0.594 Дж/м2 для ОСИ, что находится в согласии с экспериментальными данными (0.700±0.300 [52]; 0.740 [53]; 0.500±0.360 [54]; 0.690 Дж/м2 [55]) и теоретическими значениями для ОСБ (0.450 [56]; 0.615 [57]; 0.628 [58]; 0.570 Дж/м2 [39]) и для ОСИ (0.500 [58]; 0.687 и 0.449 Дж/м2 [26]). Необходимо обратить внимание на разброс имеющихся в литературе данных.
Во всех теоретических работах метод построения ячеек отличался от представленного в настоящей работе. Так, для ОСИ ранее использовали ромбическую ячейку. Не упомянута и объемная оптимизация параметров решетки системы с межфазной границей. В работе [58], выполненной методом молекулярной динамики (MEAM), энергия для ОСИ оказалась ниже, чем для ОСБ (0.500 и 0.628 Дж/м2 соответственно), в отличие от наших результатов. Отметим, что по нашим расчетам, если не проводить объемную оптимизацию структур, то межфазная энергия при ОСИ составит 0.620 Дж/м2, а при ОСБ – 0.680 Дж/м2. Как видно из представленных выше результатов, в ходе объемной оптимизации параметры решетки сильно изменяются по сравнению с первоначальными, что и приводит к понижению энергии.
Различие в поверхностной энергии между ОСБ и ОСИ на 0.211 Дж/м2 может играть существенную роль для низкотемпературного перлита с его малой толщиной пластин двух фаз и большой удельной площадью межфазных границ.
Магнитные моменты
Средний магнитный момент на атомах железа в ферритной части для ОСБ составил 2.53µБ, а объем многогранников Вороного принимает значения в пределах от 12.30 до 12.37 Å3. В случае ОСИ значение среднего магнитного момента ниже и составляет 2.34µБ, а объем многогранника для этих атомов лежит в интервале от 11.50 до 12.12 Å3. В цементитной части также наблюдаются различия, но они имеют противоположный характер: средний магнитный момент на атомах железа для ОСБ равен 1.79 µБ, а для ОСИ – 1.96 µБ; и объемы многогранников Вороного для ОСБ меньше (9.88–10.51 Å3), чем для ОСИ (10.04–11.86 Å3). С увеличением объема многогранника Вороного для атома железа увеличивается и его магнитный момент. Таким образом, в случае ОСБ происходят более сильные изменения по сравнению с объемными структурами феррита и цементита: цементитная часть существенно уменьшается (это хорошо заметно по параметрам решетки вдоль направления х). В то же время при ОСИ как магнитные, так и структурные параметры отличаются от соответствующих характеристик для ОЦК железа и цементита не более, чем на 2%.
ЗАКЛЮЧЕНИЕ
В работе построены модели межфазных границ феррит/цементит с ориентационными соотношениями Багаряцкого и Исайчева. Определены оптимальные параметры моделирования для каждой из систем. Вычисленная энергия формирования межфазной границы находится в хорошем согласии с имеющимися в литературе данными, как экспериментальными, так и теоретическими. Для атомов железа в обеих решетках (феррита и цементита) наблюдается корреляция между магнитными моментами и объемами многогранников Вороного: с уменьшением объема многогранника магнитный момент на атоме железа уменьшается, и наоборот.
БЛАГОДАРНОСТЬ
Исследование выполнено при финансовой поддержке Министерства науки и высшего образования Российской Федерации (государственное задание на выполнение фундаментальных научных исследований № FENU-2023-0011 (2023011ГЗ)).
Конфликт интересов. Авторы заявляют, что у них нет конфликта интересов.
About the authors
A. V. Verkhovykh
Institute of Natural Sciences and Mathematics, South Ural State University (national research university)
Email: diuriaginans@susu.ru
Russian Federation, 454080, Chelyabinsk
A. A. Mirzoev
Institute of Natural Sciences and Mathematics, South Ural State University (national research university)
Email: diuriaginans@susu.ru
Russian Federation, 454080, Chelyabinsk
K. Yu. Okishev
Institute of New Materials and Technologies, Ural Federal University named after the first President of Russia B.N. Yeltsin
Email: diuriaginans@susu.ru
Russian Federation, 620002, Ekaterinburg
N. S. Dyuryagina
Institute of Natural Sciences and Mathematics, South Ural State University (national research university)
Author for correspondence.
Email: diuriaginans@susu.ru
Russian Federation, 454080, Chelyabinsk
References
- Счастливцева В.М. Цементит в углеродистых сталях: коллективная монография / Под ред. акад. Екатеринбург: Изд-во УМЦ УПИ, 2017. 380 с.
- Nagakura S., Hirotsu Y., Kusunoki M., Suzuki T., Nakamura Y. // Metall. Trans. A. 1983. V. 14. № 6. P. 1025. https://www.doi.org/10.1007/BF02670441
- Курдюмов Г.В., Утевский Л.М., Энтин Р.И. Превращения в железе и стали. М.: Наука, 1977. 240 с.
- Тушинский Л.И., Батаев А.А., Тихомирова Л.Б. Структура перлита и конструктивная прочность стали. Новосибирск: ВО "Наука", 1993. 280 с.
- Счастливцев В.М., Мирзаев Д.А., Яковлева И.Л. Структура термически обработанной стали. М.: Металлургия, 1994. 288 с.
- Счастливцев В.М., Мирзаев Д.А., Яковлева И.Л., Окишев К.Ю., Табатчикова Т.И., Хлебникова Ю.В. Перлит в углеродистых сталях. Екатеринбург: УрО РАН, 2006. 312 с.
- Гриднев В.Н., Гаврилюк В.Г., Мешков Ю.Я. Прочность и пластичность холоднодеформированной стали. Киев: Наукова думка, 1974. 232 с.
- Li Y., Raabe D., Herbig M., Choi P.-P., Goto S., Kost-ka A., Yarita H., Borchers C., Kirchheim R. // Phys. Rev. Lett. 2014. V. 113. № 10. P. 106104. https://www.doi.org/10.1103/PhysRevLett.113.106104
- Гаврилюк В.Г. Распределение углерода в стали. Киев: Наукова думка, 1987. 208 с.
- Ivanisenko Yu., Lojkowski W., Valiev R.Z., Fecht H.-J. // Acta Materialia. 2003. V. 51. № 18. P. 5555. https://www.doi.org/10.1016/S1359-6454(03)00419-1
- Яковлева И.Л., Карькина Л.Е., Хлебникова Ю.В., Счастливцев В.М., Табатчикова Т.И. // Физика металлов и металловедение. 2003. Т. 96. № 4. С. 44.
- Zhou Y.T., Shao X.H., Zheng S.J., Ma X.L. // J. Mater.Sci. Technol. 2022. V. 101. P. 28. https://www.doi.org/10.1016/j.jmst.2021.05.061
- Макаров А.В., Саврай Р.А., Счастливцев В.М., Табатчикова Т.И., Яковлева И.Л., Хлебникова Ю.В., Егорова Л.Ю. // Физика металлов и металловедение. 2004. Т. 97. № 5. С. 94.
- Макаров А.В., Счастливцев В.М., Табатчикова Т.И., Яковлева И.Л., Егорова Л.Ю. // Физика металлов и металловедение. 2011. Т. 111. № 1. С. 97.
- Багаряцкий Ю.А. // Доклады АН СССР. 1950. Т. 73. № 6. С. 1161.
- Pitsch W. // Acta Metallurgica. 1962. V. 10. № 9. P. 897. https://doi.org/10.1016/0001-6160(62)90108-6
- Petch N.J. // Acta Crystallographica. 1953. V. 6. P. 96. https://www.doi.org/10.1107/S0365110X53000260
- Сухомлин Г.Д. // Физика металлов и металловедение. 1974. Т. 38. № 4. С. 878.
- Ohmori Y., Davenport A.T., Honeycombe R.W.K // Transactions of the Iron and Steel Institute of Japan. 1972. V. 12. № 5. P. 128. https://www.doi.org/10.2355/isijinternational1966.12.128
- Исайчев И.В. // Журнал технической физики. 1947. Т. 17. № 7. С. 835.
- Zhou D.S., Shiflet G.J. // Metall. Trans. A. 1992. V. 23. № 4. P. 1259. https://www.doi.org/10.1007/BF02665057
- Zhang M.-X., Kelly P.M. // Scripta Materialia. 1997. V. 37. № 12. P. 2009.
- Счастливцев В.М., Яковлева И.Л. // Физика металлов и металловедение. 1974. Т. 38. № 3. С. 571.
- Сухомлин Г.Д. // Физика металлов и металловедение. 1976. Т. 42. № 5. С. 965.
- Яковлева И.Л., Карькина Л.Е., Хлебникова Ю.В., Счастливцев В.М., Табатчикова Т.И. // Физика металлов и металловедение. 2001. Т. 92. № 6. С. 81.
- Zhou Y.T., Zheng S.J., Jiang Y.X., Zhao T.Z., Wang Y.J., Ma X.L. // Philosophical Magazine. 2017. V. 97. № 27. P. 2375. https://www.doi.org/10.1080/14786435.2017.1332434
- Ohmori Y. // ISIJ Int. 2001. V. 41. № 6. P. 554. https://www.doi.org/10.2355/isijinternational.41.554
- Bhadeshia H.K.D.H. // J. Mater. Sci. Technol. 2018. V. 34. № 14. P. 1666. https://www.doi.org/10.1080/02670836.2018.1470746
- Kraposhin V., Jakovleva I., Karkina L., Nuzhny G., Zubkova T., Talis A. // J. Alloys Compd. 2013. V. 577. P. S30. https://www.doi.org/10.1016/j.jallcom.2011.10.102
- Dippenaar R.J., Honeycombe R.W.K. // Proc. Royal Soc. A. 1973. V. 333. № 1595. P. 455. https://www.doi.org/10.1098/rspa.1973.0073
- Mangan M.A., Shiflet G.J. // Metallurgical Mater. Trans. A. 1999. V. 30. № 11. P. 2767. https://www.doi.org/10.1007/s11661-999-0114-9
- Lupton D.F., Warrington D.H. // Metallography. 1972. V. 5. № 4. P. 325.
- Shackleton D.N., Kelly P.M. // J. Iron and Steel Institute. 1969. V. 207. P. 1253.
- Morgan R., Ralph B. // J. Iron and Steel Institute. 1968. V. 206. P. 1138.
- Яковлева И.Л., Карькина Л.Е., Кабанова И.Г., Счастливцев В.М., Зубкова Т.А. // Известия РАН. Серия физическая. 2010. Т. 74. № 11. С. 1599.
- Thompson S.W., Howell P.R. The Habit Plane of Cementite Formed in Austenite with a Pitsch-like Orientation Relationship. // Proc. Int. Conf. Solid-to-Solid Phase Transformations in Inorganic Materials PTM'94. USA: Nemacolin, PA. 1994. Р. 1127.
- Shackleton D.N., Kelly P.M. // Acta Metallurgica. 1967. V. 15. № 6. P. 979.
- Ohmori Y., Davenport A.T., Honeycombe R.W.K. // Transactions ISIJ. 1972. V. 12. № 5. P. 112.
- Kim J., Ghaffarian H., Ryu S., Kang K. // Computational Mater. Sci. 2020. V. 173. P 109375. https://www.doi.org/10.1016/j.commatsci.2019.109375
- Guziewski M., Coleman S.P., Weinberger C.R. // Acta Materialia. 2016. V. 119. P. 184. https://www.doi.org/10.1016/j.actamat.2016.08.017
- Guziewski M., Coleman S.P., Weinberger C.R. // Acta Materialia. 2018. V. 155. P. 1. https://www.doi.org/10.1016/j.actamat.2018.05.051
- Верховых А.В., Мирзоев А.А., Мирзаев Д.А. // Вестник Южно-Уральского государственного университета. Серия "Математика, механика, физика". 2018. Т. 10. № 4. С. 78. https://www.doi.org/10.14529/mmph180409
- Andrews K.W. // Acta Metallurgica. 1963. V. 11. № 8. P. 939. https://www.doi.org/10.1016/0001-6160(63)90063-4
- Fasiska E.J., Jeffrey G.A. // Acta Cryst. 1965. V. 19. P. 463. https://www.doi.org/10.1107/S0365110X65003602
- Урсаева А.В., Рузанова Г.Е., Мирзоев А.А. // Вестник Южно-Уральского государственного университета. Серия "Математика, механика, физика". 2010. Т. 9. № 2. С. 97.
- Барабаш О.М., Коваль Ю.Н. Структура и свойства металлов и сплавов: Справочник. Кристаллическая структура металлов и сплавов. Киев: Наукова думка, 1986. 600 с.
- Verkhovykh A.V., Okishev K.Yu., Mirzoev A.A., Mirzaev D.A. // Вестник Южно-Уральского государственного университета. Серия "Математика, механика, физика". 2014. Т. 6. № 2. С. 49–55.
- Schwarz K., Blaha P. // Comput. Mater. Sci. 2003. V. 28. № 2. P. 259e273.
- Верховых А.В., Окишев К.Ю., Мирзоев А.А., Мирзаев Д.А. // Вестник Южно-Уральского государственного университета. Серия "Металлургия", 2017. Т. 17. № 1. С. 35. https://www.doi.org/10.14529/met170104
- Mirzoev A.A., Verkhovykh A.V., Okishev K.Yu., Mirza-ev D.A. // Molecular Physics. 2018. V. 116. № 4. P. 482. https://www.doi.org/10.1080/00268976.2017.1406161
- Finnis M.W. // J. Phys.: Condensed Matter. 1996. V. 8. № 32. P. 5811. https://www.doi.org/10.1088/0953-8984/8/32/003
- Kramer J.J., Pound G.M., Mehl R.F. // Acta Metallurgica. 1958. V. 6. № 12. P. 763. https://www.doi.org/10.1016/0001-6160(58)90051-8
- Martin J.W., Doherty R.D., Cantor B. Stability of microstructure in metallic systems. Cambridge University Press, 1997. 427 p.
- Kirchner H.O.K., Mellor B.G., Chadwick G.A. // Acta Metallurgica. 1978. V. 26. № 6. P. 1023. https://www.doi.org/10.1016/0001-6160(78)90052-4
- Li C.Y., Blakely J.M., Feingold A.H. // Acta Metallurgica. 1966. V. 14. № 11. P. 1397. https://www.doi.org/10.1016/0001-6160(66)90159-3
- Zhang X., Hickel T., Rogal J., Fähler S., Drautz R., Neugebauer J. // Acta Materialia. 2015. V. 99. P. 281. https://www.doi.org/10.1016/j.actamat.2015.07.075
- Ruda M., Farkas D., Garcia G. // Computational Mater. Sci. 2009. V. 45. № 2. 550. https://www.doi.org/10.1016/j.commatsci.2008.11.020
- Kim J., Kang K., Ryu S. // Int. J. Plasticity. 2016. V. 83. P. 302. https://www.doi.org/10.1016/j.ijplas.2016.04.016
Supplementary files






