Nuclear Stopping for DFT Potentials with Attraction Well
- Autores: Babenko P.Y.1, Zinoviev A.N.1
-
Afiliações:
- Ioffe Institute
- Edição: Nº 11 (2023)
- Páginas: 101-106
- Seção: Articles
- URL: https://bakhtiniada.ru/1028-0960/article/view/232228
- DOI: https://doi.org/10.31857/S1028096023110055
- EDN: https://elibrary.ru/LXSTNO
- ID: 232228
Citar
Texto integral
Resumo
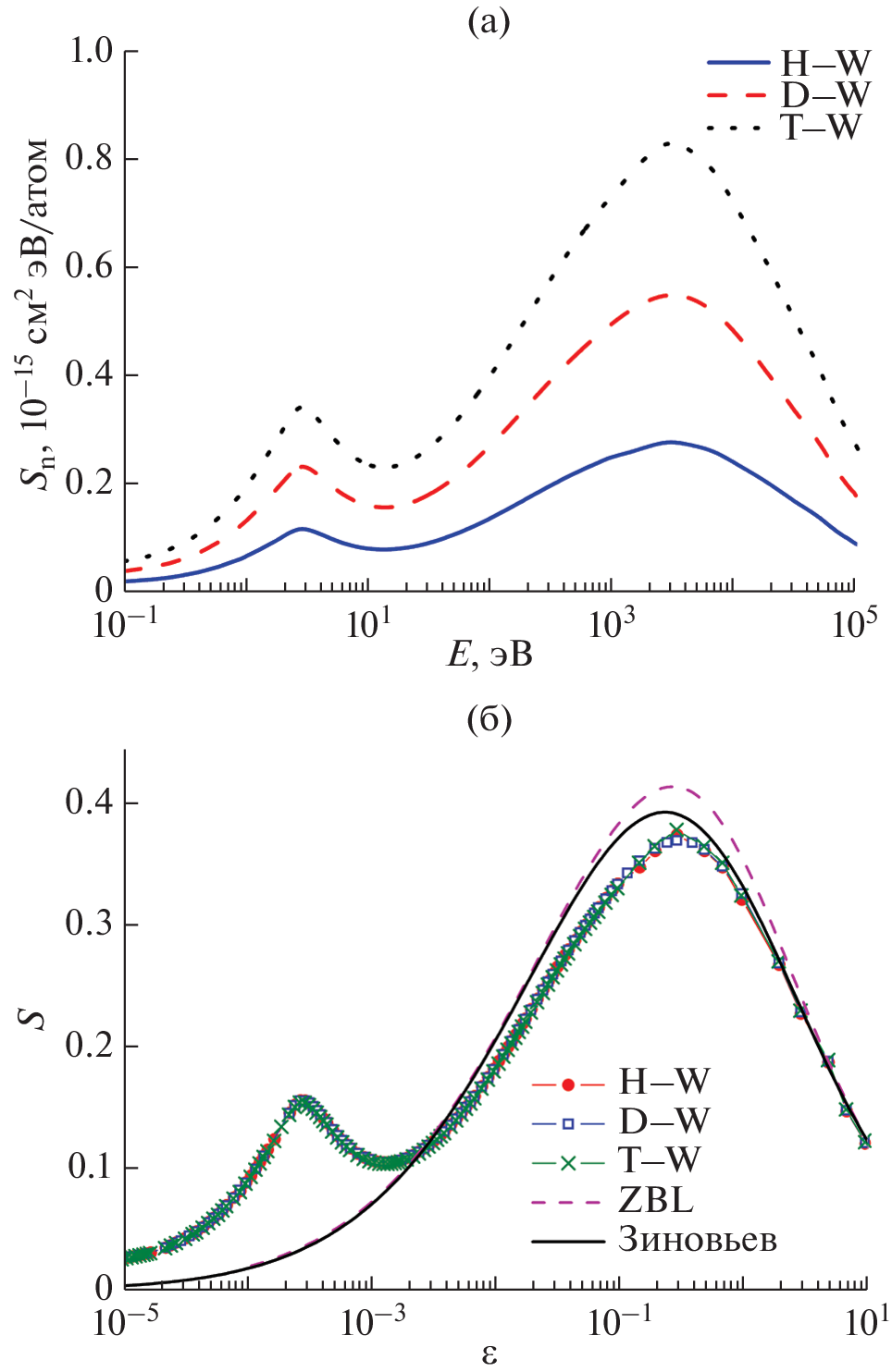
Using the interaction potentials obtained in the framework of the density functional theory, the nuclear stopping powers are calculated for the H, D, T–Be, C, W, systems necessary for calculating the plasma–wall interaction in thermonuclear research, as well as for the Kr–Si, Kr–Ge, O–Si systems, used in ion implantation into semiconductors. In the collision energy range 10–1000 eV, the obtained data differ from the SRIM data by 15–70%. The presence of a potential well leads to the appearance of an additional peak in the nuclear stopping power at low energies. A comparison of the classical calculations of the transport cross section with the semiclassical ones showed their identity at energies up to 0.3 eV.
Sobre autores
P. Babenko
Ioffe Institute
Email: zinoviev@inprof.ioffe.ru
Russia, 194021, St. Petersburg
A. Zinoviev
Ioffe Institute
Autor responsável pela correspondência
Email: zinoviev@inprof.ioffe.ru
Russia, 194021, St. Petersburg
Bibliografia
- Lindhard J., Scharff M., Schiott H.E. // Mat. Fys. Medd. Dan. Vid. Selsk. 1963. V. 33. P. 1.
- Improvement of the Reliability and Accuracy of Heavy Ion Beam Analysis. Technical Reports Series. № 485 / Ed. A. Simon. Vienna: IAEA, 2019. 198 p.
- Zinoviev A.N. // Nucl. Instrum. Methods Phys. Res. B. 2011. V. 269. P. 829. https://doi.org/10.1016/j.nimb.2010.11.074
- Zinoviev A.N., Nordlund K. // Nucl. Instrum. Methods Phys. Res. B. 2017. V. 406. P. 511. https://doi.org/10.1016/j.nimb.2017.03.047
- Naqvi S.R., Possnert G., Primetzhofer D. // Nucl. Instrum. Methods Phys. Res. B. 2016. V. 371. P. 76. https://doi.org/10.1016/j.nimb.2015.09.048
- Grahmann H., Kalbitzer S. // Nucl. Instrum. Methods Phys. Res. 1976. V. 132. P. 119. https://doi.org/10.1016/0029-554X(76)90720-5
- Jedrejcic D., Greife U. // Nucl. Instrum. Methods Phys. Res. B. 2018. V. 428. P. 1. https://doi.org/10.1016/j.nimb.2018.04.039
- Shnidman R., Tapphorn R.M., Geller K.N. // Appl. Phys. Lett. 1973. V. 22. P. 551. https://doi.org/10.1063/1.1654504
- Glazov L.G., Sigmund P. // Nucl. Instrum. Methods Phys. Res. B. 2003. V. 207. P. 240. https://doi.org/10.1016/S0168-583X(03)00461-0
- Krist Th., Mertens P., Biersack J.P. // Nucl. Instrum. Methods Phys. Res. B. 1984. V. 2. P. 177. https://doi.org/10.1016/0168-583X(84)90183-6
- Krstic P.S., Schultz D.R. // Phys. Plasmas. 2006. V. 13. P. 053 501. https://doi.org/10.1063/1.2199808
- Schultz D.R., Krstic P.S. // Phys. Plasmas. 2002. V. 9. P. 64. https://doi.org/10.1063/1.1419056
- Риссел Х., Руге И. Ионная имплантация. М.: Наука, 1983. 359 с.
- Ландау Л.Д., Лифшиц Е.М. Квантовая механика. М.: Наука, 1989. 767 с.
- Мотт Н., Месси Г. Теория атомных столкновений. М.: Мир, 1969. 756 с.
- Zinoviev A.N. // Tech. Phys. 2008. V. 53. P. 13. https://doi.org/10.1134/S1063784208010039
- DMol Software, 1997 Version. DMol is a Trademark of AccelRys. Inc.
- Meluzova D.S., Babenko P.Yu., Shergin A.P., Nordlund K., Zinoviev A.N. // Nucl. Instrum. Methods Phys. Res. B. 2019. V. 460. P. 4. https://doi.org/10.1016/j.nimb.2019.03.037
- Zinoviev A.N., Babenko P.Yu., Nordlund K. // Nucl. Instrum. Methods Phys. Res. B. 2021. V. 508. P. 10. https://doi.org/10.1016/j.nimb.2021.10.001
- Luo Y.R. Comprehensive Handbook of Chemical Bond Energies. Boca Raton: CRC Press, 2007. 1688 p. https://doi.org/10.1201/9781420007282
- Darwent B. Bond Dissociation Energies in Simple Molecules. NSRDS-NBS. 31. 1970.
- Радциг А.А., Смирнов Б.М. Справочник по атомной и молекулярной физике. М.: Атомиздат, 1980. 240 с.
- Никольский Б.П. Справочник химика. Т. 1. Л.: Химия, 1966. 1072 с.
- NIST Data Base. https://webbook.nist.gov/chemistry/
- Ziegler J.F., Biersack J.P., Littmark U. The Stopping and Range of Ions in Solids, The Stopping and Range of Ions in Matter. V. 1. New York: Pergamon, 1985. 321p.
- Ziegler J.F., Biersack J.P. SRIM. http://www.srim.org
- Бабенко П.Ю., Зиновьев А.Н. // ЖТФ. 2021. Т. 91. С. 1901. https://doi.org/10.21883/JTF.2021.12.51754.199-21
- Firsov O.B. // Sov. Phys. JETP. 1958. V. 7. P. 308.
Arquivos suplementares






