Superconducting Solenoid (7 T) Indirectly Cooled by Cryocoolers for THz Radiation
- Authors: Bragin A.V.1, Volkov A.A.1,2, Kubarev V.V.1, Mezentsev N.A.1,2, Tarasenko O.A.1, Khrushchev S.V.1,2, Tsukanov V.M.1,2, Shkaruba V.A.1,2
-
Affiliations:
- Budker Institute of Nuclear Physics SB RAS
- Boreskov Institute of Catalysis SB RAS (SRF “SKIF”)
- Issue: No 11 (2023)
- Pages: 78-83
- Section: Articles
- URL: https://bakhtiniada.ru/1028-0960/article/view/232221
- DOI: https://doi.org/10.31857/S1028096023110079
- EDN: https://elibrary.ru/MWQSII
- ID: 232221
Cite item
Full Text
Abstract
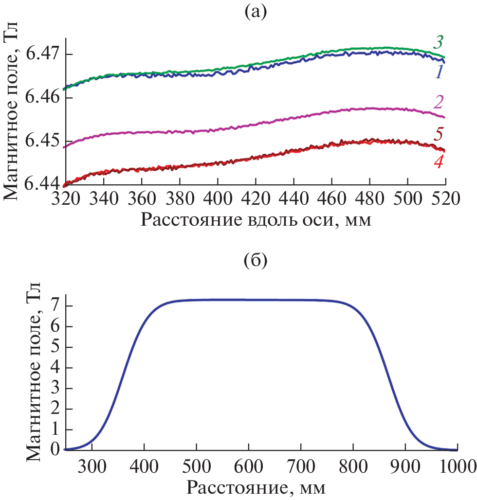
The test results and performance characteristics of an indirectly crycooled superconducting solenoid to be used at the THz spectroscopy experimental station of free-electron laser at the Institute of Nuclear Physics, are presented. The superconducting solenoid with a winding diameter of 102 mm and a length of 0.5 m was designed for a magnetic field of 6.5 T. The warm bore diameter of 80 mm is available for THz spectroscopy experiments. The superconducting wire Cu/NbTi = 1.4 was used. The design implements passive protection methods due to sectioning and secondary connected circuits in case of a sudden quench. The required field uniformity of 0.5% was ensured by using an iron yoke and additional side windings. The cryogenics of the solenoid is based on two Sumitomo HI cryocoolers. The solenoid and iron yoke are cooled by the second stage of the cryocooler via copper links. The manufacturing technology of the solenoid is described in detail. The solenoid was tested in a liquid helium bath and in its own cryostat. Its characteristics meet the requirements of the experimental station. The obtained filed of 7.5 T is greater than the designed one due to overcooling up to 3.6 K. The magnetic field was measured both in a bath cryostat and in a design cryostat; the results corresponded to the design calculations. The solenoid cooling time is 13 days. The quench happened only twice, at 5.6 and 7.5 T.
About the authors
A. V. Bragin
Budker Institute of Nuclear Physics SB RAS
Author for correspondence.
Email: bragin@inp.nsk.su
Russia, 630090, Novosibirsk
A. A. Volkov
Budker Institute of Nuclear Physics SB RAS; Boreskov Institute of Catalysis SB RAS (SRF “SKIF”)
Email: bragin@inp.nsk.su
Russia, 630090, Novosibirsk; Russia, 630559, Novosibirsk
V. V. Kubarev
Budker Institute of Nuclear Physics SB RAS
Email: bragin@inp.nsk.su
Russia, 630090, Novosibirsk
N. A. Mezentsev
Budker Institute of Nuclear Physics SB RAS; Boreskov Institute of Catalysis SB RAS (SRF “SKIF”)
Email: bragin@inp.nsk.su
Russia, 630090, Novosibirsk; Russia, 630559, Novosibirsk
O. A. Tarasenko
Budker Institute of Nuclear Physics SB RAS
Email: bragin@inp.nsk.su
Russia, 630090, Novosibirsk
S. V. Khrushchev
Budker Institute of Nuclear Physics SB RAS; Boreskov Institute of Catalysis SB RAS (SRF “SKIF”)
Email: bragin@inp.nsk.su
Russia, 630090, Novosibirsk; Russia, 630559, Novosibirsk
V. M. Tsukanov
Budker Institute of Nuclear Physics SB RAS; Boreskov Institute of Catalysis SB RAS (SRF “SKIF”)
Email: bragin@inp.nsk.su
Russia, 630090, Novosibirsk; Russia, 630559, Novosibirsk
V. A. Shkaruba
Budker Institute of Nuclear Physics SB RAS; Boreskov Institute of Catalysis SB RAS (SRF “SKIF”)
Email: bragin@inp.nsk.su
Russia, 630090, Novosibirsk; Russia, 630559, Novosibirsk
References
- Kubarev V., Chesnokov E., Koshlyakov P. // Proc. 37th Int. Conf. on Infrared, Millimeter and Terahertz Waves IRMMW-THz 2012, Wollongong, Australia, September 23–28, 2012. Thu-C-2-4.
- Kubarev V.V., Chesnokov E.N., Koshlyakov P.V. // Proc. 38th Int. Conf. on Infrared, Millimeter and Terahertz Waves IRMMW-THz 2013, Mainz on the Rhine, 2013. Tu5-5.
- Chesnokov E.N., Kubarev V.V., Koshlyakov P.V. // Appl. Phys. Lett. 2014. V. 105. P. 261107.
- Chesnokov E.N., Kubarev V.V., Koshlyakov P.V., Kulipanov G.N. // Appl. Phys. Lett. 2012. V. 101. P. 131109.
- Chesnokov E.N., Kubarev V.V., Koshlyakov P.V., Kulipanov G.N. // Laser Phys. Lett. 2013. V. 10. P. 055701.
- Chesnokov E.N., Kubarev V.V., Koshlyakov P.V. // Laser Phys. Lett. 2021. V. 18. Iss. 8. P. 085205.
- Chesnokov E.N., Kubarev V.V., Krasnoperov L.N., Koshlyakov P.V. // Phys. Chem. Chem. Phys. 2020. V. 22. P. 20248.
- Bragin A.V., Khrushchev S.V., Kubarev V.V., Mezencev N.A., Tsukanov V.M., Sozinov G.I., Shkaruba V.A. // Phys. Procedia. 2016. V. 84. P. 82.
- Khrushchev S., Mezentsev N., Lev V., Shkaruba V., Syrovatin V., Tsukanov V. // Phys. Rev. Accel. Beams. Proc. IPAC-2014. WEPRI091. P. 4103. https://doi.org/10.18429/JACoW-IPAC2014-WEPRI091
- Bragin A.V., Bernhard A., Casalbuoni S., Fajardo L.G., Ferracin P., Grau A., Gusev Ye.A., Hillenbrand S., Khrushchev S.V., Poletaev I.V., Shkaruba V.A., Schoerling D., Syrovatin V.M., Tarasenko O.A., Tsukanov V.M., Volkov A.A., Zolotarev K.V., Mezentsev N.A. // IEEE Trans. App. Supercond. 2016. V. 26. Iss. 4. P. 4102504.
- https://www.ansys.com/
- Schoerling D., Antoniou F., Bernhard A., Bragin A., Karppinen M., Maccaferri R., Mezentsev N., Papaphilippou Y., Peiffer P., Rossmanith R., Rumolo G., Russenschuck S., Vobly P., Zolotarev K. // Phys. Rev. Accel. Beams. 2012. V. 15. № 4. P. 042401.
- Green M.A. // Cryogenics. 1984. V. 24. Iss. 1. P. 3.
- Green M.A. // Cryogenics. 1984. V. 24. Iss. 12. P. 659.
- Bragin A.V., Barkov L.M., Bashtovoj N.S., Grebenuk A.A., Karpov S.V., Okhapkin V.S., Pivovarov S.G., Popov Yu.S., Ruban A.A., Khazin B.I. // IEEE Trans. Appl. Supercond. 2010. V. 20. P. 2336.
Supplementary files









