Study of the X-Ray Optical and Mechanical Characteristics of C/Si and B4C/Si Multilayer Mirrors
- Authors: Smertin R.M.1, Barysheva M.M.1, Garakhin S.A.1, Zorina M.V.1, Zuev S.Y.1, Polkovnikov V.N.1, Chkhalo N.I.1, Radishchev D.B.2
-
Affiliations:
- Institute of Physics of Microstructures RAS
- Institute of Applied Physics RAS
- Issue: No 12 (2023)
- Pages: 39-45
- Section: Articles
- URL: https://bakhtiniada.ru/1028-0960/article/view/232214
- DOI: https://doi.org/10.31857/S1028096023120233
- EDN: https://elibrary.ru/BIIQNG
- ID: 232214
Cite item
Full Text
Abstract
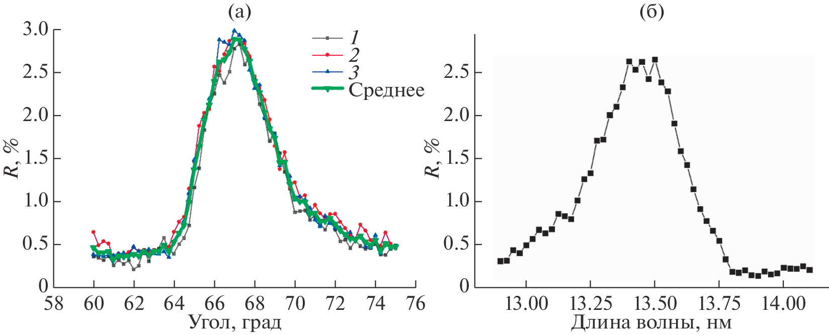
The X-ray optical and mechanical properties of dielectric multilayer mirrors based on pairs of C/Si and B4C/Si materials are synthesized and studied. The mirrors are optimized for a wavelength of 13.5 nm. The parameters of the deposition process are found that simultaneously ensure the fulfillment of three conditions: relatively high reflection coefficients at the operating wavelength, near-zero mechanical stresses in the film, and the absence of electrical conductivity. At zero internal stresses, the reflection coefficient of C/Si multilayer mirrors deposited on superpolished silicon substrates at an operating wavelength of 13.5 nm is R = 11%, the spectral bandwidth is Δλ = 0.33 nm. The B4C/Si mirror provides the following characteristics: R = 8.2%, spectral bandwidth Δλ = 0.3 nm. However, blistering has been found in B4C/Si multilayer mirrors, i.e., the appearance of bubbles on the film due to the accumulation of hydrogen inside, which excludes their use for deposition on commercially available microelectromechanical system micromirrors. The deposition of a C/Si coating made it possible for the first time to obtain a workable system that reflects X-rays at an operating wavelength of 13.5 nm. The reflection coefficient is about R ~ 3%. The low value of the reflection coefficient is due to the high, about 1.5 nm, microroughness of the surface of the microelectromechanical system micromirrors. The study performed indicates the fundamental possibility of creating a matrix X-ray optical element for modulating the spatiotemporal characteristics of X-ray beams.
About the authors
R. M. Smertin
Institute of Physics of Microstructures RAS
Author for correspondence.
Email: smertin_ruslan@ipmras.ru
Russia, 607680, Nizhny Novgorod
M. M. Barysheva
Institute of Physics of Microstructures RAS
Email: smertin_ruslan@ipmras.ru
Russia, 607680, Nizhny Novgorod
S. A. Garakhin
Institute of Physics of Microstructures RAS
Email: smertin_ruslan@ipmras.ru
Russia, 607680, Nizhny Novgorod
M. V. Zorina
Institute of Physics of Microstructures RAS
Email: smertin_ruslan@ipmras.ru
Russia, 607680, Nizhny Novgorod
S. Yu. Zuev
Institute of Physics of Microstructures RAS
Email: smertin_ruslan@ipmras.ru
Russia, 607680, Nizhny Novgorod
V. N. Polkovnikov
Institute of Physics of Microstructures RAS
Email: smertin_ruslan@ipmras.ru
Russia, 607680, Nizhny Novgorod
N. I. Chkhalo
Institute of Physics of Microstructures RAS
Email: smertin_ruslan@ipmras.ru
Russia, 607680, Nizhny Novgorod
D. B. Radishchev
Institute of Applied Physics RAS
Email: smertin_ruslan@ipmras.ru
Russia, 603950, Nizhny Novgorod
References
- http://elcompbase.ru/news/38/.
- Choksi N., Pickard D.S., McCord M., Pease R.F.W. // J. Vac. Sci. Technol. B. 1999. V. 17. P. 3047. https://doi.org./10.1116/1.590952
- Chkhalo N., Polkovnikov V., Salashchenko N., Toropov M. // J. Vac. Sci. Technol. B. 2017. V. 35. P. 062002. https://doi.org/10.1116/1.4995369
- Chkhalo N.I., Polkovnikov V.N., Salashchenko N.N., Toropov M.N. // Proc. SPIE. 2016. V. 10224. P. 102241O. https://doi.org/10.1117/12.2267125
- Chen Y., Shroff Y. // Proc. SPIE. 2006. V. 6151. P. 1512D. https://doi.org./10.1117/12.655113
- Nix W.D. // Metall. Trans. A. 1989. V. 20. № 11. P. 2217. https://doi.org./10.1007/BF02666659
- Гофман Р.У. Физика тонких пленок. Т. 3. М.: Мир, 1968.
- Андреев С.С., Клюенков Е.Б., Мизинов А.Л., Полковников В.Н., Салащенко Н.Н., Суслов Л.А., Чернов В.В. // Поверхность. Рентген., синхротр. и нейтрон. исслед. 2005. № 2. С. 45.
- https://static.chipdip.ru/lib/051/DOC013051769.pdf.
- Polkovnikov V.N., Salashchenko N.N., Svechnikov M.V., Chkhalo N.I. // Physics-Uspekhi. 2020. V. 63. Iss. 1. P. 83. https://doi.org./10.3367/UFNe.2019.05.038623
- Svechnikov M. // J. Appl. Crystallogr. 2020. V. 53. Iss. 1. P. 244. https://doi.org./10.1107/S160057671901584X
- Гарахин С.А., Забродин И.Г., Зуев С.Ю., Каськов И.А., Лопатин А.Я., Нечай А.Н., Полковников В.Н., Салащенко Н.Н., Цыбин Н.Н., Чхало Н.И. // Квантовая электроника. 2017. Т. 47. № 4. С. 385.
- Garakhin S.A., Chkhalo N.I., Kas’kov I.A., Lopatin A.Ya., Malyshev I.V., Nechay A.N., Pestov A.E., Polkovnikov V.N., Salashchenko N.N., Svechnikov M.V., Tsybin N.N., Zabrodin I.G., Zuev S.Yu. // Rev. Sci. Instrum. 2020. V. 91. Iss. 6. P. 063103. https://doi.org./10.1063/1.5144489
- Stoney G.G. // Proc. R. Soc. Lond. A. 1909. V. 82. P. 172. https://doi.org./10.1098/rspa.1909.0021
- Brenner A., Senderoff S. // J. Res. Nat’l. Bur. Stand. 1949. V. 42. P. 105.
- Добрынин А.В. // Письма в ЖТФ. 1997. Т. 23. № 18. С. 32.
- http://www.lao.cz/data/ke-stazeni/datasheet-newview-7300-d838.pdf
- Chkhalo N.I., Salashchenko N.N., Zorina M.V. // Rev. Sci. Instrum. 2015. V. 86. Iss. 1. P. 016102. https://doi.org./10.1063/1.4905336
- Takahashi H., Nishiguchi A., Nagata H., Kataoka H., Fujishima M. // Thin Solid Films. 1996. V. 281. P. 348. https://doi.org./10.1016/0040-6090(96)08631-2
- Condon J.B., Schober T. // J. Nucl. Mater. 1993. V. 207. P. 1. https://doi.org./10.1016/0022-3115(93)90244-S




