Исследование морфологии и электрических свойств структур на основе гетероперехода монокристаллический Si/микрокристаллический ZnO
- Авторы: Семенов А.Р.1, Литвинов В.Г.1, Холомина Т.А.1, Ермачихин А.В.1, Рыбин Н.Б.1
-
Учреждения:
- Рязанский государственный радиотехнический университет им. В.Ф. Уткина
- Выпуск: № 10 (2023)
- Страницы: 103-112
- Раздел: Статьи
- URL: https://bakhtiniada.ru/1028-0960/article/view/141034
- DOI: https://doi.org/10.31857/S1028096023100199
- EDN: https://elibrary.ru/GFTPXE
- ID: 141034
Цитировать
Полный текст
Аннотация
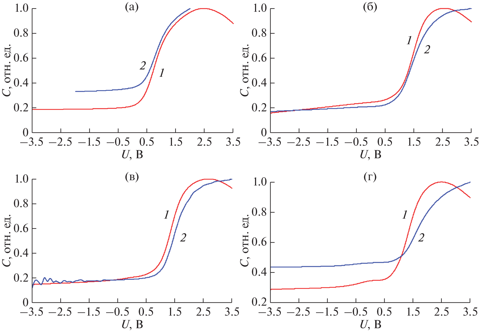
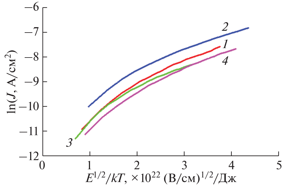
Представлены результаты экспериментального исследования морфологии поверхности пленок оксида цинка и электрических свойств структур на основе гетероперехода монокристаллический Si/микрокристаллический ZnO. Проведен анализ структуры пленок оксида цинка, выращенных в атмосферах аргона и кислорода, получено распределение по размеру выращенных на ее поверхности нановолокон. Проведено моделирование вольт-фарадных характеристик гетероструктур In/ZnO/n-Si/Al и Au/ZnO/n-Si/Al. На основе проведенных расчетов и сопоставления экспериментальной и модельной зависимостей были определены концентрация свободных носителей заряда в образце и положение уровня Ферми, выявлено наличие в системе фиксированного заряда, найдена плотность поверхностных состояний исходя из соотношения приложенного к системе напряжения и поверхностного потенциала на границе раздела слоев. Рассчитана величина встроенного поверхностного заряда. Исследована взаимосвязь материала верхних контактов с вольт-фарадными и вольт-амперными характеристиками системы. Рассчитано сопротивление сформированных пленок оксида цинка. Обсуждены преобладающие механизмы переноса заряда. Выявлена эмпирическая зависимость поверхностного потенциала кремния от приложенного к структуре напряжения. Проанализировано влияние технологических режимов получения пленок оксида цинка, полученных методом спрей-пиролиза, на строение поверхности, эффективную емкость структуры, плотность электронных состояний, процессы переноса носителей заряда в образцах под действием электрического поля.
Об авторах
А. Р. Семенов
Рязанский государственный радиотехнический университет им. В.Ф. Уткина
Автор, ответственный за переписку.
Email: sem-a-sem@mail.ru
Россия, 390005, Рязань
В. Г. Литвинов
Рязанский государственный радиотехнический университет им. В.Ф. Уткина
Email: marta.tap@yandex.ru
Россия, 390005, Рязань
Т. А. Холомина
Рязанский государственный радиотехнический университет им. В.Ф. Уткина
Автор, ответственный за переписку.
Email: marta.tap@yandex.ru
Россия, 390005, Рязань
А. В. Ермачихин
Рязанский государственный радиотехнический университет им. В.Ф. Уткина
Email: marta.tap@yandex.ru
Россия, 390005, Рязань
Н. Б. Рыбин
Рязанский государственный радиотехнический университет им. В.Ф. Уткина
Email: marta.tap@yandex.ru
Россия, 390005, Рязань
Список литературы
- Pintilie L., Pintilie I. // Mater. Sci. Eng. B. 2001. V. 80. Iss. 1–3. P. 388. https://www.doi.org/10.1016/s0921-5107(00)00605-x
- Kaidashev E.M., Loren M.Z., von Wenckstern H., Rahm A., Semmelhack H.-C., Han K.-H., Benndorf G., Bundesmann C., Hochmuth H., Grundmann M. // Appl. Phys. Lett. 2016. V. 82. Iss. 22. P. 3901. https://www.doi.org/10.1063/1.1578694
- Lashkova N.A., Maximov A.I., Ryabko A.A., Bobkov A.A., Moshnikov V.A., Terukov E.I. // Semiconductors. 2016. V. 50. Iss. 9. P. 1254. https://www.doi.org/10.1134/S106378261609013X
- Захвалинский В.С., Голев И.М., Борисенко Л.В., Прокопова Т.В., Хмара А.Н., Пилюк Е.А., Колесников Д.А. // Известия РАН: Сер. физическая. 2016. Т. 80. № 9. С. 1218. https://www.doi.org/10.7868/S0367676516090556
- Исмаилов Д.В. Наноструктурированные слои и тонкие пленки на основе оксида цинка: Дис. ... канд. техн. наук: 01.04.07. Томск: ТПУ, 2018. 158 с.
- Sekar N.K., Gumpu M.B., Ramachandra B.L., Nesakumar N., Sankar P., Babu K.J., Krishnan U.M., Rayappan J.B.B. // J. Nanosci. Nanotech. 2018. V. 18. № 6. P. 4371. https://www.doi.org/10.1166/jnn.2018.15259
- Davidova M., Laposa A., Smarhak J., Kromka A., Neykova N., Nahlik J., Kroutil J., Drahokoupil J., Voves J. // Beilstein J. Nanotech. 2018. V. 9. P. 22. https://www.doi.org/10.3762/bjnano.9.4
- Catellani A., Calzolari A. // Materials. 2017. V. 10. Iss. 4. P. 332. https://www.doi.org/10.3390/ma10040332
- Орешкин П.Т. Физика полупроводников и диэлектриков. М.: Высшая школа, 1977. 448 с.
- Muller R.S., Chan M., Kamins T.I. Device electronics for integrated circuits, 3rd Ed. Wiley India Pvt. Limited, 2003. 560 p.
- Sze S.M. Physics of Semiconductor Devices. N.Y.: Wiley-Interscience, 1981. 880 p.
- Ellmer K., Klein A., Rech B. ZnO and its applications. // Transparent Conductive Zinc Oxide. V. 104. Springer Berlin, Heidelberg, 2008. 446 p. https://www.doi.org/10.1007/978-3-540-73612-7
- Литвинов В.Г., Семенов А.Р., Холомина Т.А., Ермачихин А.В., Рыбин Н.Б., Громов Д.Г. // Вестник РГРТУ. 2018. Вып. 66-2. С. 9. https://www.doi.org/10.21667/1995-4565-2018-66-4-2-9-14
- Semenov A.R., Litvinov V.G., Kholomina T.A., Ermachikhin A.V., Rybina N.V., Gromov D.G., Oleinik S.P. // Investigating and modeling high frequency C–V characteristics of zinc oxide-based heterostructures. 7th Mediterranean Conference on Embedded Computing (MECO), Budva, Montenegro, 2018. P. 1. https://www.doi.org/10.1109/MECO.2018.8405999
- Pearson K. // Proceedings of the Royal Society of London. 1895. V. 58. Iss. 347. P. 240. https://www.doi.org/10.1098/rspl.1895.0041
- Pearton S., Norton D.P., Ip K., Heo Y.W., Steiner T. // Prog. Mater. Sci. 2005. V. 50. Iss. 3. P. 293. https://www.doi.org/10.1016/j.pmatsci.2004.04.001
- Gromov D.G., Koz’min A.M., Shulyat’ev A.S., Polomoshnov S., Bogolyubova D.N., Shamanaev S.V. // Semiconductors. 2013. V 47. № 13. P. 1687. https://www.doi.org/10.1134/S1063782613130083
- Майселл Л., Глэнг Р. Технология тонких пленок. Справочник. Т. 2 / Перевод с англ. под ред. М.И. Елинсона, Г.Г. Смолко. М.: Сов. радио, 1977. 768 с.
- Тутов Е.А., Тума Ф.А., Кукуев В.И. // Конденсированные среды и межфазные границы. 2006. Т. 8. № 4. С. 334.
- Семенов А.Р., Голованова М.В., Литвинов В.Г., Громов Д.Г., Олейник С.П., Холомина Т.А., Ермачихин А.В. // Вестник РГРТУ. 2019. Вып. 70. С. 179. https://www.doi.org/10.21667/1995-4565-2019-70-179-189
Дополнительные файлы









