Изменение оптических свойств при последовательном и раздельном облучении квантами солнечного спектра и протонами порошка BaSO4, модифицированного наночастицами SiO2
- Авторы: Михайлов М.М.1, Лапин А.Н.1, Юрьев С.А.1
-
Учреждения:
- Томский государственный университет систем управления и радиоэлектроники
- Выпуск: № 10 (2023)
- Страницы: 69-75
- Раздел: Статьи
- URL: https://bakhtiniada.ru/1028-0960/article/view/141029
- DOI: https://doi.org/10.31857/S102809602310014X
- EDN: https://elibrary.ru/NWPOIG
- ID: 141029
Цитировать
Полный текст
Аннотация
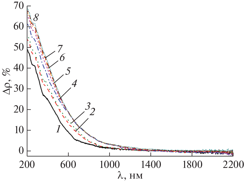
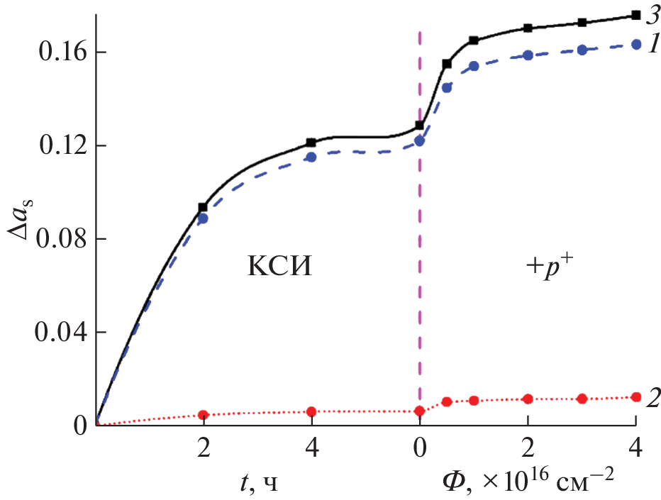
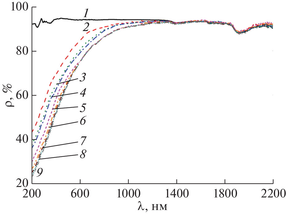
Выполнен сравнительный анализ изменений спектров диффузного отражения ρλ и интегрального коэффициента поглощения в области 0.2–2.2 мкм после раздельного и последовательного облучения протонами с энергией 5 кэВ и квантами солнечного излучения порошка сульфата бария, модифицированного наночастицами диоксида кремния mBaSO4/nSiO2 с регистрацией спектров после каждого периода облучения в вакууме в области облучения (in situ). Интегральный коэффициент поглощения солнечного излучения модифицированного пигмента mBaSO4/nSiO2 до облучения составляет 0.048, что в несколько раз меньше, чем у широко используемого во всех странах пигмента ZnO. Установлено, что коэффициент аддитивности, рассчитанный по результатам последовательного и раздельного облучения порошка mBaSO4/nSiO2 при увеличении флуенса протонов с энергией 5 кэВ уменьшается от 7.5 до 1.052 раз. Оценка изменений коэффициента аддитивности при воздействии спектра заряженных частиц на геостационарной орбите (как одной из наиболее используемых и с наиболее жесткими радиационными условиями), показала, что неаддитивность раздельного и последовательного действия протонов и квантов солнечного излучения на пигмент для терморегулирующих покрытий mBaSO4/nSiO2 при таких параметрах облучения будет сохраняться в течение 1.27 года.
Ключевые слова
Об авторах
М. М. Михайлов
Томский государственный университет систем управления и радиоэлектроники
Автор, ответственный за переписку.
Email: Membrana2010@mail.ru
Россия, 634000, Томск
А. Н. Лапин
Томский государственный университет систем управления и радиоэлектроники
Email: yusalek@gmail.com
Россия, 634000, Томск
С. А. Юрьев
Томский государственный университет систем управления и радиоэлектроники
Автор, ответственный за переписку.
Email: yusalek@gmail.com
Россия, 634000, Томск
Список литературы
- Groh K.K., Dever J.A. Degradation of Spacecraft Materials in Handbook of Environmental Degradation of Materials (Third Edition) // Ed. Andrew W, 2018. 684 p.
- Awang M. // Key Engineering Materials. 2017. V. 740. P. 41.
- Meghwal A., Anupam A., Murty B.S., Berndt C.C., Kottada R.S., Ming A.S. // J. Thermal Spray Technol. 2020. V. 29. P. 857.
- Thermal Control Coatings. Nonmetallic Materials (2022) JSC Kompozit. https://kompozit-mv.ru/index.php/nemetallicheskie-materialy.html.
- Cao R., Qin Z., Yu X. et al. // Int. J. for Light and Electron Optics. 2016. V. 127. № 3. P. 1126.
- Annalakshmi O., Jose M.T., Madhusoodanan U. // Radiat. Prot. Dosimetry. 2012. V. 150 (2). P. 127.
- Bahl S., Lochab S.P., Pandey A., Kumar V., Aleynikov V.E., Molokanov A.G., Kumar P. // J. Luminescence. 2014. V. 149. P. 176.
- Патент на изобретение. 2 524 384 (РФ) Терморегулирующее покрытие / ОАО Композит. Страполова В.Н., Киселева Л.В., Токарь С.В., Юртов Е.В., Мурадова А.Г. // Б.И. 2014. № 21.
- Siddiqi K.S., Husen A. // Nanoscale Res. Lett. 2017. V. 12. P. 92.
- Cao R., Qin Z., Yu X., Wu D., Zheng G., Li W. // Optik – Int. J. Light Electron Opt. 2016. V. 127. Iss. 3. P. 1126.
- Mikhailov M.M. Optical properties and radiation stability of Metal Oxide Powders modified with Nanoparticles. Volume 6. Publishing House of Tomsk State University of Control Systems and Radio Electronics, 2019. 312 p.
- Li C., Liang Z., Xiao H., Wu Y., Liu Y. // Mater. Lett. 2010. V. 64. P. 1972.
- Mikhailov M.M., Yuryev S.A., Lapin A.N. // Acta Astronautica. 2019. V. 165. P. 191.
- Kositsyn L.G., Mikhailov M.M., Kuznetsov N.Y., Dvoretskii M.I. // Instrum. Exp. Tech. 1985. V. 28. P. 929.
- Johnson F.S. // J. Meteorological. 1954. V. 11. № 6. P. 431.
- ASTM E490-00a. Standard Solar Constant and Zero Air Mass Solar Spectral Irradiance Tables (2005) ASTM Int. PA, USA. https://www.astm.org/e0490-00ar19.html.
- ASTM E903-96. Standard Test Method for Solar Absorptance, Reflectance, and Transmittance of Materials Using Integrating Spheres (2005) ASTM Int. PA, USA. https://www.astm.org/e0903-96.html.
- Zhang M., Zhang B., Li X., Yinb Z., Guo X. // Appl. Surf. Sci. 2011. V. 258. P. 24.
- Prameena B., Anbalagan G., Sangeetha V., Gunasekaran S., Ramkumaar G.R. // Int. J. Chem. Tech. Res. 2013. V. 5. № 1. P. 220.
- Manam J., Das S. // Indian J. Pure Appl. Phys. 2009. V. 47. № 6. P. 435.
- Накамото К. ИК-спектры и спектры КР неорганических и координационных соединений. Пер. с англ. М.: Мир, 1991. 536 с.
- Окабе Х. Фотохимия малых молекул. М.: Мир, 1981. 504 с.
- Wilson R.H., Nadeau K.P., Jaworski F.B., Tromberg B.J., Durkin A.J. // J. Biomed. Opt. 2015. V. 20 (3). P. 030901.
- Cooper C.D., Mustard J.F. // Icarus. 1999. V. 142. I. 2. P. 557.
- Михайлов М.М., Дворецкий М.И. // Известия вузов. Физика. 1988. № 7. С. 86.
- Mikhailov M.M., Yuryev S.A., Lapin A.N., Lovitskiy A.A. // Dyes and Pigments. 2019. V 163. P. 420–424.
- Нещименко В.В. Исследование структуры, свойств и радиационной стойкости оксидных порошков, модифицированных: Дис. ... д-ра физико-математических наук: 01.04.07. Томск: ИФПМ, 2017. 325 с.
- Chen H., Li P., Zhou H., Zhang W., Cong L., Ma J.G. // Mater. Res. Bull. 2021. V. 146. P. 111572.
- Brown R.R., Fogdall L.B., Cannaday S.S. // Prog. Austranautic: Thermal Desing Principles of Spacecraft and Entru. 1969. V. 21. P. 697.
- Mikhailov M.M. // J. Adv. Mater. 1995. V. 2. № 3. P. 200.
- Михайлов М.М. Спектры отражения терморегулирующих покрытий космических аппаратов. Томск: Изд-во Томского университета. 2007. 314 с.
Дополнительные файлы









