Приложение методик дифракции синхротронного излучения при оптимизации траектории спекания композитных керамик Al2O3–Ce:(Y,Gd)AG
- Авторы: Завьялов А.П.1,2, Косьянов Д.Ю.2
-
Учреждения:
- Институт химии твердого тела и механохимии СО РАН
- НОЦ “Передовые керамические материалы”, Дальневосточный федеральный университет
- Выпуск: № 10 (2023)
- Страницы: 47-51
- Раздел: Статьи
- URL: https://bakhtiniada.ru/1028-0960/article/view/141026
- DOI: https://doi.org/10.31857/S1028096023100229
- EDN: https://elibrary.ru/ZQBUTA
- ID: 141026
Цитировать
Полный текст
Аннотация
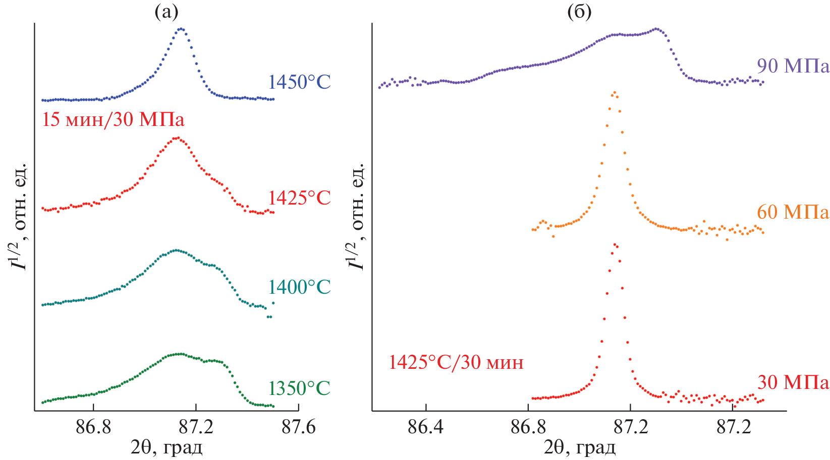
Развитие большинства отраслей осветительной техники ставит задачу разработки передовых высокомощных белых светодиодов. Их конструкция предполагает совмещение двух базовых элементов – высокомощного синего светодиода либо лазерного диода с желтым люминофорным конвертером, способным выдерживать высокую тепловую нагрузку. В последнее время активно ведутся разработки твердотельных (в первую очередь керамических) люминофоров на основе Ce:YAG, содопированных так называемыми “красными” ионами, которые обладают высокой теплопроводностью и термической устойчивостью. Дополнительно рассматривают возможность создания на их основе композитных архитектур с вторичной термостабильной фазой корунда α-Al2O3, обладающей в разы большей теплопроводностью при близком коэффициенте теплового расширения. Разработка карты спекания сложных систем на основе твердых керамических растворов требует обязательного контроля их структурно-фазового состояния методом рентгеновской дифракции. Однако не всегда лабораторного оборудования достаточно для понимания происходящих при спекании процессов. Поэтому в настоящей работе на примере бифазных керамик Al2O3–Ce:(Y,Gd)AG проведена оптимизация траектории их спекания с применением дифракции синхротронного излучения. Композиты синтезированы методом реакционного искрового плазменного спекания порошков исходных оксидов. Показано, что при фиксированной величине прикладываемого давления 30 МПа и длительности изотермического выдерживания 15 мин единая фаза твердого раствора Ce:(Y,Gd)AG формируется лишь при температурах спекания не менее 1450°C. При таких высоких температурах спекания наблюдаются признаки рекристаллизации ввиду близости эвтектического плавления. Увеличение времени выдерживания до 30 мин позволяет снизить температуру формирования бифазной структуры до 1425°C и предотвратить нежелательную рекристаллизацию. Однако последующие повышение давления до 90 МПа приводит к сосуществованию в системе нескольких вариаций фазы типа YAG.
Об авторах
А. П. Завьялов
Институт химии твердого тела и механохимии СО РАН; НОЦ “Передовые керамические материалы”, Дальневосточный федеральный университет
Автор, ответственный за переписку.
Email: Zav_Alexey@list.ru
Россия, 630090,
Новосибирск; Россия, 690922,
Владивосток
Д. Ю. Косьянов
НОЦ “Передовые керамические материалы”, Дальневосточный федеральный университет
Автор, ответственный за переписку.
Email: Kosianov.diu@dvfu.ru
Россия, 690922,
Владивосток
Список литературы
- Pimputkar S., Speck J.S., Denbaars S.P., Nakamura S. // Nat. Photonics. 2009. V. 3. P. 180. https://doi.org/10.1038/nphoton.2009.32
- Li S., Wang L., Hirosaki N., Xie R.-J. // Laser Photonics Rev. 2018. V. 12. № 12. P. 1800173. https://doi.org/10.1002/lpor.201800173
- Schubert E.F., Kim J.K. /// Science. 2005. V. 308. P. 1274. https://doi.org/10.1126/science.1108712
- Liu X., Qian X., Hu Z., Chen X., Shi Y., Zou J., Li J. // J. Eur. Ceram. Soc. 2019. V. 39. P. 2149. https://doi.org/10.1016/j.jeurceramsoc.2019.01.054
- Kosyanov D.Yu., Liu X., Vornovskikh A.A., Kosianova A.A., Zakharenko A.M., Zavjalov A.P., Shichalin O.O., Mayorov V.Yu., Kuryavyi V.G., Qian X., Zou J., Li J. // Mater. Charact. 2021. V. 172. P. 110883. https://doi.org/10.1016/j.matchar.2021.110883
- Ling J., Zhou Y., Xu W., Lin H., Lu S., Wang B., Wang K. // J. Adv. Ceram. 2020. V. 9. P. 45. https://doi.org/10.1007/S40145-019-0346-0
- Wang J., Tang X., Zheng P., Li S., Zhou T., Xie R.J. // J. Mater. Chem. C. 2019. V. 7. P. 3901. https://doi.org/10.1039/C9TC00506D
- Cai P.Z., Green D.J., Messing G.L. // J. Am. Ceram. Soc. 1997. V. 80. P. 1929. https://10.1111/J.1151-2916. 1997.TB03075.X
- Cai P.Z., Green D.J., Messing G.L. // J. Am. Ceram. Soc. 1997. V. 80. P. 1929. https://doi.org/10.1111/J.1151-2916.1997.TB03075.X
- Gupta T.K., Valentich J. // J. Am. Ceram. Soc. 1971. V. 54. P. 355. https://doi.org/10.1111/J.1151-2916.1971.TB12315.X
- Berman R., Foster E.L., Ziman J.M. // Proc. R. Soc. London. A. 1955. V. 231. P. 130. https://doi.org/10.1098/RSPA.1955.0161
- Cozzan C., Lheureux G., O’Dea N., Levin E.E., Graser J., Sparks T.D., Nakamura S., DenBaars S.P., Weisbuch C., Seshadri R. // ACS Appl. Mater. Interfaces. 2018. V. 10. P. 5673. https://doi.org/10.1021/acsami.8b00074
- Liu Z., Li S., Huang Y., Wang L., Zhang H., Jiang R., Huang F., Yao X., Liu X., Huang Z. // J. Alloys Compd. 2019. V. 785. P. 125. https://doi.org/10.1016/j.jallcom.2019.01.175
- Zhao H., Li Z., Zhang M., Li J., Wu M., Li X., Chen J., Xie M., Li J., Sun X. // Ceram. Int. 2020. V. 46. P. 653. https://doi.org/10.1016/j.ceramint.2019.09.017
- Li S., Zhu Q., Tang D., Liu X., Ouyang G., Cao L., Hirosaki N., Nishimura T., Huang Z., Xie R.-J. // J. Mater. Chem. C. 2016. V. 4. P. 8648. https://doi.org/10.1039/C6TC03215J
- Kosyanov D.Yu., Vornovskikh A.A., Zakharenko A.M., Gridasova E.A., Yavetskiy R.P., Dobrotvorskaya M.V., Tolmachev A.V., Shichalin O.O., Papynov E.K., Ustinov A.Yu., Kuryavyi V.G., Leonov A.A., Tikhonov S.A. // Opt. Mater. 2021. V. 112. P. 110760. https://doi.org/10.1016/j.optmat.2020.110760
- Piminov P.A., Baranov G.N., Bogomyagkov A.V., Berkaev D.E., Borin V.M., Dorokhov V.L., Karnaev S.E., Kiselev V.A., Levichev E.B., Meshkov O.I., Mishnev S.I., Nikitin S.A., Nikolaev I.B., Sinyatkin S.V., Vobly P.D., Zolotarev K.V., Zhuravlev A.N. // Phys. Proc. 2016. V. 84. P. 19. https://doi.org/10.1016/j.phpro.2016.11.005
- Shmakov A.N., Mytnichenko S.V., Tsybulya S.V., Solovyeva L.P. // J. Struct. Chem. 1994. V. 35. № 2. P. 224. https://doi.org/10.1007/BF02578312
- Wojdyr M. // J. Appl. Cryst. 2010. V. 43. P. 1126. https://doi.org/10.1107/S0021889810030499
- Ancharov A.I., Manakov A.Yu., Mezentsev N.A., Tolochko B.P., Sheromov M.A., Tsukanov V.M. // Nucl. Instrum. Methods Phys. Res. A. 2001. V. 470. № 1–2. P. 80. https://doi.org/10.1016/S0168-9002(01)01029-4
- Sai Q., Xia C. // J. Lumin. 2017. V. 186. P. 68. https://doi.org/10.1016/j.jlumin.2017.02.011
Дополнительные файлы



