Neutron Reflectometry in Superlattices with Strongly Absorbing Rare-Earth Metals (Gd, Dy)
- Authors: Antropov N.О.1, Kravtsov Е.А.1,2
-
Affiliations:
- Institute of Metal Physics
- Ural Federal University
- Issue: No 8 (2023)
- Pages: 11-15
- Section: Articles
- URL: https://bakhtiniada.ru/1028-0960/article/view/137791
- DOI: https://doi.org/10.31857/S1028096023070038
- EDN: https://elibrary.ru/TBULYL
- ID: 137791
Cite item
Full Text
Abstract
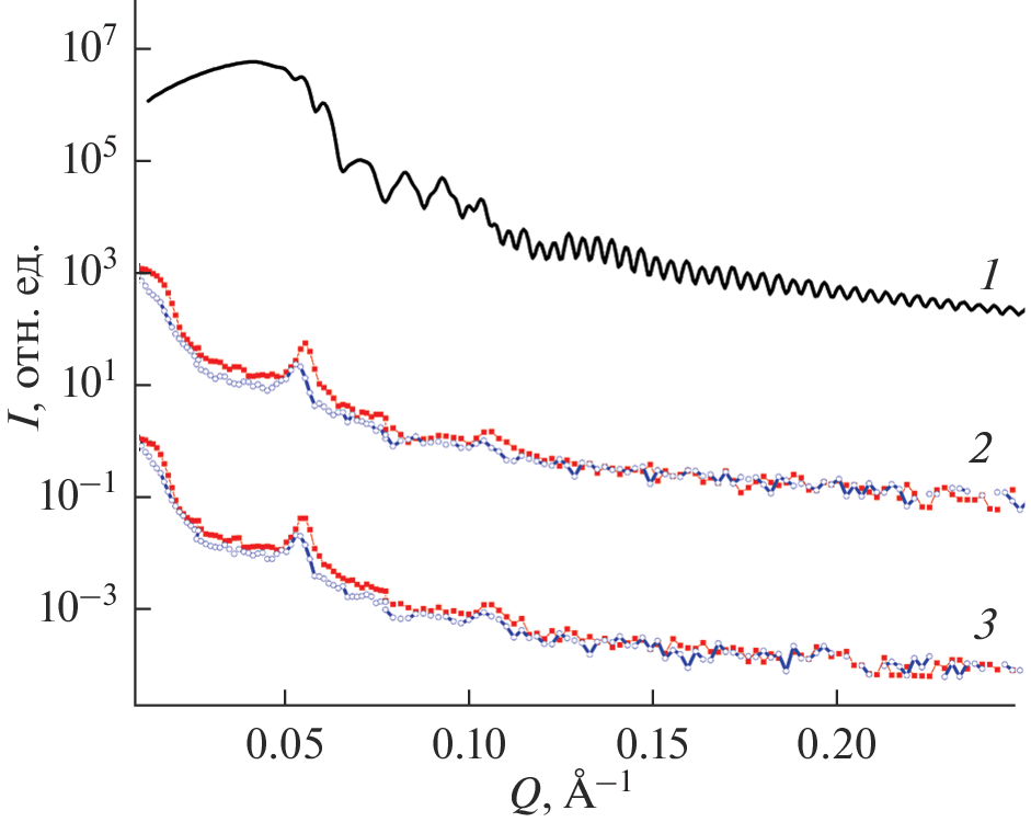
Polarized neutron reflectometry was used to study Dy/Gd superlattices with different ratios of Dy and Gd layer thicknesses: 1 : 1, 2 : 1, 3 : 1. It has been experimentally shown that the formation of helical magnetic ordering in Dy layers with a period incommensurate with the period of the superlattice appears as a magnetic superlattice reflection, which is forbidden for structural reasons at a ratio of the thicknesses of the Dy and Gd layers 1 : 1. Otherwise, the formation of helical magnetic ordering has little effect on the shape of the neutron reflectometry curves. Thus, the optimization of the structure of rare-earth superlattices for the neutron reflectometry experiment makes it possible to detect helical magnetic ordering in superlattices with a period incommensurate with the structural superlattice ordering.
About the authors
N. О. Antropov
Institute of Metal Physics
Author for correspondence.
Email: nikolayantropovekb@gmail.com
Russia, 620990, Ekaterinburg
Е. А. Kravtsov
Institute of Metal Physics; Ural Federal University
Author for correspondence.
Email: kravtsov@imp.uran.ru
Russia, 620990, Ekaterinburg; Russia, 620002, Ekaterinburg
References
- Rhyne J.J., Erwin R.W. Magnetism in Artificial Metallic Superlattices of Rare Earth Metals // Handbook of Magnetic Materials. V. 8. / Ed. Buschow K.H.J. Elsevier, 1995.
- Salamon M.B., Sinha Sh., Rhyne J.J., Cunningham J.E., Erwin R.W., Borchers J., Flynn C.P. // 1986. Phys. Rev. Lett. V. 56. P. 259. https://doi.org/10.1103/PhysRevLett.56.259
- Majkrzak C.F., Kwo J., Yjng M., Yafet Y., Gibbs D., Chen C.L., Bohr J. // Adv. Phys. 1991. V. 40. P. 99. https://doi.org/10.1080/00018739100101482
- Majkrzak C.F. // Physica B. 1996. V. 221. P. 342. https://doi.org/10.1016/09214526(95)00948-5
- Dosch H. // Physica B. 1993. V. 192. P. 163. https://doi.org/10.1016/0921-4526(93)90117-O
- Девятериков Д.И., Кравцов Е.А., Проглядо В.В., Жакетов В.Д., Никитенко Ю.В. // Поверхность. Рентген., синхротр. и нейтрон. исслед. 2021. № 6. С. 3. https://doi.org/10.31857/S1028096021060054
- Fritzsche H., Van Bael V.J., Temst K. // Langmuir. 2003. V. 19. P. 7789. https://doi.org/10.1063/1.2130666
- Leiner V., Westerholt K., Blixt A.M., Zabel H., Hjorvarsson B. // 2003. Phys. Rev. Lett. 2003. V. 91. P. 037202. https://doi.org/10.1103/PhysRevLett.91.037202
- Majkrzak C.F., Cable J.W., Kwo J., Yjng M., McWhan D.B., Yafet Y., Waszczak J.V., Vettier C. // 1986. Phys. Rev. Lett. V. 56. P. 2700. https://doi.org/10.1103/PhysRevLett.56.2700
- Camley R.E., Kwo J., Hong M., Chien C.L. // Phys. Rev. Lett. 1990. V. 64. P. 2703. https://doi.org/10.1103/PhysRevLett.64.2703
- Lynn J.F., Seeger P.A. // Atomic Data Nucl. Data Tables. 1990. V. 44. P. 191. https://doi.org/10.1016/0092-640X(90)90013-A
- Elliott R.J. Magnetic Properties of Rare Earth Metal / Ed. Elliott R.J. N.Y.: Plenum, 1972.
- Антропов Н.О., Кравцов Е.А., Хайдуков Ю.Н., Рябухина М.В., Проглядо В.В., Вешке О., Устинов В.В. // Письма в ЖЭТФ. 2018. Т. 108. С. 361. https://doi.org/10.1134/S0370274X18170113
Supplementary files





