Резонансные эффекты в фотоэмиссионной спектроскопии редкоземельного интерметаллида La0.73Tb0.27Mn2Si2
- Авторы: Пономарева Е.А.1, Корх Ю.В.1, Гребенников В.И.1,2, Герасимов Е.Г.1,3, Мушников Н.В.1,3, Кузнецова Т.В.1,3
-
Учреждения:
- Институт физики металлов им. М.Н. Михеева Уральского отделения РАН
- Уральский государственный университет путей сообщения
- Уральский федеральный университет им. первого Президента России Б.Н. Ельцина
- Выпуск: № 6 (2023)
- Страницы: 15-20
- Раздел: Статьи
- URL: https://bakhtiniada.ru/1028-0960/article/view/137762
- DOI: https://doi.org/10.31857/S1028096023060134
- EDN: https://elibrary.ru/DKLCRD
- ID: 137762
Цитировать
Полный текст
Аннотация
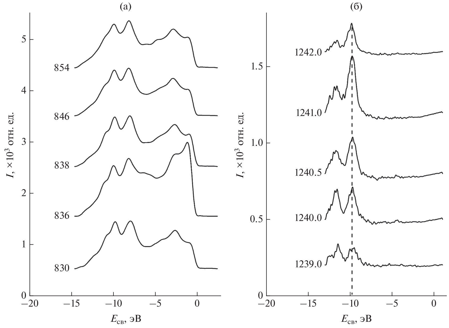
Проведено исследование электронной структуры редкоземельного интерметаллида La0.73Tb0.27Mn2Si2 методом резонансной фотоэмиссионной спектроскопии с использованием синхротронного излучения, установлены закономерности ее формирования при частичном замещении атомов лантана тербием. Проанализирована зависимость формы спектров валентных полос от энергии фотонов вблизи краев поглощения внутренних уровней марганца, лантана и тербия. Изучены процессы прямого и двухступенчатого рождения фотоэлектронов, упругого и неупругого каналов распада этих состояний с испусканием высокоэнергетических электронов за счет внутриатомного кулоновского взаимодействия. По формам спектров определены преобладающие механизмы распада возбужденных состояний исследуемых компонентов. Для редкоземельных атомов наиболее вероятен упругий канал распада возбужденного состояния, а для марганца – неупругий, с образованием второй дырки в валентной полосе с последующим усилением фотоэмиссии. При возбуждении фотоэмиссии вблизи М5-края поглощения тербия вклад в валентную полосу вносят 4 f-состояния тербия. При возбуждении фотоэмиссии вблизи L3-края поглощения марганца основной вклад в валентную полосу вносят 3d-состояния марганца, с ростом энергии фотонов в области после резонанса возникает оже-канал распада возбужденного состояния, проявляющегося в виде сдвига максимума интенсивности в сторону увеличения энергии связи. Особенности топографии и магнитной доменной структуры поверхности соединения La0.73Tb0.27Mn2Si2 исследованы методами атомно-силовой и магнитно-силовой микроскопии при комнатной температуре.
Об авторах
Е. А. Пономарева
Институт физики металлов им. М.Н. Михеева Уральского отделения РАН
Автор, ответственный за переписку.
Email: ponomareva@imp.uran.ru
Россия, 620108, Екатеринбург
Ю. В. Корх
Институт физики металлов им. М.Н. Михеева Уральского отделения РАН
Email: kuznetsovaups@mail.ru
Россия, 620108, Екатеринбург
В. И. Гребенников
Институт физики металлов им. М.Н. Михеева Уральского отделения РАН; Уральский государственный университет путей сообщения
Email: kuznetsovaups@mail.ru
Россия, 620108, Екатеринбург; Россия, 620034, Екатеринбург
Е. Г. Герасимов
Институт физики металлов им. М.Н. Михеева Уральского отделения РАН; Уральский федеральный университет им. первого Президента России Б.Н. Ельцина
Email: kuznetsovaups@mail.ru
Россия, 620108, Екатеринбург; Россия, 620002, Екатеринбург
Н. В. Мушников
Институт физики металлов им. М.Н. Михеева Уральского отделения РАН; Уральский федеральный университет им. первого Президента России Б.Н. Ельцина
Email: kuznetsovaups@mail.ru
Россия, 620108, Екатеринбург; Россия, 620002, Екатеринбург
Т. В. Кузнецова
Институт физики металлов им. М.Н. Михеева Уральского отделения РАН; Уральский федеральный университет им. первого Президента России Б.Н. Ельцина
Автор, ответственный за переписку.
Email: kuznetsovaups@mail.ru
Россия, 620108, Екатеринбург; Россия, 620002, Екатеринбург
Список литературы
- Szytula A., Lecieijewicz J. Handbook on Physics and Chemistry of Rare Earths, V. 12 / Ed. Gschneidner K.A., Jr., Eyring L. Amsterdam: North Holland, 1989.
- lvanov V., Szytula A. // J. Alloys Compd. 1997. V. 262–263. P. 253. https://www.doi.org/10.1016/S0925-8388(97)00392-7
- Kolmakova N.P., Sidorenko A.A., Levitin R.Z. // Low Temp. Phys. 2002. V. 28. № 8. P. 653. https://www.doi.org/10.1063/1.1511711
- Miloud Abid O., Yakoubi A., Tadjer A., Khenata R., Ahmed R., Murtaza G., Bin Omran S., Sikander Azam // J. Alloys Compd. 2014. V. 616. P. 475. https://www.doi.org/10.1016/j.jallcom.2014.07.146
- Gerasimov E.G., Mushnikov N.V., Goto T. // Phys. Rev. B. 2005. V. 72. P. 064446. https://www.doi.org/10.1103/PhysRevB.72.064446
- Gerasimov E.G., Dorofeev Yu.A., Gaviko V.S., Pirogov A.N., Teplykh A.E., Park J., Park J.G., Choi C.S., Kong U. // Phys. Met. Metallogr. 2002. V. 94. № 2. P. 161.
- Gerasimov E.G., Gaviko V.S., Neverov V.N., Korolyov A.V. // J. Alloys Compd. 2002. V. 343. P. 14. https://www.doi.org/10.1016/S0925-8388(02)00110-X
- Bhowmik T.K. // Phys. Lett. A. 2021. V. 419. P. 127724. https://www.doi.org/10.1016/j.physleta.2021.127724
- Dos Reis D.C., França E.L.T., de Paula V.G., dos Santos A.O., Coelho A.A., Cardoso L.P., da Silva L.M. // J. Magn. Magn. Mater. 2017. V. 424. P. 84. https://www.doi.org/10.1016/j.jmmm.2016.10.019
- Engdahl G., Handbook of giant magnetostrictive materials / Ed. Mayergoyz I. N.Y.: Academic Press, 1999.
- Gschneidner Jr.K.A., Pecharsky V.K., Tsokol A.O. // Rep. Progr. Phys. 2005. V. 68. P. 1479. https://www.doi.org/10.1088/0034-4885/68/6/R04
- Molodtsov S.L., Kucherenko Yu., Hinarejos J.J., Danzenbӓcher S., Servedio V.D.P., Richter M., Laubschat C. // Phys. Rev. B. 1999. V. 60. P. 16435. https://www.doi.org/10.1103/PhysRevB.60.16435
- Hofmann M., Campbell S.J., Kennedy S.J., Zhao X.L. // J. Phys.: Cond. Matter. 2001. V. 13. P. 9773. https://www.doi.org/10.1088/0953-8984/13/43/308
- Di Napoli S., Llois A.M., Bihlmayer G., Blugel S., Alouani M., Dreyssé H. // Phys. Rev. B. 2004. V. 70. P. 174418. https://www.doi.org/10.1103/Phys. Rev. B.70.174418
- Gerasimov E.G., Kurkin M.I., Korolyov A.V., Gaviko V.S. // Physica B. 2002. V. 322. P. 297. https://www.doi.org/10.1016/S0921-4526(02)01196-1
- Hofmann M., Campbell S.J., Knorr K., Hull S., Ksenofontov V. // J. Appl. Phys. 2002. V. 91. P. 8126. https://www.doi.org/10.1063/1.1456433
- Yablonskikh M.V., Yarmoshenko Yu.M., Gerasimov E.G., Gaviko V.S., Korotin M.A., Kurmaev E.Z., Bartkowski S., Neumann M. // J. Magn. Magn. Mater. 2003. V. 256. P. 369. https://www.doi.org/10.1016/S0304-8853(02)00974-5
- Kuznetsova T.V., Korkh Yu.V., Grebennikov V.I., Radzivonchik D.I., Ponomareva E.A., Gerasimov E.G., Mushnikov N.V. // Phys. Met. Metallogr. 2022. V. 123. № 5. P. 451. https://www.doi.org/10.1134/S0031918X22050064
- Kazakova O., Puttock R., Barton C., Corte-León H., Jaafar M., Neu V., Asenjo A. // J. Appl. Phys. 2019. V. 125. P. 060901. https://www.doi.org/10.1063/1.5050712
- Cheong S.-W., Fiebig M., Wu W., Chapon L., Kiryukhin V. // NPJ Quantum Mater. 2020. V. 5. № 3. P. 1. https://www.doi.org/10.1038/s41535-019-0204-x






