New Possibilities for Measuring the Ratio of the Axial and Vector Weak Interaction Constants
- Authors: Serebrov A.P.1, Zherebtsov O.M.1, Klyushnikov G.N.1, Koptyukhov A.O.1, Moroz A.R.1, Murashkin A.N.1, Fomin A.K.1
-
Affiliations:
- Petersburg Nuclear Physics Institute named by B.P. Konstantinov, National Research Center “Kurchatov Institute”
- Issue: No 4 (2023)
- Pages: 35-49
- Section: Articles
- URL: https://bakhtiniada.ru/1028-0960/article/view/137736
- DOI: https://doi.org/10.31857/S1028096023040179
- EDN: https://elibrary.ru/KCIPQV
- ID: 137736
Cite item
Full Text
Abstract
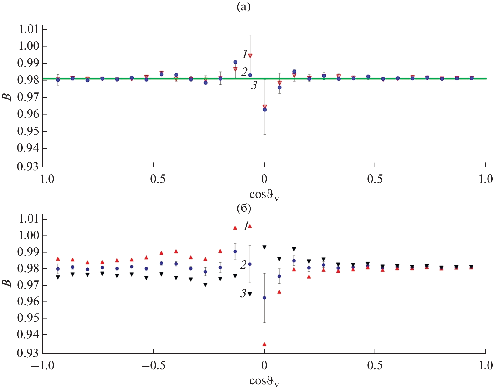
An experiment is being developed to determine the value of λ, the ratio of the axial weak interaction constant GA to the vector constant GV, by simultaneously measuring the electron (A) and neutrino (B) asymmetries of β-decay on the same setup. The λ measurement is based on the ratio: λ = (A – B)/(A + B). Simultaneous measurements of A and B on the same setup are suggested to be carried out using ultracold neutrons stored in the magnetic field of a superconducting solenoid. The proposed method for determining λ, firstly, makes it possible to neglect the contribution of the Firtz interference term, and, secondly, eliminates the need for accurate measurement of the neutron polarization. The presented method allows us to measure the λ value with a precision of 10–4.
About the authors
A. P. Serebrov
Petersburg Nuclear Physics Institute named by B.P. Konstantinov, National Research Center “Kurchatov Institute”
Author for correspondence.
Email: serebrov_ap@pnpi.nrcki.ru
Russia, 188300, Leningrad region, Gatchina
O. M. Zherebtsov
Petersburg Nuclear Physics Institute named by B.P. Konstantinov, National Research Center “Kurchatov Institute”
Email: serebrov_ap@pnpi.nrcki.ru
Russia, 188300, Leningrad region, Gatchina
G. N. Klyushnikov
Petersburg Nuclear Physics Institute named by B.P. Konstantinov, National Research Center “Kurchatov Institute”
Email: serebrov_ap@pnpi.nrcki.ru
Russia, 188300, Leningrad region, Gatchina
A. O. Koptyukhov
Petersburg Nuclear Physics Institute named by B.P. Konstantinov, National Research Center “Kurchatov Institute”
Email: serebrov_ap@pnpi.nrcki.ru
Russia, 188300, Leningrad region, Gatchina
A. R. Moroz
Petersburg Nuclear Physics Institute named by B.P. Konstantinov, National Research Center “Kurchatov Institute”
Email: serebrov_ap@pnpi.nrcki.ru
Russia, 188300, Leningrad region, Gatchina
A. N. Murashkin
Petersburg Nuclear Physics Institute named by B.P. Konstantinov, National Research Center “Kurchatov Institute”
Email: serebrov_ap@pnpi.nrcki.ru
Russia, 188300, Leningrad region, Gatchina
A. K. Fomin
Petersburg Nuclear Physics Institute named by B.P. Konstantinov, National Research Center “Kurchatov Institute”
Email: serebrov_ap@pnpi.nrcki.ru
Russia, 188300, Leningrad region, Gatchina
References
- Серебров А.П., Жеребцов О.М., Мурашкин А.Н., Клюшников Г.Н., Фомин А.К. // Ядерная физика. 2019. Т. 82. № 2. С. 1.
- Beck M., Ayala G.F., Borg M., Kahlenberg J., Muñoz H.R., Schmidt C., Wunderle A., Heil W., Maisonobe R., Simson M., Soldner T., Virot R., Zimmer O., Klopf M., Konrad G., Baeßler S., Glück F., Schmidt U. // Phys. Rev. C. 2020. V. 101. Iss. 5. P. 055506. https://doi.org/10.1103/PhysRevC.101.055506
- Märkisch B., Mest H., Saul H., Wang X., Abele H., Dubbers D., Klopf M., Petoukhov A., Roick C., Soldner T., Werder D. // 2019. Phys. Rev. Lett. V. 122. P. 242501. https://doi.org/10.1103/PhysRevLett.122.242501
- Ivanov A.N., Pitschmann M., Troitskaya N.I. // Phys. Rev. D. 2013. V. 88. Iss. 7. P. 073002. https://doi.org/10.1103/PhysRevD.88.073002
- Brown M.A.-P., Dees E.B., Adamek E. et al. (UCNA Collaboration) // Phys. Rev. C. 2018. V. 97. Iss. 3. P. 035505. https://doi.org/10.1103/PhysRevC.97.035505
- Darius G., Byron W.A., DeAngelis C.R., Hassan M.T., Wietfeldt F.E., Collett B., Jones G.L., Dewey M.S., Mendenhall M.P., Nico J.S., Park H., Komives A., Stephenson E.J. // Phys. Rev. Lett. 2017. V. 119. Iss. 4. P. 042502. https://doi.org/10.1103/PhysRevLett.119.042502
- Серебров А.П., Кузнецов И.А., Степаненко И.В., Алдущенков А.В., Ласаков М.С., Мостовой Ю.А., Ерозолимский Б.Г., Дьюи М.С., Виетфельд Ф., Циммер О., Бернер Х. // ЖЭТФ. 1998. Т. 113. Вып. 6. С. 1963. https://doi.org/10.1134/1.558574
- Schumann M., Soldner T., Deissenroth M., Glück F., Krempel J., Kreuz M., Märkisch B., Mund D., Petoukhov A., Abele H. // Phys. Rev. Lett. 2007. V. 99. Iss. 19. P. 191803. https://doi.org/10.1103/PhysRevLett.99.191803
- Детекторы альфа-частиц на основе ZnS. https://www. yeint.ru/materialy_iz_sulfida/
- Jingjun W., Daowei D., Jinfu Z., Zhi Z., Tao X., Jianmin L., Junli L., Yinong L. // Preliminary Design of a FADC Readout System for the Alpha/Beta Discrimination in a Large Area Plastic Scintillation Detector. https://arxiv.org/abs/2010.14093
- Chubar O., Elleaume P., Chavanne J. // J. Synchr. Rad. 1998. V. 5. P. 481. https://doi.org/10.1107/S0909049597013502
- Федоров И.А. Исследование термо- и автоэмиссионных свойств катодов из интеркалированного пирографита: Дис. … канд. техн. н.: 01.04.04. Долгопрудный: Изд. НИУ МФТИ, 2019. 108 с.
- Елинсон М.И., Васильев Г.Ф. Автоэлектронная эмиссия. М.: Физматлит, 1958. 272 с.
- Фурсей Г.Н. // Соросовский образовательный журн. 2000. Т. 6. № 11. С. 96.
- Severijns N., Beck M., Naviliat-Cuncic O. // Rev. Mod. Phys. 2006. V. 78. Iss. 3. P. 991. https://doi.org/10.1103/RevModPhys.78.991
- Serebrov A.P., Zherebtsov O.M., Klyushnikov G.N. // AIP Conf. Proc. 2018. V. 1959. P. 100008. https://doi.org/10.1063/1.5034755
- Bottura L. // IEEE Trans Appl Supercond. 2000. V. 10. №. 1. P. 1054. https://doi.org/10.1109/77.828413
- Sattarov R.R., Galiakberova E.F. // Solid State Phenomena. 2017. V. 265. P. 772. https://doi.org/10.4028/www.scientific.net/ssp.265.772
- Yunwei S., Dongli L., Sifan C., Qinyu Z., Lei L., Zhihua G., Min Q. // Appl. Thermal Engin. 2020. V. 166. Iss. 8. P. 114667. https://doi.org/10.1016/j.applthermaleng.2019.114667
- Ortiz M., Simo J.C. // Int. J. Numer. Methods Engin. 1986. V. 23. Iss. 3. P. 353. https://doi.org/10.1002/nme.1620230303
Supplementary files










