Изменение концентрации катехоламинов в крови как фактор риска развития атеросклеротического поражения сосудов у детей с семейной гиперхолестеринемией
- Авторы: Нигматуллина Р.Р.1, Садыкова Д.И.1, Салахова К.Р.1, Сластникова Е.С.1,2, Хуснутдинова Л.Р.1
 - 
							Учреждения: 
							
- Казанский государственный медицинский университет
 - Детская республиканская клиническая больница
 
 - Выпуск: Том 41, № 4 (2024)
 - Страницы: 410-420
 - Раздел: Статьи
 - URL: https://bakhtiniada.ru/1027-8133/article/view/273907
 - DOI: https://doi.org/10.31857/S1027813324040124
 - EDN: https://elibrary.ru/EGFFAK
 - ID: 273907
 
Цитировать
Аннотация
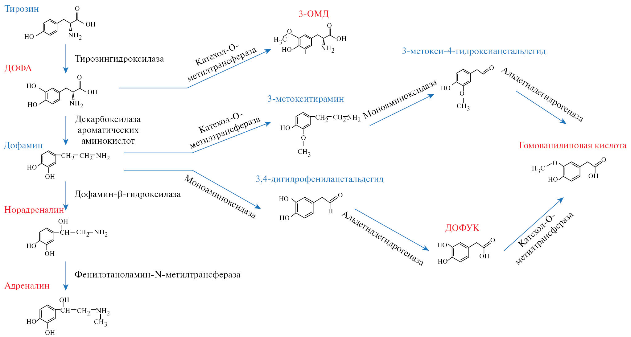
Катехоламины — класс химических нейромедиаторов и гормонов, занимающих ключевые позиции в регуляции различных физиологических процессов в организме человека, а также участвующих в развитии неврологических, психиатрических, эндокринных заболеваний. Особый интерес представляет изучение участия катехоламинов в формировании и прогрессировании сердечно-сосудистых заболеваний атеросклеротического генеза. Перспективной моделью для исследования в этой области может стать семейная гиперхолестеринемия, которая характеризуется ранним развитием ССЗ в молодом возрасте вследствие длительного воздействия повышенных концентраций атерогенных липопротеидов на стенку артериальных сосудов. В рамках настоящей работы было проведено кросс-секционное исследование с участием двух педиатрических групп, в которые были включены пациенты с диагнозом семейная гиперхолестеринемия и условно здоровые дети без сердечно-сосудистых заболеваний. Концентрация L-3,4-дигидроксифенилаланина и дигидроксифенилуксусной кислоты в плазме крови были выше у детей с семейной гиперхолестеринемией, чем в контрольной группе. Концентрации адреналина в плазме крови в основной группе по сравнению со здоровыми были ниже на 10%. Выявлены положительные корреляционные связи между уровнем L-3,4-дигидроксифенилаланина, дигидроксифенилуксусной кислоты и показателями артериальной ригидности сосудов, а также общим холестерином. Результаты нашего исследования подтверждают, что катехоламины участвуют в патогенезе сердечно-сосудистых заболеваний атеросклеротического генеза и их биосинтез изменен у детей с семейной гиперхолестеринемией.
Полный текст
Об авторах
Р. Р. Нигматуллина
Казанский государственный медицинский университет
														Email: karina.salakh@mail.ru
				                					                																			                												                	Россия, 							Казань						
Д. И. Садыкова
Казанский государственный медицинский университет
														Email: karina.salakh@mail.ru
				                					                																			                												                	Россия, 							Казань						
К. Р. Салахова
Казанский государственный медицинский университет
							Автор, ответственный за переписку.
							Email: karina.salakh@mail.ru
				                					                																			                												                	Россия, 							Казань						
Е. С. Сластникова
Казанский государственный медицинский университет; Детская республиканская клиническая больница
														Email: karina.salakh@mail.ru
				                					                																			                												                	Россия, 							Казань; Казань						
Л. Р. Хуснутдинова
Казанский государственный медицинский университет
														Email: karina.salakh@mail.ru
				                					                																			                												                	Россия, 							Казань						
Список литературы
- Goldstein D., Eisenhofer G., Kopin I. // Pharmacol Exp Ther. 2003. V. 305. №3. P. 800–811.
 - Goldstein D. // Clin Auton Res. 2010. V. 20. № 6. P. 331–352.
 - Rios M., Habecker B., Sasaoka T., Eisenhofer G., Tian H., Landis S., Chikaraishi D., Roffler-Tarlov S. // J Neurosci. 1999. V. 19. № 9. P. 3519–3526.
 - Goldstein D., Eisenhofer G., Garty M., Folio C., Stull R., Brush J., Sax F., Keiser H., Kopin I. // Am J Hypertens. 1989. V. 2. № 3. P. 133–139.
 - Gubbi S., Nazari M., Taieb D., Klubo-Gwiezdzinska J., Pacak K. //Lancet Diabetes Endocrinol. 2020. V. 8. № 12. P. 978–986.
 - Stanford S., Heal D. // Brain Neurosci Adv. 2019. V. 3. P. 1–11.
 - Nigmatullina R., Fedoseeva T., Zemskova S., Degtyareva E., Pronina T., Khakimova G., Ugrumov M., Kudrin V. // Catecholamine Research in the 21st Century: Abstracts and Graphical Abstracts, 10th International Catecholamine Symposium, 2012, 2013. P. 139.
 - Макарова Т.П., Нигматуллина Р.Р., Кудрин В.С., Давлиева Л.А., Мельникова Ю.С., Марапов Д.И., Хуснутдинова Д.Р. // Практическая медицина. 2022. Т. 20. № 2. С. 92–97.
 - Kones R. // Angiology. 1979. V. 30. № 5. P. 327–336.
 - Bauch H., Grünwald J., Vischer P., Gerlach U., Hauss W.// Exp Pathol. 1987. V. 31. № 4. P. 193–204.
 - Kukreja R., Datta B., Chakravarti R.// Atherosclerosis. 1981. V. 40. P. 291–298.
 - Bhattacharya S., Chakravarti R., Wahi P. // Atherosclerosis. 1974. V. 20. № 2. P. 241–252.
 - Bauch H., Hauss W. // Wurzburg Chromatography Colloquium. 1989. V. 28. P. 69–77.
 - Садыкова Д.И., Салахова К.Р., Галимова Л.Ф., Сластникова Е.С., Халиуллина Ч.Д. // Вопросы современной педиатрии. 2023. Т. 22. № 3. С. 231–240.
 - Ежов М.В., Бажан С.С., Ершова А.И., Мешков А.Н., Соколов А.А., Кухарчук В.В., Гуревич В.С., Воевода М.И., Сергиенко И.В., Шахтшнейдер Е.В., Покровский С.Н., Коновалов Г.А., Леонтьева И.В., Константинов В.О., Щербакова М.Ю., Захарова И.Н., Балахонова Т.В., Филиппов А.Е., Ахмеджанов Н.М., Александрова О.Ю., Липовецкий Б.М. // Атеросклероз. 2019. Т. 15. № 1. С. 58–98.
 - Beheshti S., Madsen C., Varbo A., Nordestgaard B. // J Am Coll Cardiol. 2020. V. 75. № 20. P. 2553–2566.
 - Mainieri F., Tagi V., Chiarelli F. // Biomedicines. 2022. V. 10. №5. P. 1043.
 - Галимова Л.Ф., Садыкова Д.И., Сластникова Е.С., Марапов Д.И., Гусева Н.Э., Халиуллина Ч.Д. // Педиатрия им. Г.Н. Сперанского. 2022. Т. 101. № 2. С. 44–49.
 - Садыкова Д.И., Галимова Л.Ф., Леонтьева И.В., Сластникова Е.С. // Российский вестник перинатологии и педиатрии. 2018. Т. 63. № 5. С. 152–154.
 - ВОЗ. Ожирение и избыточная масса тела. Доступно онлайн: https://www.who.int/ru/news-room/fact-sheets/detail/obesity-and-overweight (дата обращения: 07.06.2024)
 - Eisenhofer G., Brush J., Cannon R., Stull R., Kopin I., Goldstein D. // J Clin Endocrinol Metab. 1989. V. 68. №2. P. 247–255.
 - Exner M., Hermann M., Hofbauer R., Kapiotis S., Gmeiner B. // Free Radical Research. 2003. V. 37. № 11. P. 1147–1156.
 - Mosina I., Ryzhenkov V. // Bulletin of Experimental Biology and Medicine. 1981. V. 91. P. 268–270.
 - Okunevich I. J Pharmaceutics and Pharmacology Research. 2021. V. 4. № 1. P. 1–3.
 - Hayek A., Crawford J.// J Clin Endocrinol Metab. 1972.V. 34. № 5. P. 764-766.
 - Zagura M., Kals J., Kilk K., Serg M., Kampus P., Eha J., Soomets U., Zilmer M. // Hypertens Res. 2015. V. 38. № 12. P. 840–846.
 - Onzawa Y., Kimura Y., Uzuhashi K., Shirasuna M., Hirosawa T., Taogoshi T., Kihira K. // Biol Pharm Bull. 2012. V. 35. № 8. P. 1244–1248.
 - Goldstein D., Kopin I., Sharabi Y. // PharmacolTher. 2014. V. 144. № 3. P. 268–282.
 - Moore S., Vaz de Castro P., Yaqub D., Jose P., Armando I. // Int J Mol Sci. 2023. V. 24. № 18. P. 13816.
 - Liu J., Jin Y., Wang B., Wang Y., Zuo S., Zhang J. // BiochemBiophys Res Commun. 2021. V. 561. P. 7–13.
 - Bäck M., Yurdagul A., Tabas I., Öörni K., Kovanen P. // Nat Rev Cardiol. 2019. V. 16. № 7. P. 389–406.
 - Li H., Shi S., Sun Y., Zhao Y., Li Q., Li H., Wang R., Xu C. // Clin Exp Pharmacol Physiol. 2009. V. 36. № 3. P. 312–318.
 - Li H., Guo J., Gao J., Han L., Jiang C., Li H., Bai S., Zhang W., Li G., Wang L., Li H., Zhao Y., Lin Y., Tian Y., Yang G., Wang R., Wu L., Yang B., Xu C. // J Biomed Sci. 2011. V. 18. № 1. P. 18.
 - Mai W., Liao Y. // Front Immunol. 2020. V. 11. P. 589654.
 - Ling Z., Potter E., Lipton J., Carvey P. // Exp Neurol. 1998. V. 149. №2. P. 411–423.
 - Amadio P., Zarà M., Sandrini L., Ieraci A., Barbieri S. // Int J Mol Sci. 2020. V. 21. № 20. P. 7560.
 - Wang Y., Anesi J., Maier M., Myers M., Oqueli E., Sobey C., Drummond G., Denton K. // Int J Mol Sci. 2023. V. 24. № 17. P. 13132.
 - Нигматуллина Р.Р., Земскова С.Н., Зефиров А.Л., Смирнов А.В. // Клеточно-молекулярные механизмы функционирования и регуляции сердца.Казань: Б. и., 2004. 100 с.
 - Motiejunaite J., Amar L., Vidal-Petiot E. // Ann Endocrinol (Paris). 2021. V. 82. P. 193–197.
 - Anfossi G., Trovati M. // Eur J Clin Invest. 1996. V. 26. № 5. P. 353–370.
 - Wang Y., Nguyen D., Anesi J., Alramahi A., Witting P., Chai Z., Khan A., Kelly J., Denton K., Golledge J. // Int J Mol Sci. 2023. V. 24. № 4. P. 3857.
 - Ardlie N., McGuiness J., Garrett J. // Atherosclerosis. 1985. V. 58. P. 251–259.
 - Sadykova D., Nigmatullina R., Salakhova K., Slastnikova E., Galimova L., Khaliullina Ch., Valeeva I. // Int J Mol Sci. 2024. V. 25. № 2. P. 767.
 - Ecobici M., Stoicescu C. // Maedica (Bucur). 2017. V. 12. № 3. P. 184–190.
 
Дополнительные файлы
				
			
						
						
						
					
						
									



