Association of the Volumes of Limbic Brain Structures with the Development of Psychoneurological Disorders in Patients with Ischemic Stroke
- 作者: Ierusalimsky N.V.1,2, Druzhkova T.A.1, Zhanina M.Y.1,2, Vladimirova E.E.3, Eremina N.N.3, Guekht A.B.1,4, Gulyaeva N.V.1,2
 - 
							隶属关系: 
							
- Research and Clinical Center for Neuropsychiatry of Moscow Healthcare Department
 - Institute of Higher Nervous Activity and Neurophysiology, Russian Academy of Sciences
 - M. P. Konchalovsky City Clinical Hospital
 - Pirogov Russian National Research Medical University
 
 - 期: 卷 41, 编号 2 (2024)
 - 页面: 183-200
 - 栏目: Clinical Neurochemistry
 - URL: https://bakhtiniada.ru/1027-8133/article/view/269950
 - DOI: https://doi.org/10.31857/S1027813324020102
 - EDN: https://elibrary.ru/ESYZDT
 - ID: 269950
 
如何引用文章
全文:
详细
Post-stroke depressive disorders (PSD) and post-stroke cognitive impairments (PCI) are frequent consequences of ischemic stroke (IS). The study was focused on exploring possible associations between relative volumes of cortical and limbic brain structures during the acute period of IS, and changes in biochemical indices of hypothalamic-pituitary-adrenal, sympathoadrenal medullary and inflammatory systems, with the development of PSD or PCI after mild or moderate IS. Patients developing PSD later on had significantly smaller relative volumes of the hippocampus, entorhinal cortex, and temporal pole versus patients without depressive symptoms. PCI development was associated with significantly smaller volumes of temporal pole and supramarginal gyrus versus patients without cognitive changes. Multiple logistic regression analysis showed higher likelihood of developing PSD in patients with smaller temporal pole volume (β0 =10.9; β = –4.27; p = 0.04) and in-creased salivary α-amylase activity (β0 = –3.55; β = 2.68e–05; p = 0.02). PCI likelihood was higher in patients with smaller supramarginal gyrus volume (β0 = 3.41; β = –0.99; p = 0.047), smaller temporal pole volume (β0 = 3.41; β = –3.12; p = 0.06), and increased hair cortisol concentration at admission (index of accumulated stress load within a month before IS; β0 = 3.41; β = –0.05; p = 0.08). The data support the hypothesis suggesting predisposition to PSD and PCI and multi hit scenarios of their pathogenesis with IS providing a final hit.
全文:
1ВВЕДЕНИЕ
Постинсультные когнитивные нарушения (ПКН) и постинсультное депрессивное расстройство (ПДР) являются одними из наиболее частых причин инвалидизации и снижают эффективность реабилитации больных [1]. Мета-анализ опубликованных исследований показывает, что в первый год после инсульта у 4 из 10 пациентов наблюдаются когнитивные нарушения, как правило, не достигающие критериев деменции [2]. Важно отметить, что развитие ПКН и ПДР не обязательно является результатом тяжелого ишемического инсульта (ИИ). Патогенез когнитивных и аффективных нарушений у больных после ИИ легкой и средней степени тяжести без тяжелых постинсультных неврологических последствий остается неясным. Между тем изучение механизмов развития подобных нарушений у больных на фоне их неврологического выздоровления представляется актуальным. Понимание причин развития ПКН и ПДР необходимо для оценки риска их возникновения, а также для разработки стратегии и профилактики их лечения.
Показано, что в патогенез постинсультных как когнитивных, так и аффективных нарушений вовлечены гипоталамо-гипофизарно-надпочечниковая ось (ГГНО), симпатоадреналовая медуллярная система (САМС) и воспалительные процессы [3]. Предполагается, что ИИ, как сильный стрессорный фактор, вызывает изменения в функционировании этих систем [4]. Более того, реальная стрессовая нагрузка после ИИ состоит из нескольких компонентов. К основным из них относятся негативный опыт (“накопленный стресс”), предшествующий началу инсульта; инсульт сам по себе как очаговое поражение головного мозга; ранний период после возникновения повреждения, когда больной испытывает физические и психологические страдания. Эффект действия каждого из этих факторов, а также их совокупный эффект зависят от уровня индивидуальной стрессоустойчивости [5].
Поскольку ПКН и ПДР после ИИ развиваются не у всех пациентов, предсуществующие глубокие изменения в функционировании стресс-реализующих систем могут иметь решающее значение для их возникновения. В этом случае фокальное поражение головного мозга может выступать дополнительным фактором, потенцирующим ранее существовавшие нарушения в функционировании ГГНО и/или САМС и повышающим риск развития ПКН или ПДР. В этой связи представляется особенно важным поиск дополнительных источников информации, связанной с развитием ПКН и ПДР и позволяющей косвенно оценить состояние структур и систем мозга до ИИ. В клинической практике сложно оценить состояние стресс-реализующих систем в период, предшествовавший ИИ у пациентов, однако доступным подходом к такой оценке является ретроспективное измерение уровня кортизола в волосах [6, 7].
Повреждение гиппокампа — уникальной области мозга, связанной как с памятью, так и с формированием эмоций, является ключевым звеном в развитии ПКН и ПДР. Известно, что активация ГГНО сопровождается выбросом избыточного количества глюкокортикоидов (кортизола у человека), что приводит к повреждению структур лимбической системы головного мозга, в частности гиппокампа, который имеет очень высокую плотность глюкокортикоидных рецепторов (ГР) [8, 9]. Сравнительное морфометрическое исследование гиппокампа, а также других корковых и лимбических структур мозга, связанных с формированием памяти и эмоций, проведенное в первые несколько дней после ИИ у пациентов с когнитивными и/или аффективными нарушениями и без них, могло бы дать дополнительную ценную информацию о состоянии этих структур до ИС.
Считается, что хронические заболевания мозга, такие как болезнь Альцгеймера, болезнь Паркинсона, рассеянный склероз [10], а также психические заболевания [11] являются результатом взаимодействия генетических факторов и факторов окружающей среды. Такие концепции обычно связаны с гипотезами двух или множественных ударов. Применяя такую гипотезу к развитию ПКН и ПДР, мы полагаем, что ИИ может представлять собой финальный удар, запускающий развитие отсроченных постинсультных последствий. При этом очень важно выявить объективные признаки предыдущего удара(ов) в раннем периоде ИИ.
Целью настоящего исследования был поиск ассоциаций, зарегистрированных в остром периоде ИИ объемов корковых и лимбических структур головного мозга с развитием ПКН и ПДР после ИИ легкой или средней тяжести. Помимо гиппокампа в морфометрическое исследование были включены: энторинальная кора — связанная с гиппокампом структура, отвечающая за формирование кратковременной памяти [12, 13]; миндалевидное тело, преимущественно участвующее в формировании эмоций [14]; супрамаргинальная извилина, расположенная в теменной доле, — часть соматосенсорной ассоциативной коры, отвечающая преимущественно за когнитивные функции (речь и ориентацию) [15]; височный полюс, связанный с когнитивными функциями и тесно взаимодействующий с гиппокампом [16, 17]; средняя височная извилина, участвующая в обработке речи и семантической памяти, а также в зрительном восприятии и мультимодальной сенсорной интеграции [18]; передняя поясная кора, которая имеет ассоциативные связи с лимбической системой и префронтальной корой и, таким образом, играет важную роль в интеграции аффективных и когнитивных функций [19].
МАТЕРИАЛЫ И МЕТОДЫ
Испытуемые
В исследование были включены 23 пациента (18 мужчин, 5 женщин, средний возраст 57 ± 11 лет), проходившие лечение в ГКБ имени Кончаловского, которые отвечали следующим критериям включения: возраст 45—80 лет; ишемический инфаркт мозга с полушарной локализацией, не затрагивающий лимбические структуры; легкая или средняя степень тяжести ИИ; госпитализация не позднее 48 ч после ИИ. Критериями исключения были наличие в анамнезе инсульта, черепно-мозговой травмы с остаточными очаговыми изменениями по данным компьютерной томографии (КТ)/магнитно-резонансной томографии (МРТ); наличие когнитивных и депрессивных расстройств в анамнезе; острые и хронические соматические и гормональные заболевания; алкогольная или наркотическая зависимость. Социально-демографическая информация, медицинский анамнез и история жизни были собраны у пациентов после ИИ во время первоначальной госпитализации.
Пациенты наблюдались у невролога и психиатра не менее одного года. Неврологические, психиатрические и когнитивные показатели состояния испытуемых оценивали на 1-, 30-, 180- и 365-е сутки после начала ИИ по следующим шкалам: шкала Национального Института Здравоохранения США (The National Institutes of Health Stroke Scale, NIHSS) [20], Монреальская когнитивная шкала (Montreal Cognitive Assessment, MoCA) [21]; Госпитальная шкала тревоги и депрессии (Hospital Anxiety and depression Scale, HADS) [22]; шкала депрессии Бека (Beck Depression Inventory, BDI) [23]; шкала депрессии Гамильтона (Hamilton Rating Scale for Depression, HAM) [24]) (рис. 1).
Информированное согласие на участие в исследовании было подписано каждым испытуемым, включенным в исследование.
Исследование соответствовало принципам Хельсинской декларации и была одобрена локальным этическим комитетом ГБУЗ “Научно-практический психоневрологический центр имени З.П. Соловьева” Департамента здравоохранения города Москвы (№ 42, 23 августа 2019 г.).
Оценка биохимических показателей и гормонов
Кровь собирали из локтевой вены в утренние часы натощак в вакуумные пробирки S-Monovettes с активатором свертывания крови для получения сыворотки, которую затем центрифугировали при 2000g в течение 15 мин при 4°С.
Слюнную жидкость собирали в низкоадгезионные пробирки SaliCap (IBL, Швеция) в объеме около 1 мл в период между 14.00 и 15.00. Перед сбором слюнной жидкости были исключены прием пищи и использование зубной пасты; полость рта тщательно полоскали. Образцы слюнной жидкости центрифугировали при 2000g в течение 15 мин. Надосадочную фракцию собирали в чистую пробирку.
Образцы волос собирали с затылочной части головы, около 1 см от корня (накопленное количество кортизола соответствует примерно одному месяцу до исследования), и хранили до экстракции кортизола в отдельных герметичных пластиковых контейнерах. Экстракцию кортизола проводили, как описано в работе [7].
МР-морфометрия
МРТ головного мозга проводили на сканере с индукцией магнитного поля 1.5 Тл (“SIGNA” HDxt, GE Medical Systems, USA) c использованием импульсных последовательностей: FLAIR T2 ax, FLAIRcor, T2 PROPELLER ax, T2* ax, DWI 1000b ax, 3-plT2* FGRE, IR-FSPGR-3DT1 ax в острый период ИИ. Для получения анатомического изображения использовали последовательность IR-FSPGR-3DT1 ax (TR = 7 мс, TE = 3 мс, матрица реконструкции — 256 × 256, толщина слоя — 1 мм, FoV = 90, flip angle = 12, расстояние между срезами — 1 мм).
Определение морфометрических характеристик структур головного мозга выполняли по данным Т1-взвешенных изображений с помощью пакета программ FreeSurfer 7.2.0. В ходе предобработки и анализа были проведены стандартные манипуляции, такие как автоматическая трансформация в пространстве Талайраха, реконструкция коры головного мозга, сегментация белого и серого веществ кортикальных и субкортикальных структур. Относительные объемы структур были рассчитаны следующим образом:
Относительный объем структуры (относительные единицы) = (Абсолютный объем структуры / Полный внутричерепной объем) × 1000.
Дизайн исследования
Общий дизайн проспективного исследования показан на рис. 1. Временные точки после ИИ представлены для различных измеряемых параметров.
Рис. 1. Дизайн исследования. NIHSS, шкала Национального Института Здравоохранения США; HADS, Госпитальная шкала тревоги и депрессии; MoCA, Монреальская когнитивная шкала; HAM, шкала депрессии Гамильтона; BDI, шкала депрессии Бека; МРТ, магнитно-резонансная томография; 1—365, дни после ИИ.
Статистический анализ
Статистический анализ проводился с использованием программы STATISTICA 10.0 (StatSoft Inc., Талса, Оклахома, США) и GraphPadPrism версии 9.4.1. (GraphPadSoftware, Inc., Сан-Диего, Калифорния, США). Для оценки значимости факторов, влияющих на развитие постинсультных нейропсихических расстройств, использовался метод логистической регрессии. Нормальность распределения определяли с помощью критерия Шапиро—Уилка. В зависимости от распределения для сравнения двух несвязанных выборок использовались t-критерий Стьюдента или критерий Манна—Уитни, а для сравнения двух связанных выборок — t-критерий Стьюдента либо критерий Уилкоксона. Результаты представлены в виде среднего значения и стандартной ошибки среднего значения или медианы и размаха. Корреляции рассчитывали с помощью теста Спирмена. При p < 0.05 различия считали значимыми; при p < 0.1 различия считались на уровне тенденции значимости.
РЕЗУЛЬТАТЫ
Характеристики испытуемых
Проведенное исследование показало, что у 65% пациентов очаг ИИ был локализован в зоне средней мозговой артерии, у 35% — задней мозговой артерии, преимущественно с правой стороны (57%). У 87% пациентов в анамнезе была сопутствующая артериальная гипертензия, а у 17% — сопутствующая дислипидемия. Последующие постинсультные когнитивные и/или аффективные нарушения были обнаружены у 65% испытуемых. При проведении тетрахорической корреляции у больных с постинсультными когнитивными и аффективными нарушениями и без них с коморбидными соматическими заболеваниями были обнаружены положительные достоверные корреляции между возникновением постинсультных нарушений и артериальной гипертензией (r = 0.62; p = 0.049) и с дислипидемией (r = 0.84; p = 0.03).
По результатам тестирования по шкале MoCA и оценке врача-психиатра, ПКН выявлены у 57% обследованных пациентов. По результатам тестирования по шкале HADS и оценке врача-психиатра у 26% обследованных уже на 30-е сутки после ИИ наблюдалось ПДР.
В ходе исследования пациенты были подразделены на четыре подгруппы: пациенты без ПКН, пациенты с ПКН, пациенты без ПДР и пациенты с ПДР. Корректность разделения больных на группы с ПДР и без ПДР была дополнительно подтверждена результатами психометрического обследования по шкалам HAM и BDI. Оценка влияния пола, возраста, локализации и латерализации инфаркта головного мозга, проведенная методом логистической регрессии, подтвердила отсутствие статистической значимости влияния вышеперечисленных параметров для исследуемой когорты, как на развитие ПКН: пол (р = 0.77), возраст (р = 0.31), локализация инсульта (р = 1), латерализация инсульта (р = 0.69), так и на развитие ПДР: пол (р = 0.36), возраст (р = 0.08), локализация инсульта (р = 1), латерализация инсульта (р = 0.13).
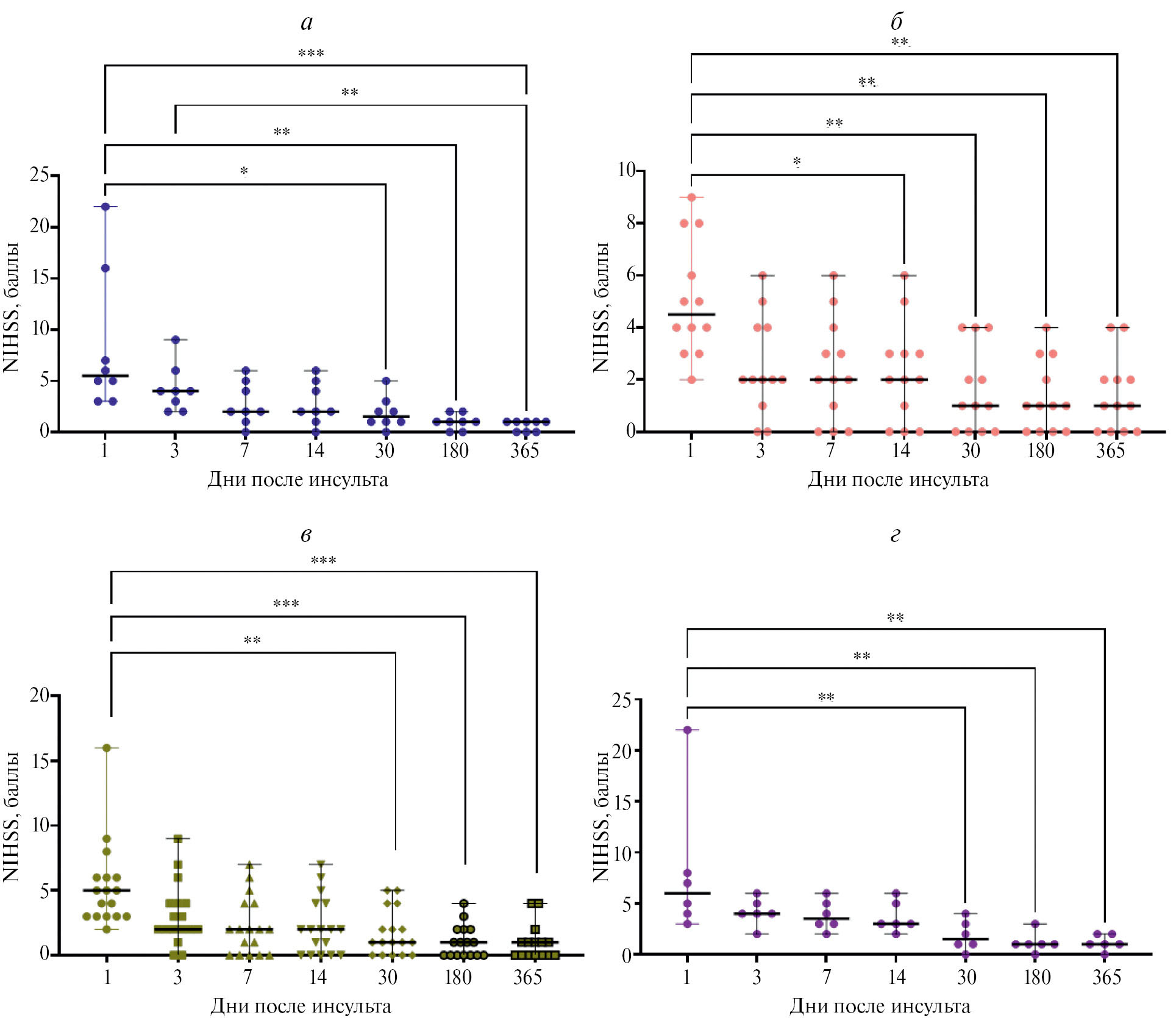
Важно отметить, что сумма баллов по шкале NIHSS, указывающая на наличие неврологического дефицита, статистически не различалась между группами с ПКН и без них на всех временных точках (табл. 1). При этом статистически значимая положительная динамика изменений баллов по шкале NIHSS наблюдалась у пациентов всех групп (рис. 2, а—г).
Рис. 2. Динамика изменений показателей NIHSS в группах пациентов без ПКН (а), с ПКН (б), без ПДР (в) и с ПДР (г). Статистические различия между временными точками оценивали с помощью критерия Фридмана с апостериорным критерием Данна: *p < 0.05, **p < 0.01, ***p < 0.001. Значения на графиках представлены как медиана и размах.
Таблица 1. Баллы по шкале NIHSS у пациентов с ПКН и без них, с ПДР и без него
Дни после ИИ  | Пациенты с ПКН, баллы (M ± SD) n = 13  | Пациенты без ПКН, баллы (M ± SD) n =10  | p  | Пациенты с ПДР, баллы (M ± SD) n = 6  | Пациенты без ПДР, баллы (M ± SD) n = 17  | p  | 
1  | 5.2 ± 2.2  | 7.3 ± 6.5  | 0.93  | 8.2 ± 7.0  | 4.4 ± 1.7  | 0.33  | 
3  | 2.9 ± 2.2  | 4.0 ± 2.2  | 0.23  | 4.2 ± 1.3  | 2.6 ± 2.1  | 0.15  | 
7  | 2.7 ± 2.3  | 2.6 ± 2.1  | 0.98  | 3.8 ± 1.5  | 2.4 ± 2.3  | 0.1  | 
14  | 2.6 ± 2.3  | 2.6 ± 2.1  | 0.98  | 3.7 ± 1.5  | 2.4 ± 2.3  | 0.1  | 
30  | 1.5 ± 1.6  | 2.0 ± 1.8  | 0.52  | 1.8 ± 1.5  | 1.8 ± 1.9  | 0.75  | 
180  | 1.2 ± 1.4  | 1.0 ± 0.8  | 0.97  | 1.2 ± 0.9  | 1.1 ± 1.4  | 0.69  | 
365  | 1.4 ± 1.4  | 0.6 ± 0.5  | 0.20  | 1.2 ± 0.8  | 0.8 ± 1.2  | 0.37  | 
Сравнительные характеристики пациентов с ПКН и без них
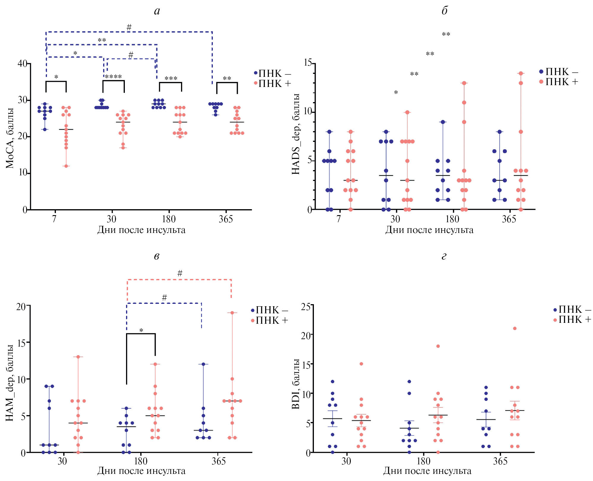
Клинические данные. Результаты тестирования показали, что баллы по шкале МоСА в группах пациентов с ПКН и без них различались, начиная с 7-го дня после ИИ, и оставались стабильными на протяжении всего периода наблюдения (рис. 3, а). В группе с ПКН не было обнаружено динамики баллов по шкале MoCA в течение одного года после ИИ, тогда как в группе без ПКН наблюдалось улучшение когнитивного статуса, заметное начиная с 30-х суток после ИИ. По показателям психометрических шкал, оценивающих депрессивные расстройства, HADS (рис. 3, б), HAM (рис. 3, в) и BDI (рис. 3, г), группы значимо не различались. Единственным исключением были баллы по шкале HAM на 180-е сутки после ИИ, показывающие более выраженные симптомы депрессии в группе пациентов с ПКН (см. рис. 3, в).
Рис. 3. Динамика изменения баллов по психометрическим шкалам. В каждый момент времени было проведено сравнение групп с ПКН и без него и оценена динамика для каждой группы. Использованные шкалы: MoCA (а), HADS (б), HAM (в), BDI (г). Статистические различия между группами оценивали с помощью критерия Манна—Уитни для шкал MoCA, HADS, HAM и непарный t-критерий для шкалы BDI: #p < 0.1, *p < 0.05, **p < 0.01. Статистические различия динамики внутри групп оценивали с помощью критерия Вилкоксона для шкал MoCA, HADS, HAM и парного t-критерия для шкалы BDI: *p < 0.05, **p < 0.01, ***p < 0.001, ****р < 0.0001. Данные на графиках а, б и в представлены как медиана с размахом. Данные на графике г представлены как M ± SEM.
Биохимические показатели. Уровни α-амилазы в слюне, которые косвенно характеризуют функциональное состояние САМС и отражают уровень норадреналина [25], достоверно не различались между группами с ПКН и без ПКН на протяжении всего периода наблюдения. У пациентов обеих групп активность α-амилазы слюны была низкой в остром периоде, значительно повышалась к 30-м суткам после ИИ и в дальнейшем оставалась неизменной (данные не показаны).
Уровень кортизола в волосах, ретроспективно характеризующий накопленную стрессовую нагрузку [5], имел различную динамику у пациентов с ПКН и без него (рис. 4). В обеих группах уровень кортизола в волосах достоверно снижался к 180-му дню после ИИ по сравнению с его уровнем, соответствующим накопленному за месяц до ИИ (1-й день после ИИ). У пациентов без ПКН уровень кортизола в волосах оставался неизменным до конца периода наблюдения, тогда как у пациентов с ПКН он несколько повышался между 180-м и 365-м днями после ИИ.
Рис. 4. Динамика уровня кортизола в волосах в группах с ПКН и без них. Статистические различия оценивали с помощью критерия Манна—Уитни. #p < 0.1, *p < 0.05, **p < 0.01. Данные представлены как медиана с размахом.
Данные морфометрии. Сравнение относительных объемов структур головного мозга, выполненное в остром периоде ИИ, показало, что объемы височного полюса (рис. 5, а) и супрамаргинальной извилины (рис. 5, б, в) были достоверно меньше у больных с ПКН по сравнению с пациентами без ПКН. Положительные корреляции объемов супрамаргинальной извилины и височного полюса с баллами по шкале MoCA были обнаружены как через 30 дней (R = 0.49, p = 0.02 и R = 0.45, p = 0.03 соответственно), так и через 365 дней после ИИ (R = 0.42, p = 0.06 и R = 0.44, p = 0.05 соответственно).
Рис. 5. Относительные объемы височного полюса (а) и супрамаргинальной извилины (б) в группах с ПКН и без них. Статистические различия между группами оценивали с помощью непарного t-критерия: *p < 0.05. Все данные представлены как M ± SEM. Показано расположение височного полюса и супрамаргинальной извилины (в).
Был проведен множественный логистический регрессионный анализ, в модель были включены предикторы, которые в совокупности оказали максимальное влияние на развитие ПКН (рис. 6). Наиболее эффективными предикторами оказались: объем супрамаргинальной извилины (β0 = 3.41; β = –0.99; p = 0.047), объем височного полюса (β0 = 3.41; β = –3.12; p = 0.06), уровень кортизола в волосах на 1-й день после ИИ, отражающий уровень накопленного стресса в течение месяца перед ИИ (β0 = 3.41; β = –0.05; p = 0.08). Для этой модели псевдо R2 был равен 0.51.
Рис. 6. Множественная логистическая регрессия и ROC-анализ предикторов, влияющих на развитие ПКН.
Корреляции объемов структур головного мозга с биохимическими показателями. Корреляции относительных объемов корковых и лимбических структур мозга с биохимическими показателями представлены в табл. 2. У пациентов с ПКН выявлена статистически значимая отрицательная корреляция между относительным объемом височного полюса и уровнем ИЛ-6 на 1-й и 30-й день после ИИ (R = –0.62, p = 0.04 и R = –0.66; p = 0.02 соответственно), а также с уровнем α-амилазы через год после ИИ (R = –0.76, p = 0.01). У пациентов без ПКН наблюдалась отрицательная корреляция относительного объема височного полюса с уровнем кортизола в волосах в 1-й и 30-й дни после ИИ (R = –0.68, р = 0.04 и R = –0.7, р = 0.04) и положительная корреляция с уровнем кортизола в слюне на 30-й день после ИИ (R = 0.87, p = 0.003).
Таблица 2. Корреляции относительных объемов морфологических структур с биохимическими показателями у пациентов с ПКН и без них
Показатель  | Пациенты с ПКН (R; p; n)  | Пациенты без ПКН (R; p; n)  | 
Височный полюс с ИЛ-٦ на ١-й день после инсульта  | –0.62; 0.04; 11  | —  | 
Височный полюс с ИЛ-٦ на ٣٠-й день после инсульта  | –0.66; 0.02; 12  | —  | 
Височный полюс с α-амилазой на 365-й день после инсульта  | –0.76; 0.01; 10  | —  | 
Височный полюс с кортизолом в волосах на ١-й день после инсульта  | —  | –0.68; 0.04; 9  | 
Височный полюс с кортизолом в волосах на ٣٠-й день после инсульта  | —  | –0.7; 0.04; 9  | 
Височный полюс с кортизолом в слюне на ٣٠-й день после инсульта  | —  | 0.87; 0.003; 9  | 
P > 0.1
Сравнительная характеристика пациентов с ПДР и без него
Клинические данные. По данным шкал HADS, HAM и BDI психоэмоциональный статус пациентов в группах с ПДР и без него стал достоверно отличаться как на 30-й (шкала HADS, рис. 7, а), так и на 180-й день после ИИ (HAM и шкалы BDI, рис. 7, б, в). Достоверных различий между группами по шкале MoCA не было выявлено, однако положительная динамика показателей MOCA наблюдалась в группе больных без ПДР, начиная с 30-го дня после ИИ (рис. 7, г).
Рис. 7. Динамика психоэмоционального статуса в группах с ПДР и без ПДР по шкале HADS (а), HAM (б), BDI (в) и MoCA (г). Статистические различия между группами оценивали с помощью непарного t-критерия для шкал HADS и HAM и критерия Манна—Уитни для шкал BDI и MoCA: #p < 0.1, *p < 0.05, **p < 0.01, ****p < 0.001. Статистические различия для динамики внутри одних и тех же групп оценивали с помощью парного t-критерия для шкал HADS, HAM и критерия Вилкоксона для шкал BDI и MoCA: #p < 0.1, *p < 0.05, **p < 0.01. Данные на графиках а, б представлены как M ± SEM. Данные на графиках в, г представлены как медиана с размахом.
Биохимические показатели. У больных с ПДР активность α-амилазы в слюне достоверно не менялась на протяжении всего периода исследования по сравнению с первым днем после ИИ. Однако активность α-амилазы была достоверно выше у больных с ПДР по сравнению с пациентами без ПДР как на 1-е сутки, так и через год после ИИ. У больных без ПДР активность α-амилазы в слюне была наименьшей в остром периоде ИИ, достоверно возрастала к 30-му дню после ИИ и в дальнейшем не изменялась (рис. 8, а).
Рис. 8. Динамика содержания α-амилазы в слюне (а) и ИЛ-6 в сыворотке крови (б) в группах с ПДР и без него. Статистические различия между группами оценивали с помощью критерия Манна—Уитни для α-амилазы в слюне (а), а по непарному t-тесту для ИЛ-6 в сыворотке крови: *p < 0.05, **p < 0.01. Статистические различия в динамике оценивали по критерию Вилкоксона для α-амилазы в слюне и по парному t-критерию для ИЛ-6 в сыворотке крови: #p < 0.1, *p < 0.05, **p < 0.01, ***p < 0.001. Данные на графике а представлены как медиана с размахом. Данные на графике б представлены как M ± SEM.
Уровень ИЛ-6 в сыворотке крови больных СПС был достоверно выше, чем у больных без ПДР на протяжении всего периода наблюдения (рис. 8, б).
Данные морфометрии. Относительные объемы энторинальной коры, височного полюса и гиппокампа были значимо ниже у пациентов с ПДР по сравнению с пациентами без ПДР (рис. 9, а—г).
Рис. 9. Относительные объемы энторинальной коры (а), височного полюса (б) и гиппокампа (в) в группах пациентов с ПДР и без него. Статистические различия между группами оценивали с помощью непарного t-критерия: *p < 0.05, **p < 0.01. Все данные представлены как M ± SEM. Показано расположение энторинальной коры, височного полюса и гиппокампа (г).
Отрицательные корреляции для показателей депрессии с объемом височного полюса были выявлены начиная с 7-го дня, с объемом гиппокампа — с 30-го, а с объемом энторинальной коры — со 180-го дня после ИИ. Множественный логистический регрессионный анализ показал, что пациенты со сниженным объемом височного полюса (β0 = 10.9; β = –4.27; p = 0.04; псевдо R2 = 0.42) и повышенной активностью α-амилазы в слюне (β0 = –3.55; β = 2.68e–05; p = 0.02, псевдо R2 = 0.4) имели наибольшую вероятность развития ПДР (рис. 10).
Рис. 10. Множественная логистическая регрессия и ROC-анализ влияния изменения в объеме височного полюса и уровне α-амилазы на развитие ПДР.
Корреляции объемов структур головного мозга с биохимическими показателями. В табл. 3 представлены корреляции относительных объемов корковых и лимбических структур головного мозга с изучаемыми биохимическими показателями. В группе больных с ПДР была выявлена отрицательная корреляция между относительным объемом энторинальной коры и уровнем кортизола в волосах на 1-е сутки после ИИ (R = –0.9; 0.04), в дальнейшем эта корреляция исчезала и положительная корреляция возникла через год после ИИ (R = 0.83; p = 0.04). В группе больных без ПДР была выявлена отрицательная корреляция между относительным объемом энторинальной коры и уровнем кортизола в волосах на 30-й день после ИИ (R = –0.64; р = 0.01); между относительным объемом височного полюса и кортизолом в слюне в первый день (R = –0.5; p = 0.049); между относительным объемом гиппокампа и уровнем кортизола в волосах в первый день после ИИ (R = –0.48; p = 0.0496). Положительные корреляции в этой группе больных обнаружены также между относительным объемом энторинальной коры и уровнем α-амилазы на первый день после ИИ (R = 0.51; p = 0.04) и с ИЛ-6 через один год после ИИ (R = 0.67; р = 0.02); между относительным объемом височного полюса и α-амилазой в 1-е сутки после ИИ (R = 0.63; р = 0.01) (см. табл. 3).
Таблица 3. Корреляции объемов морфологических структур с биохимическими показателями (пациенты с ПДР и без него)
Показатель  | Пациенты с ПДР (R; p; n)  | Пациенты без ПДР (R; p; n)  | 
Энторинальная кора с кортизолом в волосах на ١-й день после инсульта  | –0.9; 0.04; 5  | —  | 
Энторинальная кора с кортизолом в волосах на ٣٦٥-й день после инсульта  | 0.83; 0.04; 6  | —  | 
Энторинальная кора с кортизолом в волосах на ٣٠-й день после инсульта  | —  | –0.64; 0.01; 17  | 
Гиппокамп с кортизолом в волосах на 1-й день после инсульта  | —  | –0.48; 0.0496; 17  | 
Височный полюс с кортизолом в слюне на 1-й день после инсульта  | —  | –0.5; 0.049; 16  | 
Височный полюс с α-амилазой на 1-й день после инсульта  | —  | 0.63; 0.01; 16  | 
Энторинальная кора с α-амилазой на 1-й день после инсульта  | —  | 0.51; 0.04; 16  | 
Энторинальная кора с ИЛ-6 на 365-й день после инсульта  | —  | 0.67; 0.02; 12  | 
P > 0.1
ОБСУЖДЕНИЕ
Факторы риска развития постинсультных когнитивных и аффективных расстройств
Известно, что существует множество факторов риска возникновения ИИ. Среди них основными немодифицируемыми факторами риска являются возраст, пол, семейный анамнез, этническая принадлежность [26—28], тогда как к основным модифицируемым факторам риска относятся артериальная гипертензия, сердечно-сосудистые заболевания, сахарный диабет, психологический стресс, курение и др. [29—32]. Неоднократно подтверждено, что модифицируемые факторы риска связаны с системным хроническим воспалением [33, 34], которое может индуцировать повышение проницаемости гематоэнцефалического барьера [35] и развитие последующего нейровоспаления [36, 37].
Системное хроническое воспаление обычно связано с активацией стресс-реализующих систем организма — ГГНО [38] и САМС [39]. Гормоны, высвобождаемые при активации ГГНО, запускают множество процессов, участвующих в воспалительных и иммунных взаимодействиях. Например, гипоталамический кортикотропин-рилизинг-гормон индуцирует активацию микроглии; адренокортикотропный гормон (АКТГ) может ингибировать активность иммунных клеток и оказывать противовоспалительное действие; глюкокортикоиды (кортизол, кортикостерон) связываются с глюкокортикоидными и минералокортикоидными рецепторами, индуцируя пути передачи сигнала, участвующие в центральном воспалительном ответе [38]. В зависимости от локализации этих рецепторов в головном мозге воспаление может специфически запускаться в разных областях мозга [40, 41], затрагивая преимущественно наиболее чувствительные к нему структуры. Многие исследования показали, что гиппокамп, неокортекс, миндалевидное тело и гипоталамус находятся среди областей мозга, уязвимых к нейровоспалению, на которые воздействуют внешние сигналы, связанные с периферическим системным воспалением [42—44].
Развитие когнитивных и аффективных расстройств — тесно связанные процессы [45—47]. Разделение больных после ИИ на группы с ПКН, без ПКН, с ПДР и без ПДР было проведено в целях выявления наиболее значимых факторов, влияющих на развитие каждой патологии после ИИ. Проведенный в настоящем исследовании морфометрический анализ корковых и лимбических структур головного мозга показал, что у пациентов с постинсультными когнитивными и/или аффективными нарушениями достоверно уменьшаются (по сравнению с больными ИИ без ПКН или ПДР) относительные объемы височного полюса, гиппокампа, энторинальной коры и супрамаргинальной извилины в первые дни после ИИ, вскоре после поступления в стационар. Относительные объемы структур и выявленная разница между ними вряд ли могут быть следствием ИИ как такового из-за очень короткого периода времени от начала ИИ до момента выполнения МРТ. При этом ни одна из исследованных структур не была затронута инфарктом или локализована вблизи зоны инфаркта головного мозга. Изложенные выше соображения позволяют предположить, что объемы выбранных структур уже были снижены к моменту возникновения ИИ у тех пациентов, у которых в дальнейшем развились либо ПКН, либо ПДР. Сравнительная оценка уровней и динамики биохимических показателей, отражающих функционирование ГГНО, САМС и воспалительной системы у больных с ПКН и ПДР и без них, свидетельствует о различных изменениях в этих системах с течением времени в периоде после ИИ. Выявленные в настоящем исследовании корреляции относительных объемов рассмотренных корковых и лимбических структур с показателями ГГНО, САМС и системы воспаления могут свидетельствовать об их тесной взаимосвязи.
Выше было отмечено, что одним из ведущих сопутствующих заболеваний в исследуемой когорте была артериальная гипертензия (87%), которая, с одной стороны, является наиболее частым фактором риска развития ИИ. С другой стороны, гипертензия тесно связана с развитием системного воспаления, которое может изменить функционирование ГГНО и САМС и опосредовано способствовать нейровоспалению, которое в первую очередь затрагивает корковые и лимбические структуры, отвечающие за когнитивные функции и эмоции. Положительная достоверная связь развития ПКН и ПДР с артериальной гипертензией (r = 0.62; p = 0.049), выявленная в настоящем исследовании с использованием тетрахорической корреляции, позволяет предположить потенциальную взаимосвязь между мозговыми механизмами, лежащими в основе гипертензии, и отсроченными постинсультными когнитивными и аффективными нарушениями.
Результаты морфометрического исследования корковых и лимбических структур головного мозга вместе с данными по уровню и изменениям биохимических показателей в течение периода наблюдения, а также обнаруженные между ними корреляции позволяют предположить, что нарушения регуляции функционирования ГГНО, САМС и воспалительной системы более выражены у пациентов с ПКН и ПДР.
Предикторы начала постинсультного когнитивного снижения. Результаты исследования динамики изменения кортизола в волосах показали, что дисрегуляция ГГНО была более выраженной у пациентов с последующим ПКН. С помощью метода множественной логистической регрессии было показано, что вероятность развития ПКН была выше у пациентов, имеющих сниженные объемы супрамаргинальной извилины (β0 = 3.41; β = –0.99; р = 0.047) и височного полюса (β0 = 3.47; β0 = 3.41; β = –3.12; p = 0.06) и повышенный уровень кортизола в волосах на 1-е сутки после ИИ, который косвенно отражает уровень накопленной стрессовой нагрузки в течение последнего месяца, предшествующего ИИ (β0 = 3.41; β = –0.05; р = 0.08). Этот результат подтверждает данные, представленные в работе [6], о том, что высокие концентрации кортизола в волосах предсказывают худшие когнитивные исходы после ИИ. Положительная корреляция объема височного полюса с уровнем ИЛ-6, обнаруженная у пациентов с ПКН, может косвенно указывать на участие воспаления в возникновении ПКН.
Предикторы развития постинсультного депрессивного расстройства. Морфометрический анализ показал, что относительные объемы гиппокампа, энторинальной коры и височного полюса были уменьшены у пациентов с последующим ПДР по сравнению с пациентами без ПДР. Энторинальная кора структурно и функционально ассоциирована с гиппокампом, участвует в регуляции субгранулярного нейрогенеза [12, 48]. Энторинальная кора служит одним из основных источников возбуждения в зубчатой извилине гиппокампа — основной нейрогенной нише, обеспечивающей генерацию и созревание нейронов, встраивающихся в состав гиппокампальной цепи [49]. В многочисленных исследованиях было показано, что нарушение нейрогенеза в гиппокампе является важнейшим признаком депрессии [50—52]. Стимуляция энторинальной коры сопровождается сбросом тета-ритма гиппокампа, что обеспечивает оптимальную индукцию долговременной потенциации, способствующей тонкому кодированию пространственной информации в гиппокампе [53]. Таким образом, нейрогенез в гиппокампе и функционирование энторинальной коры тесно взаимосвязаны [54]. Нарушение функций этих структур, сопровождающее атрофию, может увеличить риск развития депрессивного расстройства [55].
Методом множественной логистической регрессии было показано, что пациенты со сниженным объемом височного полюса (β0 = 10.9; β = –4.27; p = 0.04; псевдо R2 = 0.42) и повышенной активностью α-амилазы слюны (β0 = –3.55; β = 2.68e–05; p = 0.02; псевдо R2 = 0.4) имели большую вероятность развития ПДР. Нарушения в височном полюсе связаны с развитием ряда психических и неврологических заболеваний, таких как болезнь Альцгеймера, лобно-височная эпилепсия, шизофрения и др. [56—59]. Височный полюс функционально связан со многими областями коры головного мозга, что позволяет ему получать и обрабатывать информацию от различных органов чувств [60]. При сравнительном анализе уровня и динамики биохимических показателей у пациентов с ПДР была выявлена достоверно повышенная активность α-амилазы слюны, что косвенно указывает на активацию САМС, а также уровня ИЛ-6, характеризующего воспалительный процесс. Эти результаты согласуются с ранее опубликованными нами данными [3].
Гипотезы множественных ударов для ПКН и ПДР
Ряд выдвинутых ранее гипотез “двух ударов” или “множественных ударов” для нейродегенеративных заболеваний (болезни Альцгеймера [61—66], болезни Паркинсона [67—69]), депрессии [70, 71], тревоги [72], посттравматического стрессового расстройства [73] и шизофрении [74—77]) позволяют предположить, что для начала развития вышеуказанных заболеваний необходимо последовательное взаимодействие между многочисленными (генетическими и/или экологическими) факторами риска. Более ранние события могут подготовить реакцию на действие последующего негативного фактора. Например, модель “двух ударов” депрессии предполагает, что стресс взаимодействует с базовыми (вероятно, генетическими) предрасположенностями, формируя состояние центральной нервной системы, уязвимое к развитию депрессивного расстройства при возникновении стрессовых событий в более позднем возрасте [71]. Стресс и инфекции в раннем возрасте вызывают активацию ГГНО, изменяют уровни нейротрансмиттеров, нейротрофинов и провоспалительных цитокинов, влияют на функционирование микроглии и индуцируют окислительный стресс. Модель множественных ударов для болезни Паркинсона предполагает, что эти “удары”, включающие токсический стресс (например, в результате окисления дофамина и/или митохондриальной дисфункции), сопровождаются ингибированием нейропротекторного ответа (например, нарушением функции паркина или стресс-индуцированной аутофагии) и могут вызывать избирательную гибель нейронов [68]. Модель множественных ударов для болезни Альцгеймера объясняет, как APOE4 приводит к уязвимому состоянию мозга и церебральной патологии посредством взаимосвязанных “ударов” (нейродегенерации, нейроваскулярной дисфункции, нейровоспаления, окислительного стресса, разрушения эндосомального транспорта, нарушения клеточного метаболизма, нарушения гомеостаза кальция, нарушения регуляции транскрипции) [66].
Применяя концепцию множественных ударов к развитию ПКН и ПДР, мы предполагаем, что предшествующие до наступления ИИ множественные “удары” генетической и/или функциональной природы формируют основу для постинсультных аффективных и когнитивных нарушений. Этот первый набор ударов может представлять собой континуум эндогенных и экзогенных факторов, формирующих предпатологическое состояние головного мозга. “Удары”, действующие в различных комбинациях, приводят мозг в потенциально уязвимое состояние, при котором дальнейшие воздействия будут вызывать или усугублять неблагоприятные процессы. В этом уязвимом состоянии мозга развитие ПКН и/или ПДР могут быть вызваны ИИ даже легкой или умеренной степени. Циркулирующие гормоны (в том числе связанные с ГГНО) способствуют развитию изменений, которые становятся значимыми для уязвимого мозга. Предшествующее ИИ снижение объемов корковых и лимбических отделов головного мозга может отражать последствия множественных “ударов”, которые и закладывают основу для развития отсроченных постинсультных осложнений, в том числе ПКН и ПДР.
ЗАКЛЮЧЕНИЕ
На основании полученных результатов можно предположить, что склонность к развитию когнитивных и/или аффективных нарушений у пациентов после ИИ в значительной степени предопределена еще до ИИ их потенциально неэффективной адаптивной реакцией на стрессорные факторы, что усугубляет дисрегуляции стресс-реализующих систем и развитие хронического воспаления, повреждающего наиболее чувствительные к нему корковые и лимбические структуры головного мозга. В то же время развитие ПКН обусловлено нарушением регуляции ГГНО и сопряжено с уязвимостью височного полюса и субмаргинальной извилины. Существенную роль в развитии ПДР могут играть активация САМС и выраженные воспалительные процессы, приводящие к повреждению гиппокампа, энторинальной коры и височного полюса.
ОГРАНИЧЕНИЯ ИССЛЕДОВАНИЯ
Одним из основных ограничений этого исследования является относительно небольшая когорта пациентов с ИИ, что, в частности, связано с логистическими проблемами длительного периода наблюдения. Другим ограничением исследования является отсутствие данных МРТ для префронтальной коры, что было вызвано техническими проблемами. Третьим важным ограничением является предположение о том, что объемы областей мозга существенно не изменились в течение нескольких дней между поступлением и МРТ-сканированиями. Невозможность получения исходных (до ИИ) МРТ и лабораторных данных является неизбежным ограничением дизайна проспективного исследования.
СОКРАЩЕНИЯ
BDI — шкала депрессии Бека (Beck Depression Inventory)
HADS — госпитальная шкала тревоги и депрессии (Hospital Anxiety and Depression Scale)
HAM — шкала депрессии Гамильтона (Hamilton Rating Scale for Depression)
ГГН-ось — гипоталамо-гипофизарно-надпочечниковая ось
ИЛ-6 — интерлейкин-6
ИИ — ишемический инсульт
MoCA — Монреальская когнитивная шкала (Montreal Cognitive Assessment)
МР — магнитный резонанс
МРТ — магнитно-резонансная визуализация
NIHSS — шкала Национального Института Здравоохранения США (The National Institutes of Health Stroke Scale)
ПКН — постинсультные когнитивные нарушения
ПДР — постинсультное депрессивное расстройство
САМС — симпатоадреналовая медуллярная система
ВКЛАД АВТОРОВ
Концептуализация, Н. Г.; методология, Т. Д., Е. В., М. Ж.; валидация, Т. Д., М. Ж. и Н. И.; визуализация, М. Ж. и Н. И.; формальный анализ, М. Ж.; исследование, Е. В., Н. Е., Т. Д. и Н. И.; ресурсы, А. Г.; курирование данных, Т. Д.; написание — подготовка первоначального проекта, Т. Д. и М. Ж.; написание — рецензирование и редактирование, Н. Г.; надзор, А. Г. и Н. Г.; администрирование проекта, Т. Д. Все авторы прочитали и одобрили опубликованную версию рукописи.
СОБЛЮДЕНИЕ ЭТИЧЕСКИХ НОРМ
Конфликт интересов. Авторы заявляют об отсутствии конфликта интересов.
Этическое одобрение. Исследование проведено в соответствии с рекомендациями Хельсинкской декларации и одобрено этическим комитетом ГБУЗ Научно-практического психоневрологического центра имени З.П. Соловьева ДЗМ (протокол № 42 от 23 августа 2019 г.).
Информированное согласие. Информированное согласие было получено от всех испытуемых, участвовавших в исследовании.
ЗАЯВЛЕНИЕ О ДОСТУПНОСТИ ДАННЫХ
Все данные, полученные или проанализированные в ходе этого исследования, включены в эту опубликованную статью. Первичные наборы данных, созданные и/или проанализированные в ходе текущего исследования, можно получить у ответственного автора по обоснованному запросу.
БЛАГОДАРНОСТИ
Авторы очень признательны к. б. н. Ирине Самотаевой за ценные советы и помощь в обсуждении результатов исследования.
1 Н. И., Т. Д. и М. Ж. соответствуют критерию первого автора.
作者简介
N. Ierusalimsky
Research and Clinical Center for Neuropsychiatry of Moscow Healthcare Department; Institute of Higher Nervous Activity and Neurophysiology, Russian Academy of Sciences
														Email: nata_gul@ihna.ru
				                					                																			                												                	俄罗斯联邦, 							Moscow; Moscow						
T. Druzhkova
Research and Clinical Center for Neuropsychiatry of Moscow Healthcare Department
														Email: nata_gul@ihna.ru
				                					                																			                												                	俄罗斯联邦, 							Moscow						
M. Zhanina
Research and Clinical Center for Neuropsychiatry of Moscow Healthcare Department; Institute of Higher Nervous Activity and Neurophysiology, Russian Academy of Sciences
														Email: nata_gul@ihna.ru
				                					                																			                												                	俄罗斯联邦, 							Moscow; Moscow						
E. Vladimirova
M. P. Konchalovsky City Clinical Hospital
														Email: nata_gul@ihna.ru
				                					                																			                												                	俄罗斯联邦, 							Moscow						
N. Eremina
M. P. Konchalovsky City Clinical Hospital
														Email: nata_gul@ihna.ru
				                					                																			                												                	俄罗斯联邦, 							Moscow						
A. Guekht
Research and Clinical Center for Neuropsychiatry of Moscow Healthcare Department; Pirogov Russian National Research Medical University
														Email: nata_gul@ihna.ru
				                					                																			                												                	俄罗斯联邦, 							Moscow; Moscow						
N. Gulyaeva
Research and Clinical Center for Neuropsychiatry of Moscow Healthcare Department; Institute of Higher Nervous Activity and Neurophysiology, Russian Academy of Sciences
							编辑信件的主要联系方式.
							Email: nata_gul@ihna.ru
				                					                																			                												                	俄罗斯联邦, 							Moscow; Moscow						
参考
- He A., Wang Zu., Wu X., Sun W., Yang K., Feng W., Wang Y., Song H. // Lancet Regional Health — Western Pacific. 2023. V. 33. № 100687. DOI: 10.1016/j. lanwpc.2023.100687.
 - Sexton E., McLoughlin A., Williams D.J., Merriman N.A., Donnelly N., Rohde D., Hickey A., Wren M-A., Bennett K. // Eur Stroke J. 2019. V. 4. P. 160—171. doi: 10.1177/2396987318825484.
 - Zhanina M.Y., Druzhkova T.A., Yakovlev A.A., Vladimirova E.E., Freiman S.V., Eremina N.N., Guekht A.B., Gulyaeva N.V. // Curr. Issues Mol. Biol. 2022. V. 44. P. 6290—6305. DOI: org/10.3390/cimb44120429.
 - Gulyaeva N.V., Onufriev M.V., Moiseeva Y.V. // Front Neurosci. 2021. V. 15. № 781964. doi: 10.3389/fnins.2021.781964.
 - Gulyaeva N.V. // Biochemistry (Mosc). 2019. V. 84. P. 1306—1328. doi: 10.1134/S0006297919110087.
 - Assayag E.B., Tene O., Korczyn A.D., Shopin L., Auriel E., Molad J., Hallevi H., Kirschbaum C., Bornstein N.M., Shenhar-Tsarfaty S., Kliper E., Stalder T. // Psychoneuroendocrinol. 2017. V. 82. P. 133—139. doi: 10.1016/j.psyneuen. 2017.05.013.
 - Pochigaeva K., Druzhkova T., Yakovlev A., Onufriev M., Grishkina M., Chepelev A., Guekht A.B., Gulyaeva N.V. // Metab. Brain Dis. 2017. V. 32. P. 577—583. doi: 10.1007/s11011-017-9952-0.
 - Gulyaeva N.V. // Neurochem Res. 2019. V. 44. P. 1306—1322. doi: 10.1007/s11064-018-2662-0.
 - Gulyaeva N.V. // Biochemistry (Mosc). 2023. V. 88. P. 565—589. doi: 10.1134/S0006297923050012.
 - Patrick K.L., Bell S., Patrick L., Weindel C.G., Watson R.O. // Front. Cell. Infect. Microbiol. 2019. V. 9. № 138. doi: 10.3389/fcimb.2019.00138.
 - Cattane N., Vernon A.C., Borsini A., Scassellati C., Endres D., Capuron L., Tamouza R., Benros M.E., Leza J.C., Pariante C.M., Riva M.A., Cattaneo A. // Eur. Neuropsychopharmacol. 2022. V. 58. P. 55—79. doi: 10.1016/j.euroneuro. 2022.02.002.
 - Witter M.P., Doan T.P., Jacobsen B., Nilssen E.S., Ohara S. // Front. Syst. Neurosci. 2017. V. 11. № 46. DOI: org/10.3389/fnsys.2017.00046.
 - Fransen E. // Neural Netw. 2005. V. 18. P. 1141—1149. 10.1016/j.neunet.2005.08.004.
 - Janal P.H., Tye K.M. // Nature. 2015. V. 517. P. 284—292. doi: 10.1038/nature14188.
 - Gazzaniga M., Ivry R., Mangun G. // Norton Press, London. 2009. V. 768. 1359 p.
 - Herfurth K., Kasper B., Schwarz M., Stefan H., Pauli E. // Epilepsy Behav. 2010. V. 19. P. 365—371. doi: 10.1016/j.yebeh.2010.07.012.
 - Irish M., Piguet O. // Front. Behav. Neurosci. 2013. V. 7. № 27. 10.3389/fnbeh.2013.00027.
 - Onitsuka T., Shenton M.E., Salisbury D.F., Dickey C.C., Kasai K., Toner S.K., Frumin M., Kikinis R., Jolesz F.A., McCarley R.W. // Amer. J. Psychiatry. 2004. V. 161. P. 1603—1611. DOI: org/10.1176/appi.ajp.161.9.1603.
 - Stevens F.L., Hurley R.A., Taber K.H. // J. Neuropsychiatry Clin Neurosci. 2011. V. 23. P. 121—125. doi: 10.1176/jnp.23.2.jnp121.
 - Lyden P. // Stroke. 2017. V. 48. P. 513—519.
 - Nasreddine Z.S., Phillips N.A., Bedirian V., Charbonneau S., Whitehead V., Collin I., Cummings J.L., Chertkow H. // J. Am. Geriatr. Soc. 2005. V. 53. P. 695—699. doi: 10.1111/j.1532-5415.2005.53221.x.
 - Zigmond A.S., Snaith R.P. // Acta Psychiatr. Scand. 1983. V. 67. P. 361—370. doi: 10.1111/j.1600-0447.1983.tb09716.x.
 - Beck A.T., Ward C.H., Mendelson M., Mock J., Erbaugh J. // Arch. Gen. Psychiatry. 1961. V. 4. P. 561—571. doi: 10.1001/archpsyc.1961.01710120031004.
 - Hamilton M. // J Neurol Neurosurg Psychiatry. 1960. V. 23(1). P. 56—62. doi: 10.1136/jnnp.23.1.56.
 - Nater U.M., Rohleder N. // Psychoneuroendocrinology. 2009. V. 34. P. 486—496. doi: 10.1016/j.psyneuen.2009.01.014.
 - Arboix A., Garcia-Eroles L., Comes E., Oliveres M., Targa C., Balcells M., Pujadas R., Massons J. // Rev. Esp. Cardiol. 2008. V. 61. P. 1020—1029.
 - Dichgans M. // Lancet Neurol. 2007. V. 6. P. 149—161. doi: 10.1016/S1474-4422(07)70028-5.
 - Furie K.L., Kasner S.E., Adams R.J., Albers G.W., Bush R.L. // Practice Guideline. 2011. V. 42. P. 227—276. doi: 10.1161/STR.0b013e3181f7d043.
 - Mancia G. // Hypertension. 2011. V. 57. P. 141—143. doi: 10.1161/HYPERTENSIONAHA.110.165852.
 - Arboix A., Milian M., Oliveres M., Garcia-Eroles L., Massons J. // Eur. Neurol. 2006. V. 56. P. 6—12. doi: 10.1159/000094249.
 - Arboix A., Alio J. // Curr. Cardiol. Rev. 2010. V. 6. P. 150—161. doi: 10.2174/157340310791658730.
 - Hurtado-Alvarado G., Dominguez-Salazar E., Pavon L., Velazquez-Moctezuma J., Gomez-Gonzalez B. // J. Immunol. Res. 2016. V. 2016. P. 4576012. doi: 10.1155/2016/4576012.
 - Sorriento D., Iaccarino G. // Int. J. Mol. Sci. 2019. V. 20. № 3879. doi: 10.3390/ijms20163879.
 - Xiao L., Harrison D.G. // Can. J. Cardiol. 2020. V. 36. P. 635—647. doi: 10.1016/j.cjca.2020.01.013.
 - Elwood E., Lim Z., Naveed H., Galea I. // Brain. Behav. Immun. 2017. V. 62. P. 35—40. doi: 10.1016/j.bbi.2016.10.020.
 - Sun Y., Koyama Y., Shimada S. // Front. Aging Neurosci. 2022. V. 14. № 903455. doi: 10.3389/fnagi.2022.903455.
 - Aktas O., Ullrich O., Infante-Duarte C., Nitsch R., Zipp F. // Arch. Neurol. 2007. V. 64. P. 185—189. doi: 10.1001/archneur.64.2.185.
 - Besedovsky H., del Rey A., Sorkin E., Dinarello C.A. // Science 1986. V. 233(4764). P. 652—654. doi: 10.1126/science. 3014662.
 - Nance D.M., Sanders V.M. // Brain Behav. Immun. 2007. V. 21. P. 736—745. doi: 10.1016/j.bbi.2007.03.008.
 - Herman J.P., McKlveen J.M., Solomon M.B., Carvalho-Netto E., Myers B. // Braz. J. Med. Biol. Res. 2012. V. 45. P. 292—298. doi: 10.1590/s0100-879x2012007500041.
 - Reichmann F., Hassan A.M., Farzi A., Jain P., Schuligoi R., Holzer P. // Sci. Rep. 2015. V. 5. № 9970. doi: 10.1038/srep09970.
 - Riazi K., Galic M.A., Kentner A.C., Reid A.Y., Sharkey K.A., Pittman Q.J. // J. Neurosci. 2015. V. 35. P. 4942—4952. doi: 10.1523/JNEUROSCI.4485-14.2015.
 - Zonis S., Pechnick R.N., Ljubimov V.A., Mahgerefteh M., Wawrowsky K., Michelsen K.S., Chesnokova V. // J. Neuroinflammation. 2015. V. 12. № 65. doi: 10.1186/s12974-015-0281-0.
 - Peppas S., Pansieri C., Piovani D., Danese S., Peyrin-Biroulet L., Tsantes A.G., Brunetta E., Tsantes A.E., Bonovas S. // J. Clin. Med. 2021. V. 10. № 377. doi: 10.3390/jcm10030377.
 - Babkair L.A. // J. Neurosci. Nurs. 2017. V. 49. P. 73—84. doi: 10.1097/JNN. 0000000000000271.
 - Kalaria R.N., Akinyemi R., Ihara M. // Biochim. Biophys. Acta. 2016. V. 1862. P. 915—925. doi: 10.1016/j.bbadis.2016.01.015.
 - Li W., Ling S., Yang Y., Hu Z., Davies H., Fang M. // Neuro Endocrinol. Lett. 2014. V. 35. P. 104—109.
 - Li Y., Mu Y., Gage F.H. // Current Topics in Development Biology, Academic Press. 2009. V. 87. P. 149—174. DOI: org/10.1016/S0070-2153(09)01205-8.
 - Ge S., Sailor K.A., Ming G., Song H. // J. Physiol. 2008. V. 586. P. 3759—3765. DOI: org/10.1113/jphysiol.2008.155655.
 - Wang H., Warner-Schmidt J., Varela S., Enikolopov G., Greengard P., Greengard P., Flajolet M. // Proc. Natl. Acad. Sci. USA. 2015. V. 112. P. 9745—9750. doi: 10.1073/pnas.1510291112.
 - Zhang J., He H., Qiao Y., Zhou T., He H., Yi S., Zhang L., Mo L., Li Y., Jiang W., You Z. // Glia. 2020. V. 68. P. 2674—2692. doi: 10.1002/glia.23878.
 - Lee M.M., Reif A., Schmitt A.G. // Curr. Top. Behav. Neurosci. 2013. V. 14. P. 153—179. doi: 10.1007/7854_2012_226.
 - Buzsaki G., Moser E.I. // Nat. Neurosci. 2013. V. 16. P. 130—138. doi: 10.1038/nn.3304.
 - Kim I.B., Park S-C. // Int. J. Mol. Sci. 2021. V. 22. № 11725. doi: 10.3390/ijms222111725.
 - Kino T. // Front. Physiol. 2015. V. 6. P. 230. doi: 10.3389/fphys.2015.00230.
 - Meneses A., Koga S., O’Leary J., Dickson D.W., Bu G., Zhao N. // Mol. Neurodegener. 2021. V. 16. P. 84. doi: 10.1186/s13024-021-00503-x.
 - Erp T.G.M., Walton E., Hibar D.P., Schmaal L., Jiang W., Glahn D.C., Pearlson G.D., Yao N., Fukunaga M., Hashimoto R. et al. // Biol. Psychiatry 2018. V. 84. P. 644—654. doi: 10.1016/j.biopsych.2018.04.023.
 - Silva Filho S.R.B., Barbosa J.H.O., Rondinoni C., Dos Santos A.C., Salmon C.E.G., da Costa Lima N.K., Ferriolli E., Moriguti J.C. //Neuroimage. 2017. V. 15. P. 15—24. doi: 10.1016/j.nicl.2017.04.001.
 - Campo P., Poch C., Toledano R., Igoa J.M., Belinchon M., García-Morales I., Gil-Nagel A. // Brain Struct Funct. 2016. V. 221(1). P. 473—485. doi: 10.1007/s00429-014-0919-1.
 - Herlin B., Navarro V., Dupont S. // J. Chem. Neuroanat. 2021. V. 113. № 101925. doi: 10.1016/j.jchemneu.2021.101925.
 - Zhu X., Raina A.K., Perry G., Smith M.A. // Lancet Neurol. 2004. V. 3. P. 219—226. doi: 10.1016/S1474-4422(04)00707-0.
 - Zhu X., Lee H.G., Perry G., Smith M.A. // Biochim. Biophys. Acta 2007. V. 1772. P. 494—502. DOI: 10.1016/j. bbadis.2006.10.014.
 - Bonda D.J., Bajić V.P., Spremo-Potparevic B., Casadesus G., Zhu X., Smith M.A., Lee H.G. // Neuropathol. Appl. Neurobiol. 2010. V. 36. P. 157—163. doi: 10.1111/j.1365-2990.2010.01064.x.
 - Moh C., Kubiak J.Z., Bajic V.P., Zhu X., Smith M., Lee H.G. // Results Probl. Cell. Differ. 2011. V. 53. P. 565—576. doi: 10.1007/978-3-642-19065-0_23.
 - Custodia A., Ouro A., Romaus-Sanjurjo D., Pías-Peleteiro J.M., de Vries H.E., Castillo J., Sobrino T. // Front. Aging Neurosci. 2022. V. 13. № 811210. doi: 10.3389/fnagi.2021.811210.
 - Steele O.G., Stuart A.C., Minkley L., Shaw K., Bonnar O., Anderle S., Penn A.C., Rusted J., Serpell L., Hall C., King S. // Eur. J. Neurosci. 2022. V. 56. P. 5476—5515. doi: 10.1111/ejn.15685.
 - Carvey P.M., Punati A., Newman M.B. // Cell Transplant. 2006. V. 15. P. 239—250. doi: 10.3727/000000006783981990.
 - Sulzer D. // Trends Neurosci. 2007. V. 30. P. 244—250. doi: 10.1016/j.tins. 2007.03.009.
 - Cabezudo D., Baekelandt V., Lobbestael E. // Front. Neurosci. 2020. V. 14. № 376. doi: 10.3389/fnins.2020.00376.
 - Jacobs R.H., Orr J.L., Gowins J.R., Forbes E.E., Langenecker S.A. // J. Affect. Disord. 2015. V. 175. P. 494—506. doi: 10.1016/j.jad.2015.01.038.
 - Worlein J.M. // ILAR J. 2014. V. 55. P. 259—273. doi: 10.1093/ilar/ilu030.
 - Catuzzi J.E., Beck K.D. // Exp. Neurol. 2014. V. 259. P. 75—80. doi: 10.1016/j.expneurol.2014.01.023.
 - Georgopoulos A.P., James L.M., Christova P., Engdahl B.E. // J. Ment. Health Clin. Psychol. 2019. V. 2. P. 9—14.
 - Bayer T.A., Falkai P., Maier W. // J. Psychiatr. Res. 1999. V. 33. P. 543—548. doi: 10.1016/s0022-3956(99)00039-4.
 - Feigenson K.A., Kusnecov A.W., Silverstein S.M. // Neurosci. Biobehav. Rev. 2014. V. 38. P. 72—93. doi: 10.1016/j.neubiorev.2013.11.006.
 - Davis J., Eyre H., Jacka F.N., Dodd S., Dean O., McEwen S., Debnath M., McGrath J., Maes M., Amminger P., McGorry P.D., Pantelis C., Berk M. // Neurosci. Biobehav. Rev. 2016. V. 65. P. 185—194. DOI: org/10.1016/j.neubiorev.2016.03.017.
 - Grayson B., Barnes S.A., Markou A., Piercy C., Podda G., Neill J.C. // Curr. Top. Behav. Neurosci. 2016. V. 29. P. 403—428. doi: 10.1007/7854_2015_403.
 
补充文件
				
			
						
						
						
						
					
				











