The Study of the State of Monoaminergic Systems in the Brain Structures of the Offsprings of Female BALB/C Mice at Different Stages of Formation of Autism Spectrum Disorders
- Authors: Kudrin V.S.1, Narkevich V.B.1, Alymov A.A.1, Kapitsa I.G.1, Kasabov K.A.1, Naplekova P.L.1, Kudryashov N.V.1, Voronina T.A.1
-
Affiliations:
- Federal Research Center for Original and Prospective Biomedical and Pharmaceutical Technologies
- Issue: Vol 41, No 2 (2024)
- Pages: 162-169
- Section: Experimental Articles
- URL: https://bakhtiniada.ru/1027-8133/article/view/269947
- DOI: https://doi.org/10.31857/S1027813324020075
- EDN: https://elibrary.ru/ETFJCA
- ID: 269947
Cite item
Full Text
Abstract
The study of the status of norepinephrine-, dopamine- and serotonergic neurotransmitter systems of BALB/C mice brain structures on 15 and 64 days of postnatal development (PD) in the model of autistic disturbances induced by injection of of sodium valproate (SV, 400 mg/kg, s/c) to pregnant females was carried out using the HPLC/ED method. The level of both catechol- and indolamines in the brain structures of control group mice at the age of 15 days was significantly lower than in adult animals at the age of 64 days. Prenatal administration of SV caused a decrease in all parameters of monoaminergic neurotransmission in the striatum of offspring at the age of 15 days, but had no effect in other brain structures studied. Subsequently, the level of dopamine increased and by the 64th day of PD did not differ from the parameters of the control group. The parameters of the serotonergic system changed in a similar pattern, with the content of serotonin and the serotonin metabolite 5-OIAA in the striatum increasing gradually and reaching maximum values by the 64th day of PR. Our data allows to assume that the administration of SV to pregnant females affects the activity of the dopamine and serotonergic systems of the brain of the offspring, causing a decrease in their activity in the striatum by the 15th day of pregnancy, followed by restoration to control values by the 64th day, which we previously observed in male pups. Thus, the patterns of dynamic changes in the neurochemical profile do not differ between males and females.
Full Text
ВВЕДЕНИЕ
Расстройства аутистического спектра (РАС) представляют собой группу комплексных дезинтегративных нарушений психического развития, характеризующихся отсутствием способности к социальному взаимодействию, коммуникации, стереотипностью поведения, приводящим к социальной дезадаптации. На сегодняшний день среди различных гипотез патогенеза заболевания одними из основных являются нейрохимические гипотезы, которые рассматривают генез РАС как следствие нарушения формирования нейротрансмиттерных систем мозга в онтогенезе. В частности, выдвинута гипотеза о повреждающем действии дисбаланса возбуждающих (глутамат, аспартат) и тормозных (глицин) аминокислот на головной мозг в период пренатального развития [1, 2]. Другая группа теорий рассматривает в качестве ключевого фактора формирования РАС нарушение онтогенетического развития моноаминергических систем мозга, в первую очередь серотонинергической [3].
Функциональное состояние серотонинергической системы мозга зависит от скорости обратного захвата серотонина пресинаптическими нейронами, осуществляемого транспортером обратного захвата серотонина (СЕРТ) [4]. Генетически обусловленная высокая активность СЕРТ приводит к подавлению активности серотонинергической нейропередачи, проявляется повышенной агрессией и гиперактивностью [5, 6].
Ранее нами было проведено изучение изменений нейрохимических параметров мозга в онтогенезе потомства мышей-самцов линии BALB/с, матерям которых вводился вальпроат натрия (ВН) [16]. Данная экспериментальная модель наиболее часто используется для моделирования РАС [17, 18]. Проводилось изучение состояния дофамин-, серотонин- и норадренергических систем в различных структурах мозга мышей-самцов линии BALB/с на 15-, 42- и 64-й день (соответственно Р15, Р42 и Р64) постнатального развития (ПНР) (т.е. вплоть до половозрелого состояния) группы потомства самок, получавших ВН [16]. В настоящей работе исследования было продолжены на потомстве мышей-самок линии BALB/с, матерям которых вводился ВН.
МАТЕРИАЛЫ И МЕТОДЫ ИССЛЕДОВАНИЯ
Опыты проведены на 52 самках мышей линии BALB/c массой тела 10—22 г, родительское поколение которых получено из питомника филиала “Столбовая” ФГБУН “Научный центр биомедицинских технологий ФМБА” (Россия), содержавшихся в условиях лабораторного вивария при 12-часовом световом режиме со свободным доступом к воде и стандартному корму. Для исключения влияния суточных биоритмов на скорость биосинтеза и метаболизма нейромедиаторов эксперименты проводили между 10.00 и 12.00.
Вальпроат натрия (ВН) вводили однократно, подкожно в дозе 400 мг/кг самкам мышей на 12.5 день беременности. Самки мышей, потомство которых составило контрольную группу, в эти же сроки получали физиологический раствор в эквивалентном объеме (0.1 мл на 10 г веса). Новорожденных мышат-самок (32 особи: 12 контрольных и 20 пренатально получавших ВН) отлучали от самок на 21-е сутки жизни, рассаживая по 4-5 животных в клетку (43.5 × 27.5 × 15.5 см).
Животные были разделены на следующие экспериментальные группы (в скобках указано количество животных).
- Контроль (потомство интактных самок, получавших физиологический раствор):
1а. Группа Р15 (n = 4), 1б. Группа Р42 (n = 4), 1в. Группа Р64 (n = 4).
- Опыт (потомство самок, получавших ВН): 2а. Группа Р15ВН (n = 8), 2б. Группа Р42ВН (n = 6), 2в. Группа Р64ВН (n = 6).
На 15-й и 64-й день ПНР животных декапитировали, после чего структуры мозга (фронтальная кора (ФК), гипоталамус, стриатум и гиппокамп) извлекали на льду, замораживали в жидком азоте и взвешивали. Пробы хранили в жидком азоте. Перед экспериментами по определению содержания нейротрансмиттеров пробы размельчали в гомогенизаторе Поттера (тефлон-стекло) в 1 мл 0.1 н HСlO4 с добавлением 3,4-диоксибензиламина (0.5 нмоль/мл) в качестве внутреннего стандарта. Пробы центрифугировали при 10000g в течение 10 мин. Содержание моноаминов и их метаболитов (норадреналина (НА), дофамина (ДА), 3,4-диоксифенилуксусной кислоты (ДОФУК), гомованилиновой кислоты (ГВК), серотонина (5-окситриптамина, 5-ОТ) и 5-оксииндолуксусной кислоты (5-ОИУК)) определяли методом высокоэффективной жидкостной хроматографии с электрохимической детекцией (ВЭЖХ/ЭД) на хроматографе LC-304T (ВАS, США) с аналитической колонкой ReproSil-PurODS (C18, 100 × 4 мм, 3 мкм) (Dr. Maisch, Германия), при скорости элюции подвижной фазы 1.0 мл/мин и давлении до 200 атм [19]. Мобильная фаза состояла из следующих компонентов: 0.1 M цитратно-фосфатного буфера, содержащего 1.1 mMоктансульфоновой кислоты, 0.1 mM ЭДТА и 9% ацетонитрила (pH 3.0). Измерение проводили с помощью электрохимического детектора LC-4B (BAS, США) на двойном стеклоугольном электроде (+0.85 V) против электрода сравнения Ag/AgCl. Регистрация образцов проводилась с применением аппаратно-программного комплекса “Мультихром 1.5” (“Амперсенд”, Москва, Россия). Все использовавшиеся для анализа реактивы были высокой степени чистоты: о.с.ч. или analyticalgrade.
После проверки на нормальность распределения по критерию Шапиро—Уилка достоверность отличий между группами определяли методом двухфакторного дисперсионного анализа (АNOVA) с последующим post-hoc-тестом Ньюмана—Кейлса, используя в качестве анализируемых факторов возраст животных и используемые вещества (GraphPadPrizm 8.0, GraphPadSoftware, Inc., USA).
РЕЗУЛЬТАТЫ ИССЛЕДОВАНИЯ
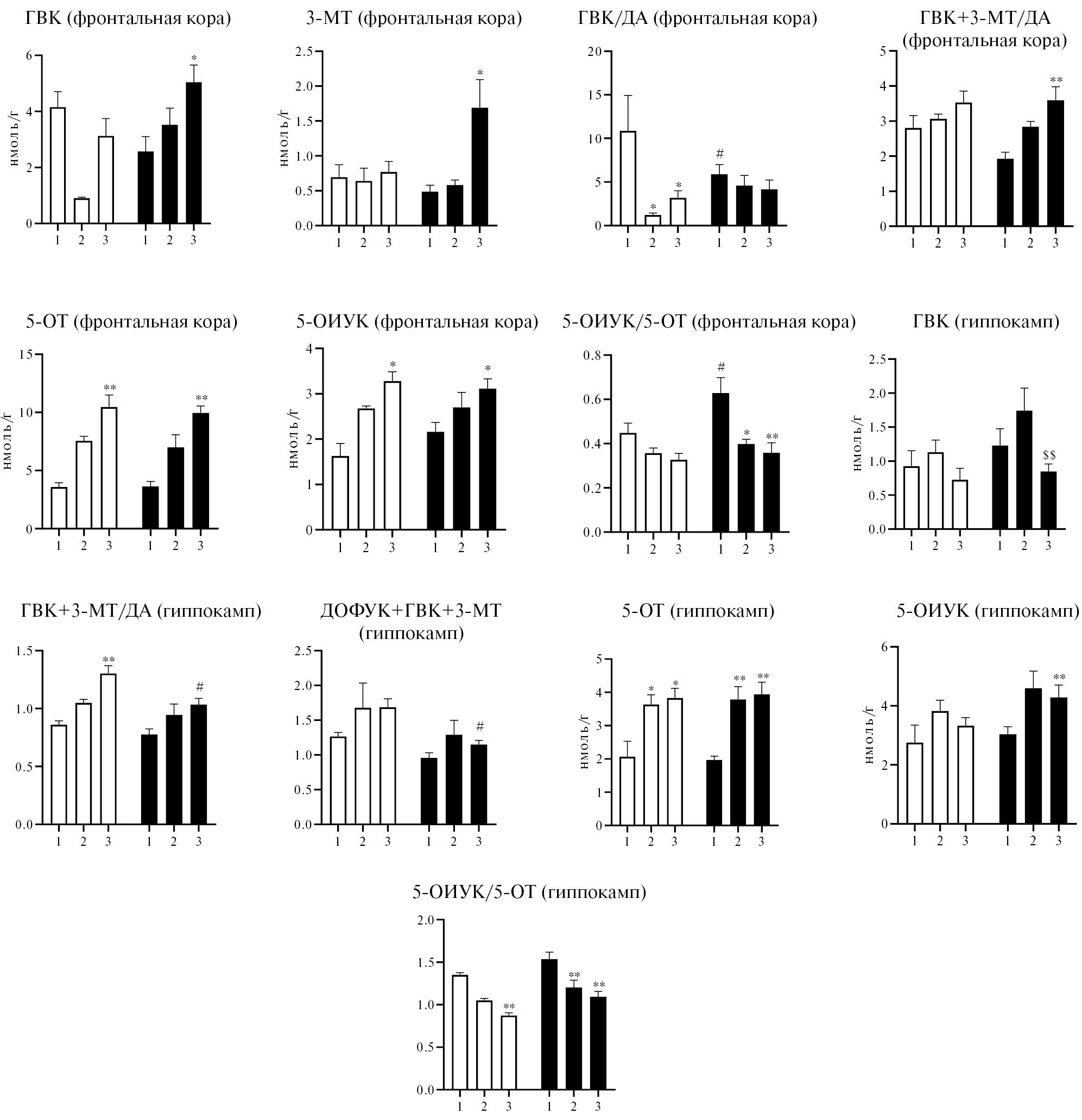
Было показано, что на 15-й день ПНР мышат нейрохимический профиль структур мозга существенно отличается от показателей зрелых животных (возраст 64 дня). При этом отличия носили разнонаправленный характер. Так, содержание ДА в стриатуме мышат-самок в возрасте Р15 было существенно (более чем в 2 раза) ниже по сравнению с тем же показателем у зрелых мышей (рис. 1). Величина показателей скорости метаболизма ДА-ДОФУК/ДА и ДОФУК/ДА была значительно выше аналогичного показателя контрольной группы. Показатели активности серотонинергической системы — уровень 5-ОТ и его метаболита 5-ОИУК были также ниже, чем у взрослых животных (группа Р64), соответственно показатель 5-ОИУК/5-ОТ более чем в 2 раза превышал значения контрольных групп. Существенно более низкое содержание 5-ОТ и 5-ОИУК наблюдалось также в гиппокампе (рис. 2) и гипоталамусе (см. рис. 1). В последней структуре более чем в 3 раза была понижена и концентрация ДА.
Рис. 1. Динамика изменения метаболизма моноаминов в гипоталамусе и стриатуме мышей самок линии BALB/C, матерям которых вводили вальпроат натрия (400 мг/кг, п/к). Белый цвет — контроль, черный цвет — вальпроат натрия. Цифрами обозначен возраст животных: 1 — 15 дней, 2 — 42 дня, 3 — 64 дня; * —р < 0.05; ** — р < 0.05; *** — р < 0.05. Данные представлены как M ± SEM, статистический анализ проводили по двухфакторному дисперсионному анализу (факторы: 1) возраст и 2) эффект веществ) с последующим post-hoc-тестом по критерию Ньюмена—Кейлса. Возраст: 1 — 15 дней, 2 — 45 дней, 3 — 65 дней; * — p < 0.05; ** — p < 0.01 по сравнению с тем же веществом у крыс 15-дневного возраста; # — p < 0.05; ## — p < 0.01 по сравнению с контролем того же возраста; $ — p < 0.05; $$ — p < 0.01 по сравнению с тем же веществом у крыс 45-дневного возраста.
К 42-му дню ПНР отличия нейрохимических показателей мозга потомства контрольной группы в значительной степени нивелировались и значения параметров приближались по величине к значениям параметров зрелых животных, что свидетельствует об окончании созревания основных нейротрансмиттерных систем мозга и их взаимоотношений к этому моменту. Даже отмечалось превышение содержания нейротрансмиттеров в мозге контроля Р64 (содержание ГВК и 3-МТ (незначительно) в стриатуме) (см. рис. 1).
Иная картина онтогенетических изменений нейрохимических параметров структур мозга наблюдалась в группе мышей, матерям которых на ранней стадии беременности (12.5 дней) вводили вальпроат натрия в большой дозе (400 мг/кг). Показатели группы мышат Р15 практически не отличались от величин уровней нейротрансмиттеров в соответствующих структурах мозга животных группы контроля (0.9% NaCl). Исключение составил только стриатум, в котором концентрации ДА и 5-ОТ, а также их метаболитов — ДОФУК, ГВК и 5-ОИУК были понижены (см. рис. 1). Содержание моноаминов в структурах мозга группы Р42 существенно не отличалось от концентрации нейротрансмиттеров той же группы интактного контроля. Интересно отметить, что если показатели ДА-ергической нейропередачи были ниже, чем у взрослых мышей (ДОФУК/ДА в ФК (см. рис. 2), уровни ДА и 3-МТ в стриатуме (см. рис. 1)), показатель скорости утилизации 5-ОТ — 5-ОИУК/5-ОТ — был более высоким во всех изученных структурах мозга. Нейрохимические профили взрослых животных: группы Р64 контроля и мышей, чьи матери получали вальпроат, — группа Р64ВН, существенно различались. У мышей группы Р64ВН по сравнению с контролем было выше содержание ДА в ФК, гипоталамусе (см. рис. 1) и гиппокампе (см. рис. 2), а также ДОФУК в гиппокампе и стриатуме. Параметры серотонинергической системы также были повышены в группе Р64ВН по сравнению с группой Р64 контроля (0.9% NaCl): наблюдалось увеличение содержания 5-ОТ в гипоталамусе и гиппокампе, 5-ОИУК в стриатуме, кроме того, отмечался рост показателя метаболизма 5-ОИУК/5-ОТ в гипоталамусе, гиппокампе и стриатуме (см. рис. 1 и 2).
Рис. 2. Динамика изменения метаболизма моноаминов во фронтальной коре и гиппокампе мышей самок линии BALB/C, матерям которых вводили вальпроат натрия (400 мг/кг, п/к). Белый цвет — контроль, черный цвет — вальпроат натрия. Цифрами обозначен возраст животных: 1 — 15 дней, 2 — 42 дня, 3 — 64 дня; * — р < 0.05; ** — р < 0.05; *** — р < 0.05. Данные представлены как M ± SEM, статистический анализ проводили по двухфакторному дисперсионному анализу (факторы: 1) возраст и 2) эффект веществ) с последующим post-hoc-тестом по критерию Ньюмена—Кейлса. Возраст: 1 — 15 дней, 2 — 45 дней, 3 — 65 дней; * — p < 0.05; ** — p < 0.01 по сравнению с тем же веществом у крыс 15-дневного возраста; # — p < 0.05; ## — p < 0.01 по сравнению с контролем того же возраста; $ — p < 0.05; $$— p < 0.01 по сравнению с тем же веществом у крыс 45-дневного возраста.
Таким образом, пренатальное введение вальпроата натрия вызывало снижение всех параметров моноаминергической нейропередачи в стриатуме потомства мышей в возрасте 15 дней (группа Р15ВН), но не оказывало влияния на нейрохимические изменения в других изученных структурах мозга. К 42-му дню ПНР общий паттерн изменения концентраций нейротрансмиттеров не отличался от динамики созревания нейротрансмиттерных систем контрольной группы. В дальнейшем уровень ДА у мышей группы ВН возрастал и к 64-му дню ПНР не отличался от показателей контрольной группы. Параметры серотонинергической системы изменялись по сходной схеме, при этом содержание серотонина у мышей группы ВН достигало максимума к 42-му дню, после чего незначительно снижалось к 64-му дню, тогда как уровень 5-ОИУК в стриатуме увеличивался постепенно и максимальные отличия наблюдались к 64-му дню ПНР. Показатели мышат группы Р15ВН практически не отличались от величин уровней нейротрансмиттеров в соответствующих структурах мозга половозрелых животных контрольной группы Р64 (0.9% NaCl). Исключение составил только стриатум, в котором были понижены концентрации и ДА и 5-ОТ, а также их метаболитов — ДОФУК, ГВК и 5-ОИУК соответственно.
ОБСУЖДЕНИЕ
Полученные данные позволяют полагать, что введение ВН беременным самкам мышей линии BALB/c отражается на активности дофамин- и серотонинергической систем мозга потомства (самки), вызывая снижение их тонуса в стриатуме к 15-му дню ПНР с последующим восстановлением до контрольных значений к 64-му дню ПНР.
Следует отметить, что большая часть публикаций, посвященных исследованию особенностей вальпроатной модели аутизма, касается либо изучения электрофизиологических параметров нейронов [20], либо определения содержания нейротрансмиттеров в микродиализных образцах [21, 22]. Комплексное изучение влияния ВН на содержание моноаминов и их метаболитов в различных структурах мозга до настоящего времени практически не проводилось. Сравнительно недавно появился ряд работ, выполненных коллективом Hara Y. и соавт., посвященных изучению влияния ВН на параметры ДА-ергической нейропередачи [23]. Если на первых этапах исследований этой группы влияния ВН на содержание ДА, НА и 5-ОТ в ПФК и стриатуме потомства животных с РАС обнаружить не удалось [23], то в дальнейшем ими было продемонстрировано снижение активности ДА-ергической системы в ПФК в условиях данной модели [24, 25]. Другими авторами было обнаружено снижение активности тирозингидроксилазы, ключевого фермента, регулирующего скорость синтеза ДА, в стриатуме потомства мышей с РАС [26]. В ряде работ описано снижение уровня ДА и в других структурах мозга животных с РАС, в частности, гиппокампе и среднем мозге [27]. С другой стороны, в некоторых публикациях было показано увеличение содержания ДА и снижение показателя ДОФУК/ДА в стриатуме 27-дневных самок, матерям которых вводили вальпроат [28]. В той же работе было обнаружено сходное возрастание также во фронтальной коре и мозжечке. Различия во влиянии вальпроата на содержания ДА в структурах мозга потомства объясняют разным уровнем экспрессии в структурах мозга в ходе постнатального созревания различных сигнальных молекул, включая рецепторы ДА, разной скоростью ацетилирования транспортера ДА DAT, а также влиянием внешних факторов, таких как стрессирование, социальная изоляция и др. [28–30].
В то же время влияние ВН на динамику изменений активности нейротрансмиттерных систем мозга в онтогенезе до настоящего времени не изучалось. Известна работа Adam A. и соавт., посвященная иммуноцитохимическому и морфологическому гистохимическому изучению состояния дофаминергической системы мозга потомства самок мышей возрастом 7 дней, получавших ВН [31]. Авторами было показано отсутствие каких-либо изменений содержания ДА в структурах нигростриарной системы (вентральная область покрышки, дорсолатеральный стриатум) при существенном уменьшении количества дофаминсодержащих нейронов в образованиях, относящихся к мезолимбической системе (прилежащее ядро) [31]. По всей видимости, срок между 7-м и 15-м днями ПНР является ключевым для проявления изменений активности дофаминергической системы стриатума, вызванного ВН. Сравнительно недавно (11.2022) появилась публикация коллектива Maisterrena A. и соавт., в которой динамика изменений состояния дофаминергической системы мозга потомства мышей C57BL/6J обеих полов в условиях вальпроатной модели изучалась методом ВЭЖХ/ЭД [32]. Было выявлено незначительное снижение содержания ДА с соответствующим увеличением величины соотношения ДОФУК/ДА в дорзальном стриатуме самок. При этом у потомства мужского пола такого снижения не наблюдалось. Не отмечалось также и эффектов вальпроата на содержание ДА и его метаболитов в других структурах мозга (прилежащее ядро, средний мозг). Приведенные в этой публикации данные в целом согласуются с результатами нашего исследования. Однако необходимо отметить, что эта работа была проведена на мышах линии C57BL/6J, тогда как нами использовались мыши линии BALB/с. Кроме того, в упомянутой выше статье не проводилось изучение динамики изменения нейрохимических параметров на различных этапах ПНР новорожденных мышат. Животных декапитировали только на 45-й день развития, т.е. тогда, когда по нашим данным, нейрохимические показатели опытной группы мышей, чьим матерям вводили вальпроат, уже были компенсированы и существенно не отличались от значений параметров контрольной группы. Кроме того, эффекты вальпроата на содержание серотонина и его метаболита 5-ОИУК коллективом Maisterrena A. и соавт. [32] не изучались, хотя, по данным опубликованной нами ранее работы [16], содержание этих нейротрансмиттеров в стриатуме увеличивалось постепенно и максимальные отличия от контрольной группы наблюдались к 64-му дню ПНР, т.е. к возрасту половой зрелости.
ЗАКЛЮЧЕНИЕ
Таким образом, полученные нами данные позволяют полагать, что введение вальпроата натрия беременным самкам мышей линии BALB/с приводит к снижению активности дофамин- и серотонинергической систем в стриатуме потомства к 15-му дню ПНР с последующим восстановлением до соответствующих значений у мышей интактной контрольной группы взрослого возраста к 64-му дню ПНР.
ИСТОЧНИК ФИНАНСИРОВАНИЯ
Работа выполнена в рамках бюджетной тематики ФГБНУ “НИИ Фармакологии имени В.В. Закусова” (тема FGFG-2022-0004 “Поиск и разработка новых фармакологических средств лечения эпилепсии, расстройств аутистического спектра и болезни Паркинсона”).
СОБЛЮДЕНИЕ ЭТИЧЕСКИХ НОРМ
Конфликт интересов. Авторы заявляют, что у них нет конфликта интересов.
Этическое одобрение. Организация и проведение работ осуществлялись в соответствии с протоколом Совета Евразийской экономической комиссии от 3 ноября 2016 г. № 81 “Об утверждении Правил надлежащей лабораторной практики Евразийского экономического союза в сфере обращения лекарственных средств”. Проведение экспериментов одобрено Комиссией по биомедицинской этике ФГБНУ “НИИ фармакологии имени В.В. Закусова” (протокол № 1 от 2021 г.).
About the authors
V. S. Kudrin
Federal Research Center for Original and Prospective Biomedical and Pharmaceutical Technologies
Email: narvik@yandex.ru
Russian Federation, Moscow
V. B. Narkevich
Federal Research Center for Original and Prospective Biomedical and Pharmaceutical Technologies
Author for correspondence.
Email: narvik@yandex.ru
Russian Federation, Moscow
A. A. Alymov
Federal Research Center for Original and Prospective Biomedical and Pharmaceutical Technologies
Email: narvik@yandex.ru
Russian Federation, Moscow
I. G. Kapitsa
Federal Research Center for Original and Prospective Biomedical and Pharmaceutical Technologies
Email: narvik@yandex.ru
Russian Federation, Moscow
K. A. Kasabov
Federal Research Center for Original and Prospective Biomedical and Pharmaceutical Technologies
Email: narvik@yandex.ru
Russian Federation, Moscow
P. L. Naplekova
Federal Research Center for Original and Prospective Biomedical and Pharmaceutical Technologies
Email: narvik@yandex.ru
Russian Federation, Moscow
N. V. Kudryashov
Federal Research Center for Original and Prospective Biomedical and Pharmaceutical Technologies
Email: narvik@yandex.ru
Russian Federation, Moscow
T. A. Voronina
Federal Research Center for Original and Prospective Biomedical and Pharmaceutical Technologies
Email: narvik@yandex.ru
Russian Federation, Moscow
References
- Moreno-Fuenmayor H., Borjas L., Arrieta A., Valera V., Socorro-Candanoza L. // Invest. Clin. 1996. V. 37. P. 113-28.
- Shimmura C., Suda S., Tsuchiya K.J., Hashimoto K., Ohno K., Matsuzaki H., Iwata K., Matsumoto K., Wakuda T., Kameno Y., Suzuki K., Tsujii M., Nakamura K., Takei N., Mori N. // PLoS One. 2011. V. 6. e25340. doi: 10.1371/journal.pone.0025340.
- Adamsen D., Meili D., Blau N., Thöny B., Ramaekers V. // Mol. Genet. Metab. 2011. V. 102. P. 368—373. doi: 10.1016/j.ymgme.2010.11.162.
- Devlin B., Cook E.H. Jr., Coon H., Dawson G., Grigorenko E.L., McMahon W., Minshew N., Pauls D., Smith M., Spence M.A., Rodier P.M., Stodgell C., Schellenberg G.D. // Mol. Psychiat. 2005. V. 10. P. 1110—1116. doi: 10.1038/sj.mp.4001724.
- Kistner-Griffin E., Brune C.W., Davis L.K., Sutcliffe J.S., Cox N.J., Cook E.H. Jr. // Am. J. Med.Genet. 2011. V. 156. P. 139—144.
- Margoob M.A., Mushtaq D. // Indian J. Psychiat. 2011. V. 53. P. 289—299.
- Castelli M., Nigrelli D., Gorina A.S., Laumonnier F., Bertolino G. // Rivista di Psichiatr. 2000. V. 40. P. 39—44.
- Aman M.G., Kern R.A. // J. Am. Acad. Child. Adolesc. Psychiatr. 1989. V. 28. P. 549—565.
- Martineau J., Barthelemy C., Jouve J., Muh J.P., Lelord G. // Dev. Med. Child. Neurol. 1992. V. 34. P. 593—603.
- Горина А.С., Колесниченко Л.С. // Международн. журн. по иммунореабилитации. 1999. Т. 2. С. 119—123.
- Горина А.С., Колесниченко Л.С., Михнович В.И. // Биомед. химия. 2011. Т. 57. С. 562—570.
- Незнамов Г.Г., Сюняков С.А., Чумаков Д.В., Маметова Л.Э. // Ж. неврол. психиатр. им. С.С. Корсакова. 2005. Т. 105. С. 35—40.
- Середенин С.Б., Молодавкин Г.М., Воронин М.В., Воронина Т.А. // Экспер. клин. фармакол. 2009. Т. 72. № 1. С. 3—11.
- Незнамов Г.Г., Сюняков С.А., Чумаков Д.В., Маметова Л.Э. // Экспер. клин. фармакол. 2001. Т. 64. № 2. С. 15—19.
- Середенин С.Б., Крайнева В.А. // Экспер. клин. фармакол. 2009. Т. 72. № 1. С. 24—26.
- Кудрин В.С., Наркевич В.Б., Алымов А.А., Капица И.Г., Касабов К.А., Кудряшов Н.В., Коньков В.Г., Воронина Т.А. // Нейрохимия. 2021. Т. 38. № 1. С. 52—58.
- Narita N., Kato M., Tazoe M., Miyazaki K., Narita M., Okado N. // Pediatr Res. 2002. V. 52. P. 576—579.
- Bossu J.L., Roux S. // Med Sci (Paris). 2019. V. 35. P. 236—243. doi: 10.1051/medsci/2019036.
- Надорова А.В., Колик Л.Г., Клодт П.М., Наркевич В.Б., Наплекова П.Л., Козловская М.М., Кудрин В.С., Середенин С.Б. // Нейрохимия. 2014. Т. 31. № 2. С. 1—7.
- Antonopoulos J., Dori I., Dinopoulos A., Chiotelli M., Parnavelas J. // Neurosci. 2002. V. 110. P. 245—256.
- Brumback A.C., Ellwood I.T., Kjaerby C., Iafrati J., Robinson S., Lee A.T., Patel T., Nagaraj S., Davatolhagh F., Sohal V.S. // Mol. Psychiat. 2018. V. 23. P. 2078—2089. doi: 10.1038/mp.2017.213.
- Nakasato A., Nakatani Y., Seki Y., Tsujino N., Umino M., Arita H. // Brain Res. 2008. V. 1193. P. 128—135. doi: 10.1016/j.brainres.2007.11.043.
- Hara Y. // Yakugaku Zasshi (Jap.). 2019. V. 139. P. 1391—1396. doi: 10.1248/yakushi.19-00131.
- Hara Y., Takuma K., Takano E., Katashiba K., Taruta A., Higashino K., Hashimoto H., Ago Y., Matsuda T. // Behav. Brain Res. 2015. V. 289. P. 39—47. doi: 10.1016/j.bbr.2015.04.022.
- Hara Y., Ago Y., Taruta A., Hasebe Sh., Kawase H., Tanabe W., Tsukada Sh. // Psychopharmacol. (Berl.). 2017. V. 234. P. 3217—3228. doi: 10.1007/s00213-017-4703-9.
- Cezar L.C., Kirsten T.B., da Fonseca C.C.N., de Lima A.P.N., Bernard M.M., Felicio L.F. // Prog. Neuropsychopharmacol. Biol. Psychiat. 2018. V. 84. P. 173—180. doi: 10.1016/j.pnpbp.2018.02.008.
- Narita N., Kato M., Tazoe M., Miyazaki K., Narita M., Okado N. // Pediatr. Res. 2002. V. 52. P. 576—579. doi: 10.1203/00006450-200210000-00018.
- Acosta J., Campolongo M.A., Hocht C., Depino A.M., Golombek D.A., Agostino P.V. // Eur. J. Neurosci. 2018. V. 47. P. 619—630. doi: 10.1111/ejn.13621.
- Kuo H.-Y., Liu F.-C. // Biomedicines. 2022. V. 10. P. 560—585. DOI: 10.3390 /biomedicines10030560.
- Al Sagheer T., Haida O., Balbous A., Matas E., Fernagut P.-O., Jaber M. // Int. J. Neuropsychopharmacol. 2018. V. 21. P. 871—882. doi: 10.1093/ijnp/pyy043.
- Adam A., Kemecsei R., Company V., Murcia-Ramon R., Juarez I., Gerecsei L., Zachar G., Echevarria D., Puelles E., Martinez S., Csillag A. // Front Neuroanat. 2020. V. 14. P. 29. doi: 10.3389/fnana.2020.00029. Epub 2020 Jun 5.
- Maisterrena A., Emmanuel Matas E., Mirfendereski H., Anais Balbous A., Marchand S., Jaber M. // Biomolecules. 2022. V. 12. P. 1691. doi: 10.3390/biom12111691.
Supplementary files




