Quantitative Characteristics of Small Extracellular Vesicles from the Blood of Patients with Non-Suicidal Self-Harm
- Authors: Mishin I.N.1, Zinchuk M.S.1, Druzhkova T.A.1, Gulyaeva N.V.1,2, Guekht A.B.1,3, Yakovlev A.A.1,2
-
Affiliations:
- Research and Clinical Center for Neuropsychiatry of Moscow Healthcare Department
- Department of Functional Biochemistry of Nervous System, Institute of Higher Nervous Activity and Neurophysiology, Russian Academy of Sciences
- Department of Neurology, Neurosurgery and Medical Genetics, Pirogov Russian National Research Medical University
- Issue: Vol 40, No 4 (2023)
- Pages: 396-405
- Section: Clinical Neurochemistry
- URL: https://bakhtiniada.ru/1027-8133/article/view/231944
- DOI: https://doi.org/10.31857/S1027813323040180
- EDN: https://elibrary.ru/OTSQGM
- ID: 231944
Cite item
Full Text
Abstract
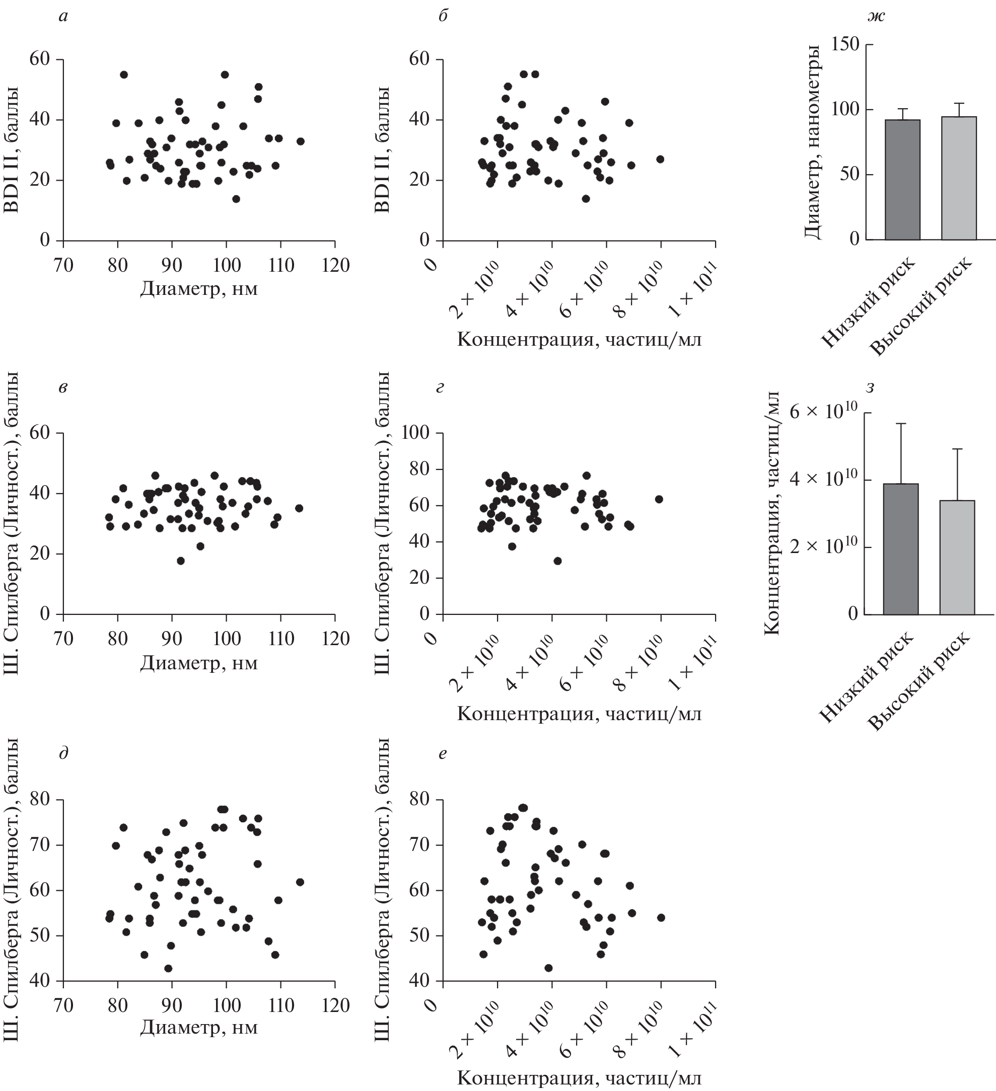
Objective of the study – determination of quantitative characteristics of small extracellular vesicles (sEV) in the blood of patients with non-suicidal self-injury (NSSI) and comparison of the concentration and size of sEV’s in patients with major depressive disorder (MDD) with and without NSSI, as well as an assessment of the relationship between the sizes and concentrations of sEV in the sample with such parameters as the severity of situational and personal anxiety, depression and suicidal risk. The study included 28 patients (11 m./17 f.) with a current episode of major depression and at least five episodes of NSSI in the last 12 months (main group, mean age 28.3 years) and 28 patients with major depression identical in sex and age without NSSI throughout life (comparison group). Patient mental status was assessed using the MINI interview, the Beck Depression Inventory II (BDI II), and the Spielberger Anxiety Scale. Isolation of sEV from blood was carried out using polyethylene glycol (PEG) precipitation and gel filtration. The size and concentration of isolated particles were estimated using dynamic light scattering (DLS) and nanoparticle tracking analysis (ATN). The groups differed significantly in the severity of depression according to the BDI-II questionnaire, the Spielberger Situational Anxiety Scale, and the Spielberger Personality Anxiety Scale. The assessment of suicidal risk, carried out according to the corresponding module of the MINI questionnaire, revealed a significantly larger number of participants with medium and high suicidal risk in the group of patients with NSSI. The sEV fraction was isolated from the blood of the patients of the main group and the comparison group. There were no differences in the concentration and size of sEV between groups of patients with depression with and without NSSI. In our study, the dependence of the concentration and size of sEV on the severity of depression, situational and personal anxiety, and the severity of suicidal risk wasn’t revealed. Conclusion: NSSI in individuals with major depressive disorder is associated with a more severe course of the disorder (greater severity of depression, situational and personal anxiety), as well as a higher risk of suicide. Our study did not reveal any differences in the quantitative characteristics of sEV in patients with a depressive episode with and without NSSI. Future studies should focus on investigating the structural differences and functional features of sEV in NSSI.
About the authors
I. N. Mishin
Research and Clinical Center for Neuropsychiatry of Moscow Healthcare Department
Email: nchjournal@gmail.com
Russia, Moscow
M. S. Zinchuk
Research and Clinical Center for Neuropsychiatry of Moscow Healthcare Department
Email: nchjournal@gmail.com
Russia, Moscow
T. A. Druzhkova
Research and Clinical Center for Neuropsychiatry of Moscow Healthcare Department
Email: nchjournal@gmail.com
Russia, Moscow
N. V. Gulyaeva
Research and Clinical Center for Neuropsychiatry of Moscow Healthcare Department; Department of Functional Biochemistry of Nervous System, Institute of Higher Nervous Activity and Neurophysiology,Russian Academy of Sciences
Email: nchjournal@gmail.com
Russia, Moscow; Russia, Moscow
A. B. Guekht
Research and Clinical Center for Neuropsychiatry of Moscow Healthcare Department; Department of Neurology, Neurosurgery and Medical Genetics,Pirogov Russian National Research Medical University
Email: nchjournal@gmail.com
Russia, Moscow; Russia, Moscow
A. A. Yakovlev
Research and Clinical Center for Neuropsychiatry of Moscow Healthcare Department; Department of Functional Biochemistry of Nervous System, Institute of Higher Nervous Activity and Neurophysiology,Russian Academy of Sciences
Email: nchjournal@gmail.com
Russia, Moscow; Russia, Moscow
References
- Blasco-Fontecilla H., Artieda-Urrutia P., de Leon J. // Epidemiol. Psychiatr. Sci. 2019. V. 28. № 5. P. 473.
- Roth G.A., Mensah G.A., Johnson C.O., Addolorato G., Ammirati E., Baddour L.M., Barengo N.C., Beaton A., Benjamin E.J., Benziger C.P. et al. // J. Am. Coll. Cardiol. 2020. V. 76. № 25. P. 2982.
- Siegel R.L., Miller K.D., Fuchs H.E., Jemal A. // CA Cancer J. Clin. 2022. V. 72. № 1. P. 7–33.
- World Health Organization // World Health Organization, Geneva 2021. P. Licence: CC BY-NC-SA 3.0 IGO.
- McMillan K.A., Enns M.W., Asmundson G.J.G., Sareen J. // J. Clin. Psychiatry 2010. V. 71. № 9. P. 1168–1175.
- Adams D.M., Overholser J.C., Spirito A. // Can J. Psychiatry 1994. V. 39. № 1. P. 43–48.
- Slap G., Goodman E., Huang B. // Pediatrics. 2001. V. 108. № 2.
- Kattimani S., Sarkar S., Rajkumar R.P., Menon V. // J. Neurosci. Rural. Pract. 2015. V. 6. № 2. P. 171.
- Thomas N., Armstrong C.W., Hudaib A.R., Kulkarni J., Gurvich C. // Front. Neuroendocrinol. 2021. V. 63.
- Cha C.B., Franz P.J., M. Guzmán E., Glenn C.R., Kleiman E.M., Nock M.K. // J. Child. Psychol. Psychiatry. 2018. V. 59. № 4. P. 460.
- Racine M. // Prog. Neuropsychopharmacol. Biol. Psychiatry. 2018. V. 87. № Pt B. P. 269–280.
- Dong M., Lu L., Sha S., Zhang L., Zhang Q., Ungvari G.S., Balbuena L., Xiang Y.T. // Psychosom. Med. 2021. V. 83. № 7. P. 739–745.
- Giambarberi L., Munger Clary H.M. // Curr. Neurol. Neurosci. Rep. 2022. V. 22. № 8. P. 441–450.
- Shepard M.D., Perepezko K., Broen M.P.G., Hinkle J.T., Butala A., Mills K.A., Nanavati J., Fischer N.M., Nestadt P., Pontone G. // J. Neurol. Neurosurg. Psychiatry. 2019. V. 90. № 7. P. 822–829.
- Quevedo L. de A., Loret de Mola C., Pearson R., Murray J., Hartwig F.P., Gonçalves H., Pinheiro R.T., Gigante D.P., Motta J.V. dos S., Quadros L. de C.M., Barros F.C., Horta B.L. // Compr. Psychiatry. 2020. V. 102.
- Gili M., Castellví P., Vives M., de la Torre-Luque A., Almenara J., Blasco M.J., Cebrià A.I., Gabilondo A., Pérez-Ara M.A., Lagares C., Parés-Badell O., Piqueras J.A., Rodríguez-Jiménez T., Rodríguez-Marín J., Soto-Sanz V., Alonso J., Roca M. // J. Affect. Disord. 2019. V. 245. P. 152–162.
- Too L.S., Spittal M.J., Bugeja L., Reifels L., Butterworth P., Pirkis J. // J. Affect. Disord. 2019. V. 259. P. 302–313.
- Nock M.K., Green J.G., Hwang I., McLaughlin K.A., Sampson N.A., Zaslavsky A.M., Kessler R.C. // JAMA Psychiatry. 2013. V. 70. № 3. P. 300–310.
- Klonsky E.D., May A.M., Saffer B.Y. // Annu. Rev. Clin. Psychol. 2016. V. 12. P. 307–330.
- Nock M.K. // Annu. Rev. Clin. Psychol. 2010. V. 6. P. 339–363.
- Xiao Q., Song X., Huang L., Hou D., Huang X. // Front. Psychiatry. 2022. V. 13.
- Griep S.K., MacKinnon D.F. // Arch. Suicide Res. 2022. V. 26. № 2. P. 428–446.
- Boyne H., Hamza C.A. // Psychiatry Res. 2022. V. 318.
- Stacy S.E., Pepper C.M., Clapp J.D., Reyna A.H. // J. Clin. Psychol. 2022. V. 78. № 5. P. 926–937.
- Hankin B.L., Barrocas A.L., Young J.F., Haberstick B., Smolen A. // Psychiatry Res. 2015. V. 225. № 3. P. 609–612.
- Gao Y., Xiong Y., Liu X., Wang H. // Int. J. Environ. Res. Public Health. 2021. V. 18. № 5. P. 1–13.
- Martín-Blanco A., Ferrer M., Soler J., Salazar J., Vega D., Andión O., Sanchez-Mora C., Arranz M.J., Ribases M., Feliu-Soler A., Pérez V., Pascual J.C. // J. Psychiatr. Res. 2014. V. 57. № 1. P. 34-40.
- Kaess M., Hille M., Parzer P., Maser-Gluth C., Resch F., Brunner R. // Psychoneuroendocrinology. 2012. V. 37. № 1. P. 157–161.
- Koenig J., Rinnewitz L., Warth M., Hillecke T.K., Brunner R., Resch F., Kaess M. // J. Psychiatry Neurosci. 2017. V. 42. № 3. P. 189–199.
- Kirtley O.J., O’Carroll R.E., O’Connor R.C. // J. Affect. Disord. 2016. V. 203. P. 347–363.
- Kaess M., Hooley J.M., Klimes-Dougan B., Koenig J., Plener P.L., Reichl C., Robinson K., Schmahl C., Sicorello M., Westlund Schreiner M., Cullen K.R. // Neurosci. Biobehav. Rev. 2021. V. 130. P. 228–239.
- Sparrow-Downes V.M., Trincao-Batra S., Cloutier P., Helleman A.R., Salamatmanesh M., Gardner W., Baksh A., Kapur R., Sheridan N., Suntharalingam S., Currie L., Carrie L.D., Hamilton A., Pajer K. // BMC Psychiatry. 2022. V. 22. № 1.
- Saeedi S., Israel S., Nagy C., Turecki G. // Transl. Psychiatry. 2019. V. 9. № 1.
- Théry C., Witwer K.W., Aikawa E., Alcaraz M.J., Anderson J.D., Andriantsitohaina R., Antoniou A., Arab T., Archer F., Atkin-Smith G.K. et al. // J. Extracell. Vesicles. 2018. V. 7. № 1.
- Kalluri R., LeBleu V.S. // Science. 2020. V. 367. № 6478.
- Yáñez-Mó M., Siljander P.R.M., Andreu Z., Zavec A.B., Borràs F.E., Buzas E.I., Buzas K., Casal E., Cappello F., Carvalho J., Colás E., Cordeiro-Da Silva A., Fais S., Falcon-Perez J.M., Ghobrial I.M., Giebel B., Gimona M., Graner M., Gursel I., Gursel M., Heegaard N.H.H., Hendrix A., Kierulf P., Kokubun K., Kosanovic M., Kralj-Iglic V., Krämer-Albers E.M., Laitinen S., Lässer C., Lener T., Ligeti E., Line A., Lipps G., Llorente A., Lötvall J., Manček-Keber M., Marcilla A., Mittelbrunn M., Nazarenko I., Nolte-’t Hoen E.N.M., Nyman T.A., O’Driscoll L., Olivan M., Oliveira C., Pállinger É., del Portillo H.A., Reventós J., Rigau M., Rohde E., Sammar M., Sánchez-Madrid F., Santarém N., Schallmoser K., Ostenfeld M.S., Stoorvogel W., Stukelj R., van der Grein S.G., Helena Vasconcelos M., Wauben M.H.M., de Wever O. // J. Extracell. Vesicles. 2015. V. 4. № 2015. P. 1–60.
- Janas A.M., Sapoń K., Janas T., Stowell M.H.B., Janas T. // Biochim. Biophys. Acta. 2016. V. 1858. № 6. P. 1139–1151.
- Gruzdev S.K., Yakovlev A.A., Druzhkova T.A., Guekht A.B., Gulyaeva N.V. // Cell. Mol. Neurobiol. 2019. V. 39. № 6. P. 729–750.
- Khaspeckov L.G., Yakovlev A.A. // Neurochemical J. 2023. V. 39. № 1. P. 1–18.
- Wang Y., Amdanee N., Zhang X. // Eur. Psychiatry. 2022. V. 65. № 1.
- Clausen A.R., Durand S., Petersen R.L., Staunstrup N.H., Qvist P. // Genes (Basel). 2022. V. 13. № 6.
- Kouter K., Paska A.V. // Epigenomics. 2020. V. 12. № 24. P. 2219–2235.
- D’Agnelli S., Gerra M.C., Bignami E., Arendt-Nielsen L. // Mol. Pain. 2020. V. 16.
- Yakovlev A.A., Druzhkova T.A., Nikolaev R.V., Kuz- netsova V.E., Gruzdev S.K., Guekht A.B., Gulyaeva N.V. // Neurochemical Journal. 2019. V. 13. № 4. P. 385–390.
- Chen B., Song L., Yang J., Zhou W.Y., Cheng Y.Y., Lai Y.J. // Neural Regen. Res. 2023. V. 18. № 3. P. 587.
- Rani K., Rastogi S., Vishwakarma P., Bharti P.S., Sharma V., Renu K., Modi G.P., Vishnu V.Y., Chatterjee P., Dey A.B., Nikolajeff F., Kumar S. // J. Neurosci. Methods. 2021. V. 347.
- Sheehan D.V., Lecrubier Y., Sheehan K.H., Amorim P., Janavs J., Weiller E., Hergueta T., Baker R., Dunbar G.C. // J. Clin. Psychiatry. 1998. V. 59. № suppl. 20. P. 11980.
- https://www.appi.org/dsm. Accessed March 1, 2023.
- Cockrell J.R., Folstein M.F. // Psychopharmacol. Bull. 1988. V. 24. № 4. P. 689–692.
- Beck A.T., Steer R.A., Brown G.K. // San Antonio, TX: Psychological Corporation. 1996. P. 1–82.
- Spielberger C.D., Gorsuch R.L., Lushene R.E. // Manual for the State-Trait Anxiety Inventory. Palo Alto. Consulting Psychologists Press. 1970.
- World Medical Association Declaration of Helsinki Ethical Principles for Medical Research Involving Human Subjects // JAMA. 2013. V. 310. № 20. P. 2191–2194.
- Bachurski D., Schuldner M., Nguyen P.H., Malz A., Reiners K.S., Grenzi P.C., Babatz F., Schauss A.C., Hansen H.P., Hallek M., Pogge von Strandmann E. // J. Extracell. Vesicles. 2019. V. 8. № 1.
- Szatanek R., Baj-Krzyworzeka M., Zimoch J., Lekka M., Siedlar M., Baran J. // Int. J. Mol. Sci. 2017. V. 18. № 6.
- Wilkinson P.O., Qiu T., Jesmont C., Neufeld S.A.S., Kaur S.P., Jones P.B., Goodyer I.M. // J. Affect. Disord. 2022. V. 306. P. 240–245.
- Zinchuk M., Beghi M., Beghi E., Bianchi E., Avedisova A., Yakovlev A., Guekht A. // Arch. Suicide Res. 2022. V. 26. № 2. P. 776–800.
- Giner-Bartolome C., Mallorquí-Bagué N., Tolosa-Sola I., Steward T., Jimenez-Murcia S., Granero R., Fernandez-Aranda F. // Front. Psychol. 2017. V. 8. P. 1163.
- Lee H.S., Park K.J., Kwon Y., Shon S.H., Youngstrom E.A., Kim H.W. // Psychiatry Investig. 2021. V. 18. № 6. P. 561–569.
- Asarnow J.R., Porta G., Spirito A., Emslie G., Clarke G., Wagner K.D., Vitiello B., Keller M., Birmaher B., McCracken J., Mayes T., Berk M., Brent D.A. // J. Am. Acad. Child. Adolesc. Psychiatry. 2011. V. 50. № 8. P. 772–781.
- Wilkinson P., Kelvin R., Roberts C., Dubicka B., Goodyer I. // Am. J. Psychiatry. 2011. V. 168. № 5. P. 495–501.
- Kouter K., Paska A.V. // Epigenomics. 2020. V. 12. № 24. P. 2219–2235.
- American Psychiatric Association // Diagnostic and Statistical Manual of Mental Disorders. May 2013.
- Wang L., Zheng D., Liu L., Zhong G., Bi X., Hu S., Wang M., Qiao D. // Medicine. 2021. V. 100. № 31. P. E26747.
- Chen Q., Liu X., Xu R., Wang X., Zhou D., Tang Y. // Asian J. Psychiatr. 2023. V. 80.
- Ye Z., Xiong F., Li W. // Front. Psychiatry. 2022. V. 13.




