Elevated Level of Small Extracellular Vesicles in the Serum of Patients with Depression, Epilepsy and Epilepsy with Depression
- 作者: Yakovlev A.A.1,2, Druzhkova T.A.2, Stefanovich A.3, Moiseeva Y.V.1, Lazareva N.A.1, Zinchuk M.S.2, Rider F.K.2, Guekht A.B.2,4, Gulyaeva N.V.1,2
 - 
							隶属关系: 
							
- Institute of Higher Nervous Activity and Neurophysiology, Russian Academy of Sciences
 - Moscow Research and Clinical Center for Neuropsychiatry, Moscow Healthcare Department
 - First Moscow State Medical University named after I.M. Sechenov
 - Pirogov Russian National Research Medical University
 
 - 期: 卷 40, 编号 4 (2023)
 - 页面: 381-395
 - 栏目: Clinical Neurochemistry
 - URL: https://bakhtiniada.ru/1027-8133/article/view/231943
 - DOI: https://doi.org/10.31857/S1027813323040246
 - EDN: https://elibrary.ru/OSXXQV
 - ID: 231943
 
如何引用文章
全文:
详细
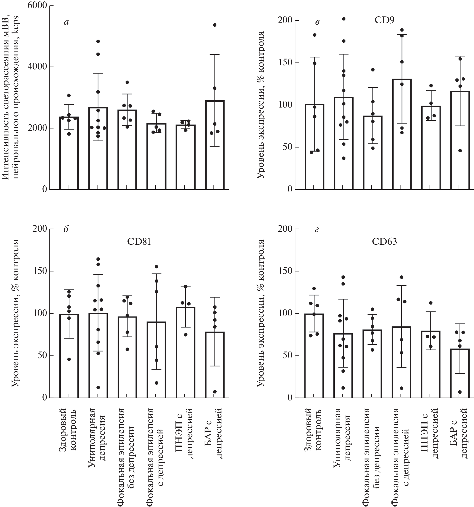
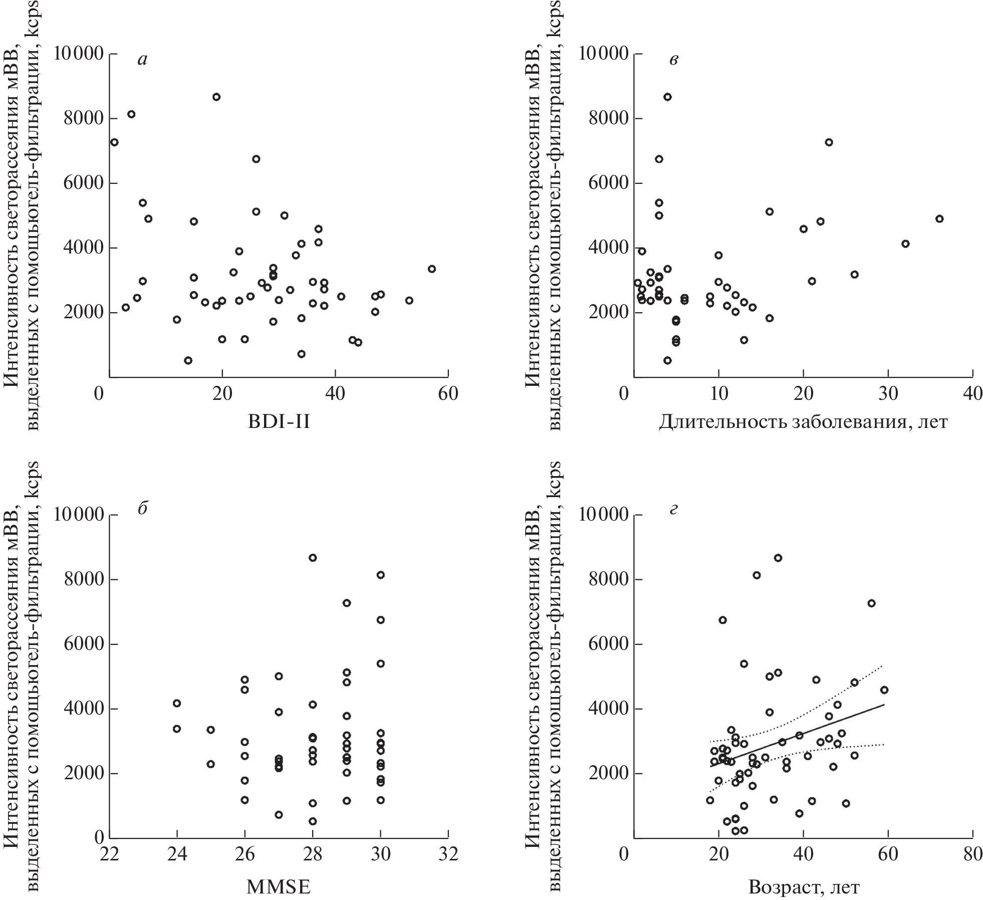
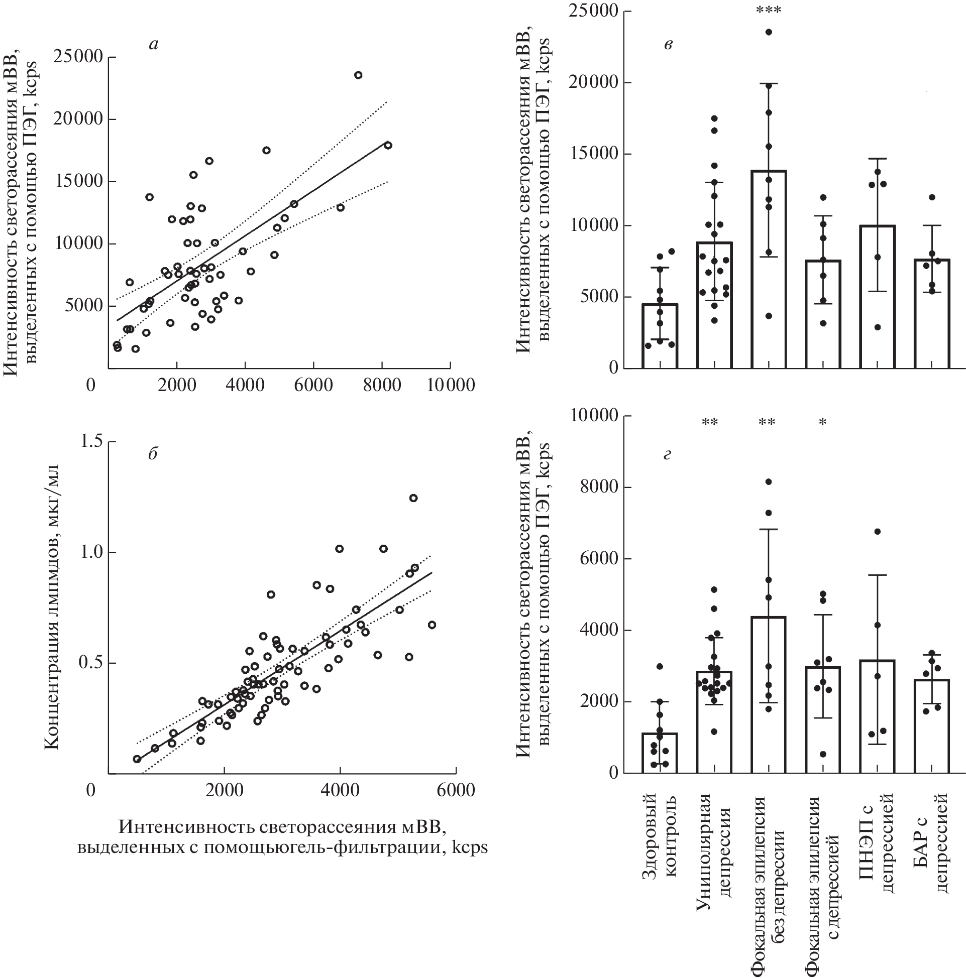
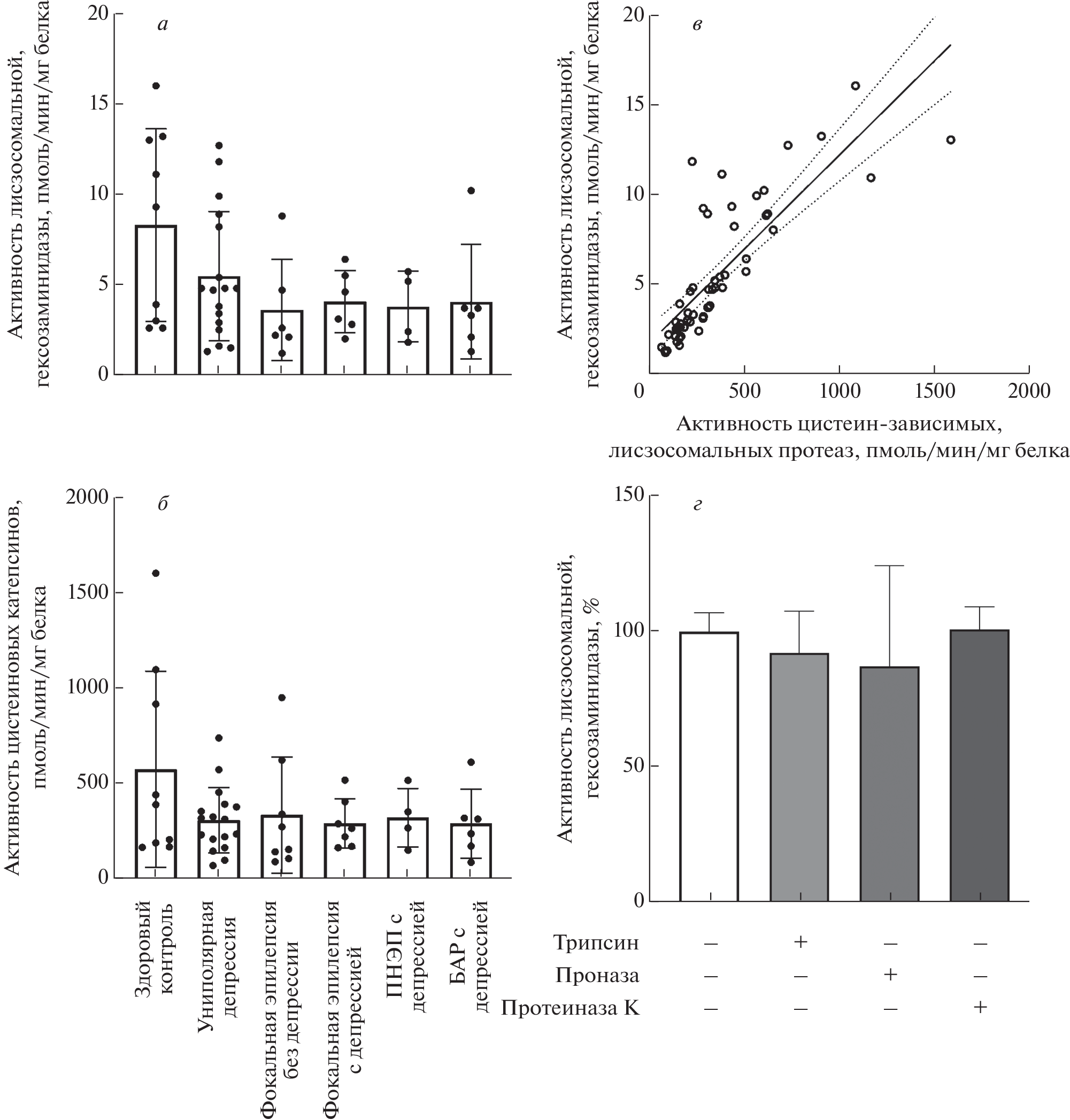
Small extracellular vesicles (sEVs) properties and sEVs composition are far from being well-studied for now, especially in the context of mental disorders. To elucidate the role of sEVs in disease we performed a quantitative analysis of the blood sEV in patients with focal epilepsy and patients with focal epilepsy with depression, psychogenic non-epileptic seizures with depression, pure depression, and bipolar affective disorder with the current depressive episode (cDE). Small EVs were isolated from the serum by gel filtration or PEG precipitation, and both methods showed very similar results. Subsequently, we precipitated neuronal sEVs and quantified it with several methods. Activity of lysosomal enzymes was determined in the sEVs fraction. The concentration of the blood sEVs in patients with depression, focal epilepsy, or depression with focal epilepsy was higher than in healthy controls. No difference was found between patients and controls in terms of neuronal sEVs concentration. Another finding of our work is that sEVs in the serum of patients contains various lysosomal enzymes. We suppose that the concentration of the blood sEVs in patients with depression or epilepsy is higher due to the sEVs secretion by the immune cells. Finding sEVs in the blood of patients with depression and focal epilepsy grants validity for future attempts to use sEVs as diagnostic tools for these disorders.
作者简介
A. Yakovlev
Institute of Higher Nervous Activity and Neurophysiology, Russian Academy of Sciences; Moscow Research and Clinical Center for Neuropsychiatry, Moscow Healthcare Department
														Email: nchjournal@gmail.com
				                					                																			                												                								Russia, Moscow; Russia, Moscow						
T. Druzhkova
Moscow Research and Clinical Center for Neuropsychiatry, Moscow Healthcare Department
														Email: nchjournal@gmail.com
				                					                																			                												                								Russia, Moscow						
A. Stefanovich
First Moscow State Medical University named after I.M. Sechenov
														Email: nchjournal@gmail.com
				                					                																			                												                								Russia, Moscow						
Yu. Moiseeva
Institute of Higher Nervous Activity and Neurophysiology, Russian Academy of Sciences
														Email: nchjournal@gmail.com
				                					                																			                												                								Russia, Moscow						
N. Lazareva
Institute of Higher Nervous Activity and Neurophysiology, Russian Academy of Sciences
														Email: nchjournal@gmail.com
				                					                																			                												                								Russia, Moscow						
M. Zinchuk
Moscow Research and Clinical Center for Neuropsychiatry, Moscow Healthcare Department
														Email: nchjournal@gmail.com
				                					                																			                												                								Russia, Moscow						
F. Rider
Moscow Research and Clinical Center for Neuropsychiatry, Moscow Healthcare Department
														Email: nchjournal@gmail.com
				                					                																			                												                								Russia, Moscow						
A. Guekht
Moscow Research and Clinical Center for Neuropsychiatry, Moscow Healthcare Department; Pirogov Russian National Research Medical University
														Email: nchjournal@gmail.com
				                					                																			                												                								Russia, Moscow; Russia, Moscow						
N. Gulyaeva
Institute of Higher Nervous Activity and Neurophysiology, Russian Academy of Sciences; Moscow Research and Clinical Center for Neuropsychiatry, Moscow Healthcare Department
														Email: nchjournal@gmail.com
				                					                																			                												                								Russia, Moscow; Russia, Moscow						
参考
- Thery C., Witwer K.W., Aikawa E., Alcaraz M.J., Anderson J.D., Andriantsitohaina R., Antoniou A., Arab T., Archer F., Atkin-Smith G.K. et al. // J. Extracell. Vesicles. 2018. V. 7. № 1. P. 1535750.
 - Kalluri R., LeBleu V.S. // Science. 2020. V. 367. № 6478. eaau6977.
 - Druzhkova T.A., Yakovlev A.A. // Neurochem. J. 2018. V. 12. № 3. P. 195–204.
 - Ardashirova N.S., Fedotova E.Y., Illarioshkin S.N. // Neurochem. J. 2020. V. 14. № 2. P. 127–132.
 - Ivanova M.V., Chekanova E.O., Belugin B.V., Tutykhina I.L., Dolzhikova I.V., Zakroishchikova I.V., Vasil’ev A.V., Zakharova M.N. // Neurochem. J. 2019. V. 13. № 3. P. 229–239.
 - Kapogiannis D., Mustapic M., Shardell M.D., Berkowitz S.T., Diehl T.C., Spangler R.D., Tran J., Lazaropoulos M.P., Chawla S., Gulyani S., Eitan E., An Y., Huang C.W., Oh E.S., Lyketsos C.G., Resnick S.M., Goetzl E.J., Ferrucci L. // JAMA Neurol. 2019. V. 76. № 11. P. 1340–1351.
 - Chung C.-C., Chan L., Chen J.-H., Bamodu O.A., Chiu H.-W., Hong C.-T. // FASEB J. 2021. V. 35. № 10. e21895.
 - Yakovlev A.A., Druzhkova T.A., Nikolaev R.V., Kuznetsova V.E., Gruzdev S.K., Guekht A.B., Gulyaeva N.V. // Neurochem. J. 2019. V. 13. № 4. P. 385–390.
 - Buschmann D., Kirchner B., Hermann S., Marte M., Wurmser C., Brandes F., Kotschote S., Bonin M., Steinlein O.K., Pfaffl M.W., Schelling G., Reithmair M. // J. Extracell. Vesicles. 2018. V. 7. № 1. P. 1481321.
 - Quesnel A., Broughton A., Karagiannis G.S., Filippou P.S. // Cancer Metastasis Rev. 2022. V. 41. № 4. 789–801.
 - Raimondi L., De Luca A., Amodio N., Manno M., Raccosta S., Taverna S., Bellavia D., Naselli F., Fontana S., Schillaci O., Giardino R., Fini M., Tassone P., Santoro A., De Leo G., Giavaresi G., Alessandro R. // Oncotarget. 2015. V. 6. № 15. P. 13772–13789.
 - Onufriev M.V., Yakovlev A.A., Lyzhin A.A., Stepanichev M.Y., Khaspekov L.G., Gulyaeva N.V. // Biochem. 2009. V. 74. № 3. P. 281–287.
 - Yakovlev A.A., Kvichansky A.A., Lyzhin A.A., Khaspekov L.G., Gulyaeva N.V. // Neurochem. J. 2013. V. 7. № 2. P. 111–120.
 - Scheffer I.E., Berkovic S., Capovilla G., Connolly M.B., French J., Guilhoto L., Hirsch E., Jain S., Mathern G.W., Moshe S.L., Nordli D.R., Perucca E., Tomson T., Wiebe S., Zhang Y.H., Zuberi S.M. // Epilepsia. 2017. V. 58. № 4. P. 512–521.
 - Zlobina M.V., Pervushina O.N. // Reflexio. 2018. V. 11. P. 83–98.
 - Beck A.T., Steer R.A., Ball R., Ranieri W.F. // J. Pers. Assess. 1996. V. 67. № 3. P. 588–597.
 - Mosolov S.N., Ushkalova A.V., Kostukova E.G., Shafarenko A.A., Alfimov P.V., Kostyukova A.B., Angst J. // J. Affect. Disord. 2014. V. 155. P. 90–95.
 - Angst J., Adolfsson R., Benazzi F., Gamma A., Hantouche E., Meyer T.D., Skeppar P., Vieta E., Scott J. // J. Affect. Disord. 2005. V. 88. № 2. P. 217–233.
 - Folstein M.F., Folstein S.E., McHugh P.R. // J. Psychiatr. Res. 1975. V. 12. № 3. P. 189–198.
 - Witwer K.W., Buzás E.I., Bemis L.T., Bora A., Lässer C., Lötvall J., Nolte-‘t Hoen E.N., Piper M.G., Sivaraman S., Skog J., Théry C., Wauben M.H., Hochberg F. // J. Extracell. Vesicles. 2013. V. 2. № 1. P. 20360.
 - Gamez-Valero A., Monguio-Tortajada M., Carreras-Planella L., Marcel-la F., Beyer K., Borras F.E. // Sci. Rep. 2016. V. 6. P. 33641.
 - Rider M.A., Hurwitz S.N., Meckes D.G. // Sci. Rep. 2016. V. 6. P. 23978.
 - Osteikoetxea X., Balogh A., Szabo-Taylor K., Nemeth A., Szabo T.G., Paloczi K., Sodar B., Kittel A., Gyorgy B., Pallinger E., Matko J., Buzas E.I. // PLoS One. 2015. V. 10. № 3. e0121184.
 - Goetzl E.J., Boxer A., Schwartz J.B., Abner E.L., Petersen R.C., Miller B.L., Kapogiannis D. // Neurology. 2015. V. 85. № 1. P. 40–47.
 - Schiera G., Di Liegro C.M., Di Liegro I. // Int. J. Mol. Sci. 2019. V. 21. № 1. 266.
 - Yakovlev A.A., Lyzhin A.A., Aleksandrova O.P., Khaspekov L.G., Gulyaeva N.V. // Biochem. Suppl. Ser. B Biomed. Chem. 2020. V. 14. № 1. P. 1–5.
 - Giricz Z., Varga Z.V, Baranyai T., Sipos P., Paloczi K., Kittel A., Buzas E.I., Ferdinandy P. // J. Mol. Cell. Cardiol. 2014. V. 68. P. 75–78.
 - Hoshino A., Costa-Silva B., Shen T.L., Rodrigues G., Hashimoto A., Tesic Mark M., Molina H., Kohsaka S., Di Giannatale A., Ceder S., Singh S., Williams C., Soplop N., Uryu K., Pharmer L., King T., Bojmar L., Davies A.E., Ararso Y., Zhang T., Zhang H., Hernandez J., Weiss J.M., Dumont-Cole V.D., Kramer K., Wexler L.H., Narendran A., Schwartz G.K., Healey J.H., Sandstrom P., Jørgen Labori K., Kure E.H., Grandgenett P.M., Hollingsworth M.A., De Sousa M., Kaur S., Jain M., Mallya K., Batra S.K., Jarnagin W.R., Brady M.S., Fodstad O., Muller V., Pantel K., Minn A.J., Bissell M.J., Garcia B.A., Kang Y., Rajasekhar V.K., Ghajar C.M., Matei I., Peinado H., Bromberg J., Lyden D. // Nature. 2015. V. 527. № 7578. P. 329–335.
 - Gomez-Molina C., Sandoval M., Henzi R., Ramirez J.P., Varas-Godoy M., Luarte A., Lafourcade C.A., Lopez-Verrilli A., Smalla K.H., Kaehne T., Wyneken U. // Int. J. Neuropsychopharmacol. 2019. V. 22. № 3. P. 232–246.
 - Gulyaeva N.V. // Biochemistry-Moscow. 2019. V. 84. № 11. P. 1306–1328.
 - Saeedi S., Israel S., Nagy C., Turecki G. // Transl. Psychiatry. 2019. V. 9. № 1. P. 122.
 - Ceylan D., Tufekci K.U., Keskinoglu P., Genc S., Özerdem A. // J. Affect. Disord. 2020. V. 262. P. 99–107.
 - Fries G.R., Lima C.N.C., Valvassori S.S., Zunta-Soares G., Soares J.C., Quevedo J. // J. Affect. Disord. 2019. V. 255. P. 10–14.
 - Kapogiannis D., Dobrowolny H., Tran J., Mustapic M., Frodl T., Meyer-Lotz G., Schiltz K., Schanze D., Rietschel M., Bernstein H.G., Steiner J. // Eur. Psychiatry. 2019. V. 62. P. 124–129.
 - Amoah S.K., Rodriguez B.A., Logothetis C.N., Chander P., Sellgren C.M., Weick J.P., Sheridan S.D., Jantzie L.L., Webster M.J., Mellios N. // Neuropsychopharmacology. 2020. V. 45. № 4. P. 656–665.
 - Goetzl E.J., Srihari V.H., Guloksuz S., Ferrara M., Tek C., Heninger G.R. // FASEB J. 2021. V. 35. № 2. e21339.
 - Ke F., Xu J.X., Chen X.X., Gao X.R., Huang L.L., Du A.Q., Jiang C., Ge J.F. // J. Affect. Disord. 2020. V. 274. P. 144–158.
 - Kuwano N., Kato T.A., Mitsuhashi M., Sato-Kasai M., Shimokawa N., Hayakawa K., Ohgidani M., Sagata N., Kubo H., Sakurai T., Kanba S. // J. Affect. Disord. 2018. V. 240. P. 88–98.
 - Nasca C., Dobbin J., Bigio B., Watson K., de Angelis P., Kautz M., Cochran A., Mathe A.A., Kocsis J.H., Lee F.S., Murrough J.W., McEwen B.S., Rasgon N. // Mol. Psychiatry. 2021. V. 26. № 9. P. 5140–5149.
 - Fruhbeis C., Frohlich D., Kuo W.P., Kramer-Albers E.M. // Front. Cell. Neurosci. 2013. V. 7. P. 182.
 - Brites D., Fernandes A. // Front. Cell. Neurosci. 2015. V. 9. 476.
 - Zhang Y., Zhao Y., Tian C., Wang J., Li W., Zhong C. // Eur. J. Psychiatry. 2018. V. 32. № 3. P. 105–112.
 - Hulsmans M., Holvoet P. // Cardiovasc. Res. 2013. V. 100. № 1. P. 7–18.
 - Lin Z.J., Gu Y.X., Zhou R.J., Wang M.L., Guo Y., Chen Y.Y., Ma J.H., Xiao F., Wang X.F., Tian X. // Front. Neurosci. 2020. V. 14. P. 737.
 - Gao X.Y., Mian G., Liu J., Zhu Y.M., Cui Y., Shu S.J., Gou H.Y., Sun F.X., Qi S.H., Sun J.H. // J. Cell. Mol. Med. 2020. V. 24. № 22. P. 12980–12993.
 - van Niel G., D’Angelo G., Raposo G. // Nat. Rev. Mol. Cell Biol. 2018. V. 19. № 4. P. 213–228.
 - Skryabin G.O., Komelkov A.V., Savelyeva E.E., Tchevkina E.M. // Biochem. 2020. V. 85. № 2. P. 177–191.
 - Tan C.F., Teo H.S., Park J.E., Dutta B., Tse S.W., Leow M.K.S., Wahli W., Sze S.K. // Cells. 2020. V. 9. № 5. P. 1320.
 - Bijnsdorp I.V., Maxouri O., Kardar A., Schelfhorst T., Piersma S.R., Pham T.V., Vis A., van Moorselaar R.J., Jimenez C.R. // J. Extracell. Vesicles. 2017. V. 6. P. 1313091.
 - Ciferri S., Emiliani C., Guglielmini G., Orlacchio A., Nenci G.G., Gresele P. // Thromb. Haemost. 2000. V. 83. № 1. P. 157–164.
 - Kormelink T.G., Arkesteijn G.J.A., van de Lest C.H.A., Geerts W.J.C., Goerdayal S.S., Altelaar M.A.F., Redegeld F.A., Nolte-’t Hoen E.N.M., Wauben M.H.M. // J. Immunol. 2016. V. 197. № 8. P. 3382–3392.
 - Yakovlev A.A., Gulyaeva N.V. // Biochem. 2015. V. 80. № 2. P. 163–171.
 - Jaiswal J.K., Andrews N.W., Simon S.M. // J. Cell Biol. 2002. V. 159. № 4. P. 625–635.
 - Min S.H., Suzuki A., Stalker T.J., Zhao L., Wang Y.H., McKennan C., Riese M.J., Guzman J.F., Zhang S.H., Lian L.R., Joshi R., Meng R.H., Seeholzer S.H., Choi J.K., Koretzky G., Marks M.S., Abrams C.S. // Nat. Commun. 2014. V. 5. P. 4691.
 - Hessvik N.P., Verbye A., Brech A., Torgersen M.L., Jakobsen I.S., Sandvig K., Llorente A. // Cell. Mol. Life Sci. 2016. V. 73. № 24. P. 4717–4737.
 - Yang Y., Qin M.L., Bao P.H., Xu W.C., Xu J. // PLoS One. 2017. V. 12. № 7. e0180892.
 - Medina D.L., Fraldi A., Bouche V., Annunziata F., Mansueto G., Spampanato C., Puri C., Pignata A., Martina J.A., Sardiello M., Palmieri M., Polishchuk R., Puertollano R., Ballabio A. // Dev. Cell. 2011. V. 21. № 3. P. 421–430.
 - Buratta S., Tancini B., Sagini K., Delo F., Chiaradia E., Urbanelli L., Emiliani C. // Int. J. Mol. Sci. 2020. V. 21. № 7. P. 2576.
 - Machado E., White-Gilbertson S., van de Vlekkert D., Janke L., Moshiach S., Campos Y., Finkelstein D., Gomero E., Mosca R., Qiu X.H., Morton C.L., Annunziata I., d’Azzo A. // Sci. Adv. 2015. V. 1. № 11. e1500603.
 - Kim M.S., Muallem S., Kim S.H., Kwon K.B. // Biochem. Biophys. Res. Commun. 2019. V. 510. № 3. P. 409–415.
 - Miao Y.X., Li G.J., Zhang X.L., Xu H.X., Abraham S.N. // Cell. 2015. V. 161. № 6. P. 1306–1319.
 - Basisty N., Kale A., Jeon O.H., Kuehnemann C., Payne T., Rao C., Holtz A., Shah S., Sharma V., Ferrucci L., Campisi J., Schilling B. // Plos Biol. 2020. V. 18. № 1. e3000599.
 - Yadati T., Houben T., Bitorina A., Shiri-Sverdlov R. // Cells. 2020. V. 9. № 7. P. 1679.
 - Hoppe G., O’Neil J., Hoff H.F., Sears J. // Biochim. Biophys. Acta-Molecular Basis Dis. 2004. V. 1689. № 1. P. 33–41.
 - Deng D., Jiang N., Hao S.J., Sun H., Zhang G.J. // Biochim. Biophys. Acta-Biomembranes. 2009. V. 1788. № 2. P. 470–476.
 - Boya P., Kroemer G. // Oncogene. 2008. V. 27. № 50. P. 6434–6451.
 - Raposo G., Stoorvogel W. // J. Cell Biol. 2013. V. 200. № 4. P. 373–383.
 - Settembre C., Fraldi A., Medina D.L., Ballabio A. // Nat. Rev. Mol. Cell Biol. 2013. V. 14. № 5. P. 283–296.
 - Maxfield F.R., McGraw T.E. // Nat. Rev. Mol. Cell Biol. 2004. V. 5. № 2. P. 121–132.
 
补充文件
				
			
						
						
						
						
					
				





