JNK (c-Jun N-Terminal Kinase) Inhibitor IQ-1S Suppresses Premature Aging of OXYS Rat Brain
- Authors: Zhdankina A.A.1, Osipenko A.N.1, Tikhonov D.I.1, Logvinov S.V.1, Plotnikov M.B.2, Khlebnikov A.I.3, Kolosova N.G.4
 - 
							Affiliations: 
							
- Department of Histology, Embryology and Cytology, Siberian State Medical University
 - Department of Pharmacology, Goldberg Research Institute of Pharmacology and Regenerative Medicine
 - Kizhner Research Center, Tomsk Polytechnic University
 - Federal Research Center Institute of Cytology and Genetics SB RAS
 
 - Issue: Vol 40, No 3 (2023)
 - Pages: 245-256
 - Section: Experimental Articles
 - URL: https://bakhtiniada.ru/1027-8133/article/view/140524
 - DOI: https://doi.org/10.31857/S1027813323030214
 - EDN: https://elibrary.ru/YVJZKI
 - ID: 140524
 
Cite item
Full Text
Abstract
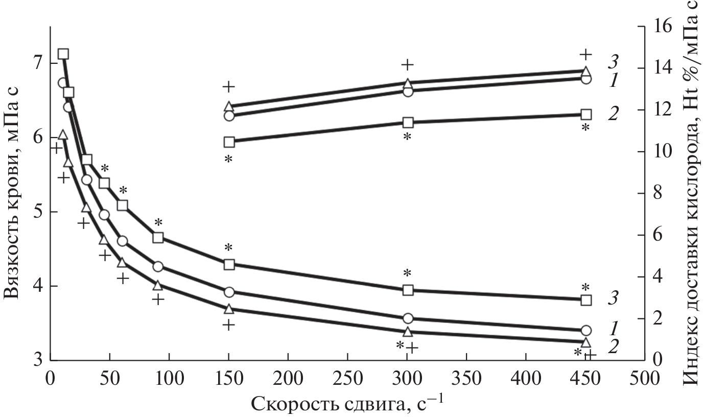
According to the international organization Alzheimer’s Disease International (ADI), about 50 million people in the world suffer from Alzheimer’s disease (AD). However, there are no effective methods for preventing and slowing down the progression of AD. Inhibition of the c-Jun N-terminal kinase (JNK) signaling pathway is being discussed as an alternative way to prevent the development of AD and other neurodegenerative diseases. In the present study, we evaluated the ability of a recently synthesized selective JNK3 inhibitor, 11H‑indeno[1,2-b]quinoxalin-11-on oxime sodium (IQ-1S), to suppress neurodegenerative processes in OXYS rats at an early stage of development of signs of AD at the age of 4, 5 to 6 months. Treatment with IQ-1S (50 mg/kg intragastrically) led to the suppression of the development of neurodegenerative processes in the cerebral cortex of OXYS rats: an increase in the proportion of unchanged neurons, a decrease in the proportion of neurons with signs of destruction and irreversible damage, and a normalization of the glioneuronal index, which was facilitated by a decrease in the severity of hyperviscosity syndrome blood in OXYS rats. The use of the JNK3 inhibitor IQ-1S may be a promising strategy for the prevention of early neurodegenerative disorders and, possibly, the treatment of AD.
About the authors
A. A. Zhdankina
Department of Histology, Embryology and Cytology, Siberian State Medical University
														Email: nchjournal@gmail.com
				                					                																			                												                								Russia, Tomsk						
A. N. Osipenko
Department of Histology, Embryology and Cytology, Siberian State Medical University
														Email: nchjournal@gmail.com
				                					                																			                												                								Russia, Tomsk						
D. I. Tikhonov
Department of Histology, Embryology and Cytology, Siberian State Medical University
														Email: nchjournal@gmail.com
				                					                																			                												                								Russia, Tomsk						
S. V. Logvinov
Department of Histology, Embryology and Cytology, Siberian State Medical University
														Email: nchjournal@gmail.com
				                					                																			                												                								Russia, Tomsk						
M. B. Plotnikov
Department of Pharmacology, Goldberg Research Institute of Pharmacology and Regenerative Medicine
														Email: nchjournal@gmail.com
				                					                																			                												                								Russia, Tomsk						
A. I. Khlebnikov
Kizhner Research Center, Tomsk Polytechnic University
														Email: nchjournal@gmail.com
				                					                																			                												                								Russia, Tomsk						
N. G. Kolosova
Federal Research Center Institute of Cytology and Genetics SB RAS
														Email: nchjournal@gmail.com
				                					                																			                												                								Russia, Novosibirsk						
References
- Fazio S., Pace D., Maslow K., Zimmerman S., Kallmyer B. // Gerontologist. 2018.V. 58. P. 1–9.
 - Cummings J., Lee G., Ritter A., Zhong K. // Alzheimers Dement. (NY). 2018.V. 201. P.195–214.
 - de Los Reyes Corrales T., Losada-Pérez M., Casas-Tintó S. // Int. J. Mol. Sci. 2021. V. 22. P. 1–12.
 - Yoon S.O., Park D.J., Ryu J.C., Ozer H.G., Tep C., Shin Y.J., Lim T.H., Pastorino L., Kunwar A.J., Walton J.C., Nagahara A.H., Lu K.P., Nelson R.J., Tuszynski M.H., Huang, K. // Neuron. 2012. V. 75. P. 824–837.
 - Yarza R., Vela S., Solas M., Ramirez M.J. // Front Pharmacol. 2015. V. 6. P. 1–12.
 - Qin P., Ran Y., Liu Y., Wei C., Luan X., Niu H., Peng J., Sun J., Wu J. // Bioorg. Chem. 2022. V. 128. P. 1–13.
 - Gourmaud S., Paquet C., Dumurgier J., Pace C., Bouras C., Gray F., Laplanche J.L., Meurs E.F., Mouton-Liger F., Hugon J. // J. Psychiatry Neurosci. 2015. V. 40. P. 151–161.
 - Jun J., Baek J., Yang S., Moon H., Kim H., Cho H., Hah J.M. // Int. J. Mol. Sci. 2021. V. 22. P. 1–17.
 - Jun J., Yang S., Lee J., Moon H., Kim J., Jung H., Im D., Oh Y., Jang M., Cho H., Baek J., Kim H., Kang D., Bae H., Tak C., Hwang K., Kwon H., Hah J.M. // Eur. J. Med. Chem. 2023. V. 245 P. 1–16.
 - Schepetkin I.A., Kirpotina L.N., Khlebnikov A.I., Hanks T.S., Kochetkova I., Pascual D.W., Jutila M.A., Quinn M.T. // Mol. Pharmacol. 2012. V. 8. P. 832–845.
 - Schepetkin I.A., Kirpotina L.N., Hammaker D., Kochetkova I., Khlebnikov A.I., Lyakhov S.A., Firestein G.S., Quinn M.T. // J. Pharmacol. Exp. Ther. 2015. V. 353. P. 505–516.
 - Schepetkin I.A., Khlebnikov A.I., Potapov A.S., Kovrizhina A.R., Matveevskaya V.V., Belyanin M.L., Atochin D.N., Zanoza S.O., Gaidarzhy N.M., Lyakhov S.A., Kirpotina L.N., Quinn M.T. // Eur. J. Med. Chem. 2019. V. 161. P. 179–191.
 - Stefanova N.A., Muraleva N.A., Korbolina E.E., Kiseleva E., Maksimova K.Y., Kolosova N.G. // Oncotarget. 2015. V. 6. P. 1396–1413.
 - Stefanova N.A., Kozhevnikova O.S., Vitovtov A.O., Maksimova K.Y., Logvinov S.V., Rudnitskaya E.A., Korbolina E.E., Muraleva N.A., Kolosova N.G. // Cell Cycle. 2014. V. 13. P. 898–909.
 - Stefanova N.A., Maksimova K.Y., Rudnitskaya E.A., Muraleva N.A., Kolosova N.G. // BMC Genomics. 2018. V. 19. P. 51–63.
 - Maslov M.Y., Chernysheva G.A., Smol’jakova V.I., Aliev O.I., Kolosova N.G., Plotnikov M.B. // Clin. Hemorheol. Microcirc. 2015. V. 60. P. 405–411.
 - Eisenmenger L.B., Peret A., Famakin B.M., Spahic A., Roberts G.S., Bockholt J.H., Johnson K.M., Paulsen J.S. // Transl. Res. 2022. V. 22. P. 41–53.
 - Zhdankina A.A., Tikhonov D.I., Logvinov S.V., Plotnikov M.B., Khlebnikov A.I., Kolosova N.G. // Biomedicines. 2023. V. 11. P. 1–16.
 - Kolosova N.G., Stefanova N.A., Korbolina E.E., Fursova A., Kozhevnikova O.S. // Adv. Gerontol. 2014. V. 27. P. 336–340.
 - Taylor C.R., Rudbeck L. // Corporation D. Immunohistochemical staining methods. Sixth edition. ed. Denmark: DAKO Corporation. 2013. P. 1–216.
 - Paxinos G., Watson C. // The rat brain in stereotaxic coordinates. Compact seventh edition. ed. London, United Kingdom; San Diego, C.A.: Elsevier Academic Press. 2018. P. 1–462.
 - Stoltz J.F., Donner M. // Schweiz. Med. Wochenschr. Suppl. 1991. V. 43. P. 41–49.
 - Ishida K., Shimizu H., Hida H., Urakawa S., Ida K., Nishino H. // Neuroscience. 2004. V. 125. P. 633–644.
 - Alexy T., Detterich J., Connes P., Toth K., Nader E., Kenyeres P., Arriola-Montenegro J., Ulker P., Simmonds M.J. // Front. Physiol. 2022. V. 13. P. 1–15.
 - Rudnitskaya E.A., Maksimova K.Y., Muraleva N.A., Logvinov S.V., Yanshole L.V., Kolosova N.G., Stefanova N.A. // Biogerontology. 2015. V. 16. P. 303–316.
 - Kolosova N.G., Tyumentsev M.A., Muraleva N.A., Kiseleva E., Vitovtov A.O., Stefanova N.A. // Curr. Alzheimer Res. 2017. V. 14. P. 1283–1292.
 - Testud B., Delacour C., El Ahmadi A.A., Brun G., Girard N., Duhamel G., Heesen C., Häußler V., Thaler C., Has Silemek A.C., Stellmann J. P. // Eur. J. Neurol. 2022. V. 29. P. 1741–1752.
 - Groves M.J., Scaravilli F. // Peripheral Neuropathy. 2005. P. 683–732.
 - Telegina D.V., Suvorov G.K., Kozhevnikova O.S., Kolo-sova N.G. // Int. J. Mol. Sci. 2019. V 20. P. 1–17.
 - Tyumentsev M.A., Stefanova N.A., Kiseleva E.V., Kolo-sova N.G. // Biochemistry. 2018. V. 83. P. 1083–1088.
 - Stefanova N.A., Muraleva N.A., Maksimova K.Y., Rudnitskaya E.A., Kiseleva E., Telegina D.V., Kolosova N.G. // Aging (Albany NY). 2016. V. 8. P. 2713–2733.
 - Salas I.H., Burgado J., Allen N.J. // Neurobiol. Dis. 2020. V. 143. P. 1–12.
 - Huffels C.M., Middeldorp J., Hol E.M. // Neurochem. Res. 2022. P. 1–21.
 - Rudnitskaya E.A., Burnyasheva A.O., Kozlova T.A., Peunov D.A., Kolosova N.G., Stefanova N.A. // Int. J. Mol. Sci. 2022. V. 23. P. 1–20.
 - Nimmerjahn A., Kirchhoff F., Helmchen F. // Science. 2005. V. 308. P. 1314–1318.
 - Plotnikov M.B., Chernysheva G.A., Aliev O.I., Smol’iakova V.I., Fomina T.I., Osipenko A.N., Rydchenko V.S., Anfinogenova Y.J., Khlebnikov A.I., Schepetkin I.A., Atochin D.N. // Molecules. 2019. V. 24. P. 1–23.
 - Plotnikov M.B., Aliev O.I., Shamanaev A.Y., Sidekhmenova A.V., Anishchenko A.M., Fomina T.I., Rydchenko V.S., Khlebnikov, A.I., Anfinogenova Y.J., Schepetkin I.A., Atochin D.N. // Hypertens. Res. 2020. V. 43. P. 1068–1078.
 
Supplementary files
				
			
					
						
						
						
						
				






