Distribution of vimentin in the human pancreatic islets in type 2 diabetes mellitus
- Authors: Krivova Y.S.1, Proshchina A.E.1, Otlyga D.A.1, Saveliev S.V.2
-
Affiliations:
- Avtsyn Research Institute of Human Morphology of Petrovsky National Research Centre of Surgery
- Avtsyn Research Institute of Human Morphology of Petrovsky National Research Center of Surgery
- Issue: Vol 161, No 3 (2023)
- Pages: 19-30
- Section: Original Study Articles
- URL: https://bakhtiniada.ru/1026-3543/article/view/256916
- DOI: https://doi.org/10.17816/morph.624118
- ID: 256916
Cite item
Abstract
BACKGROUND: The expression of vimentin, an intermediate filament protein, has been detected in pancreatic islet cells of individuals with type 2 diabetes (T2D). Some studies have suggested that vimentin is expressed in differentiating β-cells during the restoration of their mass in diabetes. According to an alternative hypothesis, vimentin activation occurs in β-cells undergoing dedifferentiation and reprogramming into α-cells leading to a decrease in β-cell mass and T2D development. However, no studies have simultaneously evaluated the distribution of vimentin and alterations in the endocrine pancreas in T2D.
AIM: The study aimed to compare the distribution of vimentin in the human pancreatic islets with the characteristics of the endocrine pancreas in T2D and in the absence of carbohydrate metabolism disorders.
MATERIALS AND METHODS: Pancreatic autopsy samples from 13 individuals with T2D and 9 without carbohydrate metabolism disorders (comparison group) were investigated using double immunofluorescent staining with antibodies to vimentin and either insulin or glucagon. Using morphometric method and statistical analysis, the following parameters were measured and compared in individuals with T2D and those without carbohydrate metabolism disorders: distribution density of islets, average diameter of islets, relative area of β-cells, relative area of α-cells, percentage of islets containing vimentin-positive cells, average number of vimentin-positive cells per islet, percentage of vimentin-positive cells containing insulin, and percentage of vimentin-positive cells containing glucagon.
RESULTS: Vimentin-positive cells, some of which simultaneously contained insulin or glucagon, were detected in the pancreatic islets of individuals with T2D and those without carbohydrate metabolism disorders. Quantitatively, all parameters reflecting the distribution of vimentin were increased in individuals with T2D. Along with this, the relative area of α-cells increased, and the β-cell to α-cell ratio decreased in individuals with T2D.
CONCLUSIONS: An increase in the number of vimentin-positive cells in the pancreatic islets of individuals with T2D was associated with an increase in the relative area of α-cells. The activation of vimentin expression in islet cells was assumed to be related to the effect of hyperglycemia or other metabolic factors associated with diabetes and, probably, reflected the dedifferentiation and reprogramming processes of islet cells that are triggered in diabetes.
Keywords
Full Text
ОБОСНОВАНИЕ
Белок промежуточных филаментов виментин служит маркёром клеток с мезенхимальным фенотипом и обычно не используется в исследованиях эндокринной части поджелудочной железы. Однако в ряде работ установлено, что виментин может экспрессироваться в эпителиоцитах протоков и эндокринных клетках (β и α) панкреатических островков при развитии поджелудочной железы и её регенерации [1–4], а также при сахарном диабете 2-го типа (СД 2-го типа) [5–7].
Причины появления виментин-положительных эндокринных клеток при СД 2-го типа до конца не ясны. По мнению ряда авторов, экспрессия виментина может наблюдаться в ходе дедифференцировки эпителиоцитов протоков в прогениторные клетки и последующей дифференцировки в β-клетки при возобновлении их массы у больных диабетом [3, 5]. В пользу этой гипотезы свидетельствуют результаты исследований на млекопитающих (мышь, крыса, овца), демонстрирующие, что виментин экспрессируется в эпителиальных клетках протоков и некоторых β- и α-клетках при развитии и регенерации поджелудочной железы [1–4]. Причём в части этих клеток одновременно экспрессируются маркёры пролиферации PCNA (proliferating cell nuclear antigen) и транскрипционные факторы Pdx1 (pancreatic and duodenal homeobox 1), Ngn3 (neurogenin 3) [3, 8]. При развитии поджелудочной железы Pdx1 играет ключевую роль в образовании её дорсального и вентрального зачатков и, позднее, в созревании β-клеток. Экспрессия Ngn3 необходима для дифференцировки всех типов эндокринных клеток. Многие авторы рассматривают присутствие клеток, коэкспрессирующих виментин с маркёрами эпителиальных клеток (цитокератином 20, Е-кадгерином, бета-катенином) и гормонами эндокринных клеток (инсулином, глюкагоном), как доказательство участия процессов эпителиально-мезенхимальной трансформации (ЭМТ) и мезенхимально-эпителиальной трансформации (МЭТ) в морфогенезе поджелудочной железы и, в частности, её эндокринной части [2, 5, 9]. Процесс ЭМТ широко распространён в биологии развития и заключается в выселении мигрирующих мезенхимальных клеток из эпителия [9, 10]. МЭТ является обратным процессом и заключается в агрегации мезенхимальных клеток в эпителиальные структуры [9]. Способность эпителиальных клеток к выселению, миграции и агрегации лежит в основе многих эмбриологических (гаструляция, формирование нервного гребня, развитие сердца и почек, сомитогенез) и патологических (регенерация тканей, заживление ран, фиброзы, метастазирование опухолей) процессов [9]. Считается, что при развитии поджелудочной железы процессы ЭМТ и МЭТ лежат в основе одного из механизмов образования панкреатических островков и нарастания массы эндокринных клеток — выселения клеток-предшественниц из эпителия протоков, их последующей миграции и агрегации в островки [1, 9, 11]. Таким образом, активация экспрессии виментина в эпителиоцитах протоков и эндокринных клетках поджелудочной железы при СД 2-го типа может свидетельствовать о регенерации массы β-клеток в ответ на увеличение потребности в инсулине.
В других исследованиях показано, что в эндокринной части поджелудочной железы лиц с СД 2-го типа присутствуют клетки, коэкспрессирующие виментин с инсулином, виментин с глюкагоном и инсулин с глюкагоном [6, 7]. В связи с этим высказано предположение, что экспрессия виментина может наблюдаться при дедифференцировке β-клеток в незрелые фенотипы и их перепрограммировании в α-клетки. Это приводит к снижению массы β-клеток, нарастанию дисфункции панкреатических островков и возникновению диабета [6, 7].
Однако исследования, оценивающие взаимосвязь между нарастанием количества виментин-положительных эндокринных клеток и состоянием эндокринной части поджелудочной железы, ранее не проводились.
Цель данного исследования — сопоставить распределение виментина в панкреатических островках людей при сахарном диабете 2-го типа и в отсутствие нарушений углеводного обмена с характеристиками эндокринной части поджелудочной железы.
МАТЕРИАЛЫ И МЕТОДЫ
Исследован аутопсийный материал поджелудочной железы 13 лиц (возраст — 42–82 года), страдавших СД 2-го типа, и 9 лиц (возраст — 61–88 лет) без нарушений углеводного обмена (группа сравнения) из коллекции лаборатории развития нервной системы Научно-исследовательского института морфологии человека имени академика А.П. Авцына Российского научного центра хирургии имени академика Б.В. Петровского. Проведение исследования было одобрено локальным этическим комитетом Научно-исследовательского института морфологии человека имени академика А.П. Авцына (Протокол № 33(9) от 07 февраля 2022 г.). Данные о половозрастных характеристиках лиц с СД 2-го типа и из группы сравнения представлены в приложении 1. Кусочки из тела поджелудочной железы размером 1×1×0,5 см фиксировали в нейтральном формалине (4% параформальдегид на 0,1М фосфатном буфере, рН=7,0–7,4) («БиоВитрум», Россия) не позднее чем через 8 ч после смерти, обезвоживали в спиртах восходящей концентрации и диоксане, заливали в парафин и готовили серийные срезы толщиной 7 мкм.
На парафиновых срезах проводили реакции двойного иммунофлуоресцентного окрашивания с использованием следующих комбинаций антител: кроличьи моноклональные антитела к виментину (1:50; Thermo Fisher Scientific, США; кат. № RM-9120-S1) + мышиные моноклональные антитела к инсулину (1:1000; Sigma-Aldrich, США; кат. № I2018); кроличьи моноклональные антитела к виментину (Thermo Fisher Scientific, США; кат. № RM-9120-S1) + мышиные моноклональные антитела к глюкагону (1:1000; Sigma-Aldrich, США; кат. № G2654). При проведении реакций срезы депарафинировали, регидратировали и инкубировали с 10% раствором нормальной козьей сыворотки (Santa Cruz Biotechnology, США) в трис-буферном растворе, содержащем 0,1% Tween 20 (TBST) (Thermo Fisher Scientific, США) для блокировки неспецифического связывания. Первичные антитела разводили в 10% растворе нормальной козьей сыворотки в TBST и инкубировали со срезами в течение 12 ч при +4 °С. В качестве вторичных антител применяли AlexaFluor®488 goat anti-mouse IgG (H+L) (1:200; Thermo Fisher Scientific, США; кат. № A11029) и AlexaFluor®555 goat anti-rabbit IgG (H+L) (1:200; Thermo Fisher Scientific, США; кат. № A21429). Вторичные антитела разводили в TBST и инкубировали со срезами в течение 2 ч при комнатной температуре. Для заключения срезов применяли среду, содержащую DAPI (Fluoroshield™ with DAPI) (Sigma-Aldrich, США; кат. № F6057). В каждую реакцию для каждого образца включали негативный контроль, в котором первичные антитела заменяли 10% раствором нормальной козьей сыворотки в TBST.
Полученные препараты анализировали при помощи флуоресцентного микроскопа «Микромед 3 ЛЮМ LED» (ООО «Наблюдательные приборы», Россия), оснащённого видеокамерой ToupCam (ToupTek Photonics, Китай) и соответствующим программным обеспечением (ToupView 3.7).
Морфометрический анализ проводили в программе ImageScopeM («Системы для микроскопии и анализа», Россия). Изображения для анализа получали с 8 срезов на образец (4 среза, окрашенных антителами к виментину и инсулину; 4 среза, окрашенных антителами к виментину и глюкагону); интервал между срезами составлял 200–210 мкм. Для каждого образца не менее чем в 40 непересекающихся кадрах при ×100 измеряли плотность распределения панкреатических островков (число островков в кадре), относительную площадь β- и α-клеток (процент площади среза, занимаемый окрашенной цитоплазмой β- или α-клеток), диаметр (расстояние по наибольшей оси) каждого островка в кадре. Затем вычисляли среднее значение для каждого параметра. Для оценки распределения виментина анализировали по 50 панкреатических островков на срезах, окрашенных антителами к виментину и инсулину, и по 50 панкреатических островков на срезах, окрашенных антителами к виментину и глюкагону, на образец при ×200. Для каждого островка отмечали наличие/отсутствие виментин-положительных клеток; подсчитывали число виментин-положительных клеток; число виментин-положительных клеток, содержащих инсулин; число виментин-положительных клеток, содержащих глюкагон. Затем вычисляли процент панкреатических островков, содержащих виментин-положительные клетки; среднее число виментин-положительных клеток в островке; процент виментин-положительных клеток, содержащих инсулин; процент виментин-положительных клеток, содержащих глюкагон.
Статистическую обработку данных проводили с использованием программного обеспечения Statistica 10 (Statsoft Inc., США). Для проверки нормальности распределения исследуемых параметров применяли тест Шапиро–Уилка. Поскольку число наблюдений в исследуемых группах различалось, а распределение ряда исследуемых параметров отличалось от нормального, для сравнения исследуемых параметров применяли непараметрический критерий (U-тест Манна–Уитни). Данные представляли как медиану и верхний и нижний квартили (Me [Q1; Q3]). Критический уровень значимости в данном исследовании принимали равным 0,05.
РЕЗУЛЬТАТЫ
Во всех исследованных образцах поджелудочной железы лиц с СД 2-го типа в панкреатических островках обнаружены крупные клетки с яркой иммуноположительной реакцией на виментин (рис. 1). Эти клетки располагались на периферии панкреатических островков или вблизи капилляров, часто контактировали с гормон-положительными клетками и отличались от виментин-положительных эндотелиальных клеток и клеток соединительной ткани по форме и распределению иммунореактивности к виментину. Стромальные клетки были преимущественно удлинённой, реже — овальной формы, с тонким ободком цитоплазмы вокруг ядра и длинными отростками; положительное окрашивание на виментин наблюдалось в цитоплазме вокруг ядра и в отростках. Кроме того, в строме железы присутствовали полигональные клетки с отростками, в которых при реакции на виментин окрашивались разнонаправленные филаменты в цитоплазме. В уплощённых эндотелиоцитах, образующих выстилку сосудов, окрашивание на виментин наблюдалось в цитоплазме. В составе панкреатических островков наряду со стромальными и эндотелиальными клетками присутствовали виментин-положительные клетки, характерными морфологическими отличиями которых были их округлая, овальная или полигональная форма, обильная цитоплазма вокруг ядра и отсутствие отростков. В большинстве таких клеток иммунореактивность к виментину была равномерно распределена в цитоплазме. В некоторых клетках выявлялись только виментин-положительные филаменты в отдельных участках цитоплазмы. В части виментин-положительных клеток обнаружена колокализация виментина с инсулином (рис. 1, a–c) или глюкагоном (рис. 1, d–f). Сходные виментин-положительные клетки, часть из которых одновременно содержат инсулин или глюкагон, присутствовали и в панкреатических островках у лиц из группы сравнения. Однако в панкреатических островках у этих лиц виментин-положительные клетки встречались реже, чем у лиц с СД 2-го типа.
Рис. 1. Виментин-положительные клетки (отмечены стрелками) в островках поджелудочной железы человека при сахарном диабете 2-го типа (пациентка 67 лет): a–c: двойное иммунофлуоресцентное окрашивание антителами к инсулину (зелёный) (b) и виментину (красный) (c); a — совмещённое изображение; ядра окрашены DAPI; в пунктирном квадрате стрелкой показано увеличенное изображение клетки с колокализацией виментина и инсулина; d–f: двойное иммунофлуоресцентное окрашивание антителами к глюкагону (зелёный) (d) и виментину (красный) (f); d — совмещённое изображение; ядра окрашены DAPI; в пунктирном квадрате стрелкой показано увеличенное изображение клетки с колокализацией виментина и глюкагона. Бар — 50 мкм
Fig. 1. Vimentin-positive cells (arrows) in the pancreatic islets of humans with T2D (woman, 67 years old): a–c: double immunofluorescent staining with antibodies to insulin (green) (b) and vimentin (red) (c); a — merged image; nuclei are stained by DAPI; arrowhead in the dotted square indicates enlarged image of cell with co-localization of insulin and vimentin; d–f: double immunofluorescent staining with antibodies to glucagon (green) (d) and vimentin (red) (f); d — merged image; nuclei are stained by DAPI; arrowhead in the dotted square indicates enlarged image of cell with co-localization of glucagon and vimentin. Bar — 50 µm
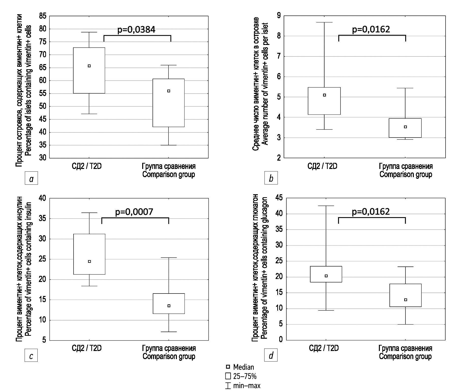
Для подтверждения качественных наблюдений проведён количественный морфометрический анализ. Средние значения исследованных морфометрических параметров в каждом случае представлены в приложении 1. Медианы и межквартильный интервал исследованных параметров в группе лиц с СД 2-го типа и в группе сравнения представлены в табл. 1. Все параметры, отражающие распределение виментина в панкреатических островках (процент островков, содержащих виментин-положительные клетки; среднее число виментин-положительных клеток в островке; процент виментин-положительных клеток, содержащих инсулин; процент виментин-положительных клеток, содержащих глюкагон), в группе лиц с СД 2-го типа были значимо выше, чем в группе сравнения (см. табл. 1, рис. 2). Необходимо отметить, что в большинстве виментин-положительных клеток реакция на инсулин и глюкагон была иммунонегативной. Доля виментин-положительных клеток, содержащих инсулин, и виментин-положительных клеток, содержащих глюкагон, составляла 24,5 и 20,4% соответственно в группе лиц с СД 2-го типа; 13,6 и 12,9% соответственно в группе сравнения.
Таблица 1. Распределение виментин-положительных клеток и характеристики эндокринного отдела поджелудочной железы в группе лиц с сахарным диабетом 2-го типа и в группе сравнения, Me [Q1; Q3]
Table 1. Distribution of vimentin-positive cells and characteristics of the endocrine pancreas in type 2 diabetes and comparison groups (Me [Q1; Q3])
Параметры | СД2/T2D (n=13) | Группа сравнения Comparison group (n=9) | p |
Распределение виментин-положительных клеток Distribution of vimentin-positive cells | |||
Процент панкреатических островков, содержащих виментин+ клетки Percentage of islets containing vimentin+ cells | 0,0384 | ||
Среднее число виментин+ клеток в панкреатических островках Average number of vimentin+ cells per islet | 0,0162 | ||
Процент виментин+ клеток, содержащих инсулин Percentage of vimentin+ cells containing insulin | 0,0007 | ||
Процент виментин+ клеток, содержащих глюкагон Percentage of vimentin+ cells containing glucagon | 0,0162 | ||
Характеристики эндокринной части поджелудочной железы Characteristics of the endocrine pancreas | |||
Плотность распределения панкреатических островков (число островков в кадре) Distribution density of islets (number of islets in the frame) | 0,9734 | ||
Средний диаметр панкреатических островков, мкм Average diameter of islets, µm | 0,7894 | ||
Относительная площадь β-клеток Relative area of β-cells | 0,8412 | ||
Относительная площадь α-клеток Relative area of α-cells | 0,0092 | ||
Отношение β- к α-клеткам β- to α-cells ratio | 0,0194 | ||
Рис. 2. Распределение виментин-положительных клеток в панкреатических островках при сахарном диабете 2-го типа и в группе сравнения: a — процент островков, содержащих виментин-положительные клетки; b — среднее число виментин-положительных клеток в островке; c — процент виментин-положительных клеток, содержащих инсулин; d — процент виментин-положительных клеток, содержащих глюкагон. Значимые различия между группами (U-тест Манна–Уитни) отмечены квадратной скобкой с указанием критического уровня значимости p. СД2 — сахарный диабет 2-го типа
Fig. 2. Distribution of vimentin-positive cells in the pancreatic islets in T2D and comparison group: a — percentage of islets containing vimentin-positive cells; b — average number of vimentin-positive cells per islet; c — percentage of vimentin-positive cells containing insulin; d — percentage of vimentin-positive cells containing glucagon. Significant differences between groups (Mann–Whitney U-test) are marked by square bracket and p-value. T2D — type 2 diabetes
При анализе характеристик эндокринной части поджелудочной железы установлено, что плотность распределения панкреатических островков, средний диаметр панкреатических островков и относительная площадь β-клеток у лиц с СД 2-го типа не отличались от таковых в группе сравнения (см. табл. 1, рис. 3, a–c). При этом у лиц с СД 2-го типа выявлено увеличение относительной площади α-клеток (см. табл. 1, рис. 3, d) и уменьшение отношения β-клеток к α-клеткам (см. табл. 1, рис. 3, e). Увеличение относительной площади α-клеток проявлялось присутствием в ткани железы большого числа панкреатических островков, в которых существенно преобладали глюкагон-положительные α-клетки (см. рис. 1, d–f).
Рис. 3. Характеристики эндокринной части поджелудочной железы у лиц с сахарным диабетом 2-го типа и в группе сравнения: a — плотность распределения панкреатических островков (число островков в кадре); b — средний диаметр панкреатических островков, мкм; c — относительная площадь β-клеток (процент площади среза, занимаемый окрашенной цитоплазмой β-клеток); d — относительная площадь α-клеток (процент площади среза, занимаемый окрашенной цитоплазмой α-клеток); e — отношение β- к α-клеткам. Значимые различия между группами (U-тест Манна-Уитни) отмечены квадратной скобкой с указанием критического уровня значимости p
Fig. 3. Characteristics of the endocrine pancreas in T2D and comparison groups: a — distribution density of islets (number of islets in the frame); b — average diameter of islets, µm; c — relative area of β-cells (percentage of the section area occupied by the stained cytoplasm of β-cells); d — relative area of α-cells (percentage of the section area occupied by the stained cytoplasm of α-cells); e — β- to α-cells ratio. Significant differences between groups (Mann–Whitney U-test) are marked by square bracket and p-value
ОБСУЖДЕНИЕ
В результате проведённого исследования показано, что виментин-положительные клетки, часть из которых содержат инсулин или глюкагон, присутствуют в панкреатических островках как у исследуемых с СД 2-го типа, так у лиц, не страдавших нарушениями углеводного обмена. Полученные количественные данные позволяют сделать вывод о том, что при СД 2-го типа количество виментин-положительных клеток нарастает. Наряду с этим в эндокринной части поджелудочной железы при неизменном размере панкреатических островков, плотности их распределения и относительной площади β-клеток отмечено нарастание относительной площади α-клеток.
По мнению ряда авторов, экспрессия виментина в эндокринных клетках наблюдается при СД 2-го типа и не выявляется в нормальной поджелудочной железе взрослых людей [3, 5, 7, 12]. Полученные нами результаты противоречат этим данным, но согласуются с данными M.M. Roefs и соавт. [6], свидетельствующими о присутствии виментин-положительных β- и α-клеток в нормальной поджелудочной железе и нарастании их количества при СД 2-го типа. Важно отметить, что в работах, выполненных на образцах поджелудочной железы взрослых людей, анализировали распределение иммунореактивности к виментину в инсулин- и глюкагон-положительных клетках, при этом присутствие в панкреатических островках виментин-положительных клеток, не содержащих гормоны, не отмечено [5–7]. В ходе нашего исследования установлено, что в панкреатических островках у взрослых людей присутствуют виментин-положительные клетки, которые по морфологическим характеристиками (округлая, овальная или полигональная форма, округлые ядра, отсутствие отростков) и распределению иммунореактивности к виментину (в большинстве клеток наблюдалось равномерное окрашивание на виментин в цитоплазме) отличались от виментин-положительных стромальных клеток и эндотелиоцитов. При этом колокализация виментина с инсулином или глюкагоном наблюдалась лишь в части этих клеток. Таким образом, в панкреатических островках взрослых людей присутствуют виментин-положительные клетки, сходные по морфологии с виментин-положительными эндокринными клетками, но не содержащие гормоны. Происхождение этих клеток остаётся неясным. Сходные виментин-положительные клетки ранее были описаны в панкреатических островках новорождённых с диабетической фетопатией [13], а также у крыс при моделировании диабета путём введения стрептозотоцина [14]. Предполагают, что такие клетки могут появляться в результате снижения экспрессии гормонов и активации экспрессии виментина в эндокринных клетках [14]. Однако нельзя полностью исключить тот факт, что по крайней мере часть из них представляет собой стромальные клетки или иные клетки мезенхимального происхождения, которые приобретают фенотип эндокринных клеток [14]. Кроме того, изменение фенотипа клеток с эпителиального на мезенхимальный, сопровождающееся активацией экспрессии мезенхимальных маркёров в эпителиальных клетках, может наблюдаться при различных патологических процессах, таких как, например, фиброз и метастазирование опухолей [10]. Поэтому для детальной морфофункциональной характеристики виментин-положительных клеток, в части из которых содержатся гормоны, и определения их происхождения необходимы дальнейшие исследования с применением комплекса фенотипических маркёров и эксперименты с отслеживанием судьбы клеток.
На сегодняшний день доказательства активации экспрессии виментина при неогенезе β-клеток у лиц с СД 2-го типа единичны и основываются преимущественно на фактах обнаружения иммунореактивности к виментину не только в эндокринных клетках, но и в эпителиоцитах протоков поджелудочной железы у лиц с СД 2-го типа [3, 5]. Однако виментин-положительные β-клетки у лиц с СД 2-го типа не экспрессируют транскрипционные факторы, необходимые для дифференцировки и созревания β-клеток, — Pdx1, Nkx6.1 (homeobox protein Nkx-6.1) [6]. Поэтому маловероятно, что такие клетки представляют собой дифференцирующиеся β-клетки. Наиболее вероятной представляется активация экспрессии виментина при дедифференцировке эндокринных клеток в менее зрелые фенотипы и перепрограммирование одних типов эндокринных клеток в другие. Например, у крыс при практически полной (около 99%) абляции β-клеток путём однократного введения стрептозотоцина в панкреатических островках обнаруживаются многочисленные округлые виментин-положительные клетки, коэкспрессирующие один из фенотипических маркёров α-клеток — MafB (musculoaponeurotic fibrosarcoma oncogene homolog B), который в α-клетках служит активатором экспрессии гена глюкагона. Эти клетки являются основным источником восстановления популяции инсулин-содержащих клеток при нормализации гликемии. По мнению авторов, при критическом снижении массы β-клеток активируется перепрограммирование α-клеток в β-клетки, сопровождающееся снижением экспрессии глюкагона и активацией экспрессии виментина в α-клетках, появлением виментин+/MafB+/глюкагон-клеток, которые впоследствии начинают экспрессировать инсулин [14]. С другой стороны, в литературе широко обсуждается феномен дегрануляции, дедифференцировки β-клеток и их перепрограммирования в α-клетки в условиях метаболического стресса [15–17]. Эти процессы также сопровождаются активацией экспрессии виментина в эндокринных клетках, что подтверждается как в экспериментальных исследованиях на животных [17], так и при культивировании эндокринных клеток поджелудочной железы человека [18]. Согласно нашим результатам, в панкреатических островках человека одновременно присутствуют клетки с различными фенотипами: экспрессирующие только виментин, а также коэкспрессирующие виментин с инсулином или глюкагоном. Число таких клеток нарастает при СД 2-го типа. На основании этих данных можно предположить, что в панкреатических островках человека происходят процессы дедифференцировки и перепрограммирования эндокринных клеток, активация которых наблюдается при СД 2-го типа.
Вопрос о том, какие процессы приводят к активации дедифференцировки и к перепрограммированию эндокринных клеток при СД 2-го типа, остаётся нерешённым. Ранее нами показано, что виментин-положительные клетки, в части из которых содержатся инсулин или глюкагон, присутствуют в значительном количестве в панкреатических островках детей, рождённых от матерей с сахарным диабетом (новорождённые с диабетической фетопатией), у которых наблюдается гиперсекреция инсулина β-клетками вследствие развития плода в условиях гипергликемии [13]. При этом нарастание числа виментин-положительных клеток у новорождённых с диабетической фетопатией ассоциировано с характерными изменениями в эндокринной части поджелудочной железы — гипертрофией и гиперплазией панкреатических островков, нарастанием плотности β- и α-клеток [13]. Поэтому маловероятно, что появление виментин-положительных клеток в островках человека отражает перепрограммирование α-клеток в β-клетки при критической потере массы β-клеток, как это было показано при моделировании диабета у крыс [14]. Скорее всего, нарастание числа виментин-положительных клеток в панкреатических островках человека связано с воздействием гипергликемии или других ассоциированных с ней метаболических факторов.
В ходе данного исследования у лиц с СД 2-го типа выявлено нарастание относительной площади α-клеток и уменьшение соотношения β- к α-клеткам по сравнению с группой лиц без нарушений углеводного обмена, при этом размер и плотность распределения панкреатических островков, а также относительная площадь β-клеток не отличались. Несмотря на существование значительных индивидуальных вариаций массы β- и α-клеток, в большинстве исследований отмечается снижение массы β-клеток у лиц с СД 2-го типа [19]. В ряде работ выявлено нарастание массы α-клеток при СД 2-го типа [19]. Отсутствие снижения массы β-клеток в исследованной нами группе лиц с СД 2-го типа, вероятно, обусловлено небольшим числом наблюдений, которые не представлялось возможным подразделить на подгруппы в зависимости от индекса массы тела, резистентности к инсулину и других параметров. В то же время сходные с нашими данные, демонстрирующие нарастание массы α-клеток у лиц с СД 2-го типа при неизменной массе β-клеток, были получены и другими исследователями [20]. Наши результаты позволяют говорить о том, что нарастание числа виментин-положительных клеток в панкреатических островках при СД 2-го типа ассоциировано с нарастанием плотности α-клеток. Можно предположить, что у лиц с данной патологией гипергликимия или другие ассоциированные с диабетом метаболические факторы приводят к активации процессов дегрануляции и дедифференцировки β-клеток и их перепрограммированию в α-клетки, что сопровождается экспрессией виментина, как это было показано при моделировании диабета у животных [17] и в экспериментальных работах на культурах клеток [18].
ЗАКЛЮЧЕНИЕ
Активация экспрессии мезенхимального маркёра виментина в эндокринных клетках связана с процессами эпителиально-мезенхимальной трансформации и мезенхимально-эпителиальной трансформации, которые могут наблюдаться как в ходе нормального развития и физиологического роста поджелудочной железы, так и при её регенерации и возникновении различных патологий. При сахарном диабете 2-го типа нарастание числа виментин-положительных клеток в панкреатических островках может отражать активацию неогенеза β-клеток, а также процессов дедифференцировки и перепрограммирования эндокринных клеток, таких как перепрограммирование α-клеток в β-клетки при критическом снижении массы β-клеток или, наоборот, процессов дедифференцировки β-клеток и их перепрограммирования в α-клетки при воздействии гипергликемии, приводящих к снижению массы β-клеток. Виментин-положительные клетки, в части которых содержатся инсулин или глюкагон, присутствуют в панкреатических островках как у лиц с сахарным диабетом 2-го типа, так и у лиц без нарушений углеводного обмена. Однако при сахарном диабете 2-го типа число таких клеток возрастает. Нарастание количества виментин-положительных клеток в панкреатических островках у лиц с сахарным диабетом 2-го типа ассоциировано с нарастанием относительной площади α-клеток. Возможно, появление виментин-положительных клеток в панкреатических островках связано с воздействием гипергликемии или других ассоциированных с ней метаболических факторов и отражает процессы дедифференцировки и перепрограммирования эндокринных клеток, активация которых наблюдается при сахарном диабете 2-го типа.
ДОПОЛНИТЕЛЬНАЯ ИНФОРМАЦИЯ
Приложение 1. Средние значения исследованных морфометрических параметров у лиц с сахарным диабетом 2-го типа и из группы сравнения (doi: 10.17816/morph.624118-4201739).
Источник финансирования. Проведение исследования и написание статьи осуществлено в рамках государственного задания № 123053000048-6.
Конфликт интересов. Авторы декларируют отсутствие явных и потенциальных конфликтов интересов, связанных с публикацией настоящей статьи.
Вклад авторов. Все авторы подтверждают соответствие своего авторства международным критериям ICMJE (все авторы внесли существенный вклад в разработку концепции, проведение исследования и подготовку статьи, прочли и одобрили финальную версию перед публикацией). Наибольший вклад распределён следующим образом: Ю.С. Кривова — дизайн исследования, проведение иммуногистохимических реакций, анализ препаратов и получение изображений, морфометрия и статистический анализ данных, подготовка и написание текста статьи; А.Е. Прощина — дизайн исследования, сбор и анализ литературных источников, редактирование текста статьи; Д.А. Отлыга — гистологическая обработка материала, морфометрия и статистический анализ данных, сбор и анализ литературных источников, редактирование текста статьи; С.В. Савельев — дизайн исследования, анализ препаратов, написание текста и редактирование статьи.
ADDITIONAL INFORMATION
Supplement 1. Mean values of investigated morphometric parameters in subjects with type 2 diabetes mellitus and from the comparison group (doi: 10.17816/morph.624118-4201739).
Funding source. The research and writing of the article were carried out within the framework of the state assignment N 123053000048-6.
Competing interests. The authors declare that they have no competing interests.
Authors’ contribution. All authors made a substantial contribution to the conception of the work, acquisition, analysis, interpretation of data for the work, drafting and revising the work, final approval of the version to be published and agree to be accountable for all aspects of the work. Yu.S. Krivova — study design, immunohistochemistry, analysis of preparations and image capturing, morphometry and statistical analysis, manuscript writing; A.E. Proshchina — study design, collection and analysis of literary sources, manuscript editing; D.A. Otlyga — histological processing of the material, morphometry and statistical analysis, collection and analysis of literary sources, manuscript editing; S.V. Saveliev — study design, analysis of preparations, manuscript writing and editing.
About the authors
Yuliya S. Krivova
Avtsyn Research Institute of Human Morphology of Petrovsky National Research Centre of Surgery
Author for correspondence.
Email: homulkina@rambler.ru
ORCID iD: 0000-0001-9692-3616
SPIN-code: 4653-9661
Cand. Sci. (Biology)
Russian Federation, MoscowAlexandra E. Proshchina
Avtsyn Research Institute of Human Morphology of Petrovsky National Research Centre of Surgery
Email: proshchina@yandex.ru
ORCID iD: 0000-0002-0515-8275
SPIN-code: 8899-5104
Dr. Sci. (Biology)
Russian Federation, MoscowDmitri A. Otlyga
Avtsyn Research Institute of Human Morphology of Petrovsky National Research Centre of Surgery
Email: otlyga@bk.ru
ORCID iD: 0000-0002-6719-3383
SPIN-code: 7593-4951
MD, Cand. Sci. (Medicine)
Russian Federation, MoscowSergey V. Saveliev
Avtsyn Research Institute of Human Morphology of Petrovsky National Research Center of Surgery
Email: braincase@yandex.ru
ORCID iD: 0000-0002-1447-7198
SPIN-code: 2079-6351
Dr. Sci. (Biology), Professor
Russian Federation, MoscowReferences
- Cole L, Anderson M, Antin PB, Limesand SW. One process for pancreatic beta-cell coalescence into islets involves an epithelial-mesenchymal transition. J Endocrinol. 2009;203(1):19–31. doi: 10.1677/JOE-09-0072
- Di Bella A, Regoli M, Nicoletti C, et al. An appraisal of intermediate filament expression in adult and developing pancreas: vimentin is expressed in alpha cells of rat and mouse embryos. J Histochem Cytochem. 2009;57(6):577–586. doi: 10.1369/jhc.2009.952861
- Ko SH, Suh SH, Kim BJ, et al. Expression of the intermediate filament vimentin in proliferating duct cells as a marker of pancreatic precursor cells. Pancreas. 2004;28(2):121–128. doi: 10.1097/00006676-200403000-00002
- Krivova YuS, Proshchina AE, Otlyga DA, Saveliev SV. Distribution of vimentin in the human pancreatic epithelial cells during prenatal development. Clinical and Experimental Morphology. 2017;(2):21–27. EDN: ZFIEBB
- Fanjul M, Gmyr V, Sengenès C, et al. Evidence for epithelial-mesenchymal transition in adult human pancreatic exocrine cells. J Histochem Cytochem. 2010;58(9):807–823. doi: 10.1369/jhc.2010.955807
- Roefs MM, Carlotti F, Jones K, et al. Increased vimentin in human α- and β-cells in type 2 diabetes. J Endocrinol. 2017;233(3):217–227. doi: 10.1530/JOE-16-0588
- White MG, Marshall HL, Rigby R, et al. Expression of mesenchymal and α-cell phenotypic markers in islet β-cells in recently diagnosed diabetes. Diabetes Care. 2013;36(11):3818–3820. doi: 10.2337/dc13-0705
- Chiang MK, Melton DA. Single-cell transcript analysis of pancreas development. Dev Cell. 2003;4(3):383–393. doi: 10.1016/s1534-5807(03)00035-2
- Nakaya Y, Sheng G. EMT in developmental morphogenesis. Cancer Lett. 2013;341(1):9–15. doi: 10.1016/j.canlet.2013.02.037
- Debnath P, Huirem RS, Dutta P, Palchaudhuri S. Epithelial-mesenchymal transition and its transcription factors. Biosci Rep. 2022;42(1):BSR20211754. doi: 10.1042/BSR20211754
- Rukstalis JM, Habener JF. Snail2, a mediator of epithelial-mesenchymal transitions, expressed in progenitor cells of the developing endocrine pancreas. Gene Expr Patterns. 2007;7(4):471–479. doi: 10.1016/j.modgep.2006.11.001
- Seeberger KL, Eshpeter A, Rajotte RV, Korbutt GS. Epithelial cells within the human pancreas do not coexpress mesenchymal antigens: epithelial-mesenchymal transition is an artifact of cell culture. Lab Invest. 2009;89(2):110–121. doi: 10.1038/labinvest.2008.122
- Krivova YS, Proshchina AE, Barabanov VM, et al. Immunohistochemical detection of vimentin in pancreatic islet β- and α-cells of macrosomic infants of diabetic and nondiabetic mothers. Early Hum Dev. 2018;117:44–49. doi: 10.1016/j.earlhumdev.2017.12.009
- Cheng Y, Kang H, Shen J, et al. Beta-cell regeneration from vimentin+/MafB+ cells after STZ-induced extreme beta-cell ablation. Sci Rep. 2015;5:11703. doi: 10.1038/srep11703
- Brereton MF, Iberl M, Shimomura K, et al. Reversible changes in pancreatic islet structure and function produced by elevated blood glucose. Nat Commun. 2014;5:4639. doi: 10.1038/ncomms5639
- Khin PP, Lee JH, Jun HS. A brief review of the mechanisms of β-cell dedifferentiation in type 2 diabetes. Nutrients. 2021;13(5):1593. doi: 10.3390/nu13051593
- Talchai C, Xuan S, Lin HV, et al. Pancreatic β cell dedifferentiation as a mechanism of diabetic β cell failure. Cell. 2012;150(6):1223–1234. doi: 10.1016/j.cell.2012.07.029
- Moreno-Amador JL, Téllez N, Marin S, et al. Epithelial to mesenchymal transition in human endocrine islet cells. PLoS One. 2018;13(1):e0191104. doi: 10.1371/journal.pone.0191104
- Inaishi J, Saisho Y. Beta-cell mass in obesity and type 2 diabetes, and its relation to pancreas fat: a mini-review. Nutrients. 2020;12(12):3846. doi: 10.3390/nu12123846
- Rahier J, Goebbels RM, Henquin JC. Cellular composition of the human diabetic pancreas. Diabetologia. 1983;24(5):366–371. doi: 10.1007/BF00251826
Supplementary files




