Resonant rotations of a dynamically symmetrical satellite with a ball damper in a circular orbit

Cover Page

Cite item

Full Text

Abstract

For a satellite with a ball damper, the effect of internal dissipation on rotational motion in the central gravitational field is studied. The equations of rotational motion of a dynamically symmetric satellite with a spherical damper in an elliptical orbit are obtained. For the case of a circular orbit, the spatial resonance rotations of a dynamically symmetric satellite with a ball damper were investigated using the averaging method.

Full Text

1. Введение. Данная работа является продолжением работ автора [1 MathType@MTEF@5@5@+=
feaahGart1ev3aqatCvAUfeBSjuyZL2yd9gzLbvyNv2Caerbov2D09
MBaeXatLxBI9gBaeXafv3ySLgzGmvETj2BSbqeeuuDJXwAKbsr4rNC
HbGeaGqipC0df9qqqrpepC0xbbL8F4rqqrFfpeea0de9Gq=Je9qspe
ea0xd9qs=xfrVkFHe9peei0dXdar=Jb9qqFfea0lrP0xe9Fve9Fve9
GapdbeqaaeGacaGaamaabeqaaeqabiabaaGcbaqefqvATv2CG4uz3b
IuV1wyUbacfaqcLbuaqaa6daaaOpWdbiaa=nbiaaa@4017@
8] по исследованию влияния внутренней диссипации на вращательное движение спутника в центральном гравитационном поле. В указанных работах для случая круговой орбиты подробно исследованы стационарные вращения спутника с демпфером и построены осредненные уравнения второго приближения, описывающие эволюцию вращательного движения спутника, в том числе и для случая, когда спутник (планета Земля) движется в поле двух притягивающих центров (Солнца и Луны) [7]. В работе [8] исследованы плоские резонансные и нерезонансные вращения спутника с демпфером на эллиптической орбите.

В данной работе исследуются резонансные эффекты в пространственных вращениях спутника с демпфером в гравитационном поле. Наличие таких эффектов обнаружено по результатам численного интегрирования уравнений движения спутника как на круговой, так и на эллиптической орбите. Эти резонансные эффекты обусловлены синхронизацией между вращательным движением спутника и движением его центра масс, причем проявляются они своеобразно: каждое резонансное вращение спутника с демпфером в гравитационном поле представляет собой эволюционирующий процесс, в котором величина угловой скорости спутника на протяжении всего процесса остается практически неизменной, кратной угловой скорости орбитального базиса, а ось вращения спутника монотонно эволюционирует в сторону нормали к плоскости орбиты.

Следует отметить, что анализ пространственных резонансных вращений спутника с демпфером представляет собой существенно более сложную задачу, чем анализ нерезонансных вращений. Здесь для аналитического обоснования существования и устойчивости резонансных вращений приходится использовать переменные, в которых уравнения движения спутника гораздо сложнее, чем те уравнения, с помощью которых исследовались нерезонансные вращения.

2. Уравнения вращательного движения динамически симметричного спутника с шаровым демпфером на эллиптической орбите в проекциях на оси базиса Кенига. Рассматривается спутник (планета, как спутник Солнца), состоящий из несущего твердого тела (оболочки) и внутреннего ядра, представляющего собой однородный шар, при относительных перемещениях которого возникает демпфирующий момент сил. Пусть Oe1e2e3 MathType@MTEF@5@5@+=
feaahGart1ev3aqatCvAUfeBSjuyZL2yd9gzLbvyNv2Caerbov2D09
MBaeXatLxBI9gBaeXafv3ySLgzGmvETj2BSbqeeuuDJXwAKbsr4rNC
HbGeaGqipC0df9qqqrpepC0xbbL8F4rqqrFfpeea0de9Gq=Je9qspe
ea0xd9qs=xfrVkFHe9peei0dXdar=Jb9qqFfea0lrP0xe9Fve9Fve9
GapdbeqaaeGacaGaamaabeqaaeqabiabaaGcbaqefqvATv2CG4uz3b
IuV1wyUbacfaqcLbuaqaa6daaaOpWdbiaa=nbiaaa@4017@
 связанный с оболочкой базис главных центральных осей инерции всего спутника. Обозначим через J = diag(A,B,C) главный центральный тензор инерции всего спутника, а через I MathType@MTEF@5@5@+=
feaahGart1ev3aqatCvAUfeBSjuyZL2yd9gzLbvyNv2Caerbov2D09
MBaeXatLxBI9gBaeXafv3ySLgzGmvETj2BSbqeeuuDJXwAKbsr4rNC
HbGeaGqipC0df9qqqrpepC0xbbL8F4rqqrFfpeea0de9Gq=Je9qspe
ea0xd9qs=xfrVkFHe9peei0dXdar=Jb9qqFfea0lrP0xe9Fve9Fve9
GapdbeqaaeGacaGaamaabeqaaeqabiabaaGcbaqefqvATv2CG4uz3b
IuV1wyUbacfaqcLbuaqaa6daaaOpWdbiaa=nbiaaa@4017@
 момент инерции демпфера относительно его центральной оси.

Действующий на спутник гравитационный момент определяется формулой [9]:

M g = 3kR×JR/ R 5 , MathType@MTEF@5@5@+=
feaahGart1ev3aqatCvAUfeBSjuyZL2yd9gzLbvyNv2Caerbov2D09
MBdbqedmvETj2BSbqefm0B1jxALjhiov2DaerbuLwBLnhiov2DGi1B
TfMBaebbnrfifHhDYfgasaacH8Wrpu0dbbf9q8qqaqpepec8Eeeu0x
Xdbba9frFj0=OqFfea0dXdd9vqaq=JfrVkFHe9pgea0dXdar=Jb9hs
0dXdbPYxe9vr0=vr0=vqpWqaaeaabiGaaiaacaqabeaadaabauaaaO
qaaiaah2eadaWgaaWcbaGaam4zaaqabaGccaaMe8Uaeyypa0ZaaSGb
aeaacaaIZaGaam4AaiaaykW7caWHsbGaey41aqRaaCOsaiaahkfaae
aacaWGsbWaaWbaaSqabeaacaaMc8UaaGynaaaaaaGccaaMb8Uaaiil
aaaa@4A39@
 (2.1)

где k = γM MathType@MTEF@5@5@+=
feaahGart1ev3aqatCvAUfeBSjuyZL2yd9gzLbvyNv2Caerbov2D09
MBaeXatLxBI9gBaeXafv3ySLgzGmvETj2BSbqeeuuDJXwAKbsr4rNC
HbGeaGqipC0df9qqqrpepC0xbbL8F4rqqrFfpeea0de9Gq=Je9qspe
ea0xd9qs=xfrVkFHe9peei0dXdar=Jb9qqFfea0lrP0xe9Fve9Fve9
GapdbeqaaeGacaGaamaabeqaaeqabiabaaGcbaqefqvATv2CG4uz3b
IuV1wyUbacfaqcLbuaqaa6daaaOpWdbiaa=nbiaaa@4017@
 постоянная тяготения, γ  MathType@MTEF@5@5@+=
feaahGart1ev3aqatCvAUfeBSjuyZL2yd9gzLbvyNv2Caerbov2D09
MBaeXatLxBI9gBaeXafv3ySLgzGmvETj2BSbqeeuuDJXwAKbsr4rNC
HbGeaGqipC0df9qqqrpepC0xbbL8F4rqqrFfpeea0de9Gq=Je9qspe
ea0xd9qs=xfrVkFHe9peei0dXdar=Jb9qqFfea0lrP0xe9Fve9Fve9
GapdbeqaaeGacaGaamaabeqaaeqabiabaaGcbaqefqvATv2CG4uz3b
IuV1wyUbacfaqcLbuaqaa6daaaOpWdbiaa=nbiaaa@4017@
 гравитационная постоянная, M MathType@MTEF@5@5@+=
feaahGart1ev3aqatCvAUfeBSjuyZL2yd9gzLbvyNv2Caerbov2D09
MBaeXatLxBI9gBaeXafv3ySLgzGmvETj2BSbqeeuuDJXwAKbsr4rNC
HbGeaGqipC0df9qqqrpepC0xbbL8F4rqqrFfpeea0de9Gq=Je9qspe
ea0xd9qs=xfrVkFHe9peei0dXdar=Jb9qqFfea0lrP0xe9Fve9Fve9
GapdbeqaaeGacaGaamaabeqaaeqabiabaaGcbaqefqvATv2CG4uz3b
IuV1wyUbacfaqcLbuaqaa6daaaOpWdbiaa=nbiaaa@4017@
 масса притягивающего тела (Солнца), R MathType@MTEF@5@5@+=
feaahGart1ev3aqatCvAUfeBSjuyZL2yd9gzLbvyNv2Caerbov2D09
MBaeXatLxBI9gBaeXafv3ySLgzGmvETj2BSbqeeuuDJXwAKbsr4rNC
HbGeaGqipC0df9qqqrpepC0xbbL8F4rqqrFfpeea0de9Gq=Je9qspe
ea0xd9qs=xfrVkFHe9peei0dXdar=Jb9qqFfea0lrP0xe9Fve9Fve9
GapdbeqaaeGacaGaamaabeqaaeqabiabaaGcbaqefqvATv2CG4uz3b
IuV1wyUbacfaqcLbuaqaa6daaaOpWdbiaa=nbiaaa@4017@
 радиус-вектор, соединяющий центр притяжения с центром масс спутника.

Обозначим через ω вектор абсолютной угловой скорости оболочки, а через Ω MathType@MTEF@5@5@+=
feaahGart1ev3aqatCvAUfeBSjuyZL2yd9gzLbvyNv2Caerbov2D09
MBaeXatLxBI9gBaeXafv3ySLgzGmvETj2BSbqeeuuDJXwAKbsr4rNC
HbGeaGqipC0df9qqqrpepC0xbbL8F4rqqrFfpeea0de9Gq=Je9qspe
ea0xd9qs=xfrVkFHe9peei0dXdar=Jb9qqFfea0lrP0xe9Fve9Fve9
GapdbeqaaeGacaGaamaabeqaaeqabiabaaGcbaqefqvATv2CG4uz3b
IuV1wyUbacfaqcLbuaqaa6daaaOpWdbiaa=nbiaaa@4017@
 вектор абсолютной угловой скорости демпфера. Полагаем, что действующий на демпфер диссипативный момент сил пропорционален относительной угловой скорости демпфера и определяется формулой:

M d = μ ˜ I(Ωω), MathType@MTEF@5@5@+=
feaahGart1ev3aqatCvAUfeBSjuyZL2yd9gzLbvyNv2Caerbov2D09
MBdbqedmvETj2BSbqefm0B1jxALjhiov2DaerbuLwBLnhiov2DGi1B
TfMBaebbnrfifHhDYfgasaacH8Wrpu0dbbf9q8qqaqpepec8Eeeu0x
Xdbba9frFj0=OqFfea0dXdd9vqaq=JfrVkFHe9pgea0dXdar=Jb9hs
0dXdbPYxe9vr0=vr0=vqpWqaaeaabiGaaiaacaqabeaadaabauaaaO
qaaiaah2eadaWgaaWcbaGaamizaaqabaGccqGH9aqpcqGHsislcuaH
8oqBgaacaiaaykW7caWGjbGaaiikaiabfM6axjaaysW7cqGHsislca
aMe8UaeqyYdCNaaiykaiaacYcaaaa@499F@
 (2.2)

где μ ˜ MathType@MTEF@5@5@+=
feaahGart1ev3aqatCvAUfeBSjuyZL2yd9gzLbvyNv2Caerbov2D09
MBaeXatLxBI9gBaeXafv3ySLgzGmvETj2BSbqeeuuDJXwAKbsr4rNC
HbGeaGqipC0df9qqqrpepC0xbbL8F4rqqrFfpeea0de9Gq=Je9qspe
ea0xd9qs=xfrVkFHe9peei0dXdar=Jb9qqFfea0lrP0xe9Fve9Fve9
GapdbeqaaeGacaGaamaabeqaaeqabiabaaGcbaWaaacaaeaacqaH8o
qBaiaawoWaaaaa@39AA@
  MathType@MTEF@5@5@+=
feaahGart1ev3aqatCvAUfeBSjuyZL2yd9gzLbvyNv2Caerbov2D09
MBaeXatLxBI9gBaeXafv3ySLgzGmvETj2BSbqeeuuDJXwAKbsr4rNC
HbGeaGqipC0df9qqqrpepC0xbbL8F4rqqrFfpeea0de9Gq=Je9qspe
ea0xd9qs=xfrVkFHe9peei0dXdar=Jb9qqFfea0lrP0xe9Fve9Fve9
GapdbeqaaeGacaGaamaabeqaaeqabiabaaGcbaqefqvATv2CG4uz3b
IuV1wyUbacfaqcLbuaqaa6daaaOpWdbiaa=nbiaaa@4017@
 коэффициент вязкого трения между оболочкой и демпфером.

Пусть центр масс спутника движется по эллиптической орбите. Оси базиса Кенига Oi1i2i3 выберем так, чтобы ось i3 совпадала с нормалью к плоскости орбиты, а ось i1 MathType@MTEF@5@5@+=
feaahGart1ev3aqatCvAUfeBSjuyZL2yd9gzLbvyNv2Caerbov2D09
MBaeXatLxBI9gBaeXafv3ySLgzGmvETj2BSbqeeuuDJXwAKbsr4rNC
HbGeaGqipC0df9qqqrpepC0xbbL8F4rqqrFfpeea0de9Gq=Je9qspe
ea0xd9qs=xfrVkFHe9peei0dXdar=Jb9qqFfea0lrP0xe9Fve9Fve9
GapdbeqaaeGacaGaamaabeqaaeqabiabaaGcbaqefqvATv2CG4uz3b
IuV1wyUbacfaqcLbuaqaa6daaaOpWdbiaa=nbiaaa@4017@
 с направлением на перицентр орбиты. Обозначим через r = R/R единичный вектор, сонаправленный с радиус-вектором центра масс спутника, а через n MathType@MTEF@5@5@+=
feaahGart1ev3aqatCvAUfeBSjuyZL2yd9gzLbvyNv2Caerbov2D09
MBaeXatLxBI9gBaeXafv3ySLgzGmvETj2BSbqeeuuDJXwAKbsr4rNC
HbGeaGqipC0df9qqqrpepC0xbbL8F4rqqrFfpeea0de9Gq=Je9qspe
ea0xd9qs=xfrVkFHe9peei0dXdar=Jb9qqFfea0lrP0xe9Fve9Fve9
GapdbeqaaeGacaGaamaabeqaaeqabiabaaGcbaqefqvATv2CG4uz3b
IuV1wyUbacfaqcLbuaqaa6daaaOpWdbiaa=nbiaaa@4017@
 истинную аномалию MathType@MTEF@5@5@+=
feaahGart1ev3aqatCvAUfeBSjuyZL2yd9gzLbvyNv2Caerbov2D09
MBaeXatLxBI9gBaeXafv3ySLgzGmvETj2BSbqeeuuDJXwAKbsr4rNC
HbGeaGqipC0df9qqqrpepC0xbbL8F4rqqrFfpeea0de9Gq=Je9qspe
ea0xd9qs=xfrVkFHe9peei0dXdar=Jb9qqFfea0lrP0xe9Fve9Fve9
GapdbeqaaeGacaGaamaabeqaaeqabiabaaGcbaqefqvATv2CG4uz3b
IuV1wyUbacfaqcLbuaqaa6daaaOpWdbiaa=nbiaaa@4017@
 угол между векторами r и i1 (рис. 1). Тогда будем иметь r = i1 cos
v + i2 sin v.

 

Рис. 1. Углы Эйлера.

  

В качестве безразмерного времени будем использовать среднюю аномалию τ = ω0t, где ω0 MathType@MTEF@5@5@+=
feaahGart1ev3aqatCvAUfeBSjuyZL2yd9gzLbvyNv2Caerbov2D09
MBaeXatLxBI9gBaeXafv3ySLgzGmvETj2BSbqeeuuDJXwAKbsr4rNC
HbGeaGqipC0df9qqqrpepC0xbbL8F4rqqrFfpeea0de9Gq=Je9qspe
ea0xd9qs=xfrVkFHe9peei0dXdar=Jb9qqFfea0lrP0xe9Fve9Fve9
GapdbeqaaeGacaGaamaabeqaaeqabiabaaGcbaqefqvATv2CG4uz3b
IuV1wyUbacfaqcLbuaqaa6daaaOpWdbiaa=nbiaaa@4017@
 средняя угловая скорость орбитального базиса, определяемая формулой:

ω 0 = k a 3 1/2 = k (1 e 2 ) 3 p 3 1/2 , MathType@MTEF@5@5@+=
feaahGart1ev3aqatCvAUfeBSjuyZL2yd9gzLbvyNv2Caerbov2D09
MBdbqedmvETj2BSbqefm0B1jxALjhiov2DaerbuLwBLnhiov2DGi1B
TfMBaebbnrfifHhDYfgasaacH8Wrpu0dbbf9q8qqaqpepec8Eeeu0x
Xdbba9frFj0=OqFfea0dXdd9vqaq=JfrVkFHe9pgea0dXdar=Jb9hs
0dXdbPYxe9vr0=vr0=vqpWqaaeaabiGaaiaacaqabeaadaabauaaaO
qaaiabeM8a3naaBaaaleaacaaIWaaabeaakiabg2da9maabmaabaWa
aSaaaeaacaWGRbaabaGaamyyamaaCaaaleqabaGaaG4maaaaaaaaki
aawIcacaGLPaaadaahaaWcbeqaamaalyaabaGaaGymaaqaaiaaikda
aaaaaOGaeyypa0ZaaeWaaeaadaWcaaqaaiaadUgacaaMc8Uaaiikai
aaigdacqGHsislcaWGLbWaaWbaaSqabeaacaaIYaaaaOGaaiykamaa
CaaaleqabaGaaG4maaaaaOqaaiaadchadaahaaWcbeqaaiaaiodaaa
aaaaGccaGLOaGaayzkaaWaaWbaaSqabeaadaWcgaqaaiaaigdaaeaa
caaIYaaaaaaakiaacYcaaaa@5161@
 (2.3)

здесь a MathType@MTEF@5@5@+=
feaahGart1ev3aqatCvAUfeBSjuyZL2yd9gzLbvyNv2Caerbov2D09
MBaeXatLxBI9gBaeXafv3ySLgzGmvETj2BSbqeeuuDJXwAKbsr4rNC
HbGeaGqipC0df9qqqrpepC0xbbL8F4rqqrFfpeea0de9Gq=Je9qspe
ea0xd9qs=xfrVkFHe9peei0dXdar=Jb9qqFfea0lrP0xe9Fve9Fve9
GapdbeqaaeGacaGaamaabeqaaeqabiabaaGcbaqefqvATv2CG4uz3b
IuV1wyUbacfaqcLbuaqaa6daaaOpWdbiaa=nbiaaa@4017@
 большая полуось орбиты спутника, p MathType@MTEF@5@5@+=
feaahGart1ev3aqatCvAUfeBSjuyZL2yd9gzLbvyNv2Caerbov2D09
MBaeXatLxBI9gBaeXafv3ySLgzGmvETj2BSbqeeuuDJXwAKbsr4rNC
HbGeaGqipC0df9qqqrpepC0xbbL8F4rqqrFfpeea0de9Gq=Je9qspe
ea0xd9qs=xfrVkFHe9peei0dXdar=Jb9qqFfea0lrP0xe9Fve9Fve9
GapdbeqaaeGacaGaamaabeqaaeqabiabaaGcbaqefqvATv2CG4uz3b
IuV1wyUbacfaqcLbuaqaa6daaaOpWdbiaa=nbiaaa@4017@
 параметр, e MathType@MTEF@5@5@+=
feaahGart1ev3aqatCvAUfeBSjuyZL2yd9gzLbvyNv2Caerbov2D09
MBaeXatLxBI9gBaeXafv3ySLgzGmvETj2BSbqeeuuDJXwAKbsr4rNC
HbGeaGqipC0df9qqqrpepC0xbbL8F4rqqrFfpeea0de9Gq=Je9qspe
ea0xd9qs=xfrVkFHe9peei0dXdar=Jb9qqFfea0lrP0xe9Fve9Fve9
GapdbeqaaeGacaGaamaabeqaaeqabiabaaGcbaqefqvATv2CG4uz3b
IuV1wyUbacfaqcLbuaqaa6daaaOpWdbiaa=nbiaaa@4017@
 эксцентриситет.

Введем переменные U, W, L и K согласно формулам:

U= w ω 0 , MathType@MTEF@5@5@+=
feaahGart1ev3aqatCvAUfeBSjuyZL2yd9gzLbvyNv2Caerbov2D09
MBdbqedmvETj2BSbqefm0B1jxALjhiov2DaerbuLwBLnhiov2DGi1B
TfMBaebbnrfifHhDYfgasaacH8Wrpu0dbbf9q8qqaqpepec8Eeeu0x
Xdbba9frFj0=OqFfea0dXdd9vqaq=JfrVkFHe9pgea0dXdar=Jb9hs
0dXdbPYxe9vr0=vr0=vqpWqaaeaabiGaaiaacaqabeaadaabauaaaO
qaaiaahwfacqGH9aqpdaWcaaqaaiaakEhaaeaacqaHjpWDdaWgaaWc
baGaaGimaaqabaaaaOGaaiilaaaa@3E92@
  W= Ww ω 0 , MathType@MTEF@5@5@+=
feaahGart1ev3aqatCvAUfeBSjuyZL2yd9gzLbvyNv2Caerbov2D09
MBdbqedmvETj2BSbqefm0B1jxALjhiov2DaerbuLwBLnhiov2DGi1B
TfMBaebbnrfifHhDYfgasaacH8Wrpu0dbbf9q8qqaqpepec8Eeeu0x
Xdbba9frFj0=OqFfea0dXdd9vqaq=JfrVkFHe9pgea0dXdar=Jb9hs
0dXdbPYxe9vr0=vr0=vqpWqaaeaabiGaaiaacaqabeaadaabauaaaO
qaaiaahEfacqGH9aqpdaWcaaqaaiaakEfacaaMe8UaeyOeI0IaaGjb
VlaakEhaaeaacqaHjpWDdaWgaaWcbaGaaGimaaqabaaaaOGaaiilaa
aa@437E@
 L = JU, K = I W, (2.4)

где U MathType@MTEF@5@5@+=
feaahGart1ev3aqatCvAUfeBSjuyZL2yd9gzLbvyNv2Caerbov2D09
MBaeXatLxBI9gBaeXafv3ySLgzGmvETj2BSbqeeuuDJXwAKbsr4rNC
HbGeaGqipC0df9qqqrpepC0xbbL8F4rqqrFfpeea0de9Gq=Je9qspe
ea0xd9qs=xfrVkFHe9peei0dXdar=Jb9qqFfea0lrP0xe9Fve9Fve9
GapdbeqaaeGacaGaamaabeqaaeqabiabaaGcbaqefqvATv2CG4uz3b
IuV1wyUbacfaqcLbuaqaa6daaaOpWdbiaa=nbiaaa@4017@
 безразмерная угловая скорость оболочки, W MathType@MTEF@5@5@+=
feaahGart1ev3aqatCvAUfeBSjuyZL2yd9gzLbvyNv2Caerbov2D09
MBaeXatLxBI9gBaeXafv3ySLgzGmvETj2BSbqeeuuDJXwAKbsr4rNC
HbGeaGqipC0df9qqqrpepC0xbbL8F4rqqrFfpeea0de9Gq=Je9qspe
ea0xd9qs=xfrVkFHe9peei0dXdar=Jb9qqFfea0lrP0xe9Fve9Fve9
GapdbeqaaeGacaGaamaabeqaaeqabiabaaGcbaqefqvATv2CG4uz3b
IuV1wyUbacfaqcLbuaqaa6daaaOpWdbiaa=nbiaaa@4017@
 безразмерная относительная угловая скорость демпфера, L MathType@MTEF@5@5@+=
feaahGart1ev3aqatCvAUfeBSjuyZL2yd9gzLbvyNv2Caerbov2D09
MBaeXatLxBI9gBaeXafv3ySLgzGmvETj2BSbqeeuuDJXwAKbsr4rNC
HbGeaGqipC0df9qqqrpepC0xbbL8F4rqqrFfpeea0de9Gq=Je9qspe
ea0xd9qs=xfrVkFHe9peei0dXdar=Jb9qqFfea0lrP0xe9Fve9Fve9
GapdbeqaaeGacaGaamaabeqaaeqabiabaaGcbaqefqvATv2CG4uz3b
IuV1wyUbacfaqcLbuaqaa6daaaOpWdbiaa=nbiaaa@4017@
 приведенный кинетический момент переносного движения спутника, K MathType@MTEF@5@5@+=
feaahGart1ev3aqatCvAUfeBSjuyZL2yd9gzLbvyNv2Caerbov2D09
MBaeXatLxBI9gBaeXafv3ySLgzGmvETj2BSbqeeuuDJXwAKbsr4rNC
HbGeaGqipC0df9qqqrpepC0xbbL8F4rqqrFfpeea0de9Gq=Je9qspe
ea0xd9qs=xfrVkFHe9peei0dXdar=Jb9qqFfea0lrP0xe9Fve9Fve9
GapdbeqaaeGacaGaamaabeqaaeqabiabaaGcbaqefqvATv2CG4uz3b
IuV1wyUbacfaqcLbuaqaa6daaaOpWdbiaa=nbiaaa@4017@
 приведенный кинетический момент относительного движения демпфера. Обозначим штрихом производную по безразмерному времени τ = ω0t. Используя теорему об изменении кинетического момента для всего спутника и для демпфера, получим динамические уравнения вращательного движения спутника в следующем виде:

L +I W = m g , MathType@MTEF@5@5@+=
feaahGart1ev3aqatCvAUfeBSjuyZL2yd9gzLbvyNv2Caerbov2D09
MBdbqedmvETj2BSbqefm0B1jxALjhiov2DaerbuLwBLnhiov2DGi1B
TfMBaebbnrfifHhDYfgasaacH8Wrpu0dbbf9q8qqaqpepec8Eeeu0x
Xdbba9frFj0=OqFfea0dXdd9vqaq=JfrVkFHe9pgea0dXdar=Jb9hs
0dXdbPYxe9vr0=vr0=vqpWqaaeaabiGaaiaacaqabeaadaabauaaaO
qaaiqahYeagaqbaiabgUcaRiaadMeacaaMc8UabC4vayaafaGaeyyp
a0JaaCyBamaaBaaaleaacaWGNbaabeaakiaacYcaaaa@4104@
 (2.5)

W + U =μW,μ= μ ˜ / ω 0 , MathType@MTEF@5@5@+=
feaahGart1ev3aaatCvAUfeBSjuyZL2yd9gzLbvyNv2Caerbov2D09
MBdbqedmvETj2BSbqefm0B1jxALjhiov2DaerbuLwBLnhiov2DGi1B
TfMBaebbnrfifHhDYfgasaacH8Wrpu0dbbf9q8qqaqpepec8Eeeu0x
Xdbba9frFj0=OqFfea0dXdd9vqaq=JfrVkFHe9pgea0dXdar=Jb9hs
0dXdbPYxe9vr0=vr0=vqpWqaaeaabiGaaiaacaqabeaadaabauaaaO
qaaiqahEfagaqbaiabgUcaRiqahwfagaqbaiaaysW7cqGH9aqpcaaM
e8UaeyOeI0IaeqiVd0MaaC4vaiaacYcacaaMc8UaaGPaVlaaykW7ca
aMc8UaaGPaVlabeY7aTjabg2da9maalyaabaGafqiVd0MbaGaaaeaa
cqaHjpWDdaWgaaWcbaGaeyimaadabeaaaaGccaGGSaaaaa@5325@
 (2.6)

где mg = Mg / ω 0 2 MathType@MTEF@5@5@+=
feaahGart1ev3aqatCvAUfeBSjuyZL2yd9gzLbvyNv2Caerbov2D09
MBaeXatLxBI9gBaeXafv3ySLgzGmvETj2BSbqeeuuDJXwAKbsr4rNC
HbGeaGqipC0df9qqqrpepC0xbbL8F4rqqrFfpeea0de9Gq=Je9qspe
ea0xd9qs=xfrVkFHe9peei0dXdar=Jb9qqFfea0lrP0xe9Fve9Fve9
GapdbeqaaeGacaGaamaabeqaaeqabiabaaGcbaGaeqyYdC3aa0baaS
qaaiaaicdaaeaacaaIYaaaaaaa@3AA2@
  MathType@MTEF@5@5@+=
feaahGart1ev3aqatCvAUfeBSjuyZL2yd9gzLbvyNv2Caerbov2D09
MBaeXatLxBI9gBaeXafv3ySLgzGmvETj2BSbqeeuuDJXwAKbsr4rNC
HbGeaGqipC0df9qqqrpepC0xbbL8F4rqqrFfpeea0de9Gq=Je9qspe
ea0xd9qs=xfrVkFHe9peei0dXdar=Jb9qqFfea0lrP0xe9Fve9Fve9
GapdbeqaaeGacaGaamaabeqaaeqabiabaaGcbaqefqvATv2CG4uz3b
IuV1wyUbacfaqcLbuaqaa6daaaOpWdbiaa=nbiaaa@4017@
 приведенный гравитационный момент, а μ  MathType@MTEF@5@5@+=
feaahGart1ev3aqatCvAUfeBSjuyZL2yd9gzLbvyNv2Caerbov2D09
MBaeXatLxBI9gBaeXafv3ySLgzGmvETj2BSbqeeuuDJXwAKbsr4rNC
HbGeaGqipC0df9qqqrpepC0xbbL8F4rqqrFfpeea0de9Gq=Je9qspe
ea0xd9qs=xfrVkFHe9peei0dXdar=Jb9qqFfea0lrP0xe9Fve9Fve9
GapdbeqaaeGacaGaamaabeqaaeqabiabaaGcbaqefqvATv2CG4uz3b
IuV1wyUbacfaqcLbuaqaa6daaaOpWdbiaa=nbiaaa@4017@
 безразмерный коэффициент вязкого трения.

Закон изменения истинной аномалии описывается уравнением:

ν = (1+ecosν) 2 (1 e 2 ) 3/2 . MathType@MTEF@5@5@+=
feaahGart1ev3aqatCvAUfeBSjuyZL2yd9gzLbvyNv2Caerbov2D09
MBdbqedmvETj2BSbqefm0B1jxALjhiov2DaerbuLwBLnhiov2DGi1B
TfMBaebbnrfifHhDYfgasaacH8Wrpu0dbbf9q8qqaqpepec8Eeeu0x
Xdbba9frFj0=OqFfea0dXdd9vqaq=JfrVkFHe9pgea0dXdar=Jb9hs
0dXdbPYxe9vr0=vr0=vqpWqaaeaabiGaaiaacaqabeaadaabauaaaO
qaaiqbe27aUzaafaGaeyypa0ZaaSaaaeaacaGGOaGaaGymaiabgUca
RiaadwgaciGGJbGaai4BaiaacohacqaH9oGBcaGGPaWaaWbaaSqabe
aacaaIYaaaaaGcbaGaaiikaiaaigdacqGHsislcaWGLbWaaWbaaSqa
beaacaaIYaaaaOGaaiykamaaCaaaleqabaWaaSGbaeaacaaIZaaaba
GaaGOmaaaaaaaaaOGaaiOlaaaa@4BBC@
 (2.7)

Ниже будем рассматривать случай динамически симметричного спутника, “сплюснутого” вдоль оси симметрии: A = B < C. Пусть e3 = e MathType@MTEF@5@5@+=
feaahGart1ev3aqatCvAUfeBSjuyZL2yd9gzLbvyNv2Caerbov2D09
MBaeXatLxBI9gBaeXafv3ySLgzGmvETj2BSbqeeuuDJXwAKbsr4rNC
HbGeaGqipC0df9qqqrpepC0xbbL8F4rqqrFfpeea0de9Gq=Je9qspe
ea0xd9qs=xfrVkFHe9peei0dXdar=Jb9qqFfea0lrP0xe9Fve9Fve9
GapdbeqaaeGacaGaamaabeqaaeqabiabaaGcbaqefqvATv2CG4uz3b
IuV1wyUbacfaqcLbuaqaa6daaaOpWdbiaa=nbiaaa@4017@
 единичный вектор оси симметрии. В этом случае гравитационный момент mg записывается в виде:

m g =3(CA)(re)r×e 1+ecosν 1 e 2 3 , MathType@MTEF@5@5@+=
feaahGart1ev3aqatCvAUfeBSjuyZL2yd9gzLbvyNv2Caerbov2D09
MBdbqedmvETj2BSbqefm0B1jxALjhiov2DaerbuLwBLnhiov2DGi1B
TfMBaebbnrfifHhDYfgasaacH8Wrpu0dbbf9q8qqaqpepec8Eeeu0x
Xdbba9frFj0=OqFfea0dXdd9vqaq=JfrVkFHe9pgea0dXdar=Jb9hs
0dXdbPYxe9vr0=vr0=vqpWqaaeaabiGaaiaacaqabeaadaabauaaaO
qaaiaah2gadaWgaaWcbaGaam4zaaqabaGccaaMe8Uaeyypa0JaaG4m
aiaaykW7caGGOaGaam4qaiabgkHiTiaadgeacaGGPaGaaiikaiaahk
hacqGHflY1caWHLbGaaiykaiaaykW7caWHYbGaey41aqRaaCyzamaa
bmaabaWaaSaaaeaacaaIXaGaey4kaSIaamyzaiGacogacaGGVbGaai
4Caiabe27aUbqaaiaaigdacqGHsislcaWGLbWaaWbaaSqabeaacaaI
YaaaaaaaaOGaayjkaiaawMcaamaaCaaaleqabaGaaG4maaaakiaacY
caaaa@5BE0@
 (2.8)

а связь между векторами U и L выражается формулой:

L=AU+(CA)(Ue)e(Le)=C(Ue). MathType@MTEF@5@5@+=
feaahGart1ev3aqatCvAUfeBSjuyZL2yd9gzLbvyNv2Caerbov2D09
MBdbqedmvETj2BSbqefm0B1jxALjhiov2DaerbuLwBLnhiov2DGi1B
TfMBaebbnrfifHhDYfgasaacH8Wrpu0dbbf9q8qqaqpepec8Eeeu0x
Xdbba9frFj0=OqFfea0dXdd9vqaq=JfrVkFHe9pgea0dXdar=Jb9hs
0dXdbPYxe9vr0=vr0=vqpWqaaeaabiGaaiaacaqabeaadaabauaaaO
qaaiaahYeacqGH9aqpcaWGbbGaaCyvaiabgUcaRiaacIcacaWGdbGa
eyOeI0IaamyqaiaacMcacaGGOaGaaCyvaiabgwSixlaahwgacaGGPa
GaaCyzaiaaykW7caaMc8UaaGPaVlaaykW7cqGHshI3caaMc8UaaGPa
VlaaykW7caaMc8UaaiikaiaahYeacqGHflY1caWHLbGaaiykaiabg2
da9iaadoeacaGGOaGaaCyvaiabgwSixlaahwgacaGGPaGaaiOlaaaa
@62CA@
 (2.9)

На основании этой формулы, учитывая уравнение движения оси симметрии

e =U×e, MathType@MTEF@5@5@+=
feaahGart1ev3aqatCvAUfeBSjuyZL2yd9gzLbvyNv2Caerbov2D09
MBdbqedmvETj2BSbqefm0B1jxALjhiov2DaerbuLwBLnhiov2DGi1B
TfMBaebbnrfifHhDYfgasaacH8Wrpu0dbbf9q8qqaqpepec8Eeeu0x
Xdbba9frFj0=OqFfea0dXdd9vqaq=JfrVkFHe9pgea0dXdar=Jb9hs
0dXdbPYxe9vr0=vr0=vqpWqaaeaabiGaaiaacaqabeaadaabauaaaO
qaaiqahwgagaqbaiabg2da9iaahwfacqGHxdaTcaWHLbGaaiilaaaa
@3EC1@
 (2.10)

получим

L =A U +(CA)[( U e)e+(Ue)U×e]( L e)=C( U e). MathType@MTEF@5@5@+=
feaahGart1ev3aqatCvAUfeBSjuyZL2yd9gzLbvyNv2Caerbov2D09
MBdbqedmvETj2BSbqefm0B1jxALjhiov2DaerbuLwBLnhiov2DGi1B
TfMBaebbnrfifHhDYfgasaacH8Wrpu0dbbf9q8qqaqpepec8Eeeu0x
Xdbba9frFj0=OqFfea0dXdd9vqaq=JfrVkFHe9pgea0dXdar=Jb9hs
0dXdbPYxe9vr0=vr0=vqpWqaaeaabiGaaiaacaqabeaadaabauaaaO
qaaiqahYeagaqbaiaaysW7cqGH9aqpcaWGbbGabCyvayaafaGaaGjb
VlabgUcaRiaacIcacaWGdbGaeyOeI0IaamyqaiaacMcacaGGBbGaai
ikaiqahwfagaqbaiaaysW7cqGHflY1caWHLbGaaiykaiaahwgacaaM
c8Uaey4kaSIaaiikaiaahwfacaaMe8UaeyyXICTaaCyzaiaacMcaca
aMc8UaaCyvaiaaysW7cqGHxdaTcaWHLbGaaGPaVlaac2facaaMc8Ua
aGPaVlaaykW7caaMc8UaeyO0H4TaaGPaVlaaykW7caaMc8UaaGPaVl
aacIcaceWHmbGbauaacaaMc8UaeyyXICTaaCyzaiaacMcacqGH9aqp
caWGdbGaaiikaiqahwfagaqbaiaaykW7cqGHflY1caWHLbGaaiykai
aac6caaaa@7E72@
 (2.11)

Из уравнений (2.5), (2.6) вследствие взаимной ортогональности векторов mg (2.8) и e следует

L I U = m g +μIW L eI U e=μIWe. MathType@MTEF@5@5@+=
feaahGart1ev3aqatCvAUfeBSjuyZL2yd9gzLbvyNv2Caerbov2D09
MBdbqedmvETj2BSbqefm0B1jxALjhiov2DaerbuLwBLnhiov2DGi1B
TfMBaebbnrfifHhDYfgasaacH8Wrpu0dbbf9q8qqaqpepec8Eeeu0x
Xdbba9frFj0=OqFfea0dXdd9vqaq=JfrVkFHe9pgea0dXdar=Jb9hs
0dXdbPYxe9vr0=vr0=vqpWqaaeaabiGaaiaacaqabeaadaabauaaaO
qaaiqahYeagaqbaiaaykW7cqGHsislcaWGjbGaaGjcVlqahwfagaqb
aiabg2da9iaah2gadaWgaaWcbaGaam4zaaqabaGccaaMc8Uaey4kaS
IaeqiVd0MaaGPaVlaadMeacaaMi8UaaC4vaiaaykW7caaMc8UaaGPa
VlabgkDiElaaykW7caaMc8UaaGPaVlqahYeagaqbaiaaykW7cqGHfl
Y1caWHLbGaeyOeI0IaamysaiaayIW7ceWHvbGbauaacaaMc8UaeyyX
ICTaaCyzaiabg2da9iabeY7aTjaaykW7caWGjbGaaGPaVlaahEfacq
GHflY1caWHLbGaaiOlaaaa@7081@
 (2.12)

Отсюда на основании формул (2.11) получаем:

(CI) U e=μIWe, MathType@MTEF@5@5@+=
feaahGart1ev3aqatCvAUfeBSjuyZL2yd9gzLbvyNv2Caerbov2D09
MBdbqedmvETj2BSbqefm0B1jxALjhiov2DaerbuLwBLnhiov2DGi1B
TfMBaebbnrfifHhDYfgasaacH8Wrpu0dbbf9q8qqaqpepec8Eeeu0x
Xdbba9frFj0=OqFfea0dXdd9vqaq=JfrVkFHe9pgea0dXdar=Jb9hs
0dXdbPYxe9vr0=vr0=vqpWqaaeaabiGaaiaacaqabeaadaabauaaaO
qaaiaaykW7caGGOaGaam4qaiabgkHiTiaadMeacaGGPaGabCyvayaa
faGaaGjbVlabgwSixlaahwgacqGH9aqpcqaH8oqBcaaMc8Uaamysai
aaykW7caWHxbGaeyyXICTaaCyzaiaacYcaaaa@4EAC@
 (2.13)

а уравнения (2.5), (2.6) приводятся к следующему виду:

U = 1 AI m g +(AC)(Ue)U×e+μI (AC)(We) CI e+μIW , MathType@MTEF@5@5@+=
feaahGart1ev3aqatCvAUfeBSjuyZL2yd9gzLbvyNv2Caerbov2D09
MBdbqedmvETj2BSbqefm0B1jxALjhiov2DaerbuLwBLnhiov2DGi1B
TfMBaebbnrfifHhDYfgasaacH8Wrpu0dbbf9q8qqaqpepec8Eeeu0x
Xdbba9frFj0=OqFfea0dXdd9vqaq=JfrVkFHe9pgea0dXdar=Jb9hs
0dXdbPYxe9vr0=vr0=vqpWqaaeaabiGaaiaacaqabeaadaabauaaaO
qaaiqahwfagaqbaiaaykW7cqGH9aqpdaWcaaqaaiaaigdaaeaacaWG
bbGaeyOeI0Iaamysaaaadaqadaqaaiaah2gadaWgaaWcbaGaam4zaa
qabaGccaaMc8Uaey4kaSIaaiikaiaadgeacqGHsislcaWGdbGaaiyk
aiaacIcacaWHvbGaeyyXICTaaCyzaiaacMcacaWHvbGaaGPaVlabgE
na0kaaykW7caWHLbGaaGjbVlabgUcaRiaaysW7cqaH8oqBcaaMc8Ua
amysamaalaaabaGaaiikaiaadgeacqGHsislcaWGdbGaaiykaiaacI
cacaWHxbGaaGPaVlabgwSixlaaysW7caWHLbGaaiykaaqaaiaadoea
cqGHsislcaWGjbaaaiaahwgacaaMe8Uaey4kaSIaeqiVd0MaaGPaVl
aadMeacaaMc8UaaC4vaaGaayjkaiaawMcaaiaacYcaaaa@76C1@
 (2.14)

W = 1 AI m g +(AC)(Ue)U×e+μI (AC)(We) CI e+μAW . MathType@MTEF@5@5@+=
feaahGart1ev3aaatCvAUfeBSjuyZL2yd9gzLbvyNv2Caerbov2D09
MBdbqedmvETj2BSbqefm0B1jxALjhiov2DaerbuLwBLnhiov2DGi1B
TfMBaebbnrfifHhDYfgasaacH8Wrpu0dbbf9q8qqaqpepec8Eeeu0x
Xdbba9frFj0=OqFfea0dXdd9vqaq=JfrVkFHe9pgea0dXdar=Jb9hs
0dXdbPYxe9vr0=vr0=vqpWqaaeaabiGaaiaacaqabeaadaabauaaaO
qaaiqahEfagaqbaiaaykW7cqGH9aqpcqGHsisldaWcaaqaaiaaigda
aeaacaWGbbGaeyOeI0Iaamysaaaadaqadaqaaiaah2gadaWgaaWcba
Gaam4zaaqabaGccaaMc8Uaey4kaSIaaiikaiaadgeacqGHsislcaWG
dbGaaiykaiaacIcacaWHvbGaaGjbVlabgwSixlaaysW7caWHLbGaai
ykaiaahwfacaaMc8Uaey41aqRaaGPaVlaahwgacqGHRaWkcqaH8oqB
caaMc8UaamysamaalaaabaGaaiikaiaadgeacqGHsislcaWGdbGaai
ykaiaacIcacaWHxbGaaGPaVlabgwSixlaaykW7caWHLbGaaiykaaqa
aiaadoeacqGHsislcaWGjbaaaiaahwgacaaMe8Uaey4kaSIaaGjbVl
abeY7aTjaaykW7caWGbbGaaC4vaaGaayjkaiaawMcaaiaac6caaaa@77A9@
 (2.15)

Определив безразмерные параметры ε и γ, характеризующие геометрию масс спутника, формулами

ε= CA AI , MathType@MTEF@5@5@+=
feaahGart1ev3aaatCvAUfeBSjuyZL2yd9gzLbvyNv2Caerbov2D09
MBdbqedmvETj2BSbqefm0B1jxALjhiov2DaerbuLwBLnhiov2DGi1B
TfMBaebbnrfifHhDYfgasaacH8Wrpu0dbbf9q8qqaqpepec8Eeeu0x
Xdbba9frFj0=OqFfea0dXdd9vqaq=JfrVkFHe9pgea0dXdar=Jb9hs
0dXdbPYxe9vr0=vr0=vqpWqaaeaabiGaaiaacaqabeaadaabauaaaO
qaaiabew7aLjabg2da9maalaaabaGaam4qaiabgkHiTiaadgeaaeaa
caWGbbGaeyOeI0IaamysaaaacaGGSaaaaa@4096@
γ= I AI MathType@MTEF@5@5@+=
feaahGart1ev3aaatCvAUfeBSjuyZL2yd9gzLbvyNv2Caerbov2D09
MBdbqedmvETj2BSbqefm0B1jxALjhiov2DaerbuLwBLnhiov2DGi1B
TfMBaebbnrfifHhDYfgasaacH8Wrpu0dbbf9q8qqaqpepec8Eeeu0x
Xdbba9frFj0=OqFfea0dXdd9vqaq=JfrVkFHe9pgea0dXdar=Jb9hs
0dXdbPYxe9vr0=vr0=vqpWqaaeaabiGaaiaacaqabeaadaabauaaaO
qaaiabeo7aNjabg2da9maalaaabaGaamysaaqaaiaadgeacqGHsisl
caWGjbaaaaaa@3E39@
 (2.16)

получим из (2.14), (2.15) следующую систему уравнений:

U =mε(Ue)U×e+μγWεμγ (We)e 1+ε =M, MathType@MTEF@5@5@+=
feaahGart1ev3aqatCvAUfeBSjuyZL2yd9gzLbvyNv2Caerbov2D09
MBdbqedmvETj2BSbqefm0B1jxALjhiov2DaerbuLwBLnhiov2DGi1B
TfMBaebbnrfifHhDYfgasaacH8Wrpu0dbbf9q8qqaqpepec8Eeeu0x
Xdbba9frFj0=OqFfea0dXdd9vqaq=JfrVkFHe9pgea0dXdar=Jb9hs
0dXdbPYxe9vr0=vr0=vqpWqaaeaabiGaaiaacaqabeaadaabauaaaO
qaaiqahwfagaqbaiaaykW7cqGH9aqpcaWHTbGaeyOeI0IaeqyTduMa
aiikaiaahwfacqGHflY1caWHLbGaaiykaiaahwfacaaMc8Uaey41aq
RaaGPaVlaahwgacqGHRaWkcqaH8oqBcqaHZoWzcaWHxbGaaGjbVlab
gkHiTiabew7aLjabeY7aTjabeo7aNnaalaaabaGaaiikaiaahEfacq
GHflY1caWHLbGaaiykaiaahwgaaeaacaaIXaGaey4kaSIaeqyTduga
aiabg2da9iaah2eacaGGSaaaaa@6477@
 (2.17)

W =m+ε(Ue)U×eμ(1+γ)W+εμγ (We)e 1+ε =MμW, MathType@MTEF@5@5@+=
feaahGart1ev3aqatCvAUfeBSjuyZL2yd9gzLbvyNv2Caerbov2D09
MBdbqedmvETj2BSbqefm0B1jxALjhiov2DaerbuLwBLnhiov2DGi1B
TfMBaebbnrfifHhDYfgasaacH8Wrpu0dbbf9q8qqaqpepec8Eeeu0x
Xdbba9frFj0=OqFfea0dXdd9vqaq=JfrVkFHe9pgea0dXdar=Jb9hs
0dXdbPYxe9vr0=vr0=vqpWqaaeaabiGaaiaacaqabeaadaabauaaaO
qaaiqahEfagaqbaiaaykW7cqGH9aqpcqGHsislcaWHTbGaey4kaSIa
eqyTduMaaiikaiaahwfacaaMe8UaeyyXICTaaGjbVlaahwgacaGGPa
GaaCyvaiabgEna0kaahwgacqGHsislcqaH8oqBcaGGOaGaaGymaiab
gUcaRiabeo7aNjaacMcacaWHxbGaey4kaSIaeqyTduMaeqiVd0Maeq
4SdC2aaSaaaeaacaGGOaGaaC4vaiaaysW7cqGHflY1caaMe8UaaCyz
aiaacMcacaWHLbaabaGaaGymaiabgUcaRiabew7aLbaacqGH9aqpcq
GHsislcaWHnbGaeyOeI0IaeqiVd0MaaC4vaiaacYcaaaa@6E52@
 (2.18)

где m MathType@MTEF@5@5@+=
feaahGart1ev3aqatCvAUfeBSjuyZL2yd9gzLbvyNv2Caerbov2D09
MBaeXatLxBI9gBaeXafv3ySLgzGmvETj2BSbqeeuuDJXwAKbsr4rNC
HbGeaGqipC0df9qqqrpepC0xbbL8F4rqqrFfpeea0de9Gq=Je9qspe
ea0xd9qs=xfrVkFHe9peei0dXdar=Jb9qqFfea0lrP0xe9Fve9Fve9
GapdbeqaaeGacaGaamaabeqaaeqabiabaaGcbaqefqvATv2CG4uz3b
IuV1wyUbacfaqcLbuaqaa6daaaOpWdbiaa=nbiaaa@4017@
 безразмерный гравитационный момент, определяемый формулой:

m= m g AI =3ε(re)r×e 1+ecosν 1 e 2 3 . MathType@MTEF@5@5@+=
feaahGart1ev3aqatCvAUfeBSjuyZL2yd9gzLbvyNv2Caerbov2D09
MBdbqedmvETj2BSbqefm0B1jxALjhiov2DaerbuLwBLnhiov2DGi1B
TfMBaebbnrfifHhDYfgasaacH8Wrpu0dbbf9q8qqaqpepec8Eeeu0x
Xdbba9frFj0=OqFfea0dXdd9vqaq=JfrVkFHe9pgea0dXdar=Jb9hs
0dXdbPYxe9vr0=vr0=vqpWqaaeaabiGaaiaacaqabeaadaabauaaaO
qaaiaah2gacqGH9aqpdaWcaaqaaiaah2gadaWgaaWcbaGaam4zaaqa
baaakeaacaWGbbGaeyOeI0IaamysaaaacqGH9aqpcaaIZaGaaGPaVl
abew7aLjaaykW7caGGOaGaaCOCaiabgwSixlaahwgacaGGPaGaaGPa
VlaahkhacqGHxdaTcaWHLbGaaGPaVpaabmaabaWaaSaaaeaacaaIXa
Gaey4kaSIaamyzaiGacogacaGGVbGaai4Caiabe27aUbqaaiaaigda
cqGHsislcaWGLbWaaWbaaSqabeaacaaIYaaaaaaaaOGaayjkaiaawM
caamaaCaaaleqabaGaaG4maaaakiaaygW7caGGUaaaaa@6155@
 (2.19)

Уравнения (2.17), (2.18), (2.10) и (2. 7) записаны в проекциях на оси базиса Кенига. Они образуют замкнутую систему относительно переменных U, W, e и v. При этом вектор U задает направление оси вращения оболочки спутника и величину ее безразмерной угловой скорости.

В проекциях на оси базиса Резаля O e 1 e 2 e 3 MathType@MTEF@5@5@+=
feaahGart1ev3aqatCvAUfeBSjuyZL2yd9gzLbvyNv2Caerbov2D09
MBdbqedmvETj2BSbqeeuuDJXwAKbsr4rNCHbGeaGqik8fkY=xipgYl
h9vqqj=hEeeu0xXdi9arFj0xirFj0dXdbba91qpK0=yr0RYxfr=Jbb
f9q8aq0=yq=He9q8qqQ8frFve9Fve9Ff0dmeaabaqaciaacaGaaeqa
baqabeGadaaakeaacaWGpbGaaGPaVlqahwgagaqbamaaBaaaleaaca
aIXaaabeaakiaaykW7ceWHLbGbauaadaWgaaWcbaGaaGOmaaqabaGc
caaMc8UaaCyzamaaBaaaleaacaaIZaaabeaaaaa@3C2E@
, задаваемого углами Эйлера
ψ и θ (рис. 1), уравнения (2.17), (2.18) и (2.10) записываются в виде следующей системы [4]:

w
1 =ε u 2 u 3 + u 2 w 2 ctgθ u 2 w 3 μ(1+γ) w 1 f(ν)Fcosθ[cos2(νψ)1], w
2
=ε u 1 u 3 + u 1 w 3 u 2 w 1 ctgθμ(1+γ) w 2 f(ν)Fsin2(νψ),
u
1
=(1+ε) u 3 u 2 + u 2 2 ctgθ+μγ w 1 +f(ν)Fcosθ[cos2(νψ)1],
u
2
=(1+ε) u 3 u 1 u 2 u 1 ctgθ+μγ w 2 +f(ν)Fsin2(νψ),
w
3
= u 2 w 1 u 1 w 2 μ(1+γ+ε) w 3 /(1+ε),
u
3
= μγ w 3 / (1+ε) , θ ˙ = u 1 , ψ ˙ sinθ= u 2 ,

MathType@MTEF@5@5@+=
feaahGart1ev3aaatCvAUfeBSjuyZL2yd9gzLbvyNv2Caerbov2D09
MBdbqedmvETj2BSbqefm0B1jxALjhiov2DaerbuLwBLnhiov2DGi1B
TfMBaebbnrfifHhDYfgasaacH8Wrpu0dbbf9q8qqaqpepec8Eeeu0x
Xdbba9frFj0=OqFfea0dXdd9vqaq=JfrVkFHe9pgea0dXdar=Jb9hs
0dXdbPYxe9vr0=vr0=vqpWqaaeaabiGaaiaacaqabeaadaabauaaaO
abaeqabaGabm4DayaafaWaaSbaaSqaaiaaigdaaeqaaOGaeyypa0Ja
eqyTduMaaGPaVlaadwhadaWgaaWcbaGaaGOmaaqabaGccaWG1bWaaS
baaSqaaiaaiodaaeqaaOGaey4kaSIaaGPaVlaadwhadaWgaaWcbaGa
aGOmaaqabaGccaWG3bWaaSbaaSqaaiaaikdaaeqaaOGaaGPaVlGaco
gacaGG0bGaai4zaiabeI7aXjabgkHiTiaadwhadaWgaaWcbaGaaGOm
aaqabaGccaaMc8Uaam4DamaaBaaaleaacaaIZaaabeaakiabgkHiTi
abeY7aTjaaykW7caGGOaGaaGymaiabgUcaRiabeo7aNjaacMcacaaM
c8Uaam4DamaaBaaaleaacaaIXaaabeaakiabgkHiTaqaaiabgkHiTi
aaysW7caWGMbGaaiikaiabe27aUjaacMcacaWGgbGaci4yaiaac+ga
caGGZbGaeqiUdeNaaGPaVlaacUfaciGGJbGaai4BaiaacohacaaIYa
Gaaiikaiabe27aUjabgkHiTiabeI8a5jaacMcacqGHsislcaaIXaGa
aiyxaiaaykW7caaMc8UaaiilaaqaaiqadEhagaqbamaaBaaaleaaca
aIYaaabeaakiabg2da9iabgkHiTiabew7aLjaadwhadaWgaaWcbaGa
aGymaaqabaGccaWG1bWaaSbaaSqaaiaaiodaaeqaaOGaey4kaSIaam
yDamaaBaaaleaacaaIXaaabeaakiaadEhadaWgaaWcbaGaaG4maaqa
baGccqGHsislcaWG1bWaaSbaaSqaaiaaikdaaeqaaOGaam4DamaaBa
aaleaacaaIXaaabeaakiaaykW7ciGGJbGaaiiDaiaacEgacqaH4oqC
cqGHsislcqaH8oqBcaaMc8UaaiikaiaaigdacqGHRaWkcqaHZoWzca
GGPaGaaGPaVlaadEhadaWgaaWcbaGaaGOmaaqabaGccqGHsislcaWG
MbGaaiikaiabe27aUjaacMcacaWGgbGaci4CaiaacMgacaGGUbGaaG
OmaiaacIcacqaH9oGBcqGHsislcqaHipqEcaGGPaGaaGPaVlaaykW7
caGGSaaabaGabmyDayaafaWaaSbaaSqaaiaaigdaaeqaaOGaeyypa0
JaeyOeI0IaaiikaiaaigdacqGHRaWkcqaH1oqzcaGGPaGaamyDamaa
BaaaleaacaaIZaaabeaakiaadwhadaWgaaWcbaGaaGOmaaqabaGccq
GHRaWkcaWG1bWaa0baaSqaaiaaikdaaeaacaaIYaaaaOGaci4yaiaa
cshacaGGNbGaeqiUdeNaey4kaSIaeqiVd0MaaGPaVlabeo7aNjaayk
W7caWG3bWaaSbaaSqaaiaaigdaaeqaaOGaey4kaSIaamOzaiaacIca
cqaH9oGBcaGGPaGaamOraiGacogacaGGVbGaai4CaiabeI7aXjaayk
W7caGGBbGaci4yaiaac+gacaGGZbGaaGOmaiaacIcacqaH9oGBcqGH
sislcqaHipqEcaGGPaGaeyOeI0IaaGymaiaac2facaaMc8UaaGPaVl
aacYcaaeaaceWG1bGbauaadaWgaaWcbaGaaGOmaaqabaGccqGH9aqp
caGGOaGaaGymaiabgUcaRiabew7aLjaacMcacaWG1bWaaSbaaSqaai
aaiodaaeqaaOGaamyDamaaBaaaleaacaaIXaaabeaakiabgkHiTiaa
dwhadaWgaaWcbaGaaGOmaaqabaGccaWG1bWaaSbaaSqaaiaaigdaae
qaaOGaaGPaVlGacogacaGG0bGaai4zaiabeI7aXjabgUcaRiabeY7a
TjaaykW7cqaHZoWzcaaMc8Uaam4DamaaBaaaleaacaaIYaaabeaaki
abgUcaRiaadAgacaGGOaGaeqyVd4MaaiykaiaadAeacaaMc8Uaci4C
aiaacMgacaGGUbGaaGOmaiaacIcacqaH9oGBcqGHsislcqaHipqEca
GGPaGaaGPaVlaacYcaaeaaceWG3bGbauaadaWgaaWcbaGaaG4maaqa
baGccqGH9aqpcaWG1bWaaSbaaSqaaiaaikdaaeqaaOGaam4DamaaBa
aaleaacaaIXaaabeaakiabgkHiTiaadwhadaWgaaWcbaGaaGymaaqa
baGccaWG3bWaaSbaaSqaaiaaikdaaeqaaOGaeyOeI0IaeqiVd0Maai
ikaiaaigdacqGHRaWkcqaHZoWzcqGHRaWkcqaH1oqzcaGGPaGaaGPa
VlaaykW7caWG3bWaaSbaaSqaaiaaiodaaeqaaOGaai4laiaacIcaca
aIXaGaey4kaSIaeqyTduMaaiykaiaacYcaaeaaceWG1bGbauaadaWg
aaWcbaGaaG4maaqabaGccqGH9aqpdaWcgaqaaiabeY7aTjaaykW7cq
aHZoWzcaaMc8Uaam4DamaaBaaaleaacaaIZaaabeaaaOqaaiaacIca
caaIXaGaey4kaSIaeqyTduMaaiykaaaacaGGSaGaaGPaVlaaykW7ca
aMc8UaaGPaVlaaykW7caaMc8UaaGPaVlqbeI7aXzaacaGaeyypa0Ja
amyDamaaBaaaleaacaaIXaaabeaakiaacYcacaaMc8UaaGPaVlaayk
W7caaMc8UaaGPaVlaaykW7cuaHipqEgaGaaiGacohacaGGPbGaaiOB
aiabeI7aXjabg2da9iaadwhadaWgaaWcbaGaaGOmaaqabaGccaGGSa
aaaaa@7904@
 (2.20)

здесь uk и wk MathType@MTEF@5@5@+=
feaahGart1ev3aqatCvAUfeBSjuyZL2yd9gzLbvyNv2Caerbov2D09
MBaeXatLxBI9gBaeXafv3ySLgzGmvETj2BSbqeeuuDJXwAKbsr4rNC
HbGeaGqipC0df9qqqrpepC0xbbL8F4rqqrFfpeea0de9Gq=Je9qspe
ea0xd9qs=xfrVkFHe9peei0dXdar=Jb9qqFfea0lrP0xe9Fve9Fve9
GapdbeqaaeGacaGaamaabeqaaeqabiabaaGcbaqefqvATv2CG4uz3b
IuV1wyUbacfaqcLbuaqaa6daaaOpWdbiaa=nbiaaa@4017@
 проекции векторов U и W на оси базис O e 1 e 2 e 3 MathType@MTEF@5@5@+=
feaahGart1ev3aqatCvAUfeBSjuyZL2yd9gzLbvyNv2Caerbov2D09
MBdbqedmvETj2BSbqeeuuDJXwAKbsr4rNCHbGeaGqik8fkY=xipgYl
h9vqqj=hEeeu0xXdi9arFj0xirFj0dXdbba91qpK0=yr0RYxfr=Jbb
f9q8aq0=yq=He9q8qqQ8frFve9Fve9Ff0dmeaabaqaciaacaGaaeqa
baqabeGadaaakeaacaWGpbGaaGPaVlqahwgagaqbamaaBaaaleaaca
aIXaaabeaakiaaykW7ceWHLbGbauaadaWgaaWcbaGaaGOmaaqabaGc
caaMc8UaaCyzamaaBaaaleaacaaIZaaabeaaaaa@3C2E@
 а , а функции F и f выражаются формулами:

F= 3εsinθ 2 , MathType@MTEF@5@5@+=
feaahGart1ev3aqatCvAUfeBSjuyZL2yd9gzLbvyNv2Caerbov2D09
MBdbqedmvETj2BSbqefm0B1jxALjhiov2DaerbuLwBLnhiov2DGi1B
TfMBaebbnrfifHhDYfgasaacH8Wrpu0dbbf9q8qqaqpepec8Eeeu0x
Xdbba9frFj0=OqFfea0dXdd9vqaq=JfrVkFHe9pgea0dXdar=Jb9hs
0dXdbPYxe9vr0=vr0=vqpWqaaeaabiGaaiaacaqabeaadaabauaaaO
qaaiaadAeacqGH9aqpdaWcaaqaaiaaiodacqaH1oqzciGGZbGaaiyA
aiaac6gacqaH4oqCaeaacaaIYaaaaiaacYcaaaa@426D@
f(ν)= 1+ecosν 1 e 2 3 . MathType@MTEF@5@5@+=
feaahGart1ev3aqatCvAUfeBSjuyZL2yd9gzLbvyNv2Caerbov2D09
MBdbqedmvETj2BSbqefm0B1jxALjhiov2DaerbuLwBLnhiov2DGi1B
TfMBaebbnrfifHhDYfgasaacH8Wrpu0dbbf9q8qqaqpepec8Eeeu0x
Xdbba9frFj0=OqFfea0dXdd9vqaq=JfrVkFHe9pgea0dXdar=Jb9hs
0dXdbPYxe9vr0=vr0=vqpWqaaeaabiGaaiaacaqabeaadaabauaaaO
qaaiaadAgacaGGOaGaeqyVd4Maaiykaiabg2da9maabmaabaWaaSaa
aeaacaaIXaGaey4kaSIaamyzaiGacogacaGGVbGaai4Caiabe27aUb
qaaiaaigdacqGHsislcaWGLbWaaWbaaSqabeaacaaIYaaaaaaaaOGa
ayjkaiaawMcaamaaCaaaleqabaGaaG4maaaakiaaygW7caGGUaaaaa@4C90@
 (2.21)

Ниже будем рассматривать динамически симметричный спутник, близкий к сферически симметричному, т.е. положим

0<ε1. MathType@MTEF@5@5@+=
feaahGart1ev3aaatCvAUfeBSjuyZL2yd9gzLbvyNv2Caerbov2D09
MBdbqedmvETj2BSbqeeuuDJXwAKbsr4rNCHbGeaGqik8fkY=xipgYl
h9vqqj=hEeeu0xXdi9arFj0xirFj0dXdbba91qpK0=yr0RYxfr=Jbb
f9q8aq0=yq=He9q8qqQ8frFve9Fve9Ff0dmeaabaqaciaacaGaaeqa
baqabeGadaaakeaacaaIWaGaeyipaWJaeqyTduMaeSOAI0JaaGymai
aac6caaaa@3736@
 (2.22)

 Для случая круговой орбиты (v = τ, f = 1) в работе [4] на основе уравнений (2.20) были получены следующие осредненные уравнения второго приближения:

θ = 9 ε 2 μγsinθ 8(1+γ)U U( cos 2 θ3)cosθ4 (4+ μ 2 (1+γ) 2 )(4 U 2 ) 2 cos 3 θ μ 2 (1+γ) 2 U , MathType@MTEF@5@5@+=
feaahGart1ev3aqatCvAUfeBSjuyZL2yd9gzLbvyNv2Caerbov2D09
MBdbqedmvETj2BSbqefm0B1jxALjhiov2DaerbuLwBLnhiov2DGi1B
TfMBaebbnrfifHhDYfgasaacH8Wrpu0dbbf9q8qqaqpepec8Eeeu0x
Xdbba9frFj0=OqFfea0dXdd9vqaq=JfrVkFHe9pgea0dXdar=Jb9hs
0dXdbPYxe9vr0=vr0=vqpWqaaeaabiGaaiaacaqabeaadaabauaaaO
qaaiqbeI7aXzaafaGaeyypa0ZaaSaaaeaacaaMc8UaaGyoaiabew7a
LnaaCaaaleqabaGaaGOmaaaakiabeY7aTjaaykW7cqaHZoWzcaaMc8
Uaci4CaiaacMgacaGGUbGaeqiUdeNaaGPaVdqaaiaaiIdacaGGOaGa
aGymaiabgUcaRiabeo7aNjaacMcacaWGvbaaamaabmaabaWaaSaaae
aacaWGvbGaaiikaiGacogacaGGVbGaai4CamaaCaaaleqabaGaaGOm
aaaakiabeI7aXjabgkHiTiaaiodacaGGPaGaci4yaiaac+gacaGGZb
GaeqiUdeNaeyOeI0IaaGinaaqaaiaacIcacaaI0aGaey4kaSIaeqiV
d02aaWbaaSqabeaacaaIYaaaaOGaaiikaiaaigdacqGHRaWkcqaHZo
WzcaGGPaWaaWbaaSqabeaacaaIYaaaaOGaaiykaiaacIcacaaI0aGa
eyOeI0IaamyvamaaCaaaleqabaGaaGOmaaaakiaacMcaaaGaeyOeI0
YaaSaaaeaacaaIYaGaci4yaiaac+gacaGGZbWaaWbaaSqabeaacaaI
ZaaaaOGaeqiUdehabaGaeqiVd02aaWbaaSqabeaacaaIYaaaaOGaai
ikaiaaigdacqGHRaWkcqaHZoWzcaGGPaWaaWbaaSqabeaacaaIYaaa
aOGaamyvaaaaaiaawIcacaGLPaaacaGGSaaaaa@84D5@
 (2.23)

U = 9 ε 2 μγ sin 2 θ 8(1+γ) U(1+ cos 2 θ)+4cosθ (4+ μ 2 (1+γ) 2 )(4 U 2 ) 2 cos 2 θ μ 2 (1+γ) 2 U , MathType@MTEF@5@5@+=
feaahGart1ev3aqatCvAUfeBSjuyZL2yd9gzLbvyNv2Caerbov2D09
MBdbqedmvETj2BSbqefm0B1jxALjhiov2DaerbuLwBLnhiov2DGi1B
TfMBaebbnrfifHhDYfgasaacH8Wrpu0dbbf9q8qqaqpepec8Eeeu0x
Xdbba9frFj0=OqFfea0dXdd9vqaq=JfrVkFHe9pgea0dXdar=Jb9hs
0dXdbPYxe9vr0=vr0=vqpWqaaeaabiGaaiaacaqabeaadaabauaaaO
qaaiqadwfagaqbaiaaysW7cqGH9aqpdaWcaaqaaiaaiMdacqaH1oqz
daahaaWcbeqaaiaaikdaaaGccqaH8oqBcaaMc8Uaeq4SdCMaaGPaVl
GacohacaGGPbGaaiOBamaaCaaaleqabaGaaGOmaaaakiabeI7aXbqa
aiaaiIdacaGGOaGaaGymaiabgUcaRiabeo7aNjaacMcaaaWaaeWaae
aadaWcaaqaaiaadwfacaGGOaGaaGymaiabgUcaRiGacogacaGGVbGa
ai4CamaaCaaaleqabaGaaGOmaaaakiabeI7aXjaacMcacqGHRaWkca
aI0aGaci4yaiaac+gacaGGZbGaeqiUdehabaGaaiikaiaaisdacqGH
RaWkcqaH8oqBdaahaaWcbeqaaiaaikdaaaGccaGGOaGaaGymaiabgU
caRiabeo7aNjaacMcadaahaaWcbeqaaiaaikdaaaGccaGGPaGaaiik
aiaaisdacqGHsislcaWGvbWaaWbaaSqabeaacaaIYaaaaOGaaiykaa
aacqGHsisldaWcaaqaaiaaikdaciGGJbGaai4BaiaacohadaahaaWc
beqaaiaaikdaaaGccqaH4oqCaeaacqaH8oqBdaahaaWcbeqaaiaaik
daaaGccaGGOaGaaGymaiabgUcaRiabeo7aNjaacMcadaahaaWcbeqa
aiaaikdaaaGccaWGvbaaaaGaayjkaiaawMcaaiaaysW7caGGSaaaaa@83FD@
 (2.24)

здесь U и θ  MathType@MTEF@5@5@+=
feaahGart1ev3aqatCvAUfeBSjuyZL2yd9gzLbvyNv2Caerbov2D09
MBaeXatLxBI9gBaeXafv3ySLgzGmvETj2BSbqeeuuDJXwAKbsr4rNC
HbGeaGqipC0df9qqqrpepC0xbbL8F4rqqrFfpeea0de9Gq=Je9qspe
ea0xd9qs=xfrVkFHe9peei0dXdar=Jb9qqFfea0lrP0xe9Fve9Fve9
GapdbeqaaeGacaGaamaabeqaaeqabiabaaGcbaqefqvATv2CG4uz3b
IuV1wyUbacfaqcLbuaqaa6daaaOpWdbiaa=nbiaaa@4017@
 эволюционные составляющие в поведении переменных u3 и θ.

Эволюционные уравнения (2.23), (2.24), как показано в работе [4], адекватно и с высокой точностью описывают нерезонансные вращения спутника с демпфером, т.е. те вращения, для которых значения U лежат вне малых окрестностей значений U * = 2 и U * = 0. Было установлено также, что в режиме нерезонансного вращения переменные u1, u2, w1, w2, w3 являются ограниченными функциями малого параметра ε, вследствие чего и угол между осью симметрии спутника и вектором угловой скорости оболочки остается малой величиной порядка ε. При этом эволюция по углу прецессии описывается уравнением [4]

ψ ˙ = 3εcosθ 2(1+γ)U +O( ε 2 ). MathType@MTEF@5@5@+=
feaahGart1ev3aqatCvAUfeBSjuyZL2yd9gzLbvyNv2Caerbov2D09
MBdbqedmvETj2BSbqefm0B1jxALjhiov2DaerbuLwBLnhiov2DGi1B
TfMBaebbnrfifHhDYfgasaacH8Wrpu0dbbf9q8qqaqpepec8Eeeu0x
Xdbba9frFj0=OqFfea0dXdd9vqaq=JfrVkFHe9pgea0dXdar=Jb9hs
0dXdbPYxe9vr0=vr0=vqpWqaaeaabiGaaiaacaqabeaadaabauaaaO
qaaiqbeI8a5zaacaGaeyypa0JaeyOeI0YaaSaaaeaacaaIZaGaeqyT
duMaci4yaiaac+gacaGGZbGaeqiUdehabaGaaGOmaiaacIcacaaIXa
Gaey4kaSIaeq4SdCMaaiykaiaadwfaaaGaey4kaSIaam4taiaacIca
cqaH1oqzdaahaaWcbeqaaiaaikdaaaGccaGGPaGaaiOlaaaa@4F83@
 (2.25)

Здесь и всюду далее O(e) MathType@MTEF@5@5@+=
feaahGart1ev3aqatCvAUfeBSjuyZL2yd9gzLbvyNv2Caerbov2D09
MBaeXatLxBI9gBaeXafv3ySLgzGmvETj2BSbqeeuuDJXwAKbsr4rNC
HbGeaGqipC0df9qqqrpepC0xbbL8F4rqqrFfpeea0de9Gq=Je9qspe
ea0xd9qs=xfrVkFHe9peei0dXdar=Jb9qqFfea0lrP0xe9Fve9Fve9
GapdbeqaaeGacaGaamaabeqaaeqabiabaaGcbaqefqvATv2CG4uz3b
IuV1wyUbacfaqcLbuaqaa6daaaOpWdbiaa=nbiaaa@4017@
 ограниченные функции малого параметра ε.

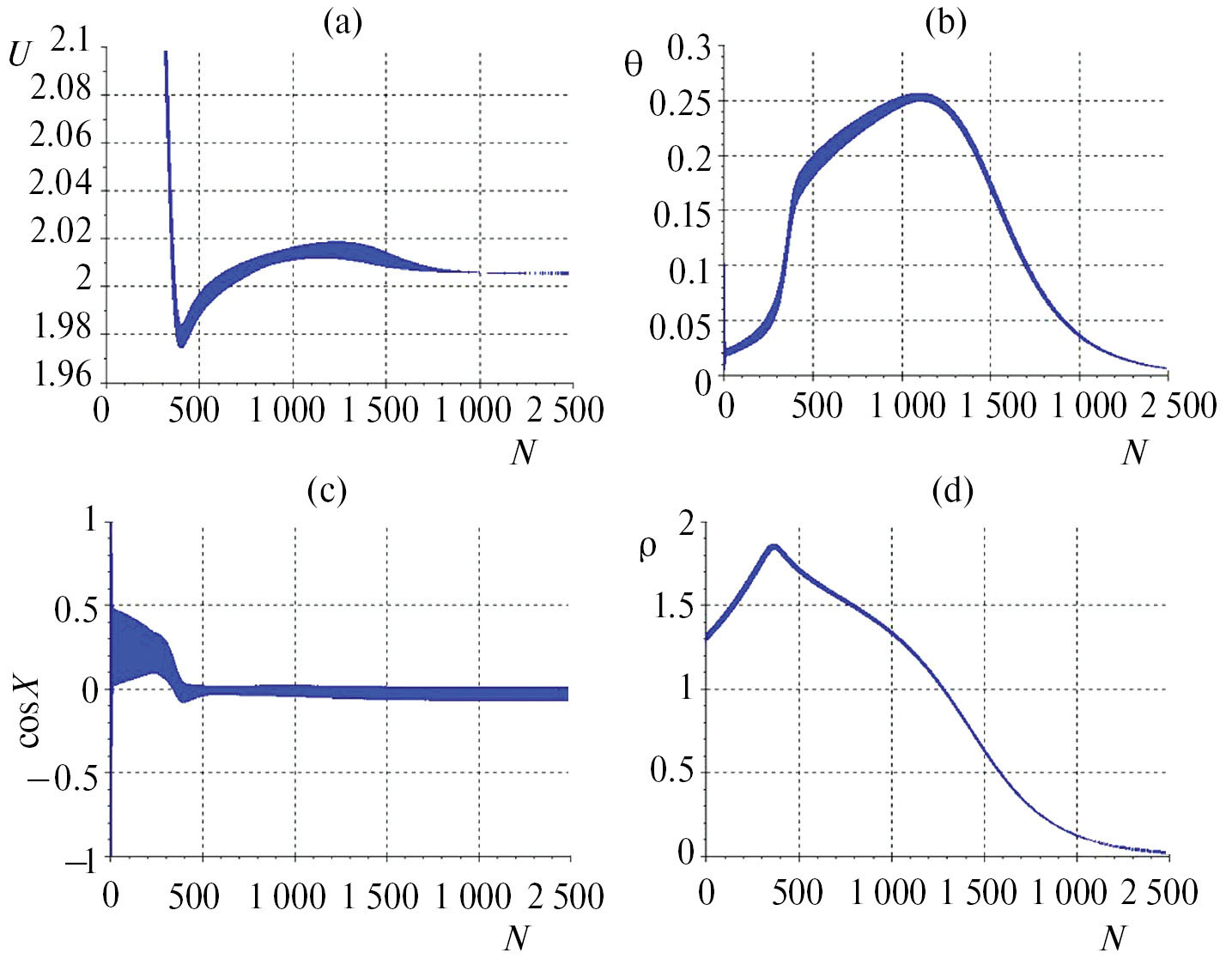
В работе [4] по результатам численного интегрирования точных уравнений (2.20) для динамически симметричного спутника были обнаружены на круговой орбите асимптотически устойчивые пространные резонансные режимы вращательного движения 2:1. Характерной особенностью этих резонансных вращений является то, что для них величина угловой скорости спутника остается с точностью до O(ε) неизменной, равной удвоенной угловой скорости орбитального базиса, а ось вращения спутника монотонно эволюционирует в сторону нормали к плоскости орбиты. Как будет показано ниже, для симметричного спутника на круговой орбите существуют и асимптотически устойчивые пространственные резонансные вращения 1:1, для которых величина угловой скорости спутника с точностью до O(ε) равна угловой скорости орбитального базиса.

Ниже проводится аналитическое исследование условий существования и устойчивости указанных резонансных вращений спутника, а также анализ поведения спутника в режимах резонансного вращения.

3. Уравнения вращательного движения спутника с демпфером в переменных Белецкого MathType@MTEF@5@5@+=
feaahGart1ev3aqatCvAUfeBSjuyZL2yd9gzLbvyNv2Caerbov2D09
MBaeXatLxBI9gBaeXafv3ySLgzGmvETj2BSbqeeuuDJXwAKbsr4rNC
HbGeaGqipC0df9qqqrpepC0xbbL8F4rqqrFfpeea0de9Gq=Je9qspe
ea0xd9qs=xfrVkFHe9peei0dXdar=Jb9qqFfea0lrP0xe9Fve9Fve9
GapdbeqaaeGacaGaamaabeqaaeqabiabaaGcbaqefqvATv2CG4uz3b
IuV1wyUbacfeqcLbuaqaa6daaaOpWdbiaa=nbiaaa@4018@
Черноусько
. Для анализа резонансных вращений спутника будем использовать уравнения (2.17), (2.18), (2.10), в которых состояние оболочки спутника будем описывать переменными Белецкого MathType@MTEF@5@5@+=
feaahGart1ev3aqatCvAUfeBSjuyZL2yd9gzLbvyNv2Caerbov2D09
MBaeXatLxBI9gBaeXafv3ySLgzGmvETj2BSbqeeuuDJXwAKbsr4rNC
HbGeaGqipC0df9qqqrpepC0xbbL8F4rqqrFfpeea0de9Gq=Je9qspe
ea0xd9qs=xfrVkFHe9peei0dXdar=Jb9qqFfea0lrP0xe9Fve9Fve9
GapdbeqaaeGacaGaamaabeqaaeqabiabaaGcbaqefqvATv2CG4uz3b
IuV1wyUbacfaqcLbuaqaa6daaaOpWdbiaa=nbiaaa@4017@
Черноусько [9]. В этих переменных положение вектора U относительно базиса Кенига Oi1i2i3 задается согласно рис. 2, a величиной U, углом нутации ρ и углом прецессии σ, а положение оси симметрии спутника e относительно определяемого вектором U базиса Os1s2s3 задается углами Эйлера θ и
ψ (рис. 2, b). В качестве остальных переменных для рассматриваемой системы будем использовать проекции W1,W2,W3 вектора W на оси базиса Os1s2s3.

 

Рис. 2. Переменные Белецкого–Черноусько.

 

Очевидно, что все возможные состояния системы можно описать, рассматривая значения переменных U и ρ в диапазонах

U0,0ρπ. MathType@MTEF@5@5@+=
feaahGart1ev3aqatCvAUfeBSjuyZL2yd9gzLbvyNv2Caerbov2D09
MBdbqedmvETj2BSbqefm0B1jxALjhiov2DaerbuLwBLnhiov2DGi1B
TfMBaebbnrfifHhDYfgasaacH8Wrpu0dbbf9q8qqaqpepec8Eeeu0x
Xdbba9frFj0=OqFfea0dXdd9vqaq=JfrVkFHe9pgea0dXdar=Jb9hs
0dXdbPYxe9vr0=vr0=vqpWqaaeaabiGaaiaacaqabeaadaabauaaaO
qaaiaadwfacaaMe8UaeyyzImRaaGimaiaacYcacaaMe8UaaGjbVlaa
ysW7caaIWaGaeyizImQaeqyWdiNaeyizImQaeqiWdaNaaiOlaaaa@4ABF@
 (3.1)

Базис Os1s2s3 вращается относительно базиса Кенига с угловой скоростью

w s = σ i 3 + ρ s 2 = σ sinρ s 1 + ρ s 2 + σ cosρ s 3 , MathType@MTEF@5@5@+=
feaahGart1ev3aaatCvAUfeBSjuyZL2yd9gzLbvyNv2Caerbov2D09
MBdbqedmvETj2BSbqefm0B1jxALjhiov2DaerbuLwBLnhiov2DGi1B
TfMBaebbnrfifHhDYfgasaacH8Wrpu0dbbf9q8qqaqpepec8Eeeu0x
Xdbba9frFj0=OqFfea0dXdd9vqaq=JfrVkFHe9pgea0dXdar=Jb9hs
0dXdbPYxe9vr0=vr0=vqpWqaaeaabiGaaiaacaqabeaadaabauaaaO
qaaiaakEhadaWgaaWcbaGaaC4CaaqabaGccqGH9aqpcuaHdpWCgaqb
aiaahMgadaWgaaWcbaGaaG4maaqabaGccqGHRaWkcuaHbpGCgaqbai
aahohadaWgaaWcbaGaaGOmaaqabaGccqGH9aqpcqGHsislcuaHdpWC
gaqbaiGacohacaGGPbGaaiOBaiabeg8aYjaaykW7caWHZbWaaSbaaS
qaaiaaigdaaeqaaOGaey4kaSIafqyWdiNbauaacaWHZbWaaSbaaSqa
aiaaikdaaeqaaOGaey4kaSIafq4WdmNbauaaciGGJbGaai4Baiaaco
hacqaHbpGCcaaMc8UaaC4CamaaBaaaleaacaaIZaaabeaakiaacYca
aaa@5F94@
 (3.2)

а проекции векторов U и W на оси этого базиса выражаются формулами

U=U s 3 ,W= W 1 s 1 + W 2 s 2 + W 3 s 3 . MathType@MTEF@5@5@+=
feaahGart1ev3aqatCvAUfeBSjuyZL2yd9gzLbvyNv2Caerbov2D09
MBdbqedmvETj2BSbqefm0B1jxALjhiov2DaerbuLwBLnhiov2DGi1B
TfMBaebbnrfifHhDYfgasaacH8Wrpu0dbbf9q8qqaqpepec8Eeeu0x
Xdbba9frFj0=OqFfea0dXdd9vqaq=JfrVkFHe9pgea0dXdar=Jb9hs
0dXdbPYxe9vr0=vr0=vqpWqaaeaabiGaaiaacaqabeaadaabauaaaO
qaaiaahwfacaaMe8Uaeyypa0JaamyvaiaahohadaWgaaWcbaGaaG4m
aaqabaGccaGGSaGaaGPaVlaaykW7caaMc8UaaGPaVlaaykW7caWHxb
GaaGjbVlabg2da9iaadEfadaWgaaWcbaGaaGymaaqabaGccaWHZbWa
aSbaaSqaaiaaigdaaeqaaOGaaGPaVlabgUcaRiaadEfadaWgaaWcba
GaaGOmaaqabaGccaWHZbWaaSbaaSqaaiaaikdaaeqaaOGaaGPaVlab
gUcaRiaadEfadaWgaaWcbaGaaG4maaqabaGccaWHZbWaaSbaaSqaai
aaiodaaeqaaOGaaiOlaaaa@5B02@
 (3.3)

В проекциях на оси базиса Os1s2s3 уравнения (2.17) и (2.18) запишутся в виде:

U = 0 0 U

+ σ sinρ ρ
σ cosρ

× 0 0 U
= ρ U σ Usinρ U

= M 1
M 2
M 3

, MathType@MTEF@5@5@+=
feaahGart1ev3aaatCvAUfeBSjuyZL2yd9gzLbvyNv2Caerbov2D09
MBdbqedmvETj2BSbqefm0B1jxALjhiov2DaerbuLwBLnhiov2DGi1B
TfMBaebbnrfifHhDYfgasaacH8Wrpu0dbbf9q8qqaqpepec8Eeeu0x
Xdbba9frFj0=OqFfea0dXdd9vqaq=JfrVkFHe9pgea0dXdar=Jb9hs
0dXdbPYxe9vr0=vr0=vqpWqaaeaabiGaaiaacaqabeaadaabauaaaO
qaaiqahwfagaqbaiabg2da9maabmaaeaqabeaacaaIWaaabqa4aiaa
icdaaeabGdGabmyvayaafaaaaiaawIcacaGLPaaacqGHRaWkdaqada
abaiqabqa4aiabgkHiTiqbeo8aZzaafaGaci4CaiaacMgacaGGUbGa
eqyWdihabqa4aiqbeg8aYzaafaaabqa4aiqbeo8aZzaafaGaci4yai
aac+gacaGGZbGaeqyWdihaaiaawIcacaGLPaaacqGHxdaTdaqadaab
aeqabaGaaGimaaqaeaoacaaIWaaabqa4aiaadwfaaaGaayjkaiaawM
caaiabg2da9maabmaaeaGabeabGdGafqyWdiNbauaacaWGvbaabqa4
aiqbeo8aZzaafaGaamyvaiGacohacaGGPbGaaiOBaiabeg8aYbqaea
oaceWGvbGbauaaaaGaayjkaiaawMcaaiabg2da9maabmaaeaqabeaa
caWGnbWaaSbaaSqaaiaaigdaaeqaaaGcbqa4aiaad2eadaWgaaWcba
GaaGOmaaqabaaakeabGdGaamytamaaBaaaleaacaaIZaaabeaaaaGc
caGLOaGaayzkaaGaaiilaaaa@769C@

W = W
1
W
2

W
3


+ σ sinρ ρ
σ cosρ

× W 1
W 2
W 3

= = W
1
+ W 3 ρ W 2 σ cosρ
W
2
+ W 1 σ cosρ+ W 3 σ sinρ
W
3
W 2 σ sinρ W 1 ρ

= M 1 +μγ W 1
M 2 +μγ W 2
M 3 +μγ W 3

,

MathType@MTEF@5@5@+=
feaahGart1ev3aaatCvAUfeBSjuyZL2yd9gzLbvyNv2Caerbov2D09
MBdbqedmvETj2BSbqefm0B1jxALjhiov2DaerbuLwBLnhiov2DGi1B
TfMBaebbnrfifHhDYfgasaacH8Wrpu0dbbf9q8qqaqpepec8Eeeu0x
Xdbba9frFj0=OqFfea0dXdd9vqaq=JfrVkFHe9pgea0dXdar=Jb9hs
0dXdbPYxe9vr0=vr0=vqpWqaaeaabiGaaiaacaqabeaadaabauaaaO
abaeqabaGabC4vayaafaGaeyypa0ZaaeWaaqaabeqaaiqadEfagaqb
amaaBaaaleaacaaIXaaabeaaaOqaeaoaceWGxbGbauaadaWgaaWcba
GaaGOmaaqabaaakeabGdGabm4vayaafaWaaSbaaSqaaiaaiodaaeqa
aaaakiaawIcacaGLPaaacqGHRaWkdaqadaabaeqabqa4aiabgkHiTi
qbeo8aZzaafaGaci4CaiaacMgacaGGUbGaeqyWdihabqa4aiaaykW7
caaMc8UaaGPaVlaaykW7caaMc8UaaGPaVlaaykW7cuaHbpGCgaqbaa
qaeaoacuaHdpWCgaqbaiGacogacaGGVbGaai4Caiabeg8aYbaacaGL
OaGaayzkaaGaey41aq7aaeWaaqaabeqaaiaadEfadaWgaaWcbaGaaG
ymaaqabaaakeabGdGaam4vamaaBaaaleaacaaIYaaabeaaaOqaeaoa
caWGxbWaaSbaaSqaaiaaiodaaeqaaaaakiaawIcacaGLPaaacqGH9a
qpaeaacqGH9aqpdaqadaabaeqabqa4aiqadEfagaqbamaaBaaaleaa
caaIXaaabeaakiabgUcaRiaadEfadaWgaaWcbaGaaG4maaqabaGcca
aMc8UafqyWdiNbauaacqGHsislcaWGxbWaaSbaaSqaaiaaikdaaeqa
aOGaaGPaVlqbeo8aZzaafaGaci4yaiaac+gacaGGZbGaeqyWdihabq
a4aiqadEfagaqbamaaBaaaleaacaaIYaaabeaakiabgUcaRiaadEfa
daWgaaWcbaGaaGymaaqabaGccaaMc8Uafq4WdmNbauaaciGGJbGaai
4BaiaacohacqaHbpGCcqGHRaWkcaWGxbWaaSbaaSqaaiaaiodaaeqa
aOGaaGPaVlqbeo8aZzaafaGaci4CaiaacMgacaGGUbGaeqyWdihabq
a4aiqadEfagaqbamaaBaaaleaacaaIZaaabeaakiabgkHiTiaadEfa
daWgaaWcbaGaaGOmaaqabaGccaaMc8Uafq4WdmNbauaaciGGZbGaai
yAaiaac6gacqaHbpGCcqGHsislcaWGxbWaaSbaaSqaaiaaigdaaeqa
aOGaaGPaVlqbeg8aYzaafaaaaiaawIcacaGLPaaacqGH9aqpcqGHsi
sldaqadaabaeqabaGaamytamaaBaaaleaacaaIXaaabeaakiabgUca
RiabeY7aTjabeo7aNjaadEfadaWgaaWcbaGaaGymaaqabaaakeabGd
GaamytamaaBaaaleaacaaIYaaabeaakiabgUcaRiabeY7aTjabeo7a
NjaadEfadaWgaaWcbaGaaGOmaaqabaaakeabGdGaamytamaaBaaale
aacaaIZaaabeaakiabgUcaRiabeY7aTjabeo7aNjaadEfadaWgaaWc
baGaaG4maaqabaaaaOGaayjkaiaawMcaaiaaysW7caGGSaaaaaa@CED5@

здесь Mk MathType@MTEF@5@5@+=
feaahGart1ev3aqatCvAUfeBSjuyZL2yd9gzLbvyNv2Caerbov2D09
MBaeXatLxBI9gBaeXafv3ySLgzGmvETj2BSbqeeuuDJXwAKbsr4rNC
HbGeaGqipC0df9qqqrpepC0xbbL8F4rqqrFfpeea0de9Gq=Je9qspe
ea0xd9qs=xfrVkFHe9peei0dXdar=Jb9qqFfea0lrP0xe9Fve9Fve9
GapdbeqaaeGacaGaamaabeqaaeqabiabaaGcbaqefqvATv2CG4uz3b
IuV1wyUbacfaqcLbuaqaa6daaaOpWdbiaa=nbiaaa@4017@
 проекции правых частей уравнений (2.17) на оси базиса Os1s2s3. Разрешив эти уравнения относительно производных, получим следующую систему:

ρ = M 1 /U , MathType@MTEF@5@5@+=
feaahGart1ev3aaatCvAUfeBSjuyZL2yd9gzLbvyNv2Caerbov2D09
MBdbqedmvETj2BSbqefm0B1jxALjhiov2DaerbuLwBLnhiov2DGi1B
TfMBaebbnrfifHhDYfgasaacH8Wrpu0dbbf9q8qqaqpepec8Eeeu0x
Xdbba9frFj0=OqFfea0dXdd9vqaq=JfrVkFHe9pgea0dXdar=Jb9hs
0dXdbPYxe9vr0=vr0=vqpWqaaeaabiGaaiaacaqabeaadaabauaaaO
qaaiqbeg8aYzaafaGaeyypa0ZaaSGbaeaacaWGnbWaaSbaaSqaaiaa
igdaaeqaaaGcbaGaamyvaaaacaGGSaaaaa@3E62@
 (3.4)

σ = M 2 / (Usinρ) , MathType@MTEF@5@5@+=
feaahGart1ev3aaatCvAUfeBSjuyZL2yd9gzLbvyNv2Caerbov2D09
MBdbqedmvETj2BSbqefm0B1jxALjhiov2DaerbuLwBLnhiov2DGi1B
TfMBaebbnrfifHhDYfgasaacH8Wrpu0dbbf9q8qqaqpepec8Eeeu0x
Xdbba9frFj0=OqFfea0dXdd9vqaq=JfrVkFHe9pgea0dXdar=Jb9hs
0dXdbPYxe9vr0=vr0=vqpWqaaeaabiGaaiaacaqabeaadaabauaaaO
qaeaoacuaHdpWCgaqbaiabg2da9maalyaabaGaamytamaaBaaaleaa
caaIYaaabeaaaOqaaiaacIcacaWGvbGaci4CaiaacMgacaGGUbGaeq
yWdiNaaiykaaaacaGGSaaaaa@453B@
 (3.5)

U = M 3 , MathType@MTEF@5@5@+=
feaahGart1ev3aaatCvAUfeBSjuyZL2yd9gzLbvyNv2Caerbov2D09
MBdbqedmvETj2BSbqefm0B1jxALjhiov2DaerbuLwBLnhiov2DGi1B
TfMBaebbnrfifHhDYfgasaacH8Wrpu0dbbf9q8qqaqpepec8Eeeu0x
Xdbba9frFj0=OqFfea0dXdd9vqaq=JfrVkFHe9pgea0dXdar=Jb9hs
0dXdbPYxe9vr0=vr0=vqpWqaaeaabiGaaiaacaqabeaadaabauaaaO
qaaiqadwfagaqbaiabg2da9iaad2eadaWgaaWcbaGaaG4maaqabaGc
caGGSaaaaa@3C8E@
 (3.6)

W
1 =( W 3 M 1 + W 2 M 2 ctgρ)/U M 1 μ W 1 , MathType@MTEF@5@5@+=
feaahGart1ev3aaatCvAUfeBSjuyZL2yd9gzLbvyNv2Caerbov2D09
MBdbqedmvETj2BSbqefm0B1jxALjhiov2DaerbuLwBLnhiov2DGi1B
TfMBaebbnrfifHhDYfgasaacH8Wrpu0dbbf9q8qqaqpepec8Eeeu0x
Xdbba9frFj0=OqFfea0dXdd9vqaq=JfrVkFHe9pgea0dXdar=Jb9hs
0dXdbPYxe9vr0=vr0=vqpWqaaeaabiGaaiaacaqabeaadaabauaaaO
qaeaoaceWGxbGbauaadaWgaaWcbaGaaGymaaqabaGccqGH9aqpcaGG
OaGaeyOeI0Iaam4vamaaBaaaleaacaaIZaaabeaakiaaykW7daWcga
qaaiaad2eadaWgaaWcbaGaaGymaaqabaGccqGHRaWkcaWGxbWaaSba
aSqaaiaaikdaaeqaaOGaaGPaVlaad2eadaWgaaWcbaGaaGOmaaqaba
GcciGGJbGaaiiDaiaacEgacqaHbpGCcaGGPaaabaGaamyvaaaacaaM
e8UaeyOeI0IaamytamaaBaaaleaacaaIXaaabeaakiabgkHiTiabeY
7aTjaadEfadaWgaaWcbaGaaGymaaqabaGccaGGSaaaaa@582B@
 (3.7)

W
2 = ( W 1 M 2 ctgρ+ W 3 M 2 )/U M 2 μ W 2 , MathType@MTEF@5@5@+=
feaahGart1ev3aaatCvAUfeBSjuyZL2yd9gzLbvyNv2Caerbov2D09
MBdbqedmvETj2BSbqefm0B1jxALjhiov2DaerbuLwBLnhiov2DGi1B
TfMBaebbnrfifHhDYfgasaacH8Wrpu0dbbf9q8qqaqpepec8Eeeu0x
Xdbba9frFj0=OqFfea0dXdd9vqaq=JfrVkFHe9pgea0dXdar=Jb9hs
0dXdbPYxe9vr0=vr0=vqpWqaaeaabiGaaiaacaqabeaadaabauaaaO
qaeaoaceWGxbGbauaadaWgaaWcbaGaaGOmaaqabaGccqGH9aqpcqGH
sisldaWcgaqaaiaacIcacaWGxbWaaSbaaSqaaiaaigdaaeqaaOGaaG
PaVlaad2eadaWgaaWcbaGaaGOmaaqabaGcciGGJbGaaiiDaiaacEga
cqaHbpGCcqGHRaWkcaWGxbWaaSbaaSqaaiaaiodaaeqaaOGaaGPaVl
aad2eadaWgaaWcbaGaaGOmaaqabaGccaGGPaaabaGaamyvaaaacqGH
sislcaWGnbWaaSbaaSqaaiaaikdaaeqaaOGaeyOeI0IaeqiVd0Maam
4vamaaBaaaleaacaaIYaaabeaakiaacYcaaaa@56A1@
 (3.8)

W
3 = ( W 1 M 1 + W 2 M 2 )/U M 3 μ W 3 . MathType@MTEF@5@5@+=
feaahGart1ev3aaatCvAUfeBSjuyZL2yd9gzLbvyNv2Caerbov2D09
MBdbqedmvETj2BSbqefm0B1jxALjhiov2DaerbuLwBLnhiov2DGi1B
TfMBaebbnrfifHhDYfgasaacH8Wrpu0dbbf9q8qqaqpepec8Eeeu0x
Xdbba9frFj0=OqFfea0dXdd9vqaq=JfrVkFHe9pgea0dXdar=Jb9hs
0dXdbPYxe9vr0=vr0=vqpWqaaeaabiGaaiaacaqabeaadaabauaaaO
qaeaoaceWGxbGbauaadaWgaaWcbaGaaG4maaqabaGccqGH9aqpdaWc
gaqaaiaacIcacaWGxbWaaSbaaSqaaiaaigdaaeqaaOGaaGPaVlaad2
eadaWgaaWcbaGaaGymaaqabaGccqGHRaWkcaWGxbWaaSbaaSqaaiaa
ikdaaeqaaOGaaGPaVlaad2eadaWgaaWcbaGaaGOmaaqabaGccaGGPa
aabaGaamyvaaaacqGHsislcaWGnbWaaSbaaSqaaiaaiodaaeqaaOGa
eyOeI0IaeqiVd0Maam4vamaaBaaaleaacaaIZaaabeaakiaac6caaa
a@512B@
 (3.9)

Аналогичным образом на основании формулы

e=sinθ(sinψ s 1 cosψ s 2 )+cosθ s 3 , MathType@MTEF@5@5@+=
feaahGart1ev3aaatCvAUfeBSjuyZL2yd9gzLbvyNv2Caerbov2D09
MBdbqedmvETj2BSbqeeuuDJXwAKbsr4rNCHbGeaGqik8fkY=xipgYl
h9vqqj=hEeeu0xXdi9arFj0xirFj0dXdbba91qpK0=yr0RYxfr=Jbb
f9q8aq0=yq=He9q8qqQ8frFve9Fve9Ff0dmeaabaqaciaacaGaaeqa
baqabeGadaaakeaacaWHLbGaeyypa0Jaci4CaiaacMgacaGGUbGaeq
iUdeNaaGPaVlaacIcaciGGZbGaaiyAaiaac6gacqaHipqEcaaMc8Ua
aC4CamaaBaaaleaacaaIXaaabeaakiabgkHiTiGacogacaGGVbGaai
4CaiabeI8a5jaaykW7caWHZbWaaSbaaSqaaiaaikdaaeqaaOGaaiyk
aiabgUcaRiGacogacaGGVbGaai4CaiabeI7aXjaaykW7caaMc8UaaC
4CamaaBaaaleaacaaIZaaabeaakiaacYcaaaa@56B5@
 

проецируя векторное уравнение (2.10) на оси базиса Os1s2s3, получим после несложных преобразований следующие уравнения, описывающие поведение углов Эйлера ρ MathType@MTEF@5@5@+=
feaahGart1ev3aqatCvAUfeBSjuyZL2yd9gzLbvyNv2Caerbov2D09
MBaeXatLxBI9gBaeXafv3ySLgzGmvETj2BSbqeeuuDJXwAKbsr4rNC
HbGeaGqipC0df9qqqrpepC0xbbL8F4rqqrFfpeea0de9Gq=Je9qspe
ea0xd9qs=xfrVkFHe9peei0dXdar=Jb9qqFfea0lrP0xe9Fve9Fve9
GapdbeqaaeGacaGaamaabeqaaeqabiabaaGcbaGaeqyWdihaaa@38F2@
 и σ MathType@MTEF@5@5@+=
feaahGart1ev3aqatCvAUfeBSjuyZL2yd9gzLbvyNv2Caerbov2D09
MBaeXatLxBI9gBaeXafv3ySLgzGmvETj2BSbqeeuuDJXwAKbsr4rNC
HbGeaGqipC0df9qqqrpepC0xbbL8F4rqqrFfpeea0de9Gq=Je9qspe
ea0xd9qs=xfrVkFHe9peei0dXdar=Jb9qqFfea0lrP0xe9Fve9Fve9
GapdbeqaaeGacaGaamaabeqaaeqabiabaaGcbaGaeq4Wdmhaaa@38F5@
:

θ = ( M 2 cosψ M 1 sinψ)/U , MathType@MTEF@5@5@+=
feaahGart1ev3aaatCvAUfeBSjuyZL2yd9gzLbvyNv2Caerbov2D09
MBdbqedmvETj2BSbqefm0B1jxALjhiov2DaerbuLwBLnhiov2DGi1B
TfMBaebbnrfifHhDYfgasaacH8Wrpu0dbbf9q8qqaqpepec8Eeeu0x
Xdbba9frFj0=OqFfea0dXdd9vqaq=JfrVkFHe9pgea0dXdar=Jb9hs
0dXdbPYxe9vr0=vr0=vqpWqaaeaabiGaaiaacaqabeaadaabauaaaO
qaaiqbeI7aXzaafaGaaGPaVlabg2da9maalyaabaGaaiikaiaad2ea
daWgaaWcbaGaaGOmaaqabaGcciGGJbGaai4BaiaacohacqaHipqEcq
GHsislcaWGnbWaaSbaaSqaaiaaigdaaeqaaOGaci4CaiaacMgacaGG
UbGaeqiYdKNaaiykaaqaaiaadwfaaaGaaiilaaaa@4D34@
 (3.10)

ψ =U ctgθ( M 1 cosψ+ M 2 sinψ)+ M 2 ctgρ / U. MathType@MTEF@5@5@+=
feaahGart1ev3aaatCvAUfeBSjuyZL2yd9gzLbvyNv2Caerbov2D09
MBdbqedmvETj2BSbqefm0B1jxALjhiov2DaerbuLwBLnhiov2DGi1B
TfMBaebbnrfifHhDYfgasaacH8Wrpu0dbbf9q8qqaqpepec8Eeeu0x
Xdbba9frFj0=OqFfea0dXdd9vqaq=JfrVkFHe9pgea0dXdar=Jb9hs
0dXdbPYxe9vr0=vr0=vqpWqaaeaabiGaaiaacaqabeaadaabauaaaO
qaaiqbeI8a5zaafaGaeyypa0JaamyvaiaaykW7cqGHsisldaWcgaqa
amaabmaabaGaci4yaiaacshacaGGNbGaeqiUdeNaaiikaiaad2eada
WgaaWcbaGaaGymaaqabaGcciGGJbGaai4BaiaacohacqaHipqEcqGH
RaWkcaWGnbWaaSbaaSqaaiaaikdaaeqaaOGaci4CaiaacMgacaGGUb
GaeqiYdKNaaiykaiabgUcaRiaad2eadaWgaaWcbaGaaGOmaaqabaGc
ciGGJbGaaiiDaiaacEgacqaHbpGCaiaawIcacaGLPaaaaeaacaWGvb
GaiGdGc6caaaaaaa@5D07@
 (3.11)

Уравнения (3.4) MathType@MTEF@5@5@+=
feaahGart1ev3aqatCvAUfeBSjuyZL2yd9gzLbvyNv2Caerbov2D09
MBaeXatLxBI9gBaeXafv3ySLgzGmvETj2BSbqeeuuDJXwAKbsr4rNC
HbGeaGqipC0df9qqqrpepC0xbbL8F4rqqrFfpeea0de9Gq=Je9qspe
ea0xd9qs=xfrVkFHe9peei0dXdar=Jb9qqFfea0lrP0xe9Fve9Fve9
GapdbeqaaeGacaGaamaabeqaaeqabiabaaGcbaqefqvATv2CG4uz3b
IuV1wyUbacfaqcLbuaqaa6daaaOpWdbiaa=nbiaaa@4017@
(3.11) в сочетании с уравнением (2.7) образуют замкнутую систему относительно переменных ρ,σ,U,ψ,θ, W 1 , W 2 , W 3 MathType@MTEF@5@5@+=
feaahGart1ev3aaatCvAUfeBSjuyZL2yd9gzLbvyNv2Caerbov2D09
MBaeXatLxBI9gBaeXafv3ySLgzGmvETj2BSbqeeuuDJXwAKbsr4rNC
HbGeaGqipC0df9qqqrpepC0xbbL8F4rqqrFfpeea0de9Gq=Je9qspe
ea0xd9qs=xfrVkFHe9peei0dXdar=Jb9qqFfea0lrP0xe9Fve9Fve9
GapdbeqaaeGacaGaamaabeqaaeqabiabaaGcbaaeaaaaaaaaa8qacq
aHbpGCcaGGSaGaeq4WdmNaaiilaiaadwfacaGGSaGaeqiYdKNaaiil
aiabeI7aXjaacYcacaWGxbWdamaaBaaaleaapeGaaGymaaWdaeqaaO
WdbiaacYcacaWGxbWdamaaBaaaleaapeGaaGOmaaWdaeqaaOWdbiaa
cYcacaWGxbWdamaaBaaaleaapeGaaG4maaWdaeqaaaaa@4A0C@
 и
v.

Заметим, что в силу условия (2.22) последнее слагаемое в выражении для вектора M (2.17) мало по сравнению с предпоследним, т.е.

εμγ (We)e / (1+ε) μγ W . MathType@MTEF@5@5@+=
feaahGart1ev3aqatCvAUfeBSjuyZL2yd9gzLbvyNv2Caerbov2D09
MBdbqedmvETj2BSbqefm0B1jxALjhiov2DaerbuLwBLnhiov2DGi1B
TfMBaebbnrfifHhDYfgasaacH8Wrpu0dbbf9q8qqaqpepec8Eeeu0x
Xdbba9frFj0=OqFfea0dXdd9vqaq=JfrVkFHe9pgea0dXdar=Jb9hs
0dXdbPYxe9vr0=vr0=vqpWqaaeaabiGaaiaacaqabeaadaabauaaaO
qaaiabew7aLjabeY7aTjabeo7aNnaalyaabaWaaqWaaeaacaGGOaGa
aC4vaiabgwSixlaahwgacaGGPaGaaCyzaaGaay5bSlaawIa7aaqaai
aacIcacaaIXaGaey4kaSIaeqyTduMaaiykaaaacqWIQjspcqaH8oqB
cqaHZoWzdaabdaqaaiaahEfaaiaawEa7caGLiWoacaGGUaaaaa@54D1@

Ниже при построении осредненных уравнений первого приближения этим слагаемым можно пренебречь и использовать для вектора M следующую формулу:

M=mε(Ue)U×e+μγW. MathType@MTEF@5@5@+=
feaahGart1ev3aqatCvAUfeBSjuyZL2yd9gzLbvyNv2Caerbov2D09
MBdbqedmvETj2BSbqefm0B1jxALjhiov2DaerbuLwBLnhiov2DGi1B
TfMBaebbnrfifHhDYfgasaacH8Wrpu0dbbf9q8qqaqpepec8Eeeu0x
Xdbba9frFj0=OqFfea0dXdd9vqaq=JfrVkFHe9pgea0dXdar=Jb9hs
0dXdbPYxe9vr0=vr0=vqpWqaaeaabiGaaiaacaqabeaadaabauaaaO
qaaiaah2eacqGH9aqpcaWHTbGaeyOeI0IaeqyTduMaaiikaiaahwfa
cqGHflY1caWHLbGaaiykaiaahwfacqGHxdaTcaWHLbGaey4kaSIaeq
iVd0Maeq4SdCMaaC4vaiaac6caaaa@4CB7@
 (3.12)

В проекциях на оси базиса Os1s2s3 вектор (3.12) запишется в виде:

M= M 1
M 2
M 3

= m 1
m 2
m 3

ε U 2 sinθcosθ cosψ sinψ 0
+μγ W 1
W 2
W 3

, MathType@MTEF@5@5@+=
feaahGart1ev3aaatCvAUfeBSjuyZL2yd9gzLbvyNv2Caerbov2D09
MBdbqedmvETj2BSbqefm0B1jxALjhiov2DaerbuLwBLnhiov2DGi1B
TfMBaebbnrfifHhDYfgasaacH8Wrpu0dbbf9q8qqaqpepec8Eeeu0x
Xdbba9frFj0=OqFfea0dXdd9vqaq=JfrVkFHe9pgea0dXdar=Jb9hs
0dXdbPYxe9vr0=vr0=vqpWqaaeaabiGaaiaacaqabeaadaabauaaaO
qaaiaah2eacqGH9aqpdaqadaabaeqabaGaamytamaaBaaaleaacaaI
XaaabeaaaOqaaiaad2eadaWgaaWcbaGaaGOmaaqabaaakeaacaWGnb
WaaSbaaSqaaiaaiodaaeqaaaaakiaawIcacaGLPaaacqGH9aqpdaqa
daabaeqabaGaamyBamaaBaaaleaacaaIXaaabeaaaOqaaiaad2gada
WgaaWcbaGaaGOmaaqabaaakeaacaWGTbWaaSbaaSqaaiaaiodaaeqa
aaaakiaawIcacaGLPaaacqGHsislcqaH1oqzcaWGvbWaaWbaaSqabe
aacaaIYaaaaOGaci4CaiaacMgacaGGUbGaeqiUdeNaaGPaVlGacoga
caGGVbGaai4CaiabeI7aXnaabmaaeaGabeaaciGGJbGaai4Baiaaco
hacqaHipqEaeaaciGGZbGaaiyAaiaac6gacqaHipqEaeaacaaIWaaa
aiaawIcacaGLPaaacaaMc8Uaey4kaSIaeqiVd0MaaGPaVlabeo7aNn
aabmaaeaqabeaacaWGxbWaaSbaaSqaaiaaigdaaeqaaaGcbaGaam4v
amaaBaaaleaacaaIYaaabeaaaOqaaiaadEfadaWgaaWcbaGaaG4maa
qabaaaaOGaayjkaiaawMcaaiaacYcaaaa@72BF@
 (3.13)

а проекции вектора m (2.19) выражаются через силовую функцию

V= 3ε 16 f(ν) 2sin2θsinρ (1+cosρ)sin(ψ2s) (1cosρ)sin(ψ+2s) + + sin 2 θ 4 (1+cosρ) 2 cos2(ψs) (1cosρ) 2 cos2(ψ+s) + +2 sin 2 ρ (3 cos 2 θ1)(1+cos2s)+ sin 2 θcos2ψ +2sin2ρsin2θsinψ ,
MathType@MTEF@5@5@+=
feaahGart1ev3aaatCvAUfeBSjuyZL2yd9gzLbvyNv2Caerbov2D09
MBdbqedmvETj2BSbqefm0B1jxALjhiov2DaerbuLwBLnhiov2DGi1B
TfMBaebbnrfifHhDYfgasaacH8Wrpu0dbbf9q8qqaqpepec8Eeeu0x
Xdbba9frFj0=OqFfea0dXdd9vqaq=JfrVkFHe9pgea0dXdar=Jb9hs
0dXdbPYxe9vr0=vr0=vqpWqaaeaabiGaaiaacaqabeaadaabauaaaO
abaiqabaGaamOvaiaaykW7cqGH9aqpcqGHsislcaaMe8+aaSaaaeaa
caaIZaGaeqyTdugabaGaaGymaiaaiAdaaaGaamOzaiaacIcacqaH9o
GBcaGGPaWaaeqabeaacaaIYaGaci4CaiaacMgacaGGUbGaaGOmaiab
eI7aXjGacohacaGGPbGaaiOBaiabeg8aYnaadeqabaGaaiikaiaaig
dacqGHRaWkciGGJbGaai4BaiaacohacqaHbpGCcaGGPaGaci4Caiaa
cMgacaGGUbGaaiikaiabeI8a5jabgkHiTiaaikdacaWGZbGaaiykai
abgkHiTiaaysW7daWaceqaaiaacIcacaaIXaGaeyOeI0Iaci4yaiaa
c+gacaGGZbGaeqyWdiNaaiykaiGacohacaGGPbGaaiOBaiaacIcacq
aHipqEcqGHRaWkcaaIYaGaam4CaiaacMcaaiaaw2faaiaaysW7caaM
c8Uaey4kaScacaGLBbaaaiaawIcaaaqaaiabgUcaRiaaysW7caaMc8
Uaci4CaiaacMgacaGGUbWaaWbaaSqabeaacaaIYaaaaOGaeqiUde3a
amWabeaacaaI0aGaeyOeI0IaaiikaiaaigdacqGHRaWkciGGJbGaai
4BaiaacohacqaHbpGCcaGGPaWaaWbaaSqabeaacaaIYaaaaOGaci4y
aiaac+gacaGGZbGaaGOmaiaacIcacqaHipqEcqGHsislcaWGZbGaai
ykaiabgkHiTiaacIcacaaIXaGaeyOeI0Iaci4yaiaac+gacaGGZbGa
eqyWdiNaaiykamaaCaaaleqabaGaaGOmaaaakiGacogacaGGVbGaai
4CaiaaikdacaGGOaGaeqiYdKNaey4kaSIaam4CaiaacMcaaiaawUfa
caGLDbaacqGHRaWkaeaacqGHRaWkcaaMe8UaaGPaVlaaikdaciGGZb
GaaiyAaiaac6gadaahaaWcbeqaaiaaikdaaaGccqaHbpGCdaqaceqa
amaadmqabaGaaiikaiaaiodaciGGJbGaai4BaiaacohadaahaaWcbe
qaaiaaikdaaaGccqaH4oqCcqGHsislcaaIXaGaaiykaiaacIcacaaI
XaGaey4kaSIaci4yaiaac+gacaGGZbGaaGOmaiaadohacaGGPaGaey
4kaSIaci4CaiaacMgacaGGUbWaaWbaaSqabeaacaaIYaaaaOGaeqiU
deNaci4yaiaac+gacaGGZbGaaGOmaiabeI8a5bGaay5waiaaw2faai
abgUcaRiaaikdaciGGZbGaaiyAaiaac6gacaaIYaGaeqyWdiNaci4C
aiaacMgacaGGUbGaaGOmaiabeI7aXjGacohacaGGPbGaaiOBaiabeI
8a5bGaayzkaaGaaiilaaaaaa@E649@
 (3.14)

по формулам [9]

m 1 =ctgρ V ψ + 1 sinρ V s , MathType@MTEF@5@5@+=
feaahGart1ev3aaatCvAUfeBSjuyZL2yd9gzLbvyNv2Caerbov2D09
MBdbqedmvETj2BSbqefm0B1jxALjhiov2DaerbuLwBLnhiov2DGi1B
TfMBaebbnrfifHhDYfgasaacH8Wrpu0dbbf9q8qqaqpepec8Eeeu0x
Xdbba9frFj0=OqFfea0dXdd9vqaq=JfrVkFHe9pgea0dXdar=Jb9hs
0dXdbPYxe9vr0=vr0=vqpWqaaeaabiGaaiaacaqabeaadaabauaaaO
qaaiaad2gadaWgaaWcbaGaaGymaaqabaGccqGH9aqpciGGJbGaaiiD
aiaacEgacqaHbpGCdaWcaaqaaiabgkGi2kaadAfaaeaacqGHciITcq
aHipqEaaGaey4kaSYaaSaaaeaacaaIXaaabaGaci4CaiaacMgacaGG
UbGaeqyWdihaamaalaaabaGaeyOaIyRaamOvaaqaaiabgkGi2kaado
haaaGaaiilaaaa@50CB@
  m 2 = V ρ , MathType@MTEF@5@5@+=
feaahGart1ev3aaatCvAUfeBSjuyZL2yd9gzLbvyNv2Caerbov2D09
MBdbqedmvETj2BSbqefm0B1jxALjhiov2DaerbuLwBLnhiov2DGi1B
TfMBaebbnrfifHhDYfgasaacH8Wrpu0dbbf9q8qqaqpepec8Eeeu0x
Xdbba9frFj0=OqFfea0dXdd9vqaq=JfrVkFHe9pgea0dXdar=Jb9hs
0dXdbPYxe9vr0=vr0=vqpWqaaeaabiGaaiaacaqabeaadaabauaaaO
qaaiaad2gadaWgaaWcbaGaaGOmaaqabaGccaaMe8Uaeyypa0ZaaSaa
aeaacqGHciITcaWGwbaabaGaeyOaIyRaeqyWdihaaiaacYcaaaa@42CB@
  m 3 = V ψ . MathType@MTEF@5@5@+=
feaahGart1ev3aaatCvAUfeBSjuyZL2yd9gzLbvyNv2Caerbov2D09
MBdbqedmvETj2BSbqefm0B1jxALjhiov2DaerbuLwBLnhiov2DGi1B
TfMBaebbnrfifHhDYfgasaacH8Wrpu0dbbf9q8qqaqpepec8Eeeu0x
Xdbba9frFj0=OqFfea0dXdd9vqaq=JfrVkFHe9pgea0dXdar=Jb9hs
0dXdbPYxe9vr0=vr0=vqpWqaaeaabiGaaiaacaqabeaadaabauaaaO
qaaiaad2gadaWgaaWcbaGaaG4maaqabaGccaaMe8Uaeyypa0ZaaSaa
aeaacqGHciITcaWGwbaabaGaeyOaIyRaeqiYdKhaaiaac6caaaa@42DC@
 (3.15)

Здесь

s=νσ. MathType@MTEF@5@5@+=
feaahGart1ev3aaatCvAUfeBSjuyZL2yd9gzLbvyNv2Caerbov2D09
MBdbqedmvETj2BSbqefm0B1jxALjhiov2DaerbuLwBLnhiov2DGi1B
TfMBaebbnrfifHhDYfgasaacH8Wrpu0dbbf9q8qqaqpepec8Eeeu0x
Xdbba9frFj0=OqFfea0dXdd9vqaq=JfrVkFHe9pgea0dXdar=Jb9hs
0dXdbPYxe9vr0=vr0=vqpWqaaeaabiGaaiaacaqabeaadaabauaaaO
qaaiaadohacqGH9aqpcqaH9oGBcqGHsislcqaHdpWCcaGGUaaaaa@3F45@
 (3.16)

Заметим, что проекции (3.15) гравитационного момента на оси базиса Os1s2s3 могут быть вычислены и непосредственно на основе формулы (2.19).

4. Резонансные вращения спутника на круговой орбите. Резонанс 2:1. Для случая круговой орбиты будем иметь s=τσ,f= 1 MathType@MTEF@5@5@+=
feaahGart1ev3aaatCvAUfeBSjuyZL2yd9gzLbvyNv2Caerbov2D09
MBaeXatLxBI9gBaeXafv3ySLgzGmvETj2BSbqeeuuDJXwAKbsr4rNC
HbGeaGqipC0df9qqqrpepC0xbbL8F4rqqrFfpeea0de9Gq=Je9qspe
ea0xd9qs=xfrVkFHe9peei0dXdar=Jb9qqFfea0lrP0xe9Fve9Fve9
GapdbeqaaeGacaGaamaabeqaaeqabiabaaGcbaaeaaaaaaaaa8qaca
WGZbGaeyypa0JaeqiXdqNaai4eGiabeo8aZjaacYcacaaMc8UaaGPa
VlaadAgacqGH9aqpcaqGGaGaaGymaaaa@44A3@
.

Оценим сначала значения компонент вектора W в режиме медленной эволюции, которая наступает после окончания переходных процессов (при достаточно больших значениях τ MathType@MTEF@5@5@+=
feaahGart1ev3aqatCvAUfeBSjuyZL2yd9gzLbvyNv2Caerbov2D09
MBaeXatLxBI9gBaeXafv3ySLgzGmvETj2BSbqeeuuDJXwAKbsr4rNC
HbGeaGqipC0df9qqqrpepC0xbbL8F4rqqrFfpeea0de9Gq=Je9qspe
ea0xd9qs=xfrVkFHe9peei0dXdar=Jb9qqFfea0lrP0xe9Fve9Fve9
GapdbeqaaeGacaGaamaabeqaaeqabiabaaGcbaGaeqiXdqhaaa@38F7@
 ). На основании уравнения (2.18) получим для производной по
τ MathType@MTEF@5@5@+=
feaahGart1ev3aqatCvAUfeBSjuyZL2yd9gzLbvyNv2Caerbov2D09
MBaeXatLxBI9gBaeXafv3ySLgzGmvETj2BSbqeeuuDJXwAKbsr4rNC
HbGeaGqipC0df9qqqrpepC0xbbL8F4rqqrFfpeea0de9Gq=Je9qspe
ea0xd9qs=xfrVkFHe9peei0dXdar=Jb9qqFfea0lrP0xe9Fve9Fve9
GapdbeqaaeGacaGaamaabeqaaeqabiabaaGcbaGaeqiXdqhaaa@38F7@
 от функции W 2 следующее выражение:

( W 2 ) =2μ(1+γ) W 2 2(mW)+2ε(Ue)[(U×e)W]+2εμγ (We) 2 1+ε . MathType@MTEF@5@5@+=
feaahGart1ev3aaatCvAUfeBSjuyZL2yd9gzLbvyNv2Caerbov2D09
MBdbqedmvETj2BSbqefm0B1jxALjhiov2DaerbuLwBLnhiov2DGi1B
TfMBaebbnrfifHhDYfgasaacH8Wrpu0dbbf9q8qqaqpepec8Eeeu0x
Xdbba9frFj0=OqFfea0dXdd9vqaq=JfrVkFHe9pgea0dXdar=Jb9hs
0dXdbPYxe9vr0=vr0=vqpWqaaeaabiGaaiaacaqabeaadaabauaaaO
qaaiaacIcacaWGxbWaaWbaaSqabeaacaaIYaaaaOGabiykayaafaGa
eyypa0JaeyOeI0IaaGOmaiabeY7aTjaacIcacaaIXaGaey4kaSIaeq
4SdCMaaiykaiaadEfadaahaaWcbeqaaiaaikdaaaGccqGHsislcaaI
YaGaaiikaiaah2gacqGHflY1caWHxbGaaiykaiabgUcaRiaaikdacq
aH1oqzcaGGOaGaaCyvaiabgwSixlaahwgacaGGPaGaai4waiaacIca
caWHvbGaey41aqRaaCyzaiaacMcacaaMe8UaeyyXICTaaC4vaiaac2
facqGHRaWkcaaIYaGaeqyTduMaeqiVd0Maeq4SdC2aaSaaaeaacaGG
OaGaaC4vaiabgwSixlaahwgacaGGPaWaaWbaaSqabeaacaaIYaaaaa
GcbaGaaGymaiabgUcaRiabew7aLbaacaGGUaaaaa@72C7@
 (4.1)

Отсюда следует, что если Uε MathType@MTEF@5@5@+=
feaahGart1ev3aaatCvAUfeBSjuyZL2yd9gzLbvyNv2Caerbov2D09
MBaeXatLxBI9gBaeXafv3ySLgzGmvETj2BSbqeeuuDJXwAKbsr4rNC
HbGeaGqipC0df9qqqrpepC0xbbL8F4rqqrFfpeea0de9Gq=Je9qspe
ea0xd9qs=xfrVkFHe9peei0dXdar=Jb9qqFfea0lrP0xe9Fve9Fve9
GapdbeqaaeGacaGaamaabeqaaeqabiabaaGcbaaeaaaaaaaaa8qaca
WGvbGaeS4AI8JaeqyTdugaaa@3B2F@
, то в режиме медленной эволюции все компоненты вектора W, а следовательно, и все компоненты вектора M (3.12), будут ограниченными функциями малого параметра ε:

W k =O(ε), M k =O(ε);k=1,2,3. MathType@MTEF@5@5@+=
feaahGart1ev3aaatCvAUfeBSjuyZL2yd9gzLbvyNv2Caerbov2D09
MBdbqedmvETj2BSbqefm0B1jxALjhiov2DaerbuLwBLnhiov2DGi1B
TfMBaebbnrfifHhDYfgasaacH8Wrpu0dbbf9q8qqaqpepec8Eeeu0x
Xdbba9frFj0=OqFfea0dXdd9vqaq=JfrVkFHe9pgea0dXdar=Jb9hs
0dXdbPYxe9vr0=vr0=vqpWqaaeaabiGaaiaacaqabeaadaabauaaaO
qaaiaadEfadaWgaaWcbaGaam4AaaqabaGccaaMe8Uaeyypa0Jaam4t
aiaacIcacqaH1oqzcaGGPaGaaiilaiaaykW7caaMc8UaaGPaVlaad2
eadaWgaaWcbaGaam4AaaqabaGccaaMe8Uaeyypa0Jaam4taiaacIca
cqaH1oqzcaGGPaGaai4oaiaaykW7caaMc8UaaGPaVlaaykW7caaMc8
UaaGPaVlaadUgacaaMe8Uaeyypa0JaaGjbVlaaigdacaGGSaGaaGjb
VlaaikdacaGGSaGaaGjbVlaaiodacaGGUaaaaa@64B7@
 (4.2)

В свою очередь, из уравнений (3.4) MathType@MTEF@5@5@+=
feaahGart1ev3aqatCvAUfeBSjuyZL2yd9gzLbvyNv2Caerbov2D09
MBaeXatLxBI9gBaeXafv3ySLgzGmvETj2BSbqeeuuDJXwAKbsr4rNC
HbGeaGqipC0df9qqqrpepC0xbbL8F4rqqrFfpeea0de9Gq=Je9qspe
ea0xd9qs=xfrVkFHe9peei0dXdar=Jb9qqFfea0lrP0xe9Fve9Fve9
GapdbeqaaeGacaGaamaabeqaaeqabiabaaGcbaqefqvATv2CG4uz3b
IuV1wyUbacfaqcLbuaqaa6daaaOpWdbiaa=nbiaaa@4017@
(3.11) при учете (4.2) следует, что при
Uε MathType@MTEF@5@5@+=
feaahGart1ev3aaatCvAUfeBSjuyZL2yd9gzLbvyNv2Caerbov2D09
MBaeXatLxBI9gBaeXafv3ySLgzGmvETj2BSbqeeuuDJXwAKbsr4rNC
HbGeaGqipC0df9qqqrpepC0xbbL8F4rqqrFfpeea0de9Gq=Je9qspe
ea0xd9qs=xfrVkFHe9peei0dXdar=Jb9qqFfea0lrP0xe9Fve9Fve9
GapdbeqaaeGacaGaamaabeqaaeqabiabaaGcbaaeaaaaaaaaa8qaca
WGvbGaeS4AI8JaeqyTdugaaa@3B2F@
 в режиме медленной эволюции переменные τ MathType@MTEF@5@5@+=
feaahGart1ev3aqatCvAUfeBSjuyZL2yd9gzLbvyNv2Caerbov2D09
MBaeXatLxBI9gBaeXafv3ySLgzGmvETj2BSbqeeuuDJXwAKbsr4rNC
HbGeaGqipC0df9qqqrpepC0xbbL8F4rqqrFfpeea0de9Gq=Je9qspe
ea0xd9qs=xfrVkFHe9peei0dXdar=Jb9qqFfea0lrP0xe9Fve9Fve9
GapdbeqaaeGacaGaamaabeqaaeqabiabaaGcbaGaeqiXdqhaaa@38F7@
 и y будут “быстрыми”, а остальные переменные MathType@MTEF@5@5@+=
feaahGart1ev3aqatCvAUfeBSjuyZL2yd9gzLbvyNv2Caerbov2D09
MBaeXatLxBI9gBaeXafv3ySLgzGmvETj2BSbqeeuuDJXwAKbsr4rNC
HbGeaGqipC0df9qqqrpepC0xbbL8F4rqqrFfpeea0de9Gq=Je9qspe
ea0xd9qs=xfrVkFHe9peei0dXdar=Jb9qqFfea0lrP0xe9Fve9Fve9
GapdbeqaaeGacaGaamaabeqaaeqabiabaaGcbaqefqvATv2CG4uz3b
IuV1wyUbacfaqcLbuaqaa6daaaOpWdbiaa=nbiaaa@4017@
 “медленными” (скорость изменения этих переменных будет ограниченной функцией ε MathType@MTEF@5@5@+=
feaahGart1ev3aqatCvAUfeBSjuyZL2yd9gzLbvyNv2Caerbov2D09
MBaeXatLxBI9gBaeXafv3ySLgzGmvETj2BSbqeeuuDJXwAKbsr4rNC
HbGeaGqipC0df9qqqrpepC0xbbL8F4rqqrFfpeea0de9Gq=Je9qspe
ea0xd9qs=xfrVkFHe9peei0dXdar=Jb9qqFfea0lrP0xe9Fve9Fve9
GapdbeqaaeGacaGaamaabeqaaeqabiabaaGcbaGaeqyTdugaaa@38D9@
 ).

Для анализа резонансных вращений спутника будем использовать метод осреднения [10, 11]. В процедуре этого метода сначала ищется зависящее явно от “быстрых” переменных τ MathType@MTEF@5@5@+=
feaahGart1ev3aqatCvAUfeBSjuyZL2yd9gzLbvyNv2Caerbov2D09
MBaeXatLxBI9gBaeXafv3ySLgzGmvETj2BSbqeeuuDJXwAKbsr4rNC
HbGeaGqipC0df9qqqrpepC0xbbL8F4rqqrFfpeea0de9Gq=Je9qspe
ea0xd9qs=xfrVkFHe9peei0dXdar=Jb9qqFfea0lrP0xe9Fve9Fve9
GapdbeqaaeGacaGaamaabeqaaeqabiabaaGcbaGaeqiXdqhaaa@38F7@
 и ψ MathType@MTEF@5@5@+=
feaahGart1ev3aqatCvAUfeBSjuyZL2yd9gzLbvyNv2Caerbov2D09
MBaeXatLxBI9gBaeXafv3ySLgzGmvETj2BSbqeeuuDJXwAKbsr4rNC
HbGeaGqipC0df9qqqrpepC0xbbL8F4rqqrFfpeea0de9Gq=Je9qspe
ea0xd9qs=xfrVkFHe9peei0dXdar=Jb9qqFfea0lrP0xe9Fve9Fve9
GapdbeqaaeGacaGaamaabeqaaeqabiabaaGcbaGaeqiYdKhaaa@3900@
 решение системы, получаемой линеаризацией уравнений (3.4) MathType@MTEF@5@5@+=
feaahGart1ev3aqatCvAUfeBSjuyZL2yd9gzLbvyNv2Caerbov2D09
MBaeXatLxBI9gBaeXafv3ySLgzGmvETj2BSbqeeuuDJXwAKbsr4rNC
HbGeaGqipC0df9qqqrpepC0xbbL8F4rqqrFfpeea0de9Gq=Je9qspe
ea0xd9qs=xfrVkFHe9peei0dXdar=Jb9qqFfea0lrP0xe9Fve9Fve9
GapdbeqaaeGacaGaamaabeqaaeqabiabaaGcbaqefqvATv2CG4uz3b
IuV1wyUbacfaqcLbuaqaa6daaaOpWdbiaa=nbiaaa@4017@
(3.11). Затем это решение подставляется в нелинейные уравнения и после осреднения получаются эволюционные уравнения.

Из уравнений (3.4) MathType@MTEF@5@5@+=
feaahGart1ev3aqatCvAUfeBSjuyZL2yd9gzLbvyNv2Caerbov2D09
MBaeXatLxBI9gBaeXafv3ySLgzGmvETj2BSbqeeuuDJXwAKbsr4rNC
HbGeaGqipC0df9qqqrpepC0xbbL8F4rqqrFfpeea0de9Gq=Je9qspe
ea0xd9qs=xfrVkFHe9peei0dXdar=Jb9qqFfea0lrP0xe9Fve9Fve9
GapdbeqaaeGacaGaamaabeqaaeqabiabaaGcbaqefqvATv2CG4uz3b
IuV1wyUbacfaqcLbuaqaa6daaaOpWdbiaa=nbiaaa@4017@
(3.11) и формул (3.14) MathType@MTEF@5@5@+=
feaahGart1ev3aqatCvAUfeBSjuyZL2yd9gzLbvyNv2Caerbov2D09
MBaeXatLxBI9gBaeXafv3ySLgzGmvETj2BSbqeeuuDJXwAKbsr4rNC
HbGeaGqipC0df9qqqrpepC0xbbL8F4rqqrFfpeea0de9Gq=Je9qspe
ea0xd9qs=xfrVkFHe9peei0dXdar=Jb9qqFfea0lrP0xe9Fve9Fve9
GapdbeqaaeGacaGaamaabeqaaeqabiabaaGcbaqefqvATv2CG4uz3b
IuV1wyUbacfaqcLbuaqaa6daaaOpWdbiaa=nbiaaa@4017@
(3.16) следует, что в решениях линеаризованной системы будут фигурировать гармонические функции вида:

a 1 cos(ψ±2s)+ b 1 sin(ψ±2s) ψ ±2 s , a 2 cos2(ψ±s)+ b 2 sin2(ψ±s) ψ ± s , a 3 cos2s+ b 3 sin2s s
, a 4 cosψ+ b 4 sinψ ψ
, a 5 cos2ψ+ b 5 sin2ψ ψ
.
MathType@MTEF@5@5@+=
feaahGart1ev3aaatCvAUfeBSjuyZL2yd9gzLbvyNv2Caerbov2D09
MBdbqedmvETj2BSbqefm0B1jxALjhiov2DaerbuLwBLnhiov2DGi1B
TfMBaebbnrfifHhDYfgasaacH8Wrpu0dbbf9q8qqaqpepec8Eeeu0x
Xdbba9frFj0=OqFfea0dXdd9vqaq=JfrVkFHe9pgea0dXdar=Jb9hs
0dXdbPYxe9vr0=vr0=vqpWqaaeaabiGaaiaacaqabeaadaabauaaaO
abaeqabaWaaSaaaeaacaWGHbWaaSbaaSqaaiaaigdaaeqaaOGaci4y
aiaac+gacaGGZbGaaiikaiabeI8a5jabgglaXkaaikdacaWGZbGaai
ykaiabgUcaRiaadkgadaWgaaWcbaGaaGymaaqabaGcciGGZbGaaiyA
aiaac6gacaGGOaGaeqiYdKNaeyySaeRaaGOmaiaadohacaGGPaaaba
GafqiYdKNbauaacqGHXcqScaaIYaGabm4CayaafaaaaiaacYcacaaM
c8UaaGPaVlaaykW7caaMc8UaaGPaVpaalaaabaGaamyyamaaBaaale
aacaaIYaaabeaakiGacogacaGGVbGaai4CaiaaikdacaGGOaGaeqiY
dKNaeyySaeRaam4CaiaacMcacqGHRaWkcaWGIbWaaSbaaSqaaiaaik
daaeqaaOGaci4CaiaacMgacaGGUbGaaGOmaiaacIcacqaHipqEcqGH
XcqScaWGZbGaaiykaaqaaiqbeI8a5zaafaGaeyySaeRabm4Cayaafa
aaaiaacYcacaaMc8oabaGaaGPaVpaalaaabaGaamyyamaaBaaaleaa
caaIZaaabeaakiGacogacaGGVbGaai4CaiaaikdacaWGZbGaey4kaS
IaamOyamaaBaaaleaacaaIZaaabeaakiGacohacaGGPbGaaiOBaiaa
ikdacaWGZbaabaGabm4CayaafaaaaiaacYcacaaMc8UaaGPaVlaayk
W7caaMc8UaaGPaVpaalaaabaGaamyyamaaBaaaleaacaaI0aaabeaa
kiGacogacaGGVbGaai4CaiabeI8a5jabgUcaRiaadkgadaWgaaWcba
GaaGinaaqabaGcciGGZbGaaiyAaiaac6gacqaHipqEaeaacuaHipqE
gaqbaaaacaGGSaGaaGPaVlaaykW7caaMc8UaaGPaVlaaykW7daWcaa
qaaiaadggadaWgaaWcbaGaaGynaaqabaGcciGGJbGaai4Baiaacoha
caaIYaGaeqiYdKNaey4kaSIaamOyamaaBaaaleaacaaI1aaabeaaki
GacohacaGGPbGaaiOBaiaaikdacqaHipqEaeaacuaHipqEgaqbaaaa
caGGUaaaaaa@BFB9@

Резонансным вращениям спутника будут соответствовать движения, для которых средние по времени τ MathType@MTEF@5@5@+=
feaahGart1ev3aqatCvAUfeBSjuyZL2yd9gzLbvyNv2Caerbov2D09
MBaeXatLxBI9gBaeXafv3ySLgzGmvETj2BSbqeeuuDJXwAKbsr4rNC
HbGeaGqipC0df9qqqrpepC0xbbL8F4rqqrFfpeea0de9Gq=Je9qspe
ea0xd9qs=xfrVkFHe9peei0dXdar=Jb9qqFfea0lrP0xe9Fve9Fve9
GapdbeqaaeGacaGaamaabeqaaeqabiabaaGcbaGaeqiXdqhaaa@38F7@
 значения некоторых из знаменателей в записанных выражениях обращаются в нуль. Сначала выясним, для каких из этих знаменателей указанное условие заведомо не выполняется. Средние по времени τ MathType@MTEF@5@5@+=
feaahGart1ev3aqatCvAUfeBSjuyZL2yd9gzLbvyNv2Caerbov2D09
MBaeXatLxBI9gBaeXafv3ySLgzGmvETj2BSbqeeuuDJXwAKbsr4rNC
HbGeaGqipC0df9qqqrpepC0xbbL8F4rqqrFfpeea0de9Gq=Je9qspe
ea0xd9qs=xfrVkFHe9peei0dXdar=Jb9qqFfea0lrP0xe9Fve9Fve9
GapdbeqaaeGacaGaamaabeqaaeqabiabaaGcbaGaeqiXdqhaaa@38F7@
 значения переменных будем обозначать угловыми скобками.

Из уравнений (3.5) и (3.11) при учете (4.2) следует, что при Uε MathType@MTEF@5@5@+=
feaahGart1ev3aaatCvAUfeBSjuyZL2yd9gzLbvyNv2Caerbov2D09
MBaeXatLxBI9gBaeXafv3ySLgzGmvETj2BSbqeeuuDJXwAKbsr4rNC
HbGeaGqipC0df9qqqrpepC0xbbL8F4rqqrFfpeea0de9Gq=Je9qspe
ea0xd9qs=xfrVkFHe9peei0dXdar=Jb9qqFfea0lrP0xe9Fve9Fve9
GapdbeqaaeGacaGaamaabeqaaeqabiabaaGcbaaeaaaaaaaaa8qaca
WGvbGaeS4AI8JaeqyTdugaaa@3B2F@
 выполняются следующие неравенства:

ψ
=U+O(ε)>0, MathType@MTEF@5@5@+=
feaahGart1ev3aaatCvAUfeBSjuyZL2yd9gzLbvyNv2Caerbov2D09
MBdbqedmvETj2BSbqefm0B1jxALjhiov2DaerbuLwBLnhiov2DGi1B
TfMBaebbnrfifHhDYfgasaacH8Wrpu0dbbf9q8qqaqpepec8Eeeu0x
Xdbba9frFj0=OqFfea0dXdd9vqaq=JfrVkFHe9pgea0dXdar=Jb9hs
0dXdbPYxe9vr0=vr0=vqpWqaaeaabiGaaiaacaqabeaadaabauaaaO
qaamaaamaabaGafqiYdKNbauaaaiaawMYicaGLQmcacqGH9aqpcaWG
vbGaey4kaSIaam4taiaacIcacqaH1oqzcaGGPaGaeyOpa4JaaGimai
aacYcaaaa@44DF@
  s
=1+O(ε)>0, MathType@MTEF@5@5@+=
feaahGart1ev3aaatCvAUfeBSjuyZL2yd9gzLbvyNv2Caerbov2D09
MBdbqedmvETj2BSbqefm0B1jxALjhiov2DaerbuLwBLnhiov2DGi1B
TfMBaebbnrfifHhDYfgasaacH8Wrpu0dbbf9q8qqaqpepec8Eeeu0x
Xdbba9frFj0=OqFfea0dXdd9vqaq=JfrVkFHe9pgea0dXdar=Jb9hs
0dXdbPYxe9vr0=vr0=vqpWqaaeaabiGaaiaacaqabeaadaabauaaaO
qaamaaamaabaGabm4CayaafaaacaGLPmIaayPkJaGaeyypa0JaaGym
aiabgUcaRiaad+eacaGGOaGaeqyTduMaaiykaiabg6da+iaaicdaca
GGSaaaaa@43EA@

ψ +2 s =2+O(ε)>0, MathType@MTEF@5@5@+=
feaahGart1ev3aaatCvAUfeBSjuyZL2yd9gzLbvyNv2Caerbov2D09
MBdbqedmvETj2BSbqefm0B1jxALjhiov2DaerbuLwBLnhiov2DGi1B
TfMBaebbnrfifHhDYfgasaacH8Wrpu0dbbf9q8qqaqpepec8Eeeu0x
Xdbba9frFj0=OqFfea0dXdd9vqaq=JfrVkFHe9pgea0dXdar=Jb9hs
0dXdbPYxe9vr0=vr0=vqpWqaaeaabiGaaiaacaqabeaadaabauaaaO
qaamaaamaabaGafqiYdKNbauaacqGHRaWkcaaIYaGabm4Cayaafaaa
caGLPmIaayPkJaGaeyypa0JaaGOmaiabgUcaRiaad+eacaGGOaGaeq
yTduMaaiykaiabg6da+iaaicdacaGGSaaaaa@4763@
  ψ + s =1+O(ε)>0. MathType@MTEF@5@5@+=
feaahGart1ev3aaatCvAUfeBSjuyZL2yd9gzLbvyNv2Caerbov2D09
MBdbqedmvETj2BSbqefm0B1jxALjhiov2DaerbuLwBLnhiov2DGi1B
TfMBaebbnrfifHhDYfgasaacH8Wrpu0dbbf9q8qqaqpepec8Eeeu0x
Xdbba9frFj0=OqFfea0dXdd9vqaq=JfrVkFHe9pgea0dXdar=Jb9hs
0dXdbPYxe9vr0=vr0=vqpWqaaeaabiGaaiaacaqabeaadaabauaaaO
qaamaaamaabaGafqiYdKNbauaacqGHRaWkceWGZbGbauaaaiaawMYi
caGLQmcacqGH9aqpcaaIXaGaey4kaSIaam4taiaacIcacqaH1oqzca
GGPaGaeyOpa4JaaGimaiaac6caaaa@46A8@

Таким образом, в диапазоне значений Uε MathType@MTEF@5@5@+=
feaahGart1ev3aaatCvAUfeBSjuyZL2yd9gzLbvyNv2Caerbov2D09
MBaeXatLxBI9gBaeXafv3ySLgzGmvETj2BSbqeeuuDJXwAKbsr4rNC
HbGeaGqipC0df9qqqrpepC0xbbL8F4rqqrFfpeea0de9Gq=Je9qspe
ea0xd9qs=xfrVkFHe9peei0dXdar=Jb9qqFfea0lrP0xe9Fve9Fve9
GapdbeqaaeGacaGaamaabeqaaeqabiabaaGcbaaeaaaaaaaaa8qaca
WGvbGaeS4AI8JaeqyTdugaaa@3B2F@
 резонансные вращения спутника возможны только при выполнении следующих двух резонансных соотношений:

ψ 2 s = ψ +2 σ 2=0 MathType@MTEF@5@5@+=
feaahGart1ev3aaatCvAUfeBSjuyZL2yd9gzLbvyNv2Caerbov2D09
MBdbqedmvETj2BSbqefm0B1jxALjhiov2DaerbuLwBLnhiov2DGi1B
TfMBaebbnrfifHhDYfgasaacH8Wrpu0dbbf9q8qqaqpepec8Eeeu0x
Xdbba9frFj0=OqFfea0dXdd9vqaq=JfrVkFHe9pgea0dXdar=Jb9hs
0dXdbPYxe9vr0=vr0=vqpWqaaeaabiGaaiaacaqabeaadaabauaaaO
qaamaaamaabaGafqiYdKNbauaacqGHsislcaaIYaGabm4Cayaafaaa
caGLPmIaayPkJaGaeyypa0ZaaaWaaeaacuaHipqEgaqbaiabgUcaRi
aaikdacuaHdpWCgaqbaaGaayzkJiaawQYiaiabgkHiTiaaikdacqGH
9aqpcaaIWaaaaa@4A0A@
  U=2+O(ε), MathType@MTEF@5@5@+=
feaahGart1ev3aaatCvAUfeBSjuyZL2yd9gzLbvyNv2Caerbov2D09
MBdbqedmvETj2BSbqefm0B1jxALjhiov2DaerbuLwBLnhiov2DGi1B
TfMBaebbnrfifHhDYfgasaacH8Wrpu0dbbf9q8qqaqpepec8Eeeu0x
Xdbba9frFj0=OqFfea0dXdd9vqaq=JfrVkFHe9pgea0dXdar=Jb9hs
0dXdbPYxe9vr0=vr0=vqpWqaaeaabiGaaiaacaqabeaadaabauaaaO
qaaiabgkDiElaaykW7caaMc8UaaGPaVlaadwfacqGH9aqpcaaIYaGa
ey4kaSIaam4taiaacIcacqaH1oqzcaGGPaGaaiilaaaa@472D@
 (4.3)

ψ s = ψ + σ 1=0 MathType@MTEF@5@5@+=
feaahGart1ev3aaatCvAUfeBSjuyZL2yd9gzLbvyNv2Caerbov2D09
MBdbqedmvETj2BSbqefm0B1jxALjhiov2DaerbuLwBLnhiov2DGi1B
TfMBaebbnrfifHhDYfgasaacH8Wrpu0dbbf9q8qqaqpepec8Eeeu0x
Xdbba9frFj0=OqFfea0dXdd9vqaq=JfrVkFHe9pgea0dXdar=Jb9hs
0dXdbPYxe9vr0=vr0=vqpWqaaeaabiGaaiaacaqabeaadaabauaaaO
qaamaaamaabaGafqiYdKNbauaacqGHsislceWGZbGbauaaaiaawMYi
caGLQmcacqGH9aqpdaaadaqaaiqbeI8a5zaafaGaey4kaSIafq4Wdm
NbauaaaiaawMYicaGLQmcacqGHsislcaaIXaGaeyypa0JaaGimaaaa
@4891@
  U=1+O(ε). MathType@MTEF@5@5@+=
feaahGart1ev3aaatCvAUfeBSjuyZL2yd9gzLbvyNv2Caerbov2D09
MBdbqedmvETj2BSbqefm0B1jxALjhiov2DaerbuLwBLnhiov2DGi1B
TfMBaebbnrfifHhDYfgasaacH8Wrpu0dbbf9q8qqaqpepec8Eeeu0x
Xdbba9frFj0=OqFfea0dXdd9vqaq=JfrVkFHe9pgea0dXdar=Jb9hs
0dXdbPYxe9vr0=vr0=vqpWqaaeaabiGaaiaacaqabeaadaabauaaaO
qaaiabgkDiElaaykW7caaMc8UaaGPaVlaaykW7caWGvbGaaGjbVlab
g2da9iaaigdacqGHRaWkcaWGpbGaaiikaiabew7aLjaacMcacaGGUa
aaaa@4A46@
 (4.4)

Исследуем сначала вращения спутника, для которых выполняется резонансное соотношение (4.3). Выше такие вращения были названы резонансами 2:1, поскольку для них угловая скорость спутника близка к удвоенной угловой скорости орбитального базиса.

Введем новую переменную X согласно формуле

X=ψ2(τσ). MathType@MTEF@5@5@+=
feaahGart1ev3aaatCvAUfeBSjuyZL2yd9gzLbvyNv2Caerbov2D09
MBdbqedmvETj2BSbqefm0B1jxALjhiov2DaerbuLwBLnhiov2DGi1B
TfMBaebbnrfifHhDYfgasaacH8Wrpu0dbbf9q8qqaqpepec8Eeeu0x
Xdbba9frFj0=OqFfea0dXdd9vqaq=JfrVkFHe9pgea0dXdar=Jb9hs
0dXdbPYxe9vr0=vr0=vqpWqaaeaabiGaaiaacaqabeaadaabauaaaO
qaaiaadIfacqGH9aqpcqaHipqEcqGHsislcaaIYaGaaiikaiabes8a
0jabgkHiTiabeo8aZjaacMcacaGGUaaaaa@4407@
 (4.5)

Резонансное соотношение (4.3) будет выполняться для тех движений спутника, где среднее значение переменной X остается неизменным. При этом для резонансных вращений 2:1 будет иметь место такая синхронизация между движением центра масс и вращательным движением спутника, при которой за один оборот центра масс спутника относительно базиса Os1s2s3 ось симметрии спутника e совершает ровно два оборота вокруг вектора угловой скорости U (см. рис. 2, 3).

Согласно (3.5) и (3.11) уравнение, описывающее поведение переменной X, записывается в виде:

X =U2 ctgθ( M 1 cosψ+ M 2 sinψ)/U + M 2 (2cosρ)/ (Usinρ) . MathType@MTEF@5@5@+=
feaahGart1ev3aaatCvAUfeBSjuyZL2yd9gzLbvyNv2Caerbov2D09
MBdbqedmvETj2BSbqeeuuDJXwAKbsr4rNCHbGeaGqik8fkY=xipgYl
h9vqqj=hEeeu0xXdi9arFj0xirFj0dXdbba91qpK0=yr0RYxfr=Jbb
f9q8aq0=yq=He9q8qqQ8frFve9Fve9Ff0dmeaabaqaciaacaGaaeqa
baqabeGadaaakeabGdGabmiwayaafaGaeyypa0JaamyvaiabgkHiTi
aaikdacqGHsisldaWcgaqaaiGacogacaGG0bGaai4zaiabeI7aXjaa
cIcacaWGnbWaaSbaaSqaaiaaigdaaeqaaOGaci4yaiaac+gacaGGZb
GaeqiYdKNaey4kaSIaamytamaaBaaaleaacaaIYaaabeaakiGacoha
caGGPbGaaiOBaiabeI8a5jaacMcaaeaacaWGvbaaaiabgUcaRmaaly
aabaGaamytamaaBaaaleaacaaIYaaabeaakiaacIcacaaIYaGaeyOe
I0Iaci4yaiaac+gacaGGZbGaeqyWdiNaaiykaaqaaiaacIcacaWGvb
Gaci4CaiaacMgacaGGUbGaeqyWdiNaaiykaaaacaGGUaaaaa@5D96@
 (4.6)

Уравнения (3.4) MathType@MTEF@5@5@+=
feaahGart1ev3aqatCvAUfeBSjuyZL2yd9gzLbvyNv2Caerbov2D09
MBaeXatLxBI9gBaeXafv3ySLgzGmvETj2BSbqeeuuDJXwAKbsr4rNC
HbGeaGqipC0df9qqqrpepC0xbbL8F4rqqrFfpeea0de9Gq=Je9qspe
ea0xd9qs=xfrVkFHe9peei0dXdar=Jb9qqFfea0lrP0xe9Fve9Fve9
GapdbeqaaeGacaGaamaabeqaaeqabiabaaGcbaqefqvATv2CG4uz3b
IuV1wyUbacfaqcLbuaqaa6daaaOpWdbiaa=nbiaaa@4017@
(3.11), (4.6) заменой 2 τσ  =ψX MathType@MTEF@5@5@+=
feaahGart1ev3aaatCvAUfeBSjuyZL2yd9gzLbvyNv2Caerbov2D09
MBaeXatLxBI9gBaeXafv3ySLgzGmvETj2BSbqeeuuDJXwAKbsr4rNC
HbGeaGqipC0df9qqqrpepC0xbbL8F4rqqrFfpeea0de9Gq=Je9qspe
ea0xd9qs=xfrVkFHe9peei0dXdar=Jb9qqFfea0lrP0xe9Fve9Fve9
GapdbeqaaeGacaGaamaabeqaaeqabiabaaGcbaaeaaaaaaaaa8qaca
aIYaWdamaabmaabaWdbiabes8a0jaacobicqaHdpWCa8aacaGLOaGa
ayzkaaWdbiaabccacqGH9aqpcqaHipqEcaGGtaIaamiwaaaa@431E@
 приводятся к автономной системе в переменных ρ,U, W 1 , W 2 , W 3 ,θ,X,ψ. MathType@MTEF@5@5@+=
feaahGart1ev3aaatCvAUfeBSjuyZL2yd9gzLbvyNv2Caerbov2D09
MBdbqedmvETj2BSbqefm0B1jxALjhiov2DaerbuLwBLnhiov2DGi1B
TfMBaebbnrfifHhDYfgasaacH8Wrpu0dbbf9q8qqaqpepec8Eeeu0x
Xdbba9frFj0=OqFfea0dXdd9vqaq=JfrVkFHe9pgea0dXdar=Jb9hs
0dXdbPYxe9vr0=vr0=vqpWqaaeaabiGaaiaacaqabeaadaabauaaaO
qaaiaaykW7cqaHbpGCcaGGSaGaaGjbVlaadwfacaGGSaGaaGjbVlaa
dEfadaWgaaWcbaGaaGymaaqabaGccaGGSaGaaGjbVlaadEfadaWgaa
WcbaGaaGOmaaqabaGccaGGSaGaaGjbVlaadEfadaWgaaWcbaGaaG4m
aaqabaGccaGGSaGaaGjbVlabeI7aXjaacYcacaaMe8UaamiwaiaacY
cacaaMe8UaeqiYdKNaaiOlaaaa@567A@
 Далее усредним эти уравнения по “быстрой” переменной ψ MathType@MTEF@5@5@+=
feaahGart1ev3aqatCvAUfeBSjuyZL2yd9gzLbvyNv2Caerbov2D09
MBaeXatLxBI9gBaeXafv3ySLgzGmvETj2BSbqeeuuDJXwAKbsr4rNC
HbGeaGqipC0df9qqqrpepC0xbbL8F4rqqrFfpeea0de9Gq=Je9qspe
ea0xd9qs=xfrVkFHe9peei0dXdar=Jb9qqFfea0lrP0xe9Fve9Fve9
GapdbeqaaeGacaGaamaabeqaaeqabiabaaGcbaGaeqiYdKhaaa@3900@
, а интересующие нас резонансные вращения спутника будем искать среди стационарных по переменным U, W 1 , W 2 , W 3 ,θ,X MathType@MTEF@5@5@+=
feaahGart1ev3aaatCvAUfeBSjuyZL2yd9gzLbvyNv2Caerbov2D09
MBdbqefqvATv2CG4uz3bIuV1wyUbqedmvETj2BSbqefm0B1jxALjhi
ov2DaebbnrfifHhDYfgasaacH8Wrpu0dbbf9q8qqaqpepec8Eeeu0x
Xdbba9frFj0=OqFfea0dXdd9vqaq=JfrVkFHe9pgea0dXdar=Jb9hs
0dXdbPYxe9vr0=vr0=vqpWqaaiaabiWaamaadaqabeaaeaGaauaaaO
qaaiaadwfacaGGSaGaaGjbVlaadEfadaWgaaWcbaGaaGymaaqabaGc
caGGSaGaaGjbVlaadEfadaWgaaWcbaGaaGOmaaqabaGccaGGSaGaaG
jbVlaadEfadaWgaaWcbaGaaG4maaqabaGccaGGSaGaaGjbVlabeI7a
XjaacYcacaaMe8Uaamiwaaaa@4C38@
 решений (положений равновесия) осредненной системы при фиксированном значении переменной ρ.

В указанных переменных вычисленные по формулам (3.15) проекции гравитационного момента m (2.19) на оси базиса Os1s2s3 выражаются в виде:

m 1 = 3ε 8 sin2θ(1+cosρ)(2cosρ)cosX2sin2θ cos 2 ρcosψ+ + sin 2 θsinρ(1+cosρ)sin(ψ+X)2sinρ(13 cos 2 θ)sin(ψX)+ +sin2ρ sin 2 θsin2ψ+sin2θ(1cosρ)(2+cosρ)cos(2ψX) sin 2 θsinρ(1cosρ)sin(3ψX) ,
MathType@MTEF@5@5@+=
feaahGart1ev3aaatCvAUfeBSjuyZL2yd9gzLbvyNv2Caerbov2D09
MBdbqedmvETj2BSbqefm0B1jxALjhiov2DaerbuLwBLnhiov2DGi1B
TfMBaebbnrfifHhDYfgasaacH8Wrpu0dbbf9q8qqaqpepec8Eeeu0x
Xdbba9frFj0=OqFfea0dXdd9vqaq=JfrVkFHe9pgea0dXdar=Jb9hs
0dXdbPYxe9vr0=vr0=vqpWqaaeaabiGaaiaacaqabeaadaabauaaaO
abaeqabaGaamyBamaaBaaaleaacaaIXaaabeaakiabg2da9maalaaa
baGaaG4maiabew7aLbqaaiaaiIdaaaWaaiqaceaaciGGZbGaaiyAai
aac6gacaaIYaGaeqiUdeNaaiikaiaaigdacqGHRaWkciGGJbGaai4B
aiaacohacqaHbpGCcaGGPaGaaiikaiaaikdacqGHsislciGGJbGaai
4BaiaacohacqaHbpGCcaGGPaGaci4yaiaac+gacaGGZbGaamiwaiab
gkHiTiaaikdaciGGZbGaaiyAaiaac6gacaaIYaGaeqiUdeNaci4yai
aac+gacaGGZbWaaWbaaSqabeaacaaIYaaaaOGaeqyWdiNaci4yaiaa
c+gacaGGZbGaeqiYdKNaey4kaScacaGL7baaaeaacqGHRaWkcaaMe8
Uaci4CaiaacMgacaGGUbWaaWbaaSqabeaacaaIYaaaaOGaeqiUdeNa
ci4CaiaacMgacaGGUbGaeqyWdiNaaiikaiaaigdacqGHRaWkciGGJb
Gaai4BaiaacohacqaHbpGCcaGGPaGaci4CaiaacMgacaGGUbGaaiik
aiabeI8a5jabgUcaRiaadIfacaGGPaGaeyOeI0IaaGOmaiGacohaca
GGPbGaaiOBaiabeg8aYjaacIcacaaIXaGaeyOeI0IaaG4maiGacoga
caGGVbGaai4CamaaCaaaleqabaGaaGOmaaaakiabeI7aXjaacMcaci
GGZbGaaiyAaiaac6gacaGGOaGaeqiYdKNaeyOeI0IaamiwaiaacMca
cqGHRaWkaeaacqGHRaWkcaaMe8Uaci4CaiaacMgacaGGUbGaaGOmai
abeg8aYjGacohacaGGPbGaaiOBamaaCaaaleqabaGaaGOmaaaakiab
eI7aXjGacohacaGGPbGaaiOBaiaaikdacqaHipqEcqGHRaWkciGGZb
GaaiyAaiaac6gacaaIYaGaeqiUdeNaaiikaiaaigdacqGHsislciGG
JbGaai4BaiaacohacqaHbpGCcaGGPaGaaiikaiaaikdacqGHRaWkci
GGJbGaai4BaiaacohacqaHbpGCcaGGPaGaci4yaiaac+gacaGGZbGa
aiikaiaaikdacqaHipqEcqGHsislcaWGybGaaiykaiabgkHiTaqaam
aaciGabaGaeyOeI0IaaGjbVlGacohacaGGPbGaaiOBamaaCaaaleqa
baGaaGOmaaaakiabeI7aXjGacohacaGGPbGaaiOBaiabeg8aYjaacI
cacaaIXaGaeyOeI0Iaci4yaiaac+gacaGGZbGaeqyWdiNaaiykaiGa
cohacaGGPbGaaiOBaiaacIcacaaIZaGaeqiYdKNaeyOeI0Iaamiwai
aacMcaaiaaw2haaiaacYcaaaaa@ED53@
 (4.7)

m 2 = 3ε 8 sin2ρ(13 cos 2 θ)+sin2θ(1+cosρ)(12cosρ)sinX 2sin2θcos2ρsinψ sin 2 θsinρ(1+cosρ)cos(ψ+X)+ +sin2ρ(13 cos 2 θ)cos(ψX) sin 2 θsin2ρcos2ψ+ +(1cosρ)[sin2θ(1+2cosρ)sin(2ψX)+ sin 2 θsinρcos(3ψX)] ,
MathType@MTEF@5@5@+=
feaahGart1ev3aaatCvAUfeBSjuyZL2yd9gzLbvyNv2Caerbov2D09
MBdbqedmvETj2BSbqefm0B1jxALjhiov2DaerbuLwBLnhiov2DGi1B
TfMBaebbnrfifHhDYfgasaacH8Wrpu0dbbf9q8qqaqpepec8Eeeu0x
Xdbba9frFj0=OqFfea0dXdd9vqaq=JfrVkFHe9pgea0dXdar=Jb9hs
0dXdbPYxe9vr0=vr0=vqpWqaaeaabiGaaiaacaqabeaadaabauaaaO
abaeqabaGaamyBamaaBaaaleaacaaIYaaabeaakiabg2da9maalaaa
baGaaG4maiabew7aLbqaaiaaiIdaaaWaaiqaceaaciGGZbGaaiyAai
aac6gacaaIYaGaeqyWdiNaaiikaiaaigdacqGHsislcaaIZaGaci4y
aiaac+gacaGGZbWaaWbaaSqabeaacaaIYaaaaOGaeqiUdeNaaiykai
abgUcaRiGacohacaGGPbGaaiOBaiaaikdacqaH4oqCcaGGOaGaaGym
aiabgUcaRiGacogacaGGVbGaai4Caiabeg8aYjaacMcacaGGOaGaaG
ymaiabgkHiTiaaikdaciGGJbGaai4BaiaacohacqaHbpGCcaGGPaGa
ci4CaiaacMgacaGGUbGaamiwaiabgkHiTaGaay5EaaaabaGaeyOeI0
IaaGjbVlaaikdaciGGZbGaaiyAaiaac6gacaaIYaGaeqiUdeNaci4y
aiaac+gacaGGZbGaaGOmaiabeg8aYjGacohacaGGPbGaaiOBaiabeI
8a5jabgkHiTiGacohacaGGPbGaaiOBamaaCaaaleqabaGaaGOmaaaa
kiabeI7aXjGacohacaGGPbGaaiOBaiabeg8aYjaacIcacaaIXaGaey
4kaSIaci4yaiaac+gacaGGZbGaeqyWdiNaaiykaiGacogacaGGVbGa
ai4CaiaacIcacqaHipqEcqGHRaWkcaWGybGaaiykaiabgUcaRaqaai
abgUcaRiaaysW7ciGGZbGaaiyAaiaac6gacaaIYaGaeqyWdiNaaiik
aiaaigdacqGHsislcaaIZaGaci4yaiaac+gacaGGZbWaaWbaaSqabe
aacaaIYaaaaOGaeqiUdeNaaiykaiGacogacaGGVbGaai4CaiaacIca
cqaHipqEcqGHsislcaWGybGaaiykaiabgkHiTiGacohacaGGPbGaai
OBamaaCaaaleqabaGaaGOmaaaakiabeI7aXjGacohacaGGPbGaaiOB
aiaaikdacqaHbpGCciGGJbGaai4BaiaacohacaaIYaGaeqiYdKNaey
4kaScabaGaey4kaSIaaGjbVlaacIcacaaIXaGaeyOeI0Iaci4yaiaa
c+gacaGGZbGaeqyWdiNaaiykaiaacUfaciGGZbGaaiyAaiaac6gaca
aIYaGaeqiUdeNaaiikaiaaigdacqGHRaWkcaaIYaGaci4yaiaac+ga
caGGZbGaeqyWdiNaaiykaiGacohacaGGPbGaaiOBaiaacIcacaaIYa
GaeqiYdKNaeyOeI0IaamiwaiaacMcacqGHRaWkdaGacaqaaiGacoha
caGGPbGaaiOBamaaCaaaleqabaGaaGOmaaaakiabeI7aXjGacohaca
GGPbGaaiOBaiabeg8aYjGacogacaGGVbGaai4CaiaacIcacaaIZaGa
eqiYdKNaeyOeI0IaamiwaiaacMcacaGGDbaacaGL9baacaGGSaaaaa
a@F828@
 (4.8)

m 3 = 3ε 8 sin2θsinρ(1+cosρ)cosX sin 2 θ (1+cosρ) 2 sin(ψ+X) sin2ρsin2θcosψ+sin2θsinρ(1cosρ)cos(2ψX)+ + 2 sin 2 θ sin 2 ρsin2ψ sin 2 θ (1cosρ) 2 sin(3ψX) .
MathType@MTEF@5@5@+=
feaahGart1ev3aaatCvAUfeBSjuyZL2yd9gzLbvyNv2Caerbov2D09
MBdbqedmvETj2BSbqefm0B1jxALjhiov2DaerbuLwBLnhiov2DGi1B
TfMBaebbnrfifHhDYfgasaacH8Wrpu0dbbf9q8qqaqpepec8Eeeu0x
Xdbba9frFj0=OqFfea0dXdd9vqaq=JfrVkFHe9pgea0dXdar=Jb9hs
0dXdbPYxe9vr0=vr0=vqpWqaaeaabiGaaiaacaqabeaadaabauaaaO
abaeqabaGaamyBamaaBaaaleaacaaIZaaabeaakiabg2da9maalaaa
baGaaG4maiabew7aLbqaaiaaiIdaaaWaaiqaaeaacqGHsislcaaMe8
Uaci4CaiaacMgacaGGUbGaaGOmaiabeI7aXjGacohacaGGPbGaaiOB
aiabeg8aYjaacIcacaaIXaGaey4kaSIaci4yaiaac+gacaGGZbGaeq
yWdiNaaiykaiGacogacaGGVbGaai4CaiaadIfacqGHsislciGGZbGa
aiyAaiaac6gadaahaaWcbeqaaiaaikdaaaGccqaH4oqCcaGGOaGaaG
ymaiabgUcaRiGacogacaGGVbGaai4Caiabeg8aYjaacMcadaahaaWc
beqaaiaaikdaaaaakiaawUhaaiGacohacaGGPbGaaiOBaiaacIcacq
aHipqEcqGHRaWkcaWGybGaaiykaiabgkHiTaqaaiabgkHiTiaaysW7
ciGGZbGaaiyAaiaac6gacaaIYaGaeqyWdiNaci4CaiaacMgacaGGUb
GaaGOmaiabeI7aXjGacogacaGGVbGaai4CaiabeI8a5jabgUcaRiGa
cohacaGGPbGaaiOBaiaaikdacqaH4oqCciGGZbGaaiyAaiaac6gacq
aHbpGCcaGGOaGaaGymaiabgkHiTiGacogacaGGVbGaai4Caiabeg8a
YjaacMcaciGGJbGaai4BaiaacohacaGGOaGaaGOmaiabeI8a5jabgk
HiTiaadIfacaGGPaGaey4kaScabaGaey4kaSIaaGjbVpaaciaabaGa
aGOmaiGacohacaGGPbGaaiOBamaaCaaaleqabaGaaGOmaaaakiabeI
7aXjGacohacaGGPbGaaiOBamaaCaaaleqabaGaaGOmaaaakiabeg8a
YjGacohacaGGPbGaaiOBaiaaikdacqaHipqEcqGHsislciGGZbGaai
yAaiaac6gadaahaaWcbeqaaiaaikdaaaGccqaH4oqCcaGGOaGaaGym
aiabgkHiTiGacogacaGGVbGaai4Caiabeg8aYjaacMcadaahaaWcbe
qaaiaaikdaaaGcciGGZbGaaiyAaiaac6gacaGGOaGaaG4maiabeI8a
5jabgkHiTiaadIfacaGGPaaacaGL9baacaGGUaaaaaa@C8F0@
 (4.9)

Проведем теперь осреднение уравнений (3.4) MathType@MTEF@5@5@+=
feaahGart1ev3aqatCvAUfeBSjuyZL2yd9gzLbvyNv2Caerbov2D09
MBaeXatLxBI9gBaeXafv3ySLgzGmvETj2BSbqeeuuDJXwAKbsr4rNC
HbGeaGqipC0df9qqqrpepC0xbbL8F4rqqrFfpeea0de9Gq=Je9qspe
ea0xd9qs=xfrVkFHe9peei0dXdar=Jb9qqFfea0lrP0xe9Fve9Fve9
GapdbeqaaeGacaGaamaabeqaaeqabiabaaGcbaqefqvATv2CG4uz3b
IuV1wyUbacfaqcLbuaqaa6daaaOpWdbiaa=nbiaaa@4017@
(3.11) и (4.6) по быстрой переменной
ψ MathType@MTEF@5@5@+=
feaahGart1ev3aqatCvAUfeBSjuyZL2yd9gzLbvyNv2Caerbov2D09
MBaeXatLxBI9gBaeXafv3ySLgzGmvETj2BSbqeeuuDJXwAKbsr4rNC
HbGeaGqipC0df9qqqrpepC0xbbL8F4rqqrFfpeea0de9Gq=Je9qspe
ea0xd9qs=xfrVkFHe9peei0dXdar=Jb9qqFfea0lrP0xe9Fve9Fve9
GapdbeqaaeGacaGaamaabeqaaeqabiabaaGcbaGaeqiYdKhaaa@3900@
. Обозначив средние по ψ MathType@MTEF@5@5@+=
feaahGart1ev3aqatCvAUfeBSjuyZL2yd9gzLbvyNv2Caerbov2D09
MBaeXatLxBI9gBaeXafv3ySLgzGmvETj2BSbqeeuuDJXwAKbsr4rNC
HbGeaGqipC0df9qqqrpepC0xbbL8F4rqqrFfpeea0de9Gq=Je9qspe
ea0xd9qs=xfrVkFHe9peei0dXdar=Jb9qqFfea0lrP0xe9Fve9Fve9
GapdbeqaaeGacaGaamaabeqaaeqabiabaaGcbaGaeqiYdKhaaa@3900@
 чертой сверху, получим на основании формул (4.7) MathType@MTEF@5@5@+=
feaahGart1ev3aqatCvAUfeBSjuyZL2yd9gzLbvyNv2Caerbov2D09
MBaeXatLxBI9gBaeXafv3ySLgzGmvETj2BSbqeeuuDJXwAKbsr4rNC
HbGeaGqipC0df9qqqrpepC0xbbL8F4rqqrFfpeea0de9Gq=Je9qspe
ea0xd9qs=xfrVkFHe9peei0dXdar=Jb9qqFfea0lrP0xe9Fve9Fve9
GapdbeqaaeGacaGaamaabeqaaeqabiabaaGcbaqefqvATv2CG4uz3b
IuV1wyUbacfaqcLbuaqaa6daaaOpWdbiaa=nbiaaa@4017@
(4.9)

m ¯
1 = 3εcosXsin2θ(1+cosρ)(2cosρ)/8 , MathType@MTEF@5@5@+=
feaahGart1ev3aaatCvAUfeBSjuyZL2yd9gzLbvyNv2Caerbov2D09
MBdbqedmvETj2BSbqefm0B1jxALjhiov2DaerbuLwBLnhiov2DGi1B
TfMBaebbnrfifHhDYfgasaacH8Wrpu0dbbf9q8qqaqpepec8Eeeu0x
Xdbba9frFj0=OqFfea0dXdd9vqaq=JfrVkFHe9pgea0dXdar=Jb9hs
0dXdbPYxe9vr0=vr0=vqpWqaaeaabiGaaiaacaqabeaadaabauaaaO
qaaiqad2gagaqeamaaBaaaleaacaaIXaaabeaakiabg2da9maalyaa
baGaaG4maiabew7aLjGacogacaGGVbGaai4CaiaadIfaciGGZbGaai
yAaiaac6gacaaIYaGaeqiUdeNaaGPaVlaacIcacaaIXaGaey4kaSIa
ci4yaiaac+gacaGGZbGaeqyWdiNaaiykaiaacIcacaaIYaGaeyOeI0
Iaci4yaiaac+gacaGGZbGaeqyWdiNaaiykaaqaaiaaiIdaaaGaaiil
aaaa@58BD@
 (4.10)

m ¯
2 = 3ε sin2ρ(13 cos 2 θ)+sin2θsinX(1+cosρ)(12cosρ) /8 , MathType@MTEF@5@5@+=
feaahGart1ev3aaatCvAUfeBSjuyZL2yd9gzLbvyNv2Caerbov2D09
MBdbqedmvETj2BSbqeeuuDJXwAKbsr4rNCHbGeaGqik8fkY=xipgYl
h9vqqj=hEeeu0xXdi9arFj0xirFj0dXdbba91qpK0=yr0RYxfr=Jbb
f9q8aq0=yq=He9q8qqQ8frFve9Fve9Ff0dmeaabaqaciaacaGaaeqa
baqabeGadaaakeaaceWGTbGbaebadaWgaaWcbaGaaGOmaaqabaGcca
aMe8Uaeyypa0ZaaSGbaeaacaaIZaGaeqyTdu2aaeWabeaaciGGZbGa
aiyAaiaac6gacaaIYaGaeqyWdiNaaiikaiaaigdacqGHsislcaaIZa
Gaci4yaiaac+gacaGGZbWaaWbaaSqabeaacaaIYaaaaOGaeqiUdeNa
aiykaiabgUcaRiGacohacaGGPbGaaiOBaiaaikdacqaH4oqCciGGZb
GaaiyAaiaac6gacaWGybGaaiikaiaaigdacqGHRaWkciGGJbGaai4B
aiaacohacqaHbpGCcaGGPaGaaiikaiaaigdacqGHsislcaaIYaGaci
4yaiaac+gacaGGZbGaeqyWdiNaaiykaaGaayjkaiaawMcaaaqaaiaa
iIdaaaGaaiilaaaa@6357@
 (4.11)

m ¯
3 = 3εcosXsin2θsinρ(1+cosρ)/8 . MathType@MTEF@5@5@+=
feaahGart1ev3aaatCvAUfeBSjuyZL2yd9gzLbvyNv2Caerbov2D09
MBdbqedmvETj2BSbqeeuuDJXwAKbsr4rNCHbGeaGqik8fkY=xipgYl
h9vqqj=hEeeu0xXdi9arFj0xirFj0dXdbba91qpK0=yr0RYxfr=Jbb
f9q8aq0=yq=He9q8qqQ8frFve9Fve9Ff0dmeaabaqaciaacaGaaeqa
baqabeGadaaakeaaceWGTbGbaebadaWgaaWcbaGaaG4maaqabaGccq
GH9aqpcqGHsisldaWcgaqaaiaaiodacqaH1oqzciGGJbGaai4Baiaa
cohacaWGybGaci4CaiaacMgacaGGUbGaaGOmaiabeI7aXjGacohaca
GGPbGaaiOBaiabeg8aYjaacIcacaaIXaGaey4kaSIaci4yaiaac+ga
caGGZbGaeqyWdiNaaiykaaqaaiaaiIdaaaGaaiOlaaaa@4E03@
 (4.12)

При учете формул (4.2) осредненные по y уравнения (3.4) MathType@MTEF@5@5@+=
feaahGart1ev3aqatCvAUfeBSjuyZL2yd9gzLbvyNv2Caerbov2D09
MBaeXatLxBI9gBaeXafv3ySLgzGmvETj2BSbqeeuuDJXwAKbsr4rNC
HbGeaGqipC0df9qqqrpepC0xbbL8F4rqqrFfpeea0de9Gq=Je9qspe
ea0xd9qs=xfrVkFHe9peei0dXdar=Jb9qqFfea0lrP0xe9Fve9Fve9
GapdbeqaaeGacaGaamaabeqaaeqabiabaaGcbaqefqvATv2CG4uz3b
IuV1wyUbacfaqcLbuaqaa6daaaOpWdbiaa=nbiaaa@4017@
(3.9) запишутся в виде:

ρ = ( m ¯
1 +μγ W 1 )/U MathType@MTEF@5@5@+=
feaahGart1ev3aaatCvAUfeBSjuyZL2yd9gzLbvyNv2Caerbov2D09
MBdbqedmvETj2BSbqeeuuDJXwAKbsr4rNCHbGeaGqik8fkY=xipgYl
h9vqqj=hEeeu0xXdi9arFj0xirFj0dXdbba91qpK0=yr0RYxfr=Jbb
f9q8aq0=yq=He9q8qqQ8frFve9Fve9Ff0dmeaabaqaciaacaGaaeqa
baqabeGadaaakeaacuaHbpGCgaqbaiabg2da9maalyaabaGaaiikai
qad2gagaqeamaaBaaaleaacaaIXaaabeaakiabgUcaRiabeY7aTjab
eo7aNjaadEfadaWgaaWcbaGaaGymaaqabaGccaGGPaaabaGaamyvaa
aaaaa@3E2C@
, σ = ( m ¯
2 +μγ W 2 )/ (Usinρ) , MathType@MTEF@5@5@+=
feaahGart1ev3aaatCvAUfeBSjuyZL2yd9gzLbvyNv2Caerbov2D09
MBdbqedmvETj2BSbqeeuuDJXwAKbsr4rNCHbGeaGqik8fkY=xipgYl
h9vqqj=hEeeu0xXdi9arFj0xirFj0dXdbba91qpK0=yr0RYxfr=Jbb
f9q8aq0=yq=He9q8qqQ8frFve9Fve9Ff0dmeaabaqaciaacaGaaeqa
baqabeGadaaakeabGdGafq4WdmNbauaacqGH9aqpdaWcgaqaaiaacI
caceWGTbGbaebadaWgaaWcbaGaaGOmaaqabaGccqGHRaWkcqaH8oqB
cqaHZoWzcaWGxbWaaSbaaSqaaiaaikdaaeqaaOGaaiykaaqaaiaacI
cacaWGvbGaci4CaiaacMgacaGGUbGaeqyWdiNaaiykaaaacaGGSaaa
aa@45B6@
 (4.13)

W
1 =μ(1+γ) W 1 m ¯
1
+O( ε 2 ) MathType@MTEF@5@5@+=
feaahGart1ev3aaatCvAUfeBSjuyZL2yd9gzLbvyNv2Caerbov2D09
MBdbqedmvETj2BSbqeeuuDJXwAKbsr4rNCHbGeaGqik8fkY=xipgYl
h9vqqj=hEeeu0xXdi9arFj0xirFj0dXdbba91qpK0=yr0RYxfr=Jbb
f9q8aq0=yq=He9q8qqQ8frFve9Fve9Ff0dmeaabaqaciaacaGaaeqa
baqabeGadaaakeabGdGabm4vayaafaWaaSbaaSqaaiaaigdaaeqaaO
Gaeyypa0JaeyOeI0IaeqiVd0MaaiikaiaaigdacqGHRaWkcqaHZoWz
caGGPaGaam4vamaaBaaaleaacaaIXaaabeaakiabgkHiTiqad2gaga
qeamaaBaaaleaacaaIXaaabeaakiabgUcaRiaad+eacaGGOaGaeqyT
du2aaWbaaSqabeaacaaIYaaaaOGaaiykaaaa@466B@
, W
2 =μ(1+γ) W 2 m ¯
2
+O( ε 2 ), MathType@MTEF@5@5@+=
feaahGart1ev3aaatCvAUfeBSjuyZL2yd9gzLbvyNv2Caerbov2D09
MBdbqedmvETj2BSbqeeuuDJXwAKbsr4rNCHbGeaGqik8fkY=xipgYl
h9vqqj=hEeeu0xXdi9arFj0xirFj0dXdbba91qpK0=yr0RYxfr=Jbb
f9q8aq0=yq=He9q8qqQ8frFve9Fve9Ff0dmeaabaqaciaacaGaaeqa
baqabeGadaaakeabGdGabm4vayaafaWaaSbaaSqaaiaaikdaaeqaaO
Gaeyypa0JaeyOeI0IaeqiVd0MaaiikaiaaigdacqGHRaWkcqaHZoWz
caGGPaGaam4vamaaBaaaleaacaaIYaaabeaakiabgkHiTiqad2gaga
qeamaaBaaaleaacaaIYaaabeaakiabgUcaRiaad+eacaGGOaGaeqyT
du2aaWbaaSqabeaacaaIYaaaaOGaaiykaiaacYcaaaa@471E@
 (4.14)

W
3 =μ(1+γ) W 3 m ¯
3
+O( ε 2 ) MathType@MTEF@5@5@+=
feaahGart1ev3aaatCvAUfeBSjuyZL2yd9gzLbvyNv2Caerbov2D09
MBdbqedmvETj2BSbqeeuuDJXwAKbsr4rNCHbGeaGqik8fkY=xipgYl
h9vqqj=hEeeu0xXdi9arFj0xirFj0dXdbba91qpK0=yr0RYxfr=Jbb
f9q8aq0=yq=He9q8qqQ8frFve9Fve9Ff0dmeaabaqaciaacaGaaeqa
baqabeGadaaakeabGdGabm4vayaafaWaaSbaaSqaaiaaiodaaeqaaO
Gaeyypa0JaeyOeI0IaeqiVd0MaaiikaiaaigdacqGHRaWkcqaHZoWz
caGGPaGaam4vamaaBaaaleaacaaIZaaabeaakiabgkHiTiqad2gaga
qeamaaBaaaleaacaaIZaaabeaakiabgUcaRiaad+eacaGGOaGaeqyT
du2aaWbaaSqabeaacaaIYaaaaOGaaiykaaaa@4671@
, U =μγ W 3 + m ¯
3 +O( ε 2 ). MathType@MTEF@5@5@+=
feaahGart1ev3aaatCvAUfeBSjuyZL2yd9gzLbvyNv2Caerbov2D09
MBdbqedmvETj2BSbqeeuuDJXwAKbsr4rNCHbGeaGqik8fkY=xipgYl
h9vqqj=hEeeu0xXdi9arFj0xirFj0dXdbba91qpK0=yr0RYxfr=Jbb
f9q8aq0=yq=He9q8qqQ8frFve9Fve9Ff0dmeaabaqaciaacaGaaeqa
baqabeGadaaakeaaceWGvbGbauaacqGH9aqpcqaH8oqBcqaHZoWzca
WGxbWaaSbaaSqaaiaaiodaaeqaaOGaey4kaSIabmyBayaaraWaaSba
aSqaaiaaiodaaeqaaOGaey4kaSIaam4taiaacIcacqaH1oqzdaahaa
WcbeqaaiaaikdaaaGccaGGPaGaaiOlaaaa@415C@
 (4.15)

В правых частях уравнений (3.10), (3.11) и (4.6) фигурируют функции M 2 cosψ M 1 sinψ MathType@MTEF@5@5@+=
feaahGart1ev3aaatCvAUfeBSjuyZL2yd9gzLbvyNv2Caerbov2D09
MBdbqedmvETj2BSbqeeuuDJXwAKbsr4rNCHbGeaGqik8fkY=xipgYl
h9vqqj=hEeeu0xXdi9arFj0xirFj0dXdbba91qpK0=yr0RYxfr=Jbb
f9q8aq0=yq=He9q8qqQ8frFve9Fve9Ff0dmeaabaqaciaacaGaaeqa
baqabeGadaaakeaacaWGnbWaaSbaaSqaaiaaikdaaeqaaOGaci4yai
aac+gacaGGZbGaeqiYdKNaeyOeI0IaamytamaaBaaaleaacaaIXaaa
beaakiGacohacaGGPbGaaiOBaiabeI8a5baa@3EC5@
 и M 1 cosψ+ M 2 sinψ MathType@MTEF@5@5@+=
feaahGart1ev3aaatCvAUfeBSjuyZL2yd9gzLbvyNv2Caerbov2D09
MBdbqedmvETj2BSbqeeuuDJXwAKbsr4rNCHbGeaGqik8fkY=xipgYl
h9vqqj=hEeeu0xXdi9arFj0xirFj0dXdbba91qpK0=yr0RYxfr=Jbb
f9q8aq0=yq=He9q8qqQ8frFve9Fve9Ff0dmeaabaqaciaacaGaaeqa
baqabeGadaaakeaacaWGnbWaaSbaaSqaaiaaigdaaeqaaOGaci4yai
aac+gacaGGZbGaeqiYdKNaey4kaSIaamytamaaBaaaleaacaaIYaaa
beaakiGacohacaGGPbGaaiOBaiabeI8a5baa@3EBA@
. Для вычисления их среднего по
ψ MathType@MTEF@5@5@+=
feaahGart1ev3aqatCvAUfeBSjuyZL2yd9gzLbvyNv2Caerbov2D09
MBaeXatLxBI9gBaeXafv3ySLgzGmvETj2BSbqeeuuDJXwAKbsr4rNC
HbGeaGqipC0df9qqqrpepC0xbbL8F4rqqrFfpeea0de9Gq=Je9qspe
ea0xd9qs=xfrVkFHe9peei0dXdar=Jb9qqFfea0lrP0xe9Fve9Fve9
GapdbeqaaeGacaGaamaabeqaaeqabiabaaGcbaGaeqiYdKhaaa@3900@
 с точностью до O(ε2) необходимо в поведении вектора M (3.12) определить осцилляционные составляющие Mψ, содержащие гармоники вида:

M ψ =a(ρ,θ)cosψ+b(ρ,θ)sinψ. MathType@MTEF@5@5@+=
feaahGart1ev3aaatCvAUfeBSjuyZL2yd9gzLbvyNv2Caerbov2D09
MBdbqefqvATv2CG4uz3bIuV1wyUbqedmvETj2BSbqefm0B1jxALjhi
ov2DaebbnrfifHhDYfgasaacH8Wrpu0dbbf9q8qqaqpepec8Eeeu0x
Xdbba9frFj0=OqFfea0dXdd9vqaq=JfrVkFHe9pgea0dXdar=Jb9hs
0dXdbPYxe9vr0=vr0=vqpWqaaiaabiWaamaadaqabeaaeaGaauaaaO
qaaiaah2eadaWgaaWcbaGaeqiYdKhabeaakiabg2da9iaahggacaGG
OaGaeqyWdiNaaiilaiabeI7aXjaacMcaciGGJbGaai4Baiaacohacq
aHipqEcqGHRaWkcaWHIbGaaiikaiabeg8aYjaacYcacqaH4oqCcaGG
PaGaci4CaiaacMgacaGGUbGaeqiYdKNaaiOlaaaa@53BE@
 (4.16)

Согласно (3.12) и (3.13) вектор My выражается формулой:

M ψ = m ψ ε(Ue)U×e+μγ W ψ ; MathType@MTEF@5@5@+=
feaahGart1ev3aaatCvAUfeBSjuyZL2yd9gzLbvyNv2Caerbov2D09
MBdbqefqvATv2CG4uz3bIuV1wyUbqedmvETj2BSbqefm0B1jxALjhi
ov2DaebbnrfifHhDYfgasaacH8Wrpu0dbbf9q8qqaqpepec8Eeeu0x
Xdbba9frFj0=OqFfea0dXdd9vqaq=JfrVkFHe9pgea0dXdar=Jb9hs
0dXdbPYxe9vr0=vr0=vqpWqaaiaabiWaamaadaqabeaaeaGaauaaaO
qaaiaah2eadaWgaaWcbaGaeqiYdKhabeaakiaaykW7cqGH9aqpcaWH
TbWaaSbaaSqaaiabeI8a5bqabaGccaaMc8UaeyOeI0IaaGjbVlabew
7aLjaacIcacaWHvbGaeyyXICTaaCyzaiaacMcacaWHvbGaey41aqRa
aCyzaiaaysW7cqGHRaWkcqaH8oqBcaaMi8Uaeq4SdCMaaC4vamaaBa
aaleaacqaHipqEaeqaaOGaai4oaaaa@5A93@
  (Ue)U×e= U 2 sinθcosθ cosψ sinψ 0
, MathType@MTEF@5@5@+=
feaahGart1ev3aaatCvAUfeBSjuyZL2yd9gzLbvyNv2Caerbov2D09
MBdbqefqvATv2CG4uz3bIuV1wyUbqedmvETj2BSbqefm0B1jxALjhi
ov2DaebbnrfifHhDYfgasaacH8Wrpu0dbbf9q8qqaqpepec8Eeeu0x
Xdbba9frFj0=OqFfea0dXdd9vqaq=JfrVkFHe9pgea0dXdar=Jb9hs
0dXdbPYxe9vr0=vr0=vqpWqaaiaabiWaamaadaqabeaaeaGaauaaaO
qaaiaacIcacaWHvbGaeyyXICTaaCyzaiaacMcacaWHvbGaaGjbVlab
gEna0kaahwgacqGH9aqpcaWGvbWaaWbaaSqabeaacaaIYaaaaOGaci
4CaiaacMgacaGGUbGaeqiUdeNaaGPaVlGacogacaGGVbGaai4Caiab
eI7aXnaabmaaeaGabeaaciGGJbGaai4BaiaacohacqaHipqEaeaaci
GGZbGaaiyAaiaac6gacqaHipqEaeaacaaIWaaaaiaawIcacaGLPaaa
caGGSaaaaa@5CC7@
 (4.17)

где mτ и Wψ MathType@MTEF@5@5@+=
feaahGart1ev3aqatCvAUfeBSjuyZL2yd9gzLbvyNv2Caerbov2D09
MBaeXatLxBI9gBaeXafv3ySLgzGmvETj2BSbqeeuuDJXwAKbsr4rNC
HbGeaGqipC0df9qqqrpepC0xbbL8F4rqqrFfpeea0de9Gq=Je9qspe
ea0xd9qs=xfrVkFHe9peei0dXdar=Jb9qqFfea0lrP0xe9Fve9Fve9
GapdbeqaaeGacaGaamaabeqaaeqabiabaaGcbaqefqvATv2CG4uz3b
IuV1wyUbacfaqcLbuaqaa6daaaOpWdbiaa=nbiaaa@4017@
 слагаемые векторов m и W, содержащие гармоники вида (4.16).

Осцилляционные составляющие Wψ вектора W определяются с точностью до O(ε2) решениями уравнения

W ψ ψ =acosψ+bsinψμ(1+γ)W, MathType@MTEF@5@5@+=
feaahGart1ev3aqatCvAUfeBSjuyZL2yd9gzLbvyNv2Caerbov2D09
MBdbqedmvETj2BSbqefm0B1jxALjhiov2Daebbfv3ySLgzGueE0jxy
aibaieIcFHI8=fYJH8YrFfeuY=Hhbbf9v8aspq0xc9fs0xc9q8qqaq
Fn0dj9pwe9Q8vr0=yqqrpepae9pg0FirpepeKkFr0xfr=xfr=xb9ad
baqaaeGacaGaaiaabeqaamaabiabaaGcbaWaaSaaaeaacqGHciITca
WHxbaabaGaeyOaIyRaeqiYdKhaaiqbeI8a5zaafaGaaGjbVlabg2da
9iaajggaciGGJbGaai4BaiaacohacqaHipqEcqGHRaWkcaqIIbGaci
4CaiaacMgacaGGUbGaeqiYdKNaeyOeI0IaeqiVd0Maaiikaiaaigda
cqGHRaWkcqaHZoWzcaGGPaGaaC4vaiaacYcaaaa@540F@
 (4.18)

которое получается из уравнения (2.18) отбрасыванием в его правой части членов второго порядка малости по ε. Здесь

αcosψ+βsinψ= m ψ +ε(Ue)U×e. MathType@MTEF@5@5@+=
feaahGart1ev3aqatCvAUfeBSjuyZL2yd9gzLbvyNv2Caerbov2D09
MBdbqedmvETj2BSbqefm0B1jxALjhiov2Daebbfv3ySLgzGueE0jxy
aibaieIcFHI8=fYJH8YrFfeuY=Hhbbf9v8aspq0xc9fs0xc9q8qqaq
Fn0dj9pwe9Q8vr0=yqqrpepae9pg0FirpepeKkFr0xfr=xfr=xb9ad
baqaaeGacaGaaiaabeqaamaabiabaaGcbaGaeqySdeMaci4yaiaac+
gacaGGZbGaeqiYdKNaey4kaSIaeqOSdiMaci4CaiaacMgacaGGUbGa
eqiYdKNaeyypa0JaeyOeI0IaaCyBamaaBaaaleaacqaHipqEaeqaaO
GaaGPaVlabgUcaRiabew7aLjaacIcacaWHvbGaaGjbVlabgwSixlaa
hwgacaGGPaGaaCyvaiaaykW7cqGHxdaTcaWHLbGaaiOlaaaa@58CC@
 (4.19)

При учете уравнения (3.11) решение уравнения (4.18) описывается с точностью до O(e2) следующей формулой:

W ψ = μ(1+γ)αUβ U 2 + μ 2 (1+γ) 2 cosψ+ Uε+μ(1+γ)β U 2 + μ 2 (1+γ) 2 sinψ. MathType@MTEF@5@5@+=
feaahGart1ev3aaatCvAUfeBSjuyZL2yd9gzLbvyNv2Caerbov2D09
MBdbqedmvETj2BSbqefm0B1jxALjhiov2Daebbfv3ySLgzGueE0jxy
aibaieIcFHI8=fYJH8YrFfeuY=Hhbbf9v8aspq0xc9fs0xc9q8qqaq
Fn0dj9pwe9Q8vr0=yqqrpepae9pg0FirpepeKkFr0xfr=xfr=xb9ad
baqaaeGacaGaaiaabeqaamaabiabaaGcbaGaaC4vamaaBaaaleaacq
aHipqEaeqaaOGaeyypa0ZaaSaaaeaacqaH8oqBcaGGOaGaaGymaiab
gUcaRiabeo7aNjaacMcacqaHXoqycqGHsislcaWGvbGaeqOSdigaba
GaamyvamaaCaaaleqabaGaaGOmaaaakiabgUcaRiabeY7aTnaaCaaa
leqabaGaaGOmaaaakiaacIcacaaIXaGaey4kaSIaeq4SdCMaaiykam
aaCaaaleqabaGaaGOmaaaaaaGcciGGJbGaai4BaiaacohacqaHipqE
cqGHRaWkdaWcaaqaaiaadwfacqaH1oqzcqGHRaWkcqaH8oqBcaGGOa
GaaGymaiabgUcaRiabeo7aNjaacMcacqaHYoGyaeaacaWGvbWaaWba
aSqabeaacaaIYaaaaOGaey4kaSIaeqiVd02aaWbaaSqabeaacaaIYa
aaaOGaaiikaiaaigdacqGHRaWkcqaHZoWzcaGGPaWaaWbaaSqabeaa
caaIYaaaaaaakiGacohacaGGPbGaaiOBaiabeI8a5jaac6caaaa@70AB@
 (4.20)

Искомый вектор Mψ выражается формулой

M ψ =αcosψβsinψ+μγ W ψ MathType@MTEF@5@5@+=
feaahGart1ev3aaatCvAUfeBSjuyZL2yd9gzLbvyNv2Caerbov2D09
MBdbqedmvETj2BSbqefm0B1jxALjhiov2Daebbfv3ySLgzGueE0jxy
aibaieIcFHI8=fYJH8YrFfeuY=Hhbbf9v8aspq0xc9fs0xc9q8qqaq
Fn0dj9pwe9Q8vr0=yqqrpepae9pg0FirpepeKkFr0xfr=xfr=xb9ad
baqaaeGacaGaaiaabeqaamaabiabaaGcbaGaaCytamaaBaaaleaacq
aHipqEaeqaaOGaaGPaVlabg2da9iabgkHiTiabeg7aHjGacogacaGG
VbGaai4CaiabeI8a5jabgkHiTiabek7aIjGacohacaGGPbGaaiOBai
abeI8a5jabgUcaRiabeY7aTjabeo7aNjaahEfadaWgaaWcbaGaeqiY
dKhabeaaaaa@502A@
 (4.21)

и записывается в следующем виде:

M ψ = [ U 2 + μ 2 (1+γ)]α+μγUβ U 2 + μ 2 (1+γ) 2 cosψ+ [ U 2 + μ 2 (1+γ)]αμγUβ U 2 + μ 2 (1+γ) 2 sinψ . MathType@MTEF@5@5@+=
feaahGart1ev3aaatCvAUfeBSjuyZL2yd9gzLbvyNv2Caerbov2D09
MBdbqedmvETj2BSbqefm0B1jxALjhiov2Daebbfv3ySLgzGueE0jxy
aibaieIcFHI8=fYJH8YrFfeuY=Hhbbf9v8aspq0xc9fs0xc9q8qqaq
Fn0dj9pwe9Q8vr0=yqqrpepae9pg0FirpepeKkFr0xfr=xfr=xb9ad
baqaaeGacaGaaiaabeqaamaabiabaaGcbaGaaCytamaaBaaaleaacq
aHipqEaeqaaOGaaGPaVlabg2da9iaaysW7cqGHsislcaaMc8+aaeWa
aeaadaWcaaqaaiaacUfacaWGvbWaaWbaaSqabeaacaaIYaaaaOGaaG
jcVlabgUcaRiaaysW7cqaH8oqBdaahaaWcbeqaaiaaikdaaaGccaGG
OaGaaGymaiaaysW7cqGHRaWkcaaMe8Uaeq4SdCMaaiykaiaac2facq
aHXoqycqGHRaWkcqaH8oqBcqaHZoWzcaWGvbGaeqOSdigabaGaamyv
amaaCaaaleqabaGaaGOmaaaakiaaykW7cqGHRaWkcqaH8oqBdaahaa
WcbeqaaiaaikdaaaGccaGGOaGaaGymaiabgUcaRiabeo7aNjaacMca
daahaaWcbeqaaiaaikdaaaaaaOGaci4yaiaac+gacaGGZbGaeqiYdK
Naey4kaSYaaSaaaeaacaGGBbGaamyvamaaCaaaleqabaGaaGOmaaaa
kiaayIW7cqGHRaWkcaaMe8UaeqiVd02aaWbaaSqabeaacaaIYaaaaO
GaaiikaiaaigdacaaMe8Uaey4kaSIaaGjbVlabeo7aNjaacMcacaGG
DbGaeqySdeMaeyOeI0IaeqiVd0Maeq4SdCMaamyvaiabek7aIbqaai
aadwfadaahaaWcbeqaaiaaikdaaaGccaaMc8Uaey4kaSIaeqiVd02a
aWbaaSqabeaacaaIYaaaaOGaaiikaiaaigdacqGHRaWkcqaHZoWzca
GGPaWaaWbaaSqabeaacaaIYaaaaaaakiGacohacaGGPbGaaiOBaiab
eI8a5bGaayjkaiaawMcaaiaac6caaaa@98B6@
 (4.22)

На основании формулы (4.22) получим:

M 2 cosψ M 1 sinψ = 1 2 U 2 + μ 2 (1+γ) U 2 + μ 2 (1+γ) 2 ( α 2 β 1 )+ μγU( α 1 + β 2 ) U 2 + μ 2 (1+γ) 2 , MathType@MTEF@5@5@+=
feaahGart1ev3aaatCvAUfeBSjuyZL2yd9gzLbvyNv2Caerbov2D09
MBdbqedmvETj2BSbqefm0B1jxALjhiov2Daebbfv3ySLgzGueE0jxy
aibaieIcFHI8=fYJH8YrFfeuY=Hhbbf9v8aspq0xc9fs0xc9q8qqaq
Fn0dj9pwe9Q8vr0=yqqrpepae9pg0FirpepeKkFr0xfr=xfr=xb9ad
baqaaeGacaGaaiaabeqaamaabiabaaGcbaWaaaWaaeaacaWGnbWaaS
baaSqaaiaaikdaaeqaaOGaci4yaiaac+gacaGGZbGaeqiYdKNaaGjb
VlabgkHiTiaaysW7caWGnbWaaSbaaSqaaiaaigdaaeqaaOGaci4Cai
aacMgacaGGUbGaeqiYdKhacaGLPmIaayPkJaGaaGjbVlabg2da9iaa
ysW7cqGHsislcaaMc8+aaSaaaeaacaaIXaaabaGaaGOmaaaadaqada
qaamaalaaabaGaamyvamaaCaaaleqabaGaaGOmaaaakiaayIW7cqGH
RaWkcaaMe8UaeqiVd02aaWbaaSqabeaacaaIYaaaaOGaaiikaiaaig
dacaaMe8Uaey4kaSIaaGjbVlabeo7aNjaacMcaaeaacaWGvbWaaWba
aSqabeaacaaIYaaaaOGaaGjcVlabgUcaRiaaysW7cqaH8oqBdaahaa
WcbeqaaiaaikdaaaGccaGGOaGaaGymaiaaysW7cqGHRaWkcaaMe8Ua
eq4SdCMaaiykamaaCaaaleqabaGaaGOmaaaaaaGccaGGOaGaeqySde
2aaSbaaSqaaiaaikdaaeqaaOGaaGPaVlabgkHiTiaaysW7cqaHYoGy
daWgaaWcbaGaaGymaaqabaGccaGGPaGaaGjbVlabgUcaRiaaysW7da
WcaaqaaiabeY7aTjabeo7aNjaaykW7caWGvbGaaiikaiabeg7aHnaa
BaaaleaacaaIXaaabeaakiaaykW7cqGHRaWkcaaMe8UaeqOSdi2aaS
baaSqaaiaaikdaaeqaaOGaaiykaaqaaiaadwfadaahaaWcbeqaaiaa
ikdaaaGccaaMi8Uaey4kaSIaaGjbVlabeY7aTnaaCaaaleqabaGaaG
OmaaaakiaacIcacaaIXaGaaGjbVlabgUcaRiaaysW7cqaHZoWzcaGG
PaWaaWbaaSqabeaacaaIYaaaaaaaaOGaayjkaiaawMcaaiaacYcaaa
a@A384@
 (4.23)

M 1 cosψ+ M 2 sinψ = 1 2 U 2 + μ 2 (1+γ) U 2 + μ 2 (1+γ) 2 ( α 1 + β 2 )+ μγU( β 1 α 2 ) U 2 + μ 2 (1+γ) 2 . MathType@MTEF@5@5@+=
feaahGart1ev3aaatCvAUfeBSjuyZL2yd9gzLbvyNv2Caerbov2D09
MBdbqedmvETj2BSbqefm0B1jxALjhiov2Daebbfv3ySLgzGueE0jxy
aibaieIcFHI8=fYJH8YrFfeuY=Hhbbf9v8aspq0xc9fs0xc9q8qqaq
Fn0dj9pwe9Q8vr0=yqqrpepae9pg0FirpepeKkFr0xfr=xfr=xb9ad
baqaaeGacaGaaiaabeqaamaabiabaaGcbaWaaaWaaeaacaWGnbWaaS
baaSqaaiaaigdaaeqaaOGaci4yaiaac+gacaGGZbGaeqiYdKNaaGjb
VlabgUcaRiaaysW7caWGnbWaaSbaaSqaaiaaikdaaeqaaOGaci4Cai
aacMgacaGGUbGaeqiYdKhacaGLPmIaayPkJaGaaGjbVlabg2da9iaa
ysW7cqGHsislcaaMc8+aaSaaaeaacaaIXaaabaGaaGOmaaaadaqada
qaamaalaaabaGaamyvamaaCaaaleqabaGaaGOmaaaakiaayIW7cqGH
RaWkcaaMe8UaeqiVd02aaWbaaSqabeaacaaIYaaaaOGaaiikaiaaig
dacaaMe8Uaey4kaSIaaGjbVlabeo7aNjaacMcaaeaacaWGvbWaaWba
aSqabeaacaaIYaaaaOGaaGjcVlabgUcaRiaaysW7cqaH8oqBdaahaa
WcbeqaaiaaikdaaaGccaGGOaGaaGymaiaaysW7cqGHRaWkcaaMe8Ua
eq4SdCMaaiykamaaCaaaleqabaGaaGOmaaaaaaGccaGGOaGaeqySde
2aaSbaaSqaaiaaigdaaeqaaOGaaGjcVlabgUcaRiaaysW7cqaHYoGy
daWgaaWcbaGaaGOmaaqabaGccaGGPaGaaGjbVlabgUcaRiaaysW7da
WcaaqaaiabeY7aTjabeo7aNjaayIW7caWGvbGaaiikaiabek7aInaa
BaaaleaacaaIXaaabeaakiaaykW7cqGHsislcaaMe8UaeqySde2aaS
baaSqaaiaaikdaaeqaaOGaaiykaaqaaiaadwfadaahaaWcbeqaaiaa
ikdaaaGccaaMi8Uaey4kaSIaaGjbVlabeY7aTnaaCaaaleqabaGaaG
OmaaaakiaacIcacaaIXaGaaGjbVlabgUcaRiaaysW7cqaHZoWzcaGG
PaWaaWbaaSqabeaacaaIYaaaaaaaaOGaayjkaiaawMcaaiaac6caaa
a@A387@
 (4.24)

Для компонент векторов α и β на основании формул (4.7), (4.8), (4.17) и (4.19) получим следующие выражения:

α 1 =3ε 2sin2θ( cos 2 ρ+2 U 2 /3 )sinρ[2(13 cos 2 θ)+ sin 2 θ(1+cosρ)]sinX /8 , MathType@MTEF@5@5@+=
feaahGart1ev3aaatCvAUfeBSjuyZL2yd9gzLbvyNv2Caerbov2D09
MBdbqedmvETj2BSbqefm0B1jxALjhiov2Daebbfv3ySLgzGueE0jxy
aibaieIcFHI8=fYJH8YrFfeuY=Hhbbf9v8aspq0xc9fs0xc9q8qqaq
Fn0dj9pwe9Q8vr0=yqqrpepae9pg0FirpepeKkFr0xfr=xfr=xb9ad
baqaaeGacaGaaiaabeqaamaabiabaaGcbaGaeqySde2aaSbaaSqaai
aaigdaaeqaaOGaaGPaVlabg2da9iaaysW7caaIZaGaeqyTdu2aaSGb
aeaadaGadaqaaiaaikdaciGGZbGaaiyAaiaac6gacaaIYaGaeqiUde
NaaiikaiGacogacaGGVbGaai4CamaaCaaaleqabaGaaGOmaaaakiad
qbiHbpGCcaaMe8Uaey4kaSIaaGjbVlaaikdadaWcgaqaaiaadwfada
ahaaWcbeqaaiaaikdaaaaakeaacaaIZaaaaiaacMcacaaMe8UaeyOe
I0IaaGjbVlGacohacaGGPbGaaiOBaiabeg8aYjaacUfacaaIYaGaai
ikaiaaigdacaaMe8UaeyOeI0IaaGjbVlaaiodaciGGJbGaai4Baiaa
cohadaahaaWcbeqaaiaaikdaaaGccqaH4oqCcaGGPaGaaGjbVlabgU
caRiaaysW7ciGGZbGaaiyAaiaac6gadaahaaWcbeqaaiaaikdaaaGc
cqaH4oqCcaGGOaGaaGymaiaaysW7cqGHRaWkcaaMe8Uaci4yaiaac+
gacaGGZbGaeqyWdiNaaiykaiaac2faciGGZbGaaiyAaiaac6gacaWG
ybaacaGL7bGaayzFaaaabaGaaGioaaaacaGGSaaaaa@8669@

β 1 =3ε cosXsinρ 2(13 cos 2 θ) sin 2 θ(1+cosρ) /8 , MathType@MTEF@5@5@+=
feaahGart1ev3aaatCvAUfeBSjuyZL2yd9gzLbvyNv2Caerbov2D09
MBdbqedmvETj2BSbqefm0B1jxALjhiov2Daebbfv3ySLgzGueE0jxy
aibaieIcFHI8=fYJH8YrFfeuY=Hhbbf9v8aspq0xc9fs0xc9q8qqaq
Fn0dj9pwe9Q8vr0=yqqrpepae9pg0FirpepeKkFr0xfr=xfr=xb9ad
baqaaeGacaGaaiaabeqaamaabiabaaGcbaGaeqOSdi2aaSbaaSqaai
aaigdaaeqaaOGaaGPaVlabg2da9iaaiodacqaH1oqzdaWcgaqaaiGa
cogacaGGVbGaai4CaiaadIfaciGGZbGaaiyAaiaac6gacqaHbpGCda
WadaqaaiaaikdacaGGOaGaaGymaiaaysW7cqGHsislcaaMe8UaaG4m
aiGacogacaGGVbGaai4CamaaCaaaleqabaGaaGOmaaaakiabeI7aXj
aacMcacqGHsislciGGZbGaaiyAaiaac6gadaahaaWcbeqaaiaaikda
aaGccqaH4oqCcaGGOaGaaGymaiaaysW7cqGHRaWkcaaMe8Uaci4yai
aac+gacaGGZbGaeqyWdiNaaiykaaGaay5waiaaw2faaaqaaiaaiIda
aaGaaiilaaaa@66AF@

α 2 =3ε cosXsinρ sin 2 θ(1+cosρ)2cosρ(13 cos 2 θ) /8 , MathType@MTEF@5@5@+=
feaahGart1ev3aaatCvAUfeBSjuyZL2yd9gzLbvyNv2Caerbov2D09
MBdbqedmvETj2BSbqeeuuDJXwAKbsr4rNCHbGeaGqik8fkY=xipgYl
h9vqqj=hEeeu0xXdi9arFj0xirFj0dXdbba91qpK0=yr0RYxfr=Jbb
f9q8aq0=yq=He9q8qqQ8frFve9Fve9Ff0dmeaabaqaciaacaGaaeqa
baqabeGadaaakeaacqaHXoqydaWgaaWcbaGaaGOmaaqabaGccaaMc8
Uaeyypa0JaaGjbVlaaiodacqaH1oqzdaWcgaqaaiGacogacaGGVbGa
ai4CaiaadIfaciGGZbGaaiyAaiaac6gacqaHbpGCdaWadaqaaiGaco
hacaGGPbGaaiOBamaaCaaaleqabaGaaGOmaaaakiadObiH4oqCcaGG
OaGaaGymaiaaysW7cqGHRaWkcaaMe8Uaci4yaiaac+gacaGGZbGaeq
yWdiNaaiykaiabgkHiTiaaikdaciGGJbGaai4BaiaacohacqaHbpGC
caGGOaGaaGymaiaaysW7cqGHsislcaaMe8UaaG4maiGacogacaGGVb
Gaai4CamaaCaaaleqabaGaaGOmaaaakiad0biH4oqCcaGGPaaacaGL
BbGaayzxaaaabaGaaGioaaaacaGGSaaaaa@6A7F@

β 2 =3ε 2sin2θ(cos2ρ+ 2 U 2 /3 )sinρ[2cosρ(13 cos 2 θ)+ + sin 2 θ(1+cosρ)]sinX /8 .
MathType@MTEF@5@5@+=
feaahGart1ev3aaatCvAUfeBSjuyZL2yd9gzLbvyNv2Caerbov2D09
MBdbqedmvETj2BSbqeeuuDJXwAKbsr4rNCHbGeaGqik8fkY=xipgYl
h9vqqj=hEeeu0xXdi9arFj0xirFj0dXdbba91qpK0=yr0RYxfr=Jbb
f9q8aq0=yq=He9q8qqQ8frFve9Fve9Ff0dmeaabaqaciaacaGaaeqa
baqabeGadaaakqaaceqaaiabek7aInaaBaaaleaacaaIYaaabeaaki
aaykW7cqGH9aqpcaaMe8UaaG4maiabew7aLnaaceGabaGaaGOmaiGa
cohacaGGPbGaaiOBaiaaikdacqaH4oqCcaGGOaGaci4yaiaac+gaca
GGZbGaaGOmaiabeg8aYjaaysW7cqGHRaWkcaaMc8+aaSGbaeaacGaP
aIOmaiacKc4GvbWaiqkGCaaaleqcKcyaiqkGcGaPaIOmaaaaaOqaai
aaiodaaaGaaiykaiaaysW7cqGHsislcaaMe8Uaci4CaiaacMgacaGG
UbGaeqyWdiNaai4waiaaikdaciGGJbGaai4BaiaacohacqaHbpGCca
GGOaGaaGymaiaaysW7cqGHsislcaaMe8UaaG4maiGacogacaGGVbGa
ai4CamaaCaaaleqabaGaaGOmaaaakiaaygW7cqaH4oqCcaGGPaGaey
4kaScacaGL7baaaeaacqGHRaWkcaaMe8+aaSGbaeaadaGaciqaaiGa
cohacaGGPbGaaiOBamaaCaaaleqabaGaaGOmaaaakiaaygW7cqaH4o
qCcaGGOaGaaGymaiaaysW7cqGHRaWkcaaMe8Uaci4yaiaac+gacaGG
ZbGaeqyWdiNaaiykaiaac2faciGGZbGaaiyAaiaac6gacaWGybaaca
GL9baaaeaacaaI4aaaaiaac6caaaaa@8F38@

Отсюда находим

α 2 β 1 =3ε cos 2 θcosXsinρ(1+cosρ)/2 , MathType@MTEF@5@5@+=
feaahGart1ev3aaatCvAUfeBSjuyZL2yd9gzLbvyNv2Caerbov2D09
MBdbqedmvETj2BSbqeeuuDJXwAKbsr4rNCHbGeaGqik8fkY=xipgYl
h9vqqj=hEeeu0xXdi9arFj0xirFj0dXdbba91qpK0=yr0RYxfr=Jbb
f9q8aq0=yq=He9q8qqQ8frFve9Fve9Ff0dmeaabaqaciaacaGaaeqa
baqabeGadaaakeaacqaHXoqydaWgaaWcbaGaaGOmaaqabaGccaaMe8
UaeyOeI0IaeqOSdi2aaSbaaSqaaiaaigdaaeqaaOGaeyypa0JaaG4m
aiabew7aLnaalyaabaGaci4yaiaac+gacaGGZbWaaWbaaSqabeaaca
aIYaaaaOGaeqiUdeNaci4yaiaac+gacaGGZbGaamiwaiGacohacaGG
PbGaaiOBaiabeg8aYjaacIcacaaIXaGaey4kaSIaci4yaiaac+gaca
GGZbGaeqyWdiNaaiykaaqaaiaaikdaaaGaaiilaaaa@52E0@

α 1 + β 2 =3ε sin2θ( 4 U 2 /3 +3 cos 2 ρ1)+2cos2θsinXsinρ(1+cosρ) /4 . MathType@MTEF@5@5@+=
feaahGart1ev3aaatCvAUfeBSjuyZL2yd9gzLbvyNv2Caerbov2D09
MBdbqedmvETj2BSbqeeuuDJXwAKbsr4rNCHbGeaGqik8fkY=xipgYl
h9vqqj=hEeeu0xXdi9arFj0xirFj0dXdbba91qpK0=yr0RYxfr=Jbb
f9q8aq0=yq=He9q8qqQ8frFve9Fve9Ff0dmeaabaqaciaacaGaaeqa
baqabeGadaaakeaacqaHXoqydaWgaaWcbaGaaGymaaqabaGccaaMc8
Uaey4kaSIaeqOSdi2aaSbaaSqaaiaaikdaaeqaaOGaaGPaVlabg2da
9iaaysW7caaIZaGaeqyTdu2aaSGbaeaadaqadaqaaiGacohacaGGPb
GaaiOBaiaaikdacqaH4oqCcaGGOaWaaSGbaeaacaaI0aGaamyvamaa
CaaaleqabaGaaGOmaaaaaOqaaiaaiodaaaGaey4kaSIaaG4maiGaco
gacaGGVbGaai4CamaaCaaaleqabaGaaGOmaaaakiaaygW7cqaHbpGC
caaMe8UaeyOeI0IaaGjbVlaaigdacaGGPaGaaGjbVlabgUcaRiaays
W7caaIYaGaci4yaiaac+gacaGGZbGaaGOmaiabeI7aXjGacohacaGG
PbGaaiOBaiaadIfaciGGZbGaaiyAaiaac6gacqaHbpGCcaGGOaGaaG
ymaiaaysW7cqGHRaWkcaaMe8Uaci4yaiaac+gacaGGZbGaeqyWdiNa
aiykaaGaayjkaiaawMcaaaqaaiaaisdaaaGaaiOlaaaa@768A@

После подстановки этих выражений в формулы (4.23) и (4.24) осредненные по ψ уравнения (4.6) и (3.10) запишутся в следующем виде:

X = F X =U2+ ( m ¯
2 +μγ W 2 )(2cosρ)/ (Usinρ) + + ctgθ 2U U 2 + μ 2 (1+γ) U 2 + μ 2 (1+γ) 2 ( α 1 + β 2 ) μγU( α 2 β 1 ) U 2 + μ 2 (1+γ) 2 +O( ε 2 ),
MathType@MTEF@5@5@+=
feaahGart1ev3aaatCvAUfeBSjuyZL2yd9gzLbvyNv2Caerbov2D09
MBdbqedmvETj2BSbqefm0B1jxALjhiov2Daebbfv3ySLgzGueE0jxy
aibaieIcFHI8=fYJH8YrFfeuY=Hhbbf9v8aspq0xc9fs0xc9q8qqaq
Fn0dj9pwe9Q8vr0=yqqrpepae9pg0FirpepeKkFr0xfr=xfr=xb9ad
baqaaeGacaGaaiaabeqaamaabiabaaGceaGabeaaceWGybGbauaacq
GH9aqpcaWGgbWaaSbaaSqaaiaadIfaaeqaaOGaeyypa0Jaamyvaiab
gkHiTiaaikdacqGHRaWkdaWcgaqaaiaacIcaceWGTbGbaebadaWgaa
WcbaGaaGOmaaqabaGccqGHRaWkcqaH8oqBcqaHZoWzcaWGxbWaaSba
aSqaaiaaikdaaeqaaOGaaiykaiaacIcacaaIYaGaeyOeI0Iaci4yai
aac+gacaGGZbGaeqyWdiNaaiykaaqaaiaacIcacaWGvbGaci4Caiaa
cMgacaGGUbGaeqyWdiNaaiykaaaacqGHRaWkaeaacqGHRaWkdaWcaa
qaaiGacogacaGG0bGaai4zaiabeI7aXbqaaiaaikdacaWGvbaaamaa
bmaabaWaaSaaaeaacaWGvbWaaWbaaSqabeaacaaIYaaaaOGaaGPaVl
abgUcaRiabeY7aTnaaCaaaleqabaGaaGOmaaaakiaacIcacaaIXaGa
ey4kaSIaeq4SdCMaaiykaaqaaiaadwfadaahaaWcbeqaaiaaikdaaa
GccaaMc8Uaey4kaSIaeqiVd02aaWbaaSqabeaacaaIYaaaaOGaaiik
aiaaigdacqGHRaWkcqaHZoWzcaGGPaWaaWbaaSqabeaacaaIYaaaaa
aakiaacIcacqaHXoqydaWgaaWcbaGaaGymaaqabaGccaaMe8Uaey4k
aSIaeqOSdi2aaSbaaSqaaiaaikdaaeqaaOGaaiykaiabgkHiTmaala
aabaGaeqiVd0Maeq4SdCMaaGPaVlaadwfacaGGOaGaeqySde2aaSba
aSqaaiaaikdaaeqaaOGaaGPaVlabgkHiTiabek7aInaaBaaaleaaca
aIXaaabeaakiaacMcaaeaacaWGvbWaaWbaaSqabeaacaaIYaaaaOGa
ey4kaSIaeqiVd02aaWbaaSqabeaacaaIYaaaaOGaaiikaiaaigdacq
GHRaWkcqaHZoWzcaGGPaWaaWbaaSqabeaacaaIYaaaaaaaaOGaayjk
aiaawMcaaiaaysW7cqGHRaWkcaWGpbGaaiikaiabew7aLnaaCaaale
qabaGaaGOmaaaakiaacMcacaGGSaaaaaa@A241@
 (4.25)

θ = F θ = 3ε 4U U 2 + μ 2 (1+γ) U 2 + μ 2 (1+γ) 2 sinρ(1+cosρ) cos 2 θcosX 3ε 8 μγ sin2θ(4 U 2 /3 +3 cos 2 ρ1)+2cos2θsinρ(1+cosρ)sinX U 2 + μ 2 (1+γ) 2 +O( ε 2 ).
MathType@MTEF@5@5@+=
feaahGart1ev3aaatCvAUfeBSjuyZL2yd9gzLbvyNv2Caerbov2D09
MBdbqedmvETj2BSbqefm0B1jxALjhiov2Daebbfv3ySLgzGueE0jxy
aibaieIcFHI8=fYJH8YrFfeuY=Hhbbf9v8aspq0xc9fs0xc9q8qqaq
Fn0dj9pwe9Q8vr0=yqqrpepae9pg0FirpepeKkFr0xfr=xfr=xb9ad
baqaaeGacaGaaiaabeqaamaabiabaaGceaGabeaacuaH4oqCgaqbai
abg2da9iaadAeadaWgaaWcbaGaeqiUdehabeaakiabg2da9iabgkHi
TmaalaaabaGaaG4maiabew7aLbqaaiaaisdacaWGvbaaamaalaaaba
GaamyvamaaCaaaleqabaGaaGOmaaaakiabgUcaRiabeY7aTnaaCaaa
leqabaGaaGOmaaaakiaacIcacaaIXaGaey4kaSIaeq4SdCMaaiykaa
qaaiaadwfadaahaaWcbeqaaiaaikdaaaGccqGHRaWkcqaH8oqBdaah
aaWcbeqaaiaaikdaaaGccaGGOaGaaGymaiabgUcaRiabeo7aNjaacM
cadaahaaWcbeqaaiaaikdaaaaaaOGaci4CaiaacMgacaGGUbGaeqyW
diNaaiikaiaaigdacqGHRaWkciGGJbGaai4BaiaacohacqaHbpGCca
GGPaGaci4yaiaac+gacaGGZbWaaWbaaSqabeaacaaIYaaaaOGaeqiU
deNaci4yaiaac+gacaGGZbGaamiwaiabgkHiTaqaaiabgkHiTiaays
W7daWcaaqaaiaaiodacqaH1oqzaeaacaaI4aaaaiabeY7aTjabeo7a
NnaalaaabaGaaGPaVlGacohacaGGPbGaaiOBaiaaikdacqaH4oqCca
GGOaGaaGinamaalyaabaGaamyvamaaCaaaleqabaGaaGOmaaaaaOqa
aiaaiodaaaGaaGjbVlabgUcaRiaaysW7caaIZaGaci4yaiaac+gaca
GGZbWaaWbaaSqabeaacaaIYaaaaOGaaGzaVlabeg8aYjaaysW7cqGH
sislcaaMe8UaaGymaiaacMcacaaMe8Uaey4kaSIaaGjbVlaaikdaci
GGJbGaai4BaiaacohacaaIYaGaeqiUdeNaci4CaiaacMgacaGGUbGa
eqyWdiNaaiikaiaaigdacaaMe8Uaey4kaSIaaGjbVlGacogacaGGVb
Gaai4Caiabeg8aYjaacMcaciGGZbGaaiyAaiaac6gacaWGybaabaGa
amyvamaaCaaaleqabaGaaGOmaaaakiabgUcaRiabeY7aTnaaCaaale
qabaGaaGOmaaaakiaacIcacaaIXaGaey4kaSIaeq4SdCMaaiykamaa
CaaaleqabaGaaGOmaaaaaaGccqGHRaWkcaWGpbGaaiikaiabew7aLn
aaCaaaleqabaGaaGOmaaaakiaacMcacaGGUaaaaaa@BF56@
 (4.26)

Стационарные решения (положения равновесия) системы (4.14), (4.15), (4.25), (4.26) по переменным W1, W2, W3, U, θ, X при фиксированном r описываются следующей системой уравнений:

W 1 * = 3ε 8 sin2 θ * cos X * (1+cosρ)(2cosρ) μ(1+γ) +O( ε 2 ), MathType@MTEF@5@5@+=
feaahGart1ev3aaatCvAUfeBSjuyZL2yd9gzLbvyNv2Caerbov2D09
MBdbqedmvETj2BSbqefm0B1jxALjhiov2Daebbfv3ySLgzGueE0jxy
aibaieIcFHI8=fYJH8YrFfeuY=Hhbbf9v8aspq0xc9fs0xc9q8qqaq
Fn0dj9pwe9Q8vr0=yqqrpepae9pg0FirpepeKkFr0xfr=xfr=xb9ad
baqaaeGacaGaaiaabeqaamaabiabaaGcbqa4aiaadEfadaqhaaWcba
GaaGymaaqaaiaacQcaaaGccaaMi8Uaeyypa0JaeyOeI0YaaSaaaeaa
caaIZaGaeqyTdugabaGaaGioaaaadaWcaaqaaiGacohacaGGPbGaai
OBaiaaikdacqaH4oqCdaahaaWcbeqaaiaacQcaaaGccaaMb8UaaGza
VlGacogacaGGVbGaai4CaiaadIfadaahaaWcbeqaaiaacQcaaaGcca
GGOaGaaGymaiaaysW7cqGHRaWkcaaMe8Uaci4yaiaac+gacaGGZbGa
eqyWdiNaaiykaiaacIcacaaIYaGaaGjbVlabgkHiTiaaysW7ciGGJb
Gaai4BaiaacohacqaHbpGCcaGGPaaabaGaeqiVd0Maaiikaiaaigda
cqGHRaWkcqaHZoWzcaGGPaaaaiaaysW7cqGHRaWkcaaMe8Uaam4tai
aacIcacqaH1oqzdaahaaWcbeqaaiaaikdaaaGccaGGPaGaaiilaaaa
@725F@
 (4.27)

W 2 * = 3ε 8 sin2ρ(13 cos 2 θ * )+sin2 θ * sin X * (1+cosρ)(12cosρ) μ(1+γ) +O( ε 2 ), MathType@MTEF@5@5@+=
feaahGart1ev3aaatCvAUfeBSjuyZL2yd9gzLbvyNv2Caerbov2D09
MBdbqedmvETj2BSbqeeuuDJXwAKbsr4rNCHbGeaGqik8fkY=xipgYl
h9vqqj=hEeeu0xXdi9arFj0xirFj0dXdbba91qpK0=yr0RYxfr=Jbb
f9q8aq0=yq=He9q8qqQ8frFve9Fve9Ff0dmeaabaqaciaacaGaaeqa
baqabeGadaaakeabGdGaam4vamaaDaaaleaacaaIYaaabaGaaiOkaa
aakiaaykW7cWaxaAypa0JaaGjbVlabgkHiTiaaykW7daWcaaqaaiaa
iodacqaH1oqzaeaacaaI4aaaamaalaaabaGaci4CaiaacMgacaGGUb
GaaGOmaiabeg8aYjaacIcacaaIXaGaaGjbVlabgkHiTiaaysW7caaI
ZaGaci4yaiaac+gacaGGZbWaaWbaaSqabeaacaaIYaaaaOGaaGzaVl
abeI7aXnaaCaaaleqabaGaaiOkaaaakiaacMcacaaMe8Uaey4kaSIa
aGjbVlGacohacaGGPbGaaiOBaiaaikdacqaH4oqCdaahaaWcbeqaai
aacQcaaaGccaaMb8Uaci4CaiaacMgacaGGUbGaamiwamaaCaaaleqa
baGaaiOkaaaakiaaygW7caGGOaGaaGymaiaaysW7cqGHRaWkcaaMe8
Uaci4yaiaac+gacaGGZbGaeqyWdiNaaiykaiaacIcacaaIXaGaaGjb
VlabgkHiTiaaysW7caaIYaGaci4yaiaac+gacaGGZbGaeqyWdiNaai
ykaaqaaiabeY7aTjaacIcacaaIXaGaey4kaSIaeq4SdCMaaiykaaaa
cqGHRaWkcaWGpbGaaiikaiabew7aLnaaCaaaleqabaGaaGOmaaaaki
aacMcacaGGSaaaaa@87D4@
 (4.28)

W 3 * = 3ε 8 sin2 θ * cos X * sinρ(1+cosρ) μ(1+γ) +O( ε 2 ). MathType@MTEF@5@5@+=
feaahGart1ev3aaatCvAUfeBSjuyZL2yd9gzLbvyNv2Caerbov2D09
MBdbqedmvETj2BSbqefm0B1jxALjhiov2Daebbfv3ySLgzGueE0jxy
aibaieIcFHI8=fYJH8YrFfeuY=Hhbbf9v8aspq0xc9fs0xc9q8qqaq
Fn0dj9pwe9Q8vr0=yqqrpepae9pg0FirpepeKkFr0xfr=xfr=xb9ad
baqaaeGacaGaaiaabeqaamaabiabaaGcbqa4aiaadEfadaqhaaWcba
GaaG4maaqaaiaacQcaaaGccaaMc8Uaeyypa0ZaaSaaaeaacaaIZaGa
eqyTdugabaGaaGioaaaadaWcaaqaaiGacohacaGGPbGaaiOBaiaaik
dacqaH4oqCdaahaaWcbeqaaiaacQcaaaGcciGGJbGaai4Baiaacoha
caWGybWaaWbaaSqabeaacaGGQaaaaOGaaGzaVlGacohacaGGPbGaai
OBaiabeg8aYjaacIcacaaIXaGaey4kaSIaci4yaiaac+gacaGGZbGa
eqyWdiNaaiykaaqaaiabeY7aTjaacIcacaaIXaGaey4kaSIaeq4SdC
MaaiykaaaacqGHRaWkcaWGpbGaaiikaiabew7aLnaaCaaaleqabaGa
aGOmaaaakiaacMcacaGGUaaaaa@639B@
 (4.29)

sin2 θ * cos X * sinρ(1+cosρ)=O(ε), MathType@MTEF@5@5@+=
feaahGart1ev3aaatCvAUfeBSjuyZL2yd9gzLbvyNv2Caerbov2D09
MBdbqedmvETj2BSbqeeuuDJXwAKbsr4rNCHbGeaGqik8fkY=xipgYl
h9vqqj=hEeeu0xXdi9arFj0xirFj0dXdbba91qpK0=yr0RYxfr=Jbb
f9q8aq0=yq=He9q8qqQ8frFve9Fve9Ff0dmeaabaqaciaacaGaaeqa
baqabeGadaaakeaaciGGZbGaaiyAaiaac6gacaaIYaGaeqiUde3aaW
baaSqabeaacaGGQaaaaOGaaGzaVlGacogacaGGVbGaai4CaiaadIfa
daahaaWcbeqaaiaacQcaaaGccaaMb8Uaci4CaiaacMgacaGGUbGaeq
yWdiNaaiikaiaaigdacqGHRaWkciGGJbGaai4BaiaacohacqaHbpGC
caGGPaGaeyypa0Jaam4taiaacIcacqaH1oqzcaGGPaGaaiilaaaa@508D@
 (4.30)

U * =2+O(ε), MathType@MTEF@5@5@+=
feaahGart1ev3aaatCvAUfeBSjuyZL2yd9gzLbvyNv2Caerbov2D09
MBdbqedmvETj2BSbqeeuuDJXwAKbsr4rNCHbGeaGqik8fkY=xipgYl
h9vqqj=hEeeu0xXdi9arFj0xirFj0dXdbba91qpK0=yr0RYxfr=Jbb
f9q8aq0=yq=He9q8qqQ8frFve9Fve9Ff0dmeaabaqaciaacaGaaeqa
baqabeGadaaakeabGdGaamyvamaaCaaaleqabaGaaiOkaaaakiaayg
W7cqGH9aqpcaaMe8UaaGOmaiaaysW7cqGHRaWkcaaMe8Uaam4taiaa
cIcacqaH1oqzcaGGPaGaaiilaaaa@4106@
 (4.31)

4+ μ 2 (1+γ) cos 2 θ * cos X * sinρ(1+cosρ)+ +μγ sin2 θ * ( 13/3 +3 cos 2 ρ)+2cos2 θ * sin X * sinρ(1+cosρ) =O(ε).
MathType@MTEF@5@5@+=
feaahGart1ev3aaatCvAUfeBSjuyZL2yd9gzLbvyNv2Caerbov2D09
MBdbqedmvETj2BSbqeeuuDJXwAKbsr4rNCHbGeaGqik8fkY=xipgYl
h9vqqj=hEeeu0xXdi9arFj0xirFj0dXdbba91qpK0=yr0RYxfr=Jbb
f9q8aq0=yq=He9q8qqQ8frFve9Fve9Ff0dmeaabaqaciaacaGaaeqa
baqabeGadaaakqaabeqaamaabmqabaGaaGinaiaaysW7cqGHRaWkca
aMe8UaeqiVd02aaWbaaSqabeaacaaIYaaaaOGaaiikaiaaigdacaaM
e8Uaey4kaSIaaGjbVlabeo7aNjaacMcaaiaawIcacaGLPaaaciGGJb
Gaai4BaiaacohadaahaaWcbeqaaiaaikdaaaGccaaMb8UaeqiUde3a
aWbaaSqabeaacaGGQaaaaOGaaGzaVlGacogacaGGVbGaai4CaiaadI
fadaahaaWcbeqaaiaacQcaaaGccaaMb8UakGgGcohacGaAakyAaiac
ObOGUbGamGgGeg8aYjaacIcacaaIXaGaaGjbVlabgUcaRiaaysW7ci
GGJbGaai4BaiaacohacqaHbpGCcaGGPaGaaGjbVlabgUcaRaqaeaoa
cqGHRaWkcaaMe8UaeqiVd0Maeq4SdCMaaGPaVpaabmaabaGaci4Cai
aacMgacaGGUbGaaGOmaiabeI7aXnaaCaaaleqabaGaaiOkaaaakiaa
cIcadaWcgaqaaiaaigdacaaIZaaabaGaaG4maaaacaaMe8Uaey4kaS
IaaGjbVlaaiodaciGGJbGaai4BaiaacohadaahaaWcbeqaaiaaikda
aaGccaaMb8UaeqyWdiNaaiykaiaaysW7cqGHRaWkcaaMe8UaaGOmai
GacogacaGGVbGaai4CaiaaikdacqaH4oqCdaahaaWcbeqaaiaacQca
aaGccaaMb8Uaci4CaiaacMgacaGGUbGaamiwamaaCaaaleqabaGaai
OkaaaakiaaygW7cOaAak4CaiacObOGPbGaiGgGc6gacWaAasyWdiNa
aiikaiaaigdacaaMe8Uaey4kaSIaaGjbVlGacogacaGGVbGaai4Cai
abeg8aYjaacMcaaiaawIcacaGLPaaacaaMe8Uaeyypa0JaaGjbVlaa
d+eacaGGOaGaeqyTduMaaiykaiaac6caaaaa@B444@
 (4.32)

Если значения угла нутации r удовлетворяют условию

sinρ(1+cosρ)ε, MathType@MTEF@5@5@+=
feaahGart1ev3aaatCvAUfeBSjuyZL2yd9gzLbvyNv2Caerbov2D09
MBdbqedmvETj2BSbqeeuuDJXwAKbsr4rNCHbGeaGqik8fkY=xipgYl
h9vqqj=hEeeu0xXdi9arFj0xirFj0dXdbba91qpK0=yr0RYxfr=Jbb
f9q8aq0=yq=He9q8qqQ8frFve9Fve9Ff0dmeaabaqaciaacaGaaeqa
baqabeGadaaakeaaciGGZbGaaiyAaiaac6gacqaHbpGCcaGGOaGaaG
ymaiabgUcaRiGacogacaGGVbGaai4Caiabeg8aYjaacMcacqWIRjYp
cqaH1oqzcaGGSaaaaa@40DF@
 (4.33)

то с точностью до O(ε) стационарные решения для X * и θ* в уравнениях (4.27) MathType@MTEF@5@5@+=
feaahGart1ev3aqatCvAUfeBSjuyZL2yd9gzLbvyNv2Caerbov2D09
MBaeXatLxBI9gBaeXafv3ySLgzGmvETj2BSbqeeuuDJXwAKbsr4rNC
HbGeaGqipC0df9qqqrpepC0xbbL8F4rqqrFfpeea0de9Gq=Je9qspe
ea0xd9qs=xfrVkFHe9peei0dXdar=Jb9qqFfea0lrP0xe9Fve9Fve9
GapdbeqaaeGacaGaamaabeqaaeqabiabaaGcbaqefqvATv2CG4uz3b
IuV1wyUbacfaqcLbuaqaa6daaaOpWdbiaa=nbiaaa@4017@
(4.32) описываются формулами:

cos X * =0, MathType@MTEF@5@5@+=
feaahGart1ev3aaatCvAUfeBSjuyZL2yd9gzLbvyNv2Caerbov2D09
MBdbqedmvETj2BSbqeeuuDJXwAKbsr4rNCHbGeaGqik8fkY=xipgYl
h9vqqj=hEeeu0xXdi9arFj0xirFj0dXdbba91qpK0=yr0RYxfr=Jbb
f9q8aq0=yq=He9q8qqQ8frFve9Fve9Ff0dmeaabaqaciaacaGaaeqa
baqabeGadaaakeaaciGGJbGaai4BaiaacohacaWGybWaaWbaaSqabe
aacaGGQaaaaOGaaGzaVlabg2da9iaaysW7caaIWaGaaiilaaaa@3B26@
  tg2 θ * = 2sinρ(1+cosρ) 13/3 +3 cos 2 ρ sin X * . MathType@MTEF@5@5@+=
feaahGart1ev3aaatCvAUfeBSjuyZL2yd9gzLbvyNv2Caerbov2D09
MBdbqedmvETj2BSbqefm0B1jxALjhiov2Daebbfv3ySLgzGueE0jxy
aibaieIcFHI8=fYJH8YrFfeuY=Hhbbf9v8aspq0xc9fs0xc9q8qqaq
Fn0dj9pwe9Q8vr0=yqqrpepae9pg0FirpepeKkFr0xfr=xfr=xb9ad
baqaaeGacaGaaiaabeqaamaabiabaaGcbaGaciiDaiaacEgacaaIYa
GaeqiUde3aiaiSCaaaleqcacBaiaiScGaGWkOkaaaakiaaygW7cqGH
9aqpcqGHsisldaWcaaqaaiaaikdaciGGZbGaaiyAaiaac6gacqaHbp
GCcaGGOaGaaGymaiabgUcaRiGacogacaGGVbGaai4Caiabeg8aYjaa
cMcaaeaadaWcgaqaaiaaigdacaaIZaaabaGaaG4maaaacqGHRaWkca
aIZaGaci4yaiaac+gacaGGZbWaaWbaaSqabeaacaaIYaaaaOGaeqyW
dihaaiGacohacaGGPbGaaiOBaiaadIfadGaGKYbaaSqajaiPbGaGKk
acasQGQaaaaOGaaGzaVlaac6caaaa@64C1@
 (4.34)

Вопрос об устойчивости найденных стационарных решений сводится к исследованию корней характеристического уравнения системы (4.14), (4.15), (4.25), (4.26), линеаризованной в окрестности положений равновесия. Матрица этой системы на решениях (4.27) MathType@MTEF@5@5@+=
feaahGart1ev3aqatCvAUfeBSjuyZL2yd9gzLbvyNv2Caerbov2D09
MBaeXatLxBI9gBaeXafv3ySLgzGmvETj2BSbqeeuuDJXwAKbsr4rNC
HbGeaGqipC0df9qqqrpepC0xbbL8F4rqqrFfpeea0de9Gq=Je9qspe
ea0xd9qs=xfrVkFHe9peei0dXdar=Jb9qqFfea0lrP0xe9Fve9Fve9
GapdbeqaaeGacaGaamaabeqaaeqabiabaaGcbaqefqvATv2CG4uz3b
IuV1wyUbacfaqcLbuaqaa6daaaOpWdbiaa=nbiaaa@4017@
(4.32), (4.34) выражается следующей формулой:

A= μ(1+γ)000O(ε)0 0μ(1+γ)000O(ε) 00μ(1+γ)0ε f 3 0 00μγ0ε f 3 0 0μγ 2cosρ 2sinρ 01ε f xx O(ε) 000O(ε)O(ε)ε f θθ

. MathType@MTEF@5@5@+=
feaahGart1ev3aaatCvAUfeBSjuyZL2yd9gzLbvyNv2Caerbov2D09
MBdbqedmvETj2BSbqeeuuDJXwAKbsr4rNCHbGeaGqik8fkY=xipgYl
h9vqqj=hEeeu0xXdi9arFj0xirFj0dXdbba91qpK0=yr0RYxfr=Jbb
f9q8aq0=yq=He9q8qqQ8frFve9Fve9Ff0dmeaabaqaciaacaGaaeqa
baqabeGadaaakeabGdGaaCyqaiabg2da9maabmaaeaqabeaacqGHsi
slcqaH8oqBcaGGOaGaaGymaiabgUcaRiabeo7aNjaacMcacaaMc8Ua
aGPaVlaaykW7caaMc8UaaGPaVlaaykW7caaMc8UaaGPaVlaaykW7ca
aMc8UaaGPaVlaaykW7caaMc8UaaGimaiaaykW7caaMc8UaaGPaVlaa
ykW7caaMc8UaaGPaVlaaykW7caaMc8UaaGPaVlaaykW7caaMc8UaaG
PaVlaaykW7caaMc8UaaGPaVlaaykW7caaMc8UaaGPaVlaaykW7caaM
c8UaaGPaVlaaicdacaaMc8UaaGPaVlaaykW7caaMc8UaaGPaVlaayk
W7caaMc8UaaGPaVlaaykW7caaMc8UaaGPaVlaaykW7caaMc8UaaGPa
VlaaykW7caaMc8UaaGPaVlaaykW7caaIWaGaaGPaVlaaykW7caaMc8
UaaGPaVlaaykW7caaMc8UaaGPaVlaaykW7caaMc8UaaGPaVlaaykW7
caWGpbGaaiikaiabew7aLjaacMcacaaMc8UaaGPaVlaaykW7caaMc8
UaaGPaVlaaykW7caaMc8UaaGPaVlaaykW7caaMc8UaaGPaVlaaykW7
caaMc8UaaGPaVlaaicdaaeabGdGaaGPaVlaaykW7caaMc8UaaGPaVl
aaykW7caaMc8UaaGPaVlaaicdacaaMc8UaaGPaVlaaykW7caaMc8Ua
aGPaVlaaykW7caaMc8UaaGPaVlaaykW7caaMc8UaaGPaVlaaykW7ca
aMc8UaeyOeI0IaeqiVd0MaaiikaiaaigdacqGHRaWkcqaHZoWzcaGG
PaGaaGPaVlaaykW7caaMc8UaaGPaVlaaykW7caaMc8UaaGPaVlaayk
W7caaMc8UaaGPaVlaaykW7caaMc8UaaGimaiaaykW7caaMc8UaaGPa
VlaaykW7caaMc8UaaGPaVlaaykW7caaMc8UaaGPaVlaaykW7caaMc8
UaaGPaVlaaykW7caaMc8UaaGPaVlaaykW7caaMc8UaaGPaVlaaykW7
caaIWaGaaGPaVlaaykW7caaMc8UaaGPaVlaaykW7caaMc8UaaGPaVl
aaykW7caaMc8UaaGPaVlaaykW7caaMc8UaaGPaVlaaykW7caaIWaGa
aGPaVlaaykW7caaMc8UaaGPaVlaaykW7caaMc8UaaGPaVlaaykW7ca
aMc8UaaGPaVlaaykW7caaMc8UaaGPaVlaaykW7caaMc8Uaam4taiaa
cIcacqaH1oqzcaGGPaaabqa4aiaaykW7caaMc8UaaGPaVlaaykW7ca
aMc8UaaGPaVlaaykW7caaIWaGaaGPaVlaaykW7caaMc8UaaGPaVlaa
ykW7caaMc8UaaGPaVlaaykW7caaMc8UaaGPaVlaaykW7caaMc8UaaG
PaVlaaykW7caaMc8UaaGPaVlaaykW7caaMc8UaaGPaVlaaykW7caaM
c8UaaGPaVlaaykW7caaMc8UaaGPaVlaaicdacaaMc8UaaGPaVlaayk
W7caaMc8UaaGPaVlaaykW7caaMc8UaaGPaVlaaykW7caaMc8UaeyOe
I0IaeqiVd0MaaiikaiaaigdacqGHRaWkcqaHZoWzcaGGPaGaaGPaVl
aaykW7caaMc8UaaGPaVlaaykW7caaMc8UaaGPaVlaaykW7caaMc8Ua
aGimaiaaykW7caaMc8UaaGPaVlaaykW7caaMc8UaaGPaVlaaykW7ca
aMc8UaaGPaVlaaykW7caaMc8UaaGPaVlabew7aLjaaykW7caWGMbWa
aSbaaSqaaiaaiodaaeqaaOGaaGPaVlaaykW7caaMc8UaaGPaVlaayk
W7caaMc8UaaGPaVlaaykW7caaMc8UaaGPaVlaaykW7caaMc8UaaGPa
VlaaicdaaeabGdGaaGPaVlaaykW7caaMc8UaaGPaVlaaykW7caaMc8
UaaGPaVlaaicdacaaMc8UaaGPaVlaaykW7caaMc8UaaGPaVlaaykW7
caaMc8UaaGPaVlaaykW7caaMc8UaaGPaVlaaykW7caaMc8UaaGPaVl
aaykW7caaMc8UaaGPaVlaaykW7caaMc8UaaGPaVlaaykW7caaMc8Ua
aGPaVlaaykW7caaMc8UaaGimaiaaykW7caaMc8UaaGPaVlaaykW7ca
aMc8UaaGPaVlaaykW7caaMc8UaaGPaVlaaykW7caaMc8UaaGPaVlaa
ykW7caaMc8UaaGPaVlaaykW7caaMc8UaaGPaVlaaykW7caaMc8Uaeq
iVd0Maeq4SdCMaaGPaVlaaykW7caaMc8UaaGPaVlaaykW7caaMc8Ua
aGPaVlaaykW7caaMc8UaaGPaVlaaykW7caaMc8UaaGPaVlaaykW7ca
aMc8UaaGPaVlaaicdacaaMc8UaaGPaVlaaykW7caaMc8UaaGPaVlaa
ykW7caaMc8UaaGPaVlabgkHiTiabew7aLjaaykW7caWGMbWaaSbaaS
qaaiaaiodaaeqaaOGaaGPaVlaaykW7caaMc8UaaGPaVlaaykW7caaM
c8UaaGPaVlaaykW7caaMc8UaaGPaVlaaykW7caaMc8UaaGimaaqaea
oacaaMc8UaaGPaVlaaykW7caaMc8UaaGPaVlaaykW7caaMc8UaaGim
aiaaykW7caaMc8UaaGPaVlaaykW7caaMc8UaaGPaVlaaykW7caaMc8
UaaGPaVlaaykW7caaMc8UaaGPaVlabeY7aTjabeo7aNnaalaaabaGa
aGOmaiabgkHiTiGacogacaGGVbGaai4Caiabeg8aYbqaaiaaikdaci
GGZbGaaiyAaiaac6gacqaHbpGCaaGaaGPaVlaaykW7caaMc8UaaGPa
VlaaykW7caaMc8UaaGPaVlaaykW7caaMc8UaaGimaiaaykW7caaMc8
UaaGPaVlaaykW7caaMc8UaaGPaVlaaykW7caaMc8UaaGPaVlaaykW7
caaMc8UaaGPaVlaaykW7caaMc8UaaGPaVlaaykW7caaMc8UaaGPaVl
aaigdacaaMc8UaaGPaVlaaykW7caaMc8UaaGPaVlaaykW7caaMc8Ua
aGPaVlaaykW7caaMc8UaaGPaVlabew7aLjaaykW7caWGMbWaaSbaaS
qaaiaadIhacaWG4baabeaakiaaykW7caaMc8UaaGPaVlaaykW7caaM
c8UaaGPaVlaaykW7caaMc8UaaGPaVlaad+eacaGGOaGaeqyTduMaai
ykaaqaeaoacaaMc8UaaGPaVlaaykW7caaMc8UaaGPaVlaaykW7caaM
c8UaaGimaiaaykW7caaMc8UaaGPaVlaaykW7caaMc8UaaGPaVlaayk
W7caaMc8UaaGPaVlaaykW7caaMc8UaaGPaVlaaykW7caaMc8UaaGPa
VlaaykW7caaMc8UaaGPaVlaaykW7caaMc8UaaGPaVlaaykW7caaMc8
UaaGPaVlaaykW7caaIWaGaaGPaVlaaykW7caaMc8UaaGPaVlaaykW7
caaMc8UaaGPaVlaaykW7caaMc8UaaGPaVlaaykW7caaMc8UaaGPaVl
aaykW7caaMc8UaaGPaVlaaykW7caaMc8UaaGPaVlaaykW7caaMc8Ua
aGimaiaaykW7caaMc8UaaGPaVlaaykW7caaMc8UaaGPaVlaaykW7ca
aMc8UaaGPaVlaaykW7caaMc8UaaGPaVlaaykW7caaMc8Uaam4taiaa
cIcacqaH1oqzcaGGPaGaaGPaVlaaykW7caaMc8UaaGPaVlaaykW7ca
aMc8UaaGPaVlaad+eacaGGOaGaeqyTduMaaiykaiaaykW7caaMc8Ua
aGPaVlaaykW7caaMc8UaaGPaVlaaykW7caaMc8UaaGPaVlaaykW7cq
aH1oqzcaaMc8UaamOzamaaBaaaleaacqaH4oqCcqaH4oqCaeqaaaaa
kiaawIcacaGLPaaacaGGUaaaaa@7589@
 (4.35)

Здесь

ε f 3 = m ¯
3 X = 3ε 8 sin2 θ * sin X * sinρ(1+cosρ), MathType@MTEF@5@5@+=
feaahGart1ev3aaatCvAUfeBSjuyZL2yd9gzLbvyNv2Caerbov2D09
MBdbqedmvETj2BSbqeeuuDJXwAKbsr4rNCHbGeaGqik8fkY=xipgYl
h9vqqj=hEeeu0xXdi9arFj0xirFj0dXdbba91qpK0=yr0RYxfr=Jbb
f9q8aq0=yq=He9q8qqQ8frFve9Fve9Ff0dmeaabaqaciaacaGaaeqa
baqabeGadaaakeaacqaH1oqzcaWGMbWaaSbaaSqaaiaaiodaaeqaaO
GaaGjbVlabg2da9iaaysW7cqGHsislcaaMc8+aaSaaaeaacqGHciIT
ceWGTbGbaebadaWgaaWcbaGaaG4maaqabaaakeaacqGHciITcaWGyb
aaaiabg2da9iabgkHiTmaalaaabaGaaG4maiabew7aLbqaaiaaiIda
aaGaci4CaiaacMgacaGGUbGaaGOmaiabeI7aXnaaCaaaleqabaGaai
OkaaaakiaaygW7ciGGZbGaaiyAaiaac6gacaWGybWaaWbaaSqabeaa
caGGQaaaaOGaaGzaVlGacohacaGGPbGaaiOBaiabeg8aYjaacIcaca
aIXaGaey4kaSIaci4yaiaac+gacaGGZbGaeqyWdiNaaiykaiaacYca
aaa@60B4@
 (4.36)

ε f θθ = F θ θ = = 3ε 4 μγ cos2 θ * ( 13/3 +3 cos 2 ρ)2sin2 θ * sin X * sinρ(1+cosρ) 4+ μ 2 (1+γ) 2 ,
MathType@MTEF@5@5@+=
feaahGart1ev3aaatCvAUfeBSjuyZL2yd9gzLbvyNv2Caerbov2D09
MBdbqedmvETj2BSbqeeuuDJXwAKbsr4rNCHbGeaGqik8fkY=xipgYl
h9vqqj=hEeeu0xXdi9arFj0xirFj0dXdbba91qpK0=yr0RYxfr=Jbb
f9q8aq0=yq=He9q8qqQ8frFve9Fve9Ff0dmeaabaqaciaacaGaaeqa
baqabeGadaaakqaaceqaaiabew7aLjaaykW7caWGMbWaaSbaaSqaai
abeI7aXjabeI7aXbqabaGccqGH9aqpdaWcaaqaaiabgkGi2kaadAea
daWgaaWcbaGaeqiUdehabeaaaOqaaiabgkGi2kabeI7aXbaacqGH9a
qpaeaacqGH9aqpcaaMe8UaeyOeI0IaaGPaVpaalaaabaGaaG4maiab
ew7aLbqaaiaaisdaaaGaeqiVd0Maeq4SdC2aaSaaaeaaciGGJbGaai
4BaiaacohacaaIYaGaeqiUde3aaWbaaSqabeaacaGGQaaaaOGaaiik
amaalyaabaGaaGymaiaaiodaaeaacaaIZaaaaiabgUcaRiaaiodaci
GGJbGaai4BaiaacohadaahaaWcbeqaaiaaikdaaaGccaaMb8UaeqyW
diNaaiykaiaaysW7cqGHsislcaaMe8UaaGOmaiGacohacaGGPbGaai
OBaiaaikdacqaH4oqCdaahaaWcbeqaaiaacQcaaaGccaaMb8Uaci4C
aiaacMgacaGGUbGaamiwamaaCaaaleqabaGaaiOkaaaakiaaygW7ci
GGZbGaaiyAaiaac6gacqaHbpGCcaGGOaGaaGymaiaaysW7cqGHRaWk
caaMe8Uaci4yaiaac+gacaGGZbGaeqyWdiNaaiykaaqaaiaaisdacq
GHRaWkcqaH8oqBdaahaaWcbeqaaiaaikdaaaGccaGGOaGaaGymaiab
gUcaRiabeo7aNjaacMcadaahaaWcbeqaaiaaikdaaaaaaOGaaiilaa
aaaa@8CB1@
 (4.37)

ε f xx = F X X = 3εμγctg θ * cos 2 θ * 4(4+ μ 2 (1+γ) 2 ) sin X * sinρ(1+cosρ). MathType@MTEF@5@5@+=
feaahGart1ev3aaatCvAUfeBSjuyZL2yd9gzLbvyNv2Caerbov2D09
MBdbqedmvETj2BSbqeeuuDJXwAKbsr4rNCHbGeaGqik8fkY=xipgYl
h9vqqj=hEeeu0xXdi9arFj0xirFj0dXdbba91qpK0=yr0RYxfr=Jbb
f9q8aq0=yq=He9q8qqQ8frFve9Fve9Ff0dmeaabaqaciaacaGaaeqa
baqabeGadaaakeaacqaH1oqzcaWGMbWaaSbaaSqaaiaadIhacaWG4b
aabeaakiaaykW7cqGH9aqpdaWcaaqaaiabgkGi2kaadAeadaWgaaWc
baGaamiwaaqabaaakeaacqGHciITcaWGybaaaiabg2da9maalaaaba
GaaG4maiabew7aLjabeY7aTjabeo7aNjGacogacaGG0bGaai4zaiab
eI7aXnaaCaaaleqabaGaaiOkaaaakiaaygW7ciGGJbGaai4Baiaaco
hadaahaaWcbeqaaiaaikdaaaGccaaMb8UaeqiUde3aaWbaaSqabeaa
caGGQaaaaOGaaGPaVdqaaiaaisdacaGGOaGaaGinaiaaysW7cqGHRa
WkcaaMe8UaeqiVd02aaWbaaSqabeaacaaIYaaaaOGaaiikaiaaigda
caaMe8Uaey4kaSIaaGjbVlabeo7aNjaacMcadaahaaWcbeqaaiaaik
daaaGccaGGPaaaaiGacohacaGGPbGaaiOBaiaadIfadaahaaWcbeqa
aiaacQcaaaGccaaMb8Uaci4CaiaacMgacaGGUbGaeqyWdiNaaiikai
aaigdacaaMe8Uaey4kaSIaaGjbVlGacogacaGGVbGaai4Caiabeg8a
YjaacMcacaGGUaaaaa@7D67@
 (4.38)

Характеристический полином матрицы (4.35), в коэффициентах которого учтены только главные члены разложения по ε, записывается в виде:

f(λ)= μ(1+γ)+λ 2 (λε f θ )× ×( λ 3 + λ 2 μ(1+γ)+λε( f 3 μ(1+γ) f xx )+με f 3 ).
MathType@MTEF@5@5@+=
feaahGart1ev3aaatCvAUfeBSjuyZL2yd9gzLbvyNv2Caerbov2D09
MBdbqedmvETj2BSbqefm0B1jxALjhiov2Daebbfv3ySLgzGueE0jxy
aibaieIcFHI8=fYJH8YrFfeuY=Hhbbf9v8aspq0xc9fs0xc9q8qqaq
Fn0dj9pwe9Q8vr0=yqqrpepae9pg0FirpepeKkFr0xfr=xfr=xb9ad
baqaaeGacaGaaiaabeqaamaabiabaaGceaGabeaacaWGMbGaaiikai
abeU7aSjaacMcacqGH9aqpdaqadaqaaiabeY7aTjaacIcacaaIXaGa
aGjbVlabgUcaRiaaysW7cqaHZoWzcaGGPaGaaGjbVlabgUcaRiaays
W7cqaH7oaBaiaawIcacaGLPaaadaahaaWcbeqaaiaaikdaaaGccaGG
OaGaeq4UdWMaaGjbVlabgkHiTiaaysW7cqaH1oqzcaaMi8UaamOzam
aaBaaaleaacqaH4oqCaeqaaOGaaiykaiabgEna0cqaaiabgEna0kaa
ysW7caGGOaGaeq4UdW2aaWbaaSqabeaacaaIZaaaaOGaaGjcVlabgU
caRiaaysW7cqaH7oaBdaahaaWcbeqaaiaaikdaaaGccqaH8oqBcaGG
OaGaaGymaiaaysW7cqGHRaWkcaaMe8Uaeq4SdCMaaiykaiabgUcaRi
abeU7aSjabew7aLjaaykW7caGGOaGaamOzamaaBaaaleaacaaIZaaa
beaakiaayIW7cqGHsislcaaMe8UaeqiVd0MaaiikaiaaigdacaaMe8
Uaey4kaSIaaGjbVlabeo7aNjaacMcacaWGMbWaaSbaaSqaaiaadIha
caWG4baabeaakiaacMcacaaMe8Uaey4kaSIaaGjbVlabeY7aTjabew
7aLjaaykW7caWGMbWaaSbaaSqaaiaaiodaaeqaaOGaaiykaiaac6ca
aaaa@97DD@
 (4.39)

Отсюда на основании формул (4.36), (4.38) и критерия Рауса MathType@MTEF@5@5@+=
feaahGart1ev3aqatCvAUfeBSjuyZL2yd9gzLbvyNv2Caerbov2D09
MBaeXatLxBI9gBaeXafv3ySLgzGmvETj2BSbqeeuuDJXwAKbsr4rNC
HbGeaGqipC0df9qqqrpepC0xbbL8F4rqqrFfpeea0de9Gq=Je9qspe
ea0xd9qs=xfrVkFHe9peei0dXdar=Jb9qqFfea0lrP0xe9Fve9Fve9
GapdbeqaaeGacaGaamaabeqaaeqabiabaaGcbaqefqvATv2CG4uz3b
IuV1wyUbacfaqcLbuaqaa6daaaOpWdbiaa=nbiaaa@4017@
Гурвица заключаем, что те из стационарных решений, для которых f3 > 0 и fθ < 0, асимптотически устойчивы, а решения, для которых f3 < 0 либо fθ > 0, неустойчивы.

Из условий f3 > 0, fθ < 0 и формул (4.34), (4.36) MathType@MTEF@5@5@+=
feaahGart1ev3aqatCvAUfeBSjuyZL2yd9gzLbvyNv2Caerbov2D09
MBaeXatLxBI9gBaeXafv3ySLgzGmvETj2BSbqeeuuDJXwAKbsr4rNC
HbGeaGqipC0df9qqqrpepC0xbbL8F4rqqrFfpeea0de9Gq=Je9qspe
ea0xd9qs=xfrVkFHe9peei0dXdar=Jb9qqFfea0lrP0xe9Fve9Fve9
GapdbeqaaeGacaGaamaabeqaaeqabiabaaGcbaqefqvATv2CG4uz3b
IuV1wyUbacfaqcLbuaqaa6daaaOpWdbiaa=nbiaaa@4017@
(4.38) следует, что асимптотически устойчивым положениям равновесия осредненной системы отвечают те из решений (4.27) MathType@MTEF@5@5@+=
feaahGart1ev3aqatCvAUfeBSjuyZL2yd9gzLbvyNv2Caerbov2D09
MBaeXatLxBI9gBaeXafv3ySLgzGmvETj2BSbqeeuuDJXwAKbsr4rNC
HbGeaGqipC0df9qqqrpepC0xbbL8F4rqqrFfpeea0de9Gq=Je9qspe
ea0xd9qs=xfrVkFHe9peei0dXdar=Jb9qqFfea0lrP0xe9Fve9Fve9
GapdbeqaaeGacaGaamaabeqaaeqabiabaaGcbaqefqvATv2CG4uz3b
IuV1wyUbacfaqcLbuaqaa6daaaOpWdbiaa=nbiaaa@4017@
(4.32), для которых

sin X * =1, MathType@MTEF@5@5@+=
feaahGart1ev3aaatCvAUfeBSjuyZL2yd9gzLbvyNv2Caerbov2D09
MBdbqedmvETj2BSbqefm0B1jxALjhiov2Daebbfv3ySLgzGueE0jxy
aibaieIcFHI8=fYJH8YrFfeuY=Hhbbf9v8aspq0xc9fs0xc9q8qqaq
Fn0dj9pwe9Q8vr0=yqqrpepae9pg0FirpepeKkFr0xfr=xfr=xb9ad
baqaaeGacaGaaiaabeqaamaabiabaaGcbaGaci4CaiaacMgacaGGUb
GaamiwamaaCaaaleqabaGaaiOkaaaakiaaygW7cqGH9aqpcqGHsisl
caaIXaGaaiilaaaa@3EC7@
tg2 θ * = 2sinρ(1+cosρ) 13/3 +3 cos 2 ρ ;sin2 θ * >0. MathType@MTEF@5@5@+=
feaahGart1ev3aaatCvAUfeBSjuyZL2yd9gzLbvyNv2Caerbov2D09
MBdbqedmvETj2BSbqefm0B1jxALjhiov2Daebbfv3ySLgzGueE0jxy
aibaieIcFHI8=fYJH8YrFfeuY=Hhbbf9v8aspq0xc9fs0xc9q8qqaq
Fn0dj9pwe9Q8vr0=yqqrpepae9pg0FirpepeKkFr0xfr=xfr=xb9ad
baqaaeGacaGaaiaabeqaamaabiabaaGcbaGaciiDaiaacEgacaaIYa
GaeqiUde3aaWbaaSqabeaacaGGQaaaaOGaaGzaVlabg2da9maalaaa
baGaaGOmaiGacohacaGGPbGaaiOBaiabeg8aYjaacIcacaaIXaGaey
4kaSIaci4yaiaac+gacaGGZbGaeqyWdiNaaiykaaqaamaalyaabaGa
aGymaiaaiodaaeaacaaIZaaaaiabgUcaRiaaiodaciGGJbGaai4Bai
aacohadaahaaWcbeqaaiaaikdaaaGccqaHbpGCaaGaaGPaVlaacUda
caaMc8UaaGPaVlaaykW7caaMc8Uaci4CaiaacMgacaGGUbGaaGOmai
abeI7aXnaaCaaaleqabaGaaiOkaaaakiaaygW7cqGH+aGpcaaMe8Ua
aGimaiaac6caaaa@679E@
 (4.40)

По теореме Н.Н. Боголюбова [10, 11] асимптотически устойчивым положениям равновесия осредненной системы соответствуют асимптотически устойчивые периодические решения исходной (точной) системы.

Для устойчивых решений полином (4.39) имеет три вещественных корня:

  λ 1 = λ 2 = μ 2 (1+γ), MathType@MTEF@5@5@+=
feaahGart1ev3aaatCvAUfeBSjuyZL2yd9gzLbvyNv2Caerbov2D09
MBdbqedmvETj2BSbqeeuuDJXwAKbsr4rNCHbGeaGqik8fkY=xipgYl
h9vqqj=hEeeu0xXdi9arFj0xirFj0dXdbba91qpK0=yr0RYxfr=Jbb
f9q8aq0=yq=He9q8qqQ8frFve9Fve9Ff0dmeaabaqaciaacaGaaeqa
baqabeGadaaakeaacqaH7oaBdaWgaaWcbaGaaGymaaqabaGccaaMc8
Uaeyypa0Jaeq4UdW2aaSbaaSqaaiaaikdaaeqaaOGaaGPaVlabg2da
9iabgkHiTiabeY7aTnaaCaaaleqabaGaaGOmaaaakiaacIcacaaIXa
Gaey4kaSIaeq4SdCMaaiykaiaacYcaaaa@445A@
λ 3 =ε f θθ = 3ε 4 μγ ( 13/3 +3 cos 2 ρ) 1+ tg 2 2 θ * 4+ μ 2 (1+γ) 2 , MathType@MTEF@5@5@+=
feaahGart1ev3aaatCvAUfeBSjuyZL2yd9gzLbvyNv2Caerbov2D09
MBdbqedmvETj2BSbqeeuuDJXwAKbsr4rNCHbGeaGqik8fkY=xipgYl
h9vqqj=hEeeu0xXdi9arFj0xirFj0dXdbba91qpK0=yr0RYxfr=Jbb
f9q8aq0=yq=He9q8qqQ8frFve9Fve9Ff0dmeaabaqaciaacaGaaeqa
baqabeGadaaakeaacqaH7oaBdaWgaaWcbaGaaG4maaqabaGccaaMc8
Uaeyypa0JaeqyTduMaaGPaVlaadAgadaWgaaWcbaGaeqiUdeNaeqiU
dehabeaakiaaykW7cqGH9aqpcaaMe8UaeyOeI0IaaGPaVpaalaaaba
GaaG4maiabew7aLbqaaiaaisdaaaGaeqiVd0Maeq4SdC2aaSaaaeaa
caGGOaWaaSGbaeaacaaIXaGaaG4maaqaaiaaiodaaaGaaGjbVlabgU
caRiaaysW7caaIZaGaci4yaiaac+gacaGGZbWaaWbaaSqabeaacaaI
YaaaaOGaeqyWdiNaaiykamaakaaabaGaaGymaiaaysW7cqGHRaWkca
aMe8UaciiDaiaacEgadaahaaWcbeqaaiaaikdaaaGccaaMb8UaaGOm
aiabeI7aXnaaCaaaleqabaGaaiOkaaaaaeqaaaGcbaGaaGinaiabgU
caRiabeY7aTnaaCaaaleqabaGaaGOmaaaakiaacIcacaaIXaGaey4k
aSIaeq4SdCMaaiykamaaCaaaleqabaGaaGOmaaaaaaGccaGGSaaaaa@7022@
 (4.41)

а вещественные части остальных корней при με MathType@MTEF@5@5@+=
feaahGart1ev3aqatCvAUfeBSjuyZL2yd9gzLbvyNv2Caerbov2D09
MBaeXatLxBI9gBaeXafv3ySLgzGmvETj2BSbqeeuuDJXwAKbsr4rNC
HbGeaGqipC0df9qqqrpepC0xbbL8F4rqqrFfpeea0de9Gq=Je9qspe
ea0xd9qs=xfrVkFHe9peei0dXdar=Jb9qqFfea0lrP0xe9Fve9Fve9
GapdbeqaaeGacaGaamaabeqaaeqabiabaaGcbaGaeqiVd0MaeS4AI8
JaeqyTdugaaa@3BEC@
 выражаются формулами:

Re( λ 4 )=μ(1+γ)+O(ε),Re( λ 5,6 )=3εγ sinρ(1+cosρ)sin2 θ * 16μ (1+γ) 2 +O( ε 2 ). MathType@MTEF@5@5@+=
feaahGart1ev3aaatCvAUfeBSjuyZL2yd9gzLbvyNv2Caerbov2D09
MBdbqedmvETj2BSbqefm0B1jxALjhiov2Daebbfv3ySLgzGueE0jxy
aibaieIcFHI8=fYJH8YrFfeuY=Hhbbf9v8aspq0xc9fs0xc9q8qqaq
Fn0dj9pwe9Q8vr0=yqqrpepae9pg0FirpepeKkFr0xfr=xfr=xb9ad
baqaaeGacaGaaiaabeqaamaabiabaaGcbaGaciOuaiaacwgacaGGOa
Gaeq4UdW2aaSbaaSqaaiaaisdaaeqaaOGaaiykaiaaysW7cqGH9aqp
caaMe8UaeyOeI0IaaGPaVlabeY7aTjaacIcacaaIXaGaaGjbVlabgU
caRiaaysW7cqaHZoWzcaGGPaGaaGjbVlabgUcaRiaaysW7caWGpbGa
aiikaiabew7aLjaacMcacaGGSaGaaGPaVlaaykW7caaMc8UaciOuai
aacwgacaGGOaGaeq4UdW2aaSbaaSqaaiaaiwdacaGGSaGaaGOnaaqa
baGccaGGPaGaaGjbVlabg2da9iaaysW7cqGHsislcaaMc8UaaG4mai
abew7aLjaaykW7cqaHZoWzdaWcaaqaaiaaykW7ciGGZbGaaiyAaiaa
c6gacqaHbpGCcaGGOaGaaGymaiaaysW7cqGHRaWkcaaMe8Uaci4yai
aac+gacaGGZbGaeqyWdiNaaiykaiGacohacaGGPbGaaiOBaiaaikda
cqaH4oqCdaahaaWcbeqaaiaacQcaaaaakeaacaaIXaGaaGOnaiabeY
7aTjaaykW7caGGOaGaaGymaiaaysW7cqGHRaWkcaaMe8Uaeq4SdCMa
aiykamaaCaaaleqabaGaaGOmaaaaaaGccaaMe8Uaey4kaSIaaGjbVl
aad+eacaGGOaGaeqyTdu2aaWbaaSqabeaacaaIYaaaaOGaaiykaiaa
c6caaaa@996E@
 (4.42)

Из этих формул следует, что при με MathType@MTEF@5@5@+=
feaahGart1ev3aqatCvAUfeBSjuyZL2yd9gzLbvyNv2Caerbov2D09
MBaeXatLxBI9gBaeXafv3ySLgzGmvETj2BSbqeeuuDJXwAKbsr4rNC
HbGeaGqipC0df9qqqrpepC0xbbL8F4rqqrFfpeea0de9Gq=Je9qspe
ea0xd9qs=xfrVkFHe9peei0dXdar=Jb9qqFfea0lrP0xe9Fve9Fve9
GapdbeqaaeGacaGaamaabeqaaeqabiabaaGcbaGaeqiVd0MaeS4AI8
JaeqyTdugaaa@3BEC@
 и γε MathType@MTEF@5@5@+=
feaahGart1ev3aqatCvAUfeBSjuyZL2yd9gzLbvyNv2Caerbov2D09
MBaeXatLxBI9gBaeXafv3ySLgzGmvETj2BSbqeeuuDJXwAKbsr4rNC
HbGeaGqipC0df9qqqrpepC0xbbL8F4rqqrFfpeea0de9Gq=Je9qspe
ea0xd9qs=xfrVkFHe9peei0dXdar=Jb9qqFfea0lrP0xe9Fve9Fve9
GapdbeqaaeGacaGaamaabeqaaeqabiabaaGcbaGaeq4SdCMaeS4AI8
JaeqyTdugaaa@3BDD@
 вещественные части всех корней характеристического полинома ограничены сверху неравенствами:

Re( λ k )<aε,aε;k=1,2,,6. MathType@MTEF@5@5@+=
feaahGart1ev3aaatCvAUfeBSjuyZL2yd9gzLbvyNv2Caerbov2D09
MBdbqedmvETj2BSbqeeuuDJXwAKbsr4rNCHbGeaGqik8fkY=xipgYl
h9vqqj=hEeeu0xXdi9arFj0xirFj0dXdbba91qpK0=yr0RYxfr=Jbb
f9q8aq0=yq=He9q8qqQ8frFve9Fve9Ff0dmeaabaqaciaacaGaaeqa
baqabeGadaaakeaaciGGsbGaaiyzaiaacIcacqaH7oaBdaWgaaWcba
Gaam4AaaqabaGccaGGPaGaaGjbVlabgYda8iaaysW7cqGHsislcaaM
c8UaamyyaiaaykW7cqaH1oqzcaGGSaGaaGPaVlaaykW7caaMc8UaaG
PaVlaadggacaaMe8UaeS4AI8JaaGjbVlabew7aLjaacUdacaaMc8Ua
aGPaVlaaykW7caaMc8UaaGPaVlaadUgacqGH9aqpcaaIXaGaaiilai
aaysW7caaIYaGaaiilaiaaysW7cqWIMaYscaGGSaGaaGjbVlaaiAda
caGGUaaaaa@64BA@
 (4.43)

Обратимся теперь к первому из уравнений (4.13). Из него и формул (4.10), (4.27), (4.40) следует, что в окрестности асимптотически устойчивых стационарных решений системы (4.14), (4.15), (4.25), (4.26) поведение переменной r описывается уравнением ρ'=O ε MathType@MTEF@5@5@+=
feaahGart1ev3aqatCvAUfeBSjuyZL2yd9gzLbvyNv2Caerbov2D09
MBaeXatLxBI9gBaeXafv3ySLgzGmvETj2BSbqeeuuDJXwAKbsr4rNC
HbGeaGqipC0df9qqqrpepC0xbbL8F4rqqrFfpeea0de9Gq=Je9qspe
ea0xd9qs=xfrVkFHe9peei0dXdar=Jb9qqFfea0lrP0xe9Fve9Fve9
GapdbeqaaeGacaGaamaabeqaaeqabiabaaGcbaGaeqyWdiNaai4jai
abg2da9iaad+eadaqadaqaaiabew7aLbGaayjkaiaawMcaaaaa@3EA7@
. Отсюда при учете соотношений (4.43) получаем, что переменная r является “медленной” по сравнению с переменными W1, W2, W3, U, θ, X. Следовательно, применима теорема А.Н. Тихонова [12] об условиях редукции в системе дифференциальных уравнений с малым параметром, согласно которой систему дифференциальных уравнений (4.14), (4.15), (4.25), (4.26) можно заменить системой алгебраических уравнений (4.27) MathType@MTEF@5@5@+=
feaahGart1ev3aqatCvAUfeBSjuyZL2yd9gzLbvyNv2Caerbov2D09
MBaeXatLxBI9gBaeXafv3ySLgzGmvETj2BSbqeeuuDJXwAKbsr4rNC
HbGeaGqipC0df9qqqrpepC0xbbL8F4rqqrFfpeea0de9Gq=Je9qspe
ea0xd9qs=xfrVkFHe9peei0dXdar=Jb9qqFfea0lrP0xe9Fve9Fve9
GapdbeqaaeGacaGaamaabeqaaeqabiabaaGcbaqefqvATv2CG4uz3b
IuV1wyUbacfaqcLbuaqaa6daaaOpWdbiaa=nbiaaa@4017@
(4.32), (4.40) и решать их совместно с дифференциальным уравнением (4.13).

Стационарные решения, описываемые формулами (4.27) MathType@MTEF@5@5@+=
feaahGart1ev3aqatCvAUfeBSjuyZL2yd9gzLbvyNv2Caerbov2D09
MBaeXatLxBI9gBaeXafv3ySLgzGmvETj2BSbqeeuuDJXwAKbsr4rNC
HbGeaGqipC0df9qqqrpepC0xbbL8F4rqqrFfpeea0de9Gq=Je9qspe
ea0xd9qs=xfrVkFHe9peei0dXdar=Jb9qqFfea0lrP0xe9Fve9Fve9
GapdbeqaaeGacaGaamaabeqaaeqabiabaaGcbaqefqvATv2CG4uz3b
IuV1wyUbacfaqcLbuaqaa6daaaOpWdbiaa=nbiaaa@4017@
(4.32), (4.40), являются функциями переменной ρ MathType@MTEF@5@5@+=
feaahGart1ev3aqatCvAUfeBSjuyZL2yd9gzLbvyNv2Caerbov2D09
MBaeXatLxBI9gBaeXafv3ySLgzGmvETj2BSbqeeuuDJXwAKbsr4rNC
HbGeaGqipC0df9qqqrpepC0xbbL8F4rqqrFfpeea0de9Gq=Je9qspe
ea0xd9qs=xfrVkFHe9peei0dXdar=Jb9qqFfea0lrP0xe9Fve9Fve9
GapdbeqaaeGacaGaamaabeqaaeqabiabaaGcbaGaeqyWdihaaa@38F2@
. После подстановки этих решений в первое из уравнений (4.13) получается дифференциальное уравнение
ρ'=f r MathType@MTEF@5@5@+=
feaahGart1ev3aqatCvAUfeBSjuyZL2yd9gzLbvyNv2Caerbov2D09
MBaeXatLxBI9gBaeXafv3ySLgzGmvETj2BSbqeeuuDJXwAKbsr4rNC
HbGeaGqipC0df9qqqrpepC0xbbL8F4rqqrFfpeea0de9Gq=Je9qspe
ea0xd9qs=xfrVkFHe9peei0dXdar=Jb9qqFfea0lrP0xe9Fve9Fve9
GapdbeqaaeGacaGaamaabeqaaeqabiabaaGcbaGaeqyWdiNaai4jai
abg2da9iaadAgadaqadaqaaiaadkhaaiaawIcacaGLPaaaaaa@3E0E@
, описывающее эволюцию переменной r, где f (ρ) будет ограниченной функцией ε 2 MathType@MTEF@5@5@+=
feaahGart1ev3aqatCvAUfeBSjuyZL2yd9gzLbvyNv2Caerbov2D09
MBaeXatLxBI9gBaeXafv3ySLgzGmvETj2BSbqeeuuDJXwAKbsr4rNC
HbGeaGqipC0df9qqqrpepC0xbbL8F4rqqrFfpeea0de9Gq=Je9qspe
ea0xd9qs=xfrVkFHe9peei0dXdar=Jb9qqFfea0lrP0xe9Fve9Fve9
GapdbeqaaeGacaGaamaabeqaaeqabiabaaGcbaGaeqyTdu2aaWbaaS
qabeaacaaIYaaaaaaa@39C2@
.

По мере медленного изменения переменной r меняются, вообще говоря, и значения переменных W1*(ρ), W2*(ρ), W3*(ρ), U *(ρ), q*(ρ), X *(ρ). Поэтому рассматриваемые пространственные резонансные вращения спутника представляют собой эволюционирующий (неустановившийся) процесс. В этом процессе угол θ между осью вращения и осью симметрии спутника согласно второй из формул (4.40) не зависит от значений параметров μ, γ, ε. Он зависит только от величины угла нутации ρ и может достигать значений θ max MathType@MTEF@5@5@+=
feaahGart1ev3aqatCvAUfeBSjuyZL2yd9gzLbvyNv2Caerbov2D09
MBaeXatLxBI9gBaeXafv3ySLgzGmvETj2BSbqeeuuDJXwAKbsr4rNC
HbGeaGqipC0df9qqqrpepC0xbbL8F4rqqrFfpeea0de9Gq=Je9qspe
ea0xd9qs=xfrVkFHe9peei0dXdar=Jb9qqFfea0lrP0xe9Fve9Fve9
GapdbeqaaeGacaGaamaabeqaaeqabiabaaGcbaGaeqiUde3aaSbaaS
qaaiGac2gacaGGHbGaaiiEaaqabaGccqGHijYUaaa@3DA3@
 0.25. При этом угловая скорость спутника на резонансном вращении согласно формуле (4.31) будет с точностью до O(ε) совпадать со значением U * = 2, а значение переменной X (4.5), отвечающей за синхронизацию между вращательным движением спутника и движением его центра масс, согласно первой из формул (4.40) с точностью до O(
ε) будет совпадать со значением X * = MathType@MTEF@5@5@+=
feaahGart1ev3aqatCvAUfeBSjuyZL2yd9gzLbvyNv2Caerbov2D09
MBaeXatLxBI9gBaeXafv3ySLgzGmvETj2BSbqeeuuDJXwAKbsr4rNC
HbGeaGqipC0df9qqqrpepC0xbbL8F4rqqrFfpeea0de9Gq=Je9qspe
ea0xd9qs=xfrVkFHe9peei0dXdar=Jb9qqFfea0lrP0xe9Fve9Fve9
GapdbeqaaeGacaGaamaabeqaaeqabiabaaGcbaqefqvATv2CG4uz3b
IuV1wyUbacfaqcLbuaqaa6daaaOpWdbiaa=nbiaaa@4017@
π/2.

Согласно формулам (4.27) MathType@MTEF@5@5@+=
feaahGart1ev3aqatCvAUfeBSjuyZL2yd9gzLbvyNv2Caerbov2D09
MBaeXatLxBI9gBaeXafv3ySLgzGmvETj2BSbqeeuuDJXwAKbsr4rNC
HbGeaGqipC0df9qqqrpepC0xbbL8F4rqqrFfpeea0de9Gq=Je9qspe
ea0xd9qs=xfrVkFHe9peei0dXdar=Jb9qqFfea0lrP0xe9Fve9Fve9
GapdbeqaaeGacaGaamaabeqaaeqabiabaaGcbaqefqvATv2CG4uz3b
IuV1wyUbacfaqcLbuaqaa6daaaOpWdbiaa=nbiaaa@4017@
(4.29) в режиме резонансного вращения относительная угловая скорость демпфера будет ограниченной функцией малого параметра e, как и в случае нерезонансного вращения.

Прецессия оси вращения спутника описывается вторым из уравнений (4.13). Для устойчивого резонансного вращения спутника в силу формул (4.11), (4.28) и (4.40) это уравнение принимает следующий вид:

σ = 3ε 8 cosρ(1+3cos2 θ * ) (1+γ)U + sin2 θ * (1+cosρ)(12cosρ) (1+γ)Usinρ +O( ε 2 ). MathType@MTEF@5@5@+=
feaahGart1ev3aaatCvAUfeBSjuyZL2yd9gzLbvyNv2Caerbov2D09
MBdbqedmvETj2BSbqefm0B1jxALjhiov2Daebbfv3ySLgzGueE0jxy
aibaieIcFHI8=fYJH8YrFfeuY=Hhbbf9v8aspq0xc9fs0xc9q8qqaq
Fn0dj9pwe9Q8vr0=yqqrpepae9pg0FirpepeKkFr0xfr=xfr=xb9ad
baqaaeGacaGaaiaabeqaamaabiabaaGcbaGafq4WdmNbauaacaaMe8
Uaeyypa0JaaGjbVlabgkHiTiaaykW7daWcaaqaaiaaiodacqaH1oqz
aeaacaaI4aaaamaabmaabaWaaSaaaeaaciGGJbGaai4Baiaacohacq
aHbpGCcaGGOaGaaGymaiaaysW7cqGHRaWkcaaMe8UaaG4maiGacoga
caGGVbGaai4CaiaaikdacqaH4oqCdaahaaWcbeqaaiaacQcaaaGcca
GGPaaabaGaaiikaiaaigdacqGHRaWkcqaHZoWzcaGGPaGaamyvaaaa
cqGHRaWkdaWcaaqaaiGacohacaGGPbGaaiOBaiaaikdacqaH4oqCda
ahaaWcbeqaaiaacQcaaaGccaGGOaGaaGymaiaaysW7cqGHRaWkcaaM
e8Uaci4yaiaac+gacaGGZbGaeqyWdiNaaiykaiaacIcacaaIXaGaaG
jbVlabgkHiTiaaysW7caaIYaGaci4yaiaac+gacaGGZbGaeqyWdiNa
aiykaaqaaiaacIcacaaIXaGaey4kaSIaeq4SdCMaaiykaiaadwfaci
GGZbGaaiyAaiaac6gacqaHbpGCaaaacaGLOaGaayzkaaGaaGjbVlab
gUcaRiaaysW7caWGpbGaaiikaiabew7aLnaaCaaaleqabaGaaGOmaa
aakiaacMcacaGGUaaaaa@8A2E@
 (4.44)

Для нерезонансного движения спутника прецессия оси вращения описывается в переменных s, r аналогичным (2.25) уравнением:

σ = 3εcosρ 2(1+γ)U +O( ε 2 ). MathType@MTEF@5@5@+=
feaahGart1ev3aaatCvAUfeBSjuyZL2yd9gzLbvyNv2Caerbov2D09
MBdbqedmvETj2BSbqeeuuDJXwAKbsr4rNCHbGeaGqik8fkY=xipgYl
h9vqqj=hEeeu0xXdi9arFj0xirFj0dXdbba91qpK0=yr0RYxfr=Jbb
f9q8aq0=yq=He9q8qqQ8frFve9Fve9Ff0dmeaabaqaciaacaGaaeqa
baqabeGadaaakeaacuaHdpWCgaqbaiaaysW7cqGH9aqpcaaMe8Uaey
OeI0IaaGPaVpaalaaabaGaaG4maiabew7aLjGacogacaGGVbGaai4C
aiabeg8aYbqaaiaaikdacaGGOaGaaGymaiabgUcaRiabeo7aNjaacM
cacaWGvbaaaiabgUcaRiaad+eacaGGOaGaeqyTdu2aaWbaaSqabeaa
caaIYaaaaOGaaiykaiaac6caaaa@4D06@
 (4.45)

Из формул (4.44) и (4.45) следует, что для одних и тех же значений угла нутации r скорости прецессии в резонансном и нерезонансном вращении спутника могут отличаться на величину порядка e, сопоставимую с (4.45).

Оценим границы интервалов значений угла нутации ρ, в пределах которых существуют резонансные вращения 2 : 1 для динамически симметричного спутника. Положим, что в правой части уравнения (4.30) O(ε) = aε, где a0 MathType@MTEF@5@5@+=
feaahGart1ev3aqatCvAUfeBSjuyZL2yd9gzLbvyNv2Caerbov2D09
MBaeXatLxBI9gBaeXafv3ySLgzGmvETj2BSbqeeuuDJXwAKbsr4rNC
HbGeaGqipC0df9qqqrpepC0xbbL8F4rqqrFfpeea0de9Gq=Je9qspe
ea0xd9qs=xfrVkFHe9peei0dXdar=Jb9qqFfea0lrP0xe9Fve9Fve9
GapdbeqaaeGacaGaamaabeqaaeqabiabaaGcbaGaamyyaiabgcMi5k
aaicdaaaa@3A99@
  MathType@MTEF@5@5@+=
feaahGart1ev3aqatCvAUfeBSjuyZL2yd9gzLbvyNv2Caerbov2D09
MBaeXatLxBI9gBaeXafv3ySLgzGmvETj2BSbqeeuuDJXwAKbsr4rNC
HbGeaGqipC0df9qqqrpepC0xbbL8F4rqqrFfpeea0de9Gq=Je9qspe
ea0xd9qs=xfrVkFHe9peei0dXdar=Jb9qqFfea0lrP0xe9Fve9Fve9
GapdbeqaaeGacaGaamaabeqaaeqabiabaaGcbaqefqvATv2CG4uz3b
IuV1wyUbacfaqcLbuaqaa6daaaOpWdbiaa=nbiaaa@4017@
 некоторая ограниченная величина. Тогда получим уравнение:

sin2 θ * cos X * sinρ(1+cosρ)=aε. MathType@MTEF@5@5@+=
feaahGart1ev3aaatCvAUfeBSjuyZL2yd9gzLbvyNv2Caerbov2D09
MBdbqedmvETj2BSbqeeuuDJXwAKbsr4rNCHbGeaGqik8fkY=xipgYl
h9vqqj=hEeeu0xXdi9arFj0xirFj0dXdbba91qpK0=yr0RYxfr=Jbb
f9q8aq0=yq=He9q8qqQ8frFve9Fve9Ff0dmeaabaqaciaacaGaaeqa
baqabeGadaaakeaaciGGZbGaaiyAaiaac6gacaaIYaGaeqiUde3aia
iYCaaaleqcaICaiaiYcGaGilOkaaaakiaaygW7ciGGJbGaai4Baiaa
cohacaWGybWaiaiYCaaaleqcaICaiaiYcGaGilOkaaaakiaaygW7ci
GGZbGaaiyAaiaac6gacqaHbpGCcaGGOaGaaGymaiaaysW7cqGHRaWk
caaMe8Uaci4yaiaac+gacaGGZbGaeqyWdiNaaiykaiabg2da9iaadg
gacqaH1oqzcaGGUaaaaa@5CE2@

Это уравнение не имеет решений, если sinρ (1 + cosρ) 3  <  a ε MathType@MTEF@5@5@+=
feaahGart1ev3aaatCvAUfeBSjuyZL2yd9gzLbvyNv2Caerbov2D09
MBaeXatLxBI9gBaeXafv3ySLgzGmvETj2BSbqeeuuDJXwAKbsr4rNC
HbGeaGqipC0df9qqqrpepC0xbbL8F4rqqrFfpeea0de9Gq=Je9qspe
ea0xd9qs=xfrVkFHe9peei0dXdar=Jb9qqFfea0lrP0xe9Fve9Fve9
GapdbeqaaeGacaGaamaabeqaaeqabiabaaGcbaaeaaaaaaaaa8qaca
WGZbGaamyAaiaad6gacaaMc8UaeqyWdi3daiaacIcapeGaaGymaiaa
bccacqGHRaWkcaqGGaGaam4yaiaad+gacaWGZbGaaGPaVlabeg8aY9
aacaGGPaWaaWbaaSqabeaacaaIZaaaaOWdbiaabccacqGH8aapcaqG
GaWdamaaemaabaWdbiaadggaa8aacaGLhWUaayjcSdWdbiabew7aLb
aa@5139@
, т.е. для следующих значений r из интервала (0,π): 2ρ<ε a ,  πρ 3 < 2ε a MathType@MTEF@5@5@+=
feaahGart1ev3aaatCvAUfeBSjuyZL2yd9gzLbvyNv2Caerbov2D09
MBaeXatLxBI9gBaeXafv3ySLgzGmvETj2BSbqeeuuDJXwAKbsr4rNC
HbGeaGqipC0df9qqqrpepC0xbbL8F4rqqrFfpeea0de9Gq=Je9qspe
ea0xd9qs=xfrVkFHe9peei0dXdar=Jb9qqFfea0lrP0xe9Fve9Fve9
GapdbeqaaeGacaGaamaabeqaaeqabiabaaGcbaaeaaaaaaaaa8qaca
aIYaGaeqyWdiNaeyipaWJaeqyTdu2damaaemaabaWdbiaadggaa8aa
caGLhWUaayjcSdWdbiaacYcacaqGGaWdamaabmaabaWdbiabec8aWj
aacobicqaHbpGCa8aacaGLOaGaayzkaaWaaWbaaSqabeaapeGaaG4m
aaaakiabgYda8iaabccacaaIYaGaeqyTdu2damaaemaabaWdbiaadg
gaa8aacaGLhWUaayjcSdaaaa@5140@
.

Таким образом, интервал значений угла нутации r, где существуют резонансные вращения 2 : 1, описывается формулой:

ρ 1 <ρ<π ρ 2 , MathType@MTEF@5@5@+=
feaahGart1ev3aaatCvAUfeBSjuyZL2yd9gzLbvyNv2Caerbov2D09
MBdbqedmvETj2BSbqefm0B1jxALjhiov2Daebbfv3ySLgzGueE0jxy
aibaieIcFHI8=fYJH8YrFfeuY=Hhbbf9v8aspq0xc9fs0xc9q8qqaq
Fn0dj9pwe9Q8vr0=yqqrpepae9pg0FirpepeKkFr0xfr=xfr=xb9ad
baqaaeGacaGaaiaabeqaamaabiabaaGcbaGaeqyWdi3aaSbaaSqaai
aaigdaaeqaaOGaaGjbVlabgYda8iaaysW7cqaHbpGCcaaMe8Uaeyip
aWJaaGjbVlabec8aWjabgkHiTiabeg8aYnaaBaaaleaacaaIYaaabe
aakiaacYcaaaa@47FE@
 где ρ 1 ε, ρ 2 ε 1/3 MathType@MTEF@5@5@+=
feaahGart1ev3aqatCvAUfeBSjuyZL2yd9gzLbvyNv2Caerbov2D09
MBaeXatLxBI9gBaeXafv3ySLgzGmvETj2BSbqeeuuDJXwAKbsr4rNC
HbGeaGqipC0df9qqqrpepC0xbbL8F4rqqrFfpeea0de9Gq=Je9qspe
ea0xd9qs=xfrVkFHe9peei0dXdar=Jb9qqFfea0lrP0xe9Fve9Fve9
GapdbeqaaeGacaGaamaabeqaaeqabiabaaGcbaGaeqyWdi3aaSbaaS
qaaiaaigdaaeqaaOGaeSipIOJaeqyTduMaaiilaiaaykW7caaMc8Ua
aGPaVlabeg8aYnaaBaaaleaacaaIYaaabeaakiablYJi6iabew7aLn
aaCaaaleqabaGaaGymaiaac+cacaaIZaaaaaaa@49DE@
. (4.46)

Из формулы (4.46) следует, что нет резонансных вращений для значений r, близких к нулю и близких к π. При этом, поскольку ρ 2 ρ 1 MathType@MTEF@5@5@+=
feaahGart1ev3aqatCvAUfeBSjuyZL2yd9gzLbvyNv2Caerbov2D09
MBaeXatLxBI9gBaeXafv3ySLgzGmvETj2BSbqeeuuDJXwAKbsr4rNC
HbGeaGqipC0df9qqqrpepC0xbbL8F4rqqrFfpeea0de9Gq=Je9qspe
ea0xd9qs=xfrVkFHe9peei0dXdar=Jb9qqFfea0lrP0xe9Fve9Fve9
GapdbeqaaeGacaGaamaabeqaaeqabiabaaGcbaGaeqyWdi3aaSbaaS
qaaiaaikdaaeqaaOGaeS4AI8JaeqyWdi3aaSbaaSqaaiaaigdaaeqa
aaaa@3DE8@
, то примыкающий к π интервал (π MathType@MTEF@5@5@+=
feaahGart1ev3aqatCvAUfeBSjuyZL2yd9gzLbvyNv2Caerbov2D09
MBaeXatLxBI9gBaeXafv3ySLgzGmvETj2BSbqeeuuDJXwAKbsr4rNC
HbGeaGqipC0df9qqqrpepC0xbbL8F4rqqrFfpeea0de9Gq=Je9qspe
ea0xd9qs=xfrVkFHe9peei0dXdar=Jb9qqFfea0lrP0xe9Fve9Fve9
GapdbeqaaeGacaGaamaabeqaaeqabiabaaGcbaqefqvATv2CG4uz3b
IuV1wyUbacfaqcLbuaqaa6daaaOpWdbiaa=nbiaaa@4017@
 ρ2, π), где нет резонансных вращений, имеет гораздо большие размеры, чем примыкающий к нулю интервал (0,ρ1).

Из формулы (4.46) следует также, что с уменьшением параметра e диапазон значений r, где существуют резонансные вращения 2:1, увеличивается.

На рис. 4 приведены построенные по результатам численного интегрирования точных уравнений (2.14), (2.15), (2.10) фазовые траектории вращательного движения спутника с демпфером в плоскости переменных UX, UZ для следующих значений параметров: μ = 1, γ = 1, ε = 0.1. Здесь UX MathType@MTEF@5@5@+=
feaahGart1ev3aqatCvAUfeBSjuyZL2yd9gzLbvyNv2Caerbov2D09
MBaeXatLxBI9gBaeXafv3ySLgzGmvETj2BSbqeeuuDJXwAKbsr4rNC
HbGeaGqipC0df9qqqrpepC0xbbL8F4rqqrFfpeea0de9Gq=Je9qspe
ea0xd9qs=xfrVkFHe9peei0dXdar=Jb9qqFfea0lrP0xe9Fve9Fve9
GapdbeqaaeGacaGaamaabeqaaeqabiabaaGcbaqefqvATv2CG4uz3b
IuV1wyUbacfaqcLbuaqaa6daaaOpWdbiaa=nbiaaa@4017@
 проекция угловой скорости спутника на плоскость орбиты, а UZ MathType@MTEF@5@5@+=
feaahGart1ev3aqatCvAUfeBSjuyZL2yd9gzLbvyNv2Caerbov2D09
MBaeXatLxBI9gBaeXafv3ySLgzGmvETj2BSbqeeuuDJXwAKbsr4rNC
HbGeaGqipC0df9qqqrpepC0xbbL8F4rqqrFfpeea0de9Gq=Je9qspe
ea0xd9qs=xfrVkFHe9peei0dXdar=Jb9qqFfea0lrP0xe9Fve9Fve9
GapdbeqaaeGacaGaamaabeqaaeqabiabaaGcbaqefqvATv2CG4uz3b
IuV1wyUbacfaqcLbuaqaa6daaaOpWdbiaa=nbiaaa@4017@
 проекция угловой скорости спутника на нормаль к плоскости орбиты. На рис. 3, а изображены фазовые траектории для начальных условий из области U > 2, а на рис. 3, b MathType@MTEF@5@5@+=
feaahGart1ev3aqatCvAUfeBSjuyZL2yd9gzLbvyNv2Caerbov2D09
MBaeXatLxBI9gBaeXafv3ySLgzGmvETj2BSbqeeuuDJXwAKbsr4rNC
HbGeaGqipC0df9qqqrpepC0xbbL8F4rqqrFfpeea0de9Gq=Je9qspe
ea0xd9qs=xfrVkFHe9peei0dXdar=Jb9qqFfea0lrP0xe9Fve9Fve9
GapdbeqaaeGacaGaamaabeqaaeqabiabaaGcbaqefqvATv2CG4uz3b
IuV1wyUbacfaqcLbuaqaa6daaaOpWdbiaa=nbiaaa@4017@
 из области U < 2. Стрелками показано направление эволюции.

 

Рис. 3. Фазовые траектории.

 

Резонансным вращениям 2:1 на представленных рисунках соответствует дуга окружности радиуса U » 2. Как видно из этих рисунков, асимптотически устойчивые резонансные вращения 2:1 существуют в широком диапазоне значений угла нутации r из интервала (0,π). Отсутствие резонансных вращений, близких к “обратным”, где значения ρ близки к π, объясняется формулой (4.46).

На рис. 4, a MathType@MTEF@5@5@+=
feaahGart1ev3aqatCvAUfeBSjuyZL2yd9gzLbvyNv2Caerbov2D09
MBaeXatLxBI9gBaeXafv3ySLgzGmvETj2BSbqeeuuDJXwAKbsr4rNC
HbGeaGqipC0df9qqqrpepC0xbbL8F4rqqrFfpeea0de9Gq=Je9qspe
ea0xd9qs=xfrVkFHe9peei0dXdar=Jb9qqFfea0lrP0xe9Fve9Fve9
GapdbeqaaeGacaGaamaabeqaaeqabiabaaGcbaqefqvATv2CG4uz3b
IuV1wyUbacfaqcLbuaqaa6daaaOpWdbiaa=nbiaaa@4017@
d изображено поведение переменных U, ρ, θ и X на резонансных вращениях 2 : 1. Эти графики построены по результатам численного интегрирования точных уравнений движения спутника (3.4) MathType@MTEF@5@5@+=
feaahGart1ev3aqatCvAUfeBSjuyZL2yd9gzLbvyNv2Caerbov2D09
MBaeXatLxBI9gBaeXafv3ySLgzGmvETj2BSbqeeuuDJXwAKbsr4rNC
HbGeaGqipC0df9qqqrpepC0xbbL8F4rqqrFfpeea0de9Gq=Je9qspe
ea0xd9qs=xfrVkFHe9peei0dXdar=Jb9qqFfea0lrP0xe9Fve9Fve9
GapdbeqaaeGacaGaamaabeqaaeqabiabaaGcbaqefqvATv2CG4uz3b
IuV1wyUbacfaqcLbuaqaa6daaaOpWdbiaa=nbiaaa@4017@
(3.11) для следующих значений параметров: μ = 1, γ = 1, ε = 0.1. Здесь N MathType@MTEF@5@5@+=
feaahGart1ev3aqatCvAUfeBSjuyZL2yd9gzLbvyNv2Caerbov2D09
MBaeXatLxBI9gBaeXafv3ySLgzGmvETj2BSbqeeuuDJXwAKbsr4rNC
HbGeaGqipC0df9qqqrpepC0xbbL8F4rqqrFfpeea0de9Gq=Je9qspe
ea0xd9qs=xfrVkFHe9peei0dXdar=Jb9qqFfea0lrP0xe9Fve9Fve9
GapdbeqaaeGacaGaamaabeqaaeqabiabaaGcbaqefqvATv2CG4uz3b
IuV1wyUbacfaqcLbuaqaa6daaaOpWdbiaa=nbiaaa@4017@
 число оборотов центра масс спутника вокруг притягивающего центра.

Представленные графики полностью подтверждают полученные выше аналитические выводы о поведении переменных на резонансных вращениях 2 : 1. Из графика на рис. 4, a следует, что после захвата в резонансное вращение (в момент захвата N MathType@MTEF@5@5@+=
feaahGart1ev3aqatCvAUfeBSjuyZL2yd9gzLbvyNv2Caerbov2D09
MBaeXatLxBI9gBaeXafv3ySLgzGmvETj2BSbqeeuuDJXwAKbsr4rNC
HbGeaGqipC0df9qqqrpepC0xbbL8F4rqqrFfpeea0de9Gq=Je9qspe
ea0xd9qs=xfrVkFHe9peei0dXdar=Jb9qqFfea0lrP0xe9Fve9Fve9
GapdbeqaaeGacaGaamaabeqaaeqabiabaaGcbaGaeyisISlaaa@38E3@
 400) величина угловой скорости спутника практически не меняется и близка к значению U = 2, а графики углов θ и X =
ψ MathType@MTEF@5@5@+=
feaahGart1ev3aqatCvAUfeBSjuyZL2yd9gzLbvyNv2Caerbov2D09
MBaeXatLxBI9gBaeXafv3ySLgzGmvETj2BSbqeeuuDJXwAKbsr4rNC
HbGeaGqipC0df9qqqrpepC0xbbL8F4rqqrFfpeea0de9Gq=Je9qspe
ea0xd9qs=xfrVkFHe9peei0dXdar=Jb9qqFfea0lrP0xe9Fve9Fve9
GapdbeqaaeGacaGaamaabeqaaeqabiabaaGcbaqefqvATv2CG4uz3b
IuV1wyUbacfaqcLbuaqaa6daaaOpWdbiaa=nbiaaa@4017@
 2(τ MathType@MTEF@5@5@+=
feaahGart1ev3aqatCvAUfeBSjuyZL2yd9gzLbvyNv2Caerbov2D09
MBaeXatLxBI9gBaeXafv3ySLgzGmvETj2BSbqeeuuDJXwAKbsr4rNC
HbGeaGqipC0df9qqqrpepC0xbbL8F4rqqrFfpeea0de9Gq=Je9qspe
ea0xd9qs=xfrVkFHe9peei0dXdar=Jb9qqFfea0lrP0xe9Fve9Fve9
GapdbeqaaeGacaGaamaabeqaaeqabiabaaGcbaqefqvATv2CG4uz3b
IuV1wyUbacfaqcLbuaqaa6daaaOpWdbiaa=nbiaaa@4017@
 σ) на рис. 4, b, c полностью согласуются с формулами (4.40).

 

Рис. 4. Резонансные вращения 2:1.

 

График угла нутации r на рис. 4, d показывает, что значение этой переменной на резонансном вращении монотонно уменьшается, т.е. движение спутника монотонно стремится к “прямому” плоскому стационарному вращению вокруг нормали к плоскости орбиты.

5. Резонансные вращения 1:1. Исследуем теперь вращения спутника, для которых выполняется резонансное соотношение (4.4). Такие вращения будем называть резонансами 1:1. Для них угловая скорость спутника с точностью до O(ε) равна угловой скорости орбитального базиса. Для исследования этих резонансных вращений применим ту же самую процедуру, которая использовалась выше при анализе резонансов 2 : 1.

Введем новую переменную X согласно формуле

X=ψ(τσ). MathType@MTEF@5@5@+=
feaahGart1ev3aaatCvAUfeBSjuyZL2yd9gzLbvyNv2Caerbov2D09
MBdbqedmvETj2BSbqeeuuDJXwAKbsr4rNCHbGeaGqik8fkY=xipgYl
h9vqqj=hEeeu0xXdi9arFj0xirFj0dXdbba91qpK0=yr0RYxfr=Jbb
f9q8aq0=yq=He9q8qqQ8frFve9Fve9Ff0dmeaabaqaciaacaGaaeqa
baqabeGadaaakeaacaWGybGaeyypa0JaeqiYdKNaeyOeI0Iaaiikai
abes8a0jabgkHiTiabeo8aZjaacMcacaGGUaaaaa@3C28@
 (5.1)

Резонансное соотношение (4.4) будет выполняться для тех движений спутника, где среднее значение переменной X остается неизменным. При этом для резонансных вращений 1:1 будет иметь место такая синхронизация между движением центра масс и вращательным движением спутника, при которой за один оборот центра масс спутника относительно базиса Os1s2s3 ось симметрии спутника e совершает ровно один оборот вокруг вектора угловой скорости U (см. рис. 2, 3).

Согласно (3.5) и (3.11) уравнение, описывающее поведение переменной X (5.1), записывается в виде:

X =U1 ctgθ( M 1 cosψ+ M 2 sinψ)/U + M 2 (1cosρ)/ (Usinρ) . MathType@MTEF@5@5@+=
feaahGart1ev3aaatCvAUfeBSjuyZL2yd9gzLbvyNv2Caerbov2D09
MBdbqedmvETj2BSbqeeuuDJXwAKbsr4rNCHbGeaGqik8fkY=xipgYl
h9vqqj=hEeeu0xXdi9arFj0xirFj0dXdbba91qpK0=yr0RYxfr=Jbb
f9q8aq0=yq=He9q8qqQ8frFve9Fve9Ff0dmeaabaqaciaacaGaaeqa
baqabeGadaaakeabGdGabmiwayaafaGaeyypa0JaamyvaiabgkHiTi
aaigdacqGHsisldaWcgaqaaiGacogacaGG0bGaai4zaiabeI7aXjaa
cIcacaWGnbWaaSbaaSqaaiaaigdaaeqaaOGaci4yaiaac+gacaGGZb
GaeqiYdKNaey4kaSIaamytamaaBaaaleaacaaIYaaabeaakiGacoha
caGGPbGaaiOBaiabeI8a5jaacMcaaeaacaWGvbaaaiabgUcaRmaaly
aabaGaamytamaaBaaaleaacaaIYaaabeaakiaacIcacaaIXaGaeyOe
I0Iaci4yaiaac+gacaGGZbGaeqyWdiNaaiykaaqaaiaacIcacaWGvb
Gaci4CaiaacMgacaGGUbGaeqyWdiNaaiykaaaacaGGUaaaaa@5D94@
 (5.2)

Уравнения (3.4) MathType@MTEF@5@5@+=
feaahGart1ev3aqatCvAUfeBSjuyZL2yd9gzLbvyNv2Caerbov2D09
MBaeXatLxBI9gBaeXafv3ySLgzGmvETj2BSbqeeuuDJXwAKbsr4rNC
HbGeaGqipC0df9qqqrpepC0xbbL8F4rqqrFfpeea0de9Gq=Je9qspe
ea0xd9qs=xfrVkFHe9peei0dXdar=Jb9qqFfea0lrP0xe9Fve9Fve9
GapdbeqaaeGacaGaamaabeqaaeqabiabaaGcbaqefqvATv2CG4uz3b
IuV1wyUbacfaqcLbuaqaa6daaaOpWdbiaa=nbiaaa@4017@
(3.11) и (5.2) заменой τσ=ψX MathType@MTEF@5@5@+=
feaahGart1ev3aaatCvAUfeBSjuyZL2yd9gzLbvyNv2Caerbov2D09
MBaeXatLxBI9gBaeXafv3ySLgzGmvETj2BSbqeeuuDJXwAKbsr4rNC
HbGeaGqipC0df9qqqrpepC0xbbL8F4rqqrFfpeea0de9Gq=Je9qspe
ea0xd9qs=xfrVkFHe9peei0dXdar=Jb9qqFfea0lrP0xe9Fve9Fve9
GapdbeqaaeGacaGaamaabeqaaeqabiabaaGcbaaeaaaaaaaaa8qacq
aHepaDcaGGtaIaeq4WdmNaeyypa0JaeqiYdKNaai4eGiaadIfaaaa@3FF8@
 приводятся к автономной системе в переменных r, U, W1, W2, W3, θ, X,
ψ. В рассматриваемом случае вычисленные по формулам (3.15) проекции гравитационного момента m (2.19) на оси базиса Os1s2s3 запишутся в виде:

m 1 = 3ε 8 sinρ(1+cosρ) sin 2 θsin2X+ +sin2θ[2 cos 2 ρcosψ+(1+cosρ)(2cosρ)cos(ψ2X)]+ +sin2ρ sin 2 θsin2ψ+sin2θ((1cosρ)(2+cosρ)cos(3ψ2X)+ + sin 2 θsinρ(cosρ1)sin(4ψ2X)+2sinρ(3 cos 2 θ1)sin2(ψX) ,
MathType@MTEF@5@5@+=
feaahGart1ev3aaatCvAUfeBSjuyZL2yd9gzLbvyNv2Caerbov2D09
MBdbqedmvETj2BSbqeeuuDJXwAKbsr4rNCHbGeaGqik8fkY=xipgYl
h9vqqj=hEeeu0xXdi9arFj0xirFj0dXdbba91qpK0=yr0RYxfr=Jbb
f9q8aq0=yq=He9q8qqQ8frFve9Fve9Ff0dmeaabaqaciaacaGaaeqa
baqabeGadaaakqaabeqaaiaad2gadaWgaaWcbaGaaGymaaqabaGccq
GH9aqpdaWcaaqaaiaaiodacqaH1oqzaeaacaaI4aaaamaaceGabaGa
ci4CaiaacMgacaGGUbGaeqyWdiNaaiikaiaaigdacqGHRaWkciGGJb
Gaai4BaiaacohacqaHbpGCcaGGPaGaci4CaiaacMgacaGGUbWaaWba
aSqabeaacaaIYaaaaOGaeqiUdeNaci4CaiaacMgacaGGUbGaaGOmai
aadIfacqGHRaWkaiaawUhaaaqaaiabgUcaRiaaysW7ciGGZbGaaiyA
aiaac6gacaaIYaGaeqiUdeNaaGPaVlaacUfacqGHsislcaaIYaGaci
4yaiaac+gacaGGZbWcdaahaaqabeaacaaIYaaaaOGaeqyWdiNaci4y
aiaac+gacaGGZbGaeqiYdKNaey4kaSIaaiikaiaaigdacqGHRaWkci
GGJbGaai4BaiaacohacqaHbpGCcaGGPaGaaiikaiaaikdacqGHsisl
ciGGJbGaai4BaiaacohacqaHbpGCcaGGPaGaci4yaiaac+gacaGGZb
GaaiikaiabeI8a5jabgkHiTiaaikdacaWGybGaaiykaiaac2facqGH
RaWkaeaacqGHRaWkcaaMe8Uaci4CaiaacMgacaGGUbGaaGOmaiabeg
8aYjGacohacaGGPbGaaiOBamaaCaaaleqabaGaaGOmaaaakiabeI7a
XjGacohacaGGPbGaaiOBaiaaikdacqaHipqEcqGHRaWkciGGZbGaai
yAaiaac6gacaaIYaGaeqiUdeNaaGPaVlaacIcacaGGOaGaaGymaiab
gkHiTiGacogacaGGVbGaai4Caiabeg8aYjaacMcacaGGOaGaaGOmai
abgUcaRiGacogacaGGVbGaai4Caiabeg8aYjaacMcaciGGJbGaai4B
aiaacohacaGGOaGaaG4maiabeI8a5jabgkHiTiaaikdacaWGybGaai
ykaiabgUcaRaqaamaaciGabaWaaSbaaSqaaaqabaGccqGHRaWkcaaM
e8Uaci4CaiaacMgacaGGUbWaaWbaaSqabeaacaaIYaaaaOGaaGzaVl
abeI7aXjGacohacaGGPbGaaiOBaiabeg8aYjaacIcaciGGJbGaai4B
aiaacohacqaHbpGCcaaMe8UaeyOeI0IaaGjbVlaaigdacaGGPaGaci
4CaiaacMgacaGGUbGaaiikaiaaisdacqaHipqEcaaMe8UaeyOeI0Ia
aGjbVlaaikdacaWGybGaaiykaiaaysW7cqGHRaWkcaaMe8UaaGOmai
GacohacaGGPbGaaiOBaiabeg8aYjaacIcacaaIZaGaci4yaiaac+ga
caGGZbWaaWbaaSqabeaacaaIYaaaaOGaaGzaVlabeI7aXjaaysW7cq
GHsislcaaMe8UaaGymaiaacMcaciGGZbGaaiyAaiaac6gacaaIYaGa
aiikaiabeI8a5jaaysW7cqGHsislcaaMe8UaamiwaiaacMcaaiaaw2
haaiaacYcaaaaa@FDAE@
 (5.3)

m 2 = 3ε 8 sin2ρ(13 cos 2 θ) sin 2 θsinρ(1+cosρ)cos2X+ +sin2θ[2cos2ρsinψ+(cosρ+cos2ρ)sin(ψ2X)]+
MathType@MTEF@5@5@+=
feaahGart1ev3aaatCvAUfeBSjuyZL2yd9gzLbvyNv2Caerbov2D09
MBdbqedmvETj2BSbqeeuuDJXwAKbsr4rNCHbGeaGqik8fkY=xipgYl
h9vqqj=hEeeu0xXdi9arFj0xirFj0dXdbba91qpK0=yr0RYxfr=Jbb
f9q8aq0=yq=He9q8qqQ8frFve9Fve9Ff0dmeaabaqaciaacaGaaeqa
baqabeGadaaakqaabeqaaiaad2gadaWgaaWcbaGaaGOmaaqabaGccq
GH9aqpdaWcaaqaaiaaiodacqaH1oqzaeaacaaI4aaaamaaceaabaGa
ci4CaiaacMgacaGGUbGaaGOmaiabeg8aYjaacIcacaaIXaGaeyOeI0
IaaG4maiGacogacaGGVbGaai4CamaaCaaaleqabaGaaGOmaaaakiab
eI7aXjaacMcaaiaawUhaaiabgkHiTiGacohacaGGPbGaaiOBamaaCa
aaleqabaGaaGOmaaaakiabeI7aXjGacohacaGGPbGaaiOBaiabeg8a
YjaacIcacaaIXaGaey4kaSIaci4yaiaac+gacaGGZbGaeqyWdiNaai
ykaiGacogacaGGVbGaai4CaiaaikdacaWGybGaey4kaScabaGaey4k
aSIaaGjbVlGacohacaGGPbGaaiOBaiaaikdacqaH4oqCcaaMc8Uaai
4waiabgkHiTiaaikdaciGGJbGaai4BaiaacohacaaIYaGaeqyWdiNa
ci4CaiaacMgacaGGUbGaeqiYdKNaey4kaSIaaiikaiGacogacaGGVb
Gaai4Caiabeg8aYjabgUcaRiGacogacaGGVbGaai4CaiaaikdacqaH
bpGCcaGGPaGaci4CaiaacMgacaGGUbGaaiikaiabeI8a5jabgkHiTi
aaikdacaWGybGaaiykaiaac2facqGHRaWkaaaa@8BBE@

sin2ρ[ sin 2 θcos2ψ+(3 cos 2 θ1)cos(2ψ2X)]+ + sin 2 θsinρ(1cosρ)cos(4ψ2X)+sin2θ(cos2ρcosρ)sin(3ψ2X) ,
MathType@MTEF@5@5@+=
feaahGart1ev3aaatCvAUfeBSjuyZL2yd9gzLbvyNv2Caerbov2D09
MBdbqedmvETj2BSbqeeuuDJXwAKbsr4rNCHbGeaGqik8fkY=xipgYl
h9vqqj=hEeeu0xXdi9arFj0xirFj0dXdbba91qpK0=yr0RYxfr=Jbb
f9q8aq0=yq=He9q8qqQ8frFve9Fve9Ff0dmeaabaqaciaacaGaaeqa
baqabeGadaaakqaabeqaaiabgkHiTiaaysW7ciGGZbGaaiyAaiaac6
gacaaIYaGaeqyWdiNaai4waiGacohacaGGPbGaaiOBamaaCaaaleqa
baGaaGOmaaaakiabeI7aXjGacogacaGGVbGaai4CaiaaikdacqaHip
qEcqGHRaWkcaGGOaGaaG4maiGacogacaGGVbGaai4CamaaCaaaleqa
baGaaGOmaaaakiabeI7aXjabgkHiTiaaigdacaGGPaGaci4yaiaac+
gacaGGZbGaaiikaiaaikdacqaHipqEcqGHsislcaaIYaGaamiwaiaa
cMcacaGGDbGaey4kaScabaGaey4kaSIaaGjbVpaaciaabaGaci4Cai
aacMgacaGGUbWaaWbaaSqabeaacaaIYaaaaOGaeqiUdeNaci4Caiaa
cMgacaGGUbGaeqyWdiNaaiikaiaaigdacaaMe8UaeyOeI0IaaGjbVl
GacogacaGGVbGaai4Caiabeg8aYjaacMcaciGGJbGaai4Baiaacoha
caGGOaGaaGinaiabeI8a5jaaysW7cqGHsislcaaMe8UaaGOmaiaadI
facaGGPaGaaGjbVlabgUcaRiaaysW7ciGGZbGaaiyAaiaac6gacaaI
YaGaeqiUdeNaaiikaiGacogacaGGVbGaai4CaiaaikdacqaHbpGCca
aMe8UaeyOeI0IaaGjbVlGacogacaGGVbGaai4Caiabeg8aYjaacMca
ciGGZbGaaiyAaiaac6gacaGGOaGaaG4maiabeI8a5jaaysW7cqGHsi
slcaaMe8UaaGOmaiaadIfacaGGPaaacaGL9baacaGGSaaaaaa@A3F6@
 (5.4)

m 3 = 3ε 8 sin 2 θ (1+cosρ) 2 sin2Xsin2θsin2ρcosψ sin2θsinρ(1+cosρ)cos(ψ2X)]+2 sin 2 θ sin 2 ρsin2ψ+ +sin2θsinρ(1cosρ)cos(3ψ2X) sin 2 θ (1cosρ) 2 sin(4ψ2X) .
MathType@MTEF@5@5@+=
feaahGart1ev3aaatCvAUfeBSjuyZL2yd9gzLbvyNv2Caerbov2D09
MBdbqedmvETj2BSbqeeuuDJXwAKbsr4rNCHbGeaGqik8fkY=xipgYl
h9vqqj=hEeeu0xXdi9arFj0xirFj0dXdbba91qpK0=yr0RYxfr=Jbb
f9q8aq0=yq=He9q8qqQ8frFve9Fve9Ff0dmeaabaqaciaacaGaaeqa
baqabeGadaaakqaabeqaaiaad2gadaWgaaWcbaGaaG4maaqabaGccq
GH9aqpdaWcaaqaaiaaiodacqaH1oqzaeaacaaI4aaaamaaceaabaGa
eyOeI0Iaci4CaiaacMgacaGGUbWcdaahaaqabeaacaaIYaaaaOGaeq
iUdeNaaiikaiaaigdacqGHRaWkciGGJbGaai4BaiaacohacqaHbpGC
caGGPaWaaWbaaSqabeaacaaIYaaaaaGccaGL7baaciGGZbGaaiyAai
aac6gacaaIYaGaamiwaiabgkHiTiGacohacaGGPbGaaiOBaiaaikda
cqaH4oqCciGGZbGaaiyAaiaac6gacaaIYaGaeqyWdiNaci4yaiaac+
gacaGGZbGaeqiYdKNaeyOeI0cabaGaeyOeI0IaaGjbVlGacohacaGG
PbGaaiOBaiaaikdacqaH4oqCcaaMc8Uaci4CaiaacMgacaGGUbGaeq
yWdiNaaiikaiaaigdacqGHRaWkciGGJbGaai4BaiaacohacqaHbpGC
caGGPaGaci4yaiaac+gacaGGZbGaaiikaiabeI8a5jabgkHiTiaaik
dacaWGybGaaiykaiaac2facqGHRaWkcaaIYaGaci4CaiaacMgacaGG
UbWaaWbaaSqabeaacaaIYaaaaOGaeqiUdeNaci4CaiaacMgacaGGUb
WaaWbaaSqabeaacaaIYaaaaOGaeqyWdiNaci4CaiaacMgacaGGUbGa
aGOmaiabeI8a5jabgUcaRaqaaiabgUcaRiaaysW7ciGGZbGaaiyAai
aac6gacaaIYaGaeqiUdeNaci4CaiaacMgacaGGUbGaeqyWdiNaaiik
aiaaigdacaaMe8UaeyOeI0IaaGjbVlGacogacaGGVbGaai4Caiabeg
8aYjaacMcaciGGJbGaai4BaiaacohacaGGOaGaaG4maiabeI8a5jaa
ysW7cqGHsislcaaMe8UaaGOmaiaadIfacaGGPaGaaGjbVlabgkHiTm
aaciaabaGaaGjbVlGacohacaGGPbGaaiOBamaaCaaaleqabaGaaGOm
aaaakiaaygW7cqaH4oqCcaGGOaGaaGymaiaaysW7cqGHsislcaaMe8
Uaci4yaiaac+gacaGGZbGaeqyWdiNaaiykamaaCaaaleqabaGaaGOm
aaaakiaaygW7ciGGZbGaaiyAaiaac6gacaGGOaGaaGinaiabeI8a5j
aaysW7cqGHsislcaaMe8UaaGOmaiaadIfacaGGPaaacaGL9baacaGG
Uaaaaaa@D83F@
 (5.5)

После осреднения уравнений (3.4) MathType@MTEF@5@5@+=
feaahGart1ev3aqatCvAUfeBSjuyZL2yd9gzLbvyNv2Caerbov2D09
MBaeXatLxBI9gBaeXafv3ySLgzGmvETj2BSbqeeuuDJXwAKbsr4rNC
HbGeaGqipC0df9qqqrpepC0xbbL8F4rqqrFfpeea0de9Gq=Je9qspe
ea0xd9qs=xfrVkFHe9peei0dXdar=Jb9qqFfea0lrP0xe9Fve9Fve9
GapdbeqaaeGacaGaamaabeqaaeqabiabaaGcbaqefqvATv2CG4uz3b
IuV1wyUbacfaqcLbuaqaa6daaaOpWdbiaa=nbiaaa@4017@
(3.9) по “быстрой” переменной y получим систему (4.13) MathType@MTEF@5@5@+=
feaahGart1ev3aqatCvAUfeBSjuyZL2yd9gzLbvyNv2Caerbov2D09
MBaeXatLxBI9gBaeXafv3ySLgzGmvETj2BSbqeeuuDJXwAKbsr4rNC
HbGeaGqipC0df9qqqrpepC0xbbL8F4rqqrFfpeea0de9Gq=Je9qspe
ea0xd9qs=xfrVkFHe9peei0dXdar=Jb9qqFfea0lrP0xe9Fve9Fve9
GapdbeqaaeGacaGaamaabeqaaeqabiabaaGcbaqefqvATv2CG4uz3b
IuV1wyUbacfaqcLbuaqaa6daaaOpWdbiaa=nbiaaa@4017@
(4.15), в которой согласно (5.3) MathType@MTEF@5@5@+=
feaahGart1ev3aqatCvAUfeBSjuyZL2yd9gzLbvyNv2Caerbov2D09
MBaeXatLxBI9gBaeXafv3ySLgzGmvETj2BSbqeeuuDJXwAKbsr4rNC
HbGeaGqipC0df9qqqrpepC0xbbL8F4rqqrFfpeea0de9Gq=Je9qspe
ea0xd9qs=xfrVkFHe9peei0dXdar=Jb9qqFfea0lrP0xe9Fve9Fve9
GapdbeqaaeGacaGaamaabeqaaeqabiabaaGcbaqefqvATv2CG4uz3b
IuV1wyUbacfaqcLbuaqaa6daaaOpWdbiaa=nbiaaa@4017@
(5.5) средние по y компоненты гравитационного момента будут выражаться формулами:

m ¯
1 =3 ε sin 2 θsin2Xsinρ(1+cosρ)/8 , MathType@MTEF@5@5@+=
feaahGart1ev3aaatCvAUfeBSjuyZL2yd9gzLbvyNv2Caerbov2D09
MBdbqedmvETj2BSbqeeuuDJXwAKbsr4rNCHbGeaGqik8fkY=xipgYl
h9vqqj=hEeeu0xXdi9arFj0xirFj0dXdbba91qpK0=yr0RYxfr=Jbb
f9q8aq0=yq=He9q8qqQ8frFve9Fve9Ff0dmeaabaqaciaacaGaaeqa
baqabeGadaaakeaaceWGTbGbaebadaWgaaWcbaGaaGymaaqabaGcca
aMe8Uaeyypa0JaaG4mamaalyaabaGaeqyTduMaci4CaiaacMgacaGG
UbWaaWbaaSqabeaacaaIYaaaaOGaeqiUdeNaci4CaiaacMgacaGGUb
GaaGOmaiaadIfaciGGZbGaaiyAaiaac6gacqaHbpGCcaGGOaGaaGym
aiabgUcaRiGacogacaGGVbGaai4Caiabeg8aYjaacMcaaeaacaaI4a
aaaiaacYcaaaa@4F97@
 (5.6)

m ¯
2 =3ε sin2ρ(13 cos 2 θ)sinρ(1+cosρ) sin 2 θcos2X /8 , MathType@MTEF@5@5@+=
feaahGart1ev3aaatCvAUfeBSjuyZL2yd9gzLbvyNv2Caerbov2D09
MBdbqedmvETj2BSbqeeuuDJXwAKbsr4rNCHbGeaGqik8fkY=xipgYl
h9vqqj=hEeeu0xXdi9arFj0xirFj0dXdbba91qpK0=yr0RYxfr=Jbb
f9q8aq0=yq=He9q8qqQ8frFve9Fve9Ff0dmeaabaqaciaacaGaaeqa
baqabeGadaaakeaaceWGTbGbaebadaWgaaWcbaGaaGOmaaqabaGcca
aMe8Uaeyypa0JaaG4maiabew7aLnaalyaabaWaaeWabeaaciGGZbGa
aiyAaiaac6gacaaIYaGaeqyWdiNaaiikaiaaigdacqGHsislcaaIZa
Gaci4yaiaac+gacaGGZbWaaWbaaSqabeaacaaIYaaaaOGaeqiUdeNa
aiykaiabgkHiTiGacohacaGGPbGaaiOBaiabeg8aYjaacIcacaaIXa
Gaey4kaSIaci4yaiaac+gacaGGZbGaeqyWdiNaaiykaiGacohacaGG
PbGaaiOBamaaCaaaleqabaGaaGOmaaaakiabeI7aXjGacogacaGGVb
Gaai4CaiaaikdacaWGybaacaGLOaGaayzkaaaabaGaaGioaaaacaGG
Saaaaa@6098@
 (5.7)

m ¯
3 =3 ε sin 2 θsin2X (1+cosρ) 2 /8 . MathType@MTEF@5@5@+=
feaahGart1ev3aaatCvAUfeBSjuyZL2yd9gzLbvyNv2Caerbov2D09
MBdbqedmvETj2BSbqeeuuDJXwAKbsr4rNCHbGeaGqik8fkY=xipgYl
h9vqqj=hEeeu0xXdi9arFj0xirFj0dXdbba91qpK0=yr0RYxfr=Jbb
f9q8aq0=yq=He9q8qqQ8frFve9Fve9Ff0dmeaabaqaciaacaGaaeqa
baqabeGadaaakeaaceWGTbGbaebadaWgaaWcbaGaaG4maaqabaGccq
GH9aqpcqGHsislcaaIZaWaaSGbaeaacqaH1oqzciGGZbGaaiyAaiaa
c6gadaahaaWcbeqaaiaaikdaaaGccqaH4oqCciGGZbGaaiyAaiaac6
gacaaIYaGaamiwaiaacIcacaaIXaGaey4kaSIaci4yaiaac+gacaGG
ZbGaeqyWdiNaaiykamaaCaaaleqabaGaaGOmaaaaaOqaaiaaiIdaaa
GaaiOlaaaa@4B56@
 (5.8)

Чтобы усреднить правые части уравнений (3.10) и (5.2) с точностью до O(e2), воспользуемся формулами (4.23) и (4.24). В рассматриваемом случае на основании формул (4.17), (4.19), (5.3) и (5.4) получим:

α 1 =3 εsin2θ 2 cos 2 ρ+ 4 U 2 /3 +(1+cosρ)(cosρ2)cos2X /8 , MathType@MTEF@5@5@+=
feaahGart1ev3aaatCvAUfeBSjuyZL2yd9gzLbvyNv2Caerbov2D09
MBdbqedmvETj2BSbqeeuuDJXwAKbsr4rNCHbGeaGqik8fkY=xipgYl
h9vqqj=hEeeu0xXdi9arFj0xirFj0dXdbba91qpK0=yr0RYxfr=Jbb
f9q8aq0=yq=He9q8qqQ8frFve9Fve9Ff0dmeaabaqaciaacaGaaeqa
baqabeGadaaakeaacqaHXoqydaWgaaWcbaGaaGymaaqabaGccqGH9a
qpcaaIZaWaaSGbaeaacqaH1oqzciGGZbGaaiyAaiaac6gacaaIYaGa
eqiUde3aaeWabeaacaaIYaGaci4yaiaac+gacaGGZbWaaWbaaSqabe
aacaaIYaaaaOGaeqyWdiNaey4kaSYaaSGbaeaacaaI0aGaamyvamaa
CaaaleqabaGaaGOmaaaaaOqaaiaaiodaaaGaey4kaSIaaiikaiaaig
dacqGHRaWkciGGJbGaai4BaiaacohacqaHbpGCcaGGPaGaaiikaiGa
cogacaGGVbGaai4Caiabeg8aYjabgkHiTiaaikdacaGGPaGaci4yai
aac+gacaGGZbGaaGOmaiaadIfaaiaawIcacaGLPaaaaeaacaaI4aaa
aiaacYcaaaa@5E4E@
 

β 1 =3 εsin2θsin2X(1+cosρ)(cosρ2)/8 , MathType@MTEF@5@5@+=
feaahGart1ev3aaatCvAUfeBSjuyZL2yd9gzLbvyNv2Caerbov2D09
MBdbqedmvETj2BSbqeeuuDJXwAKbsr4rNCHbGeaGqik8fkY=xipgYl
h9vqqj=hEeeu0xXdi9arFj0xirFj0dXdbba91qpK0=yr0RYxfr=Jbb
f9q8aq0=yq=He9q8qqQ8frFve9Fve9Ff0dmeaabaqaciaacaGaaeqa
baqabeGadaaakeaacqaHYoGydaWgaaWcbaGaaGymaaqabaGccaaMe8
Uaeyypa0JaaG4mamaalyaabaGaeqyTduMaci4CaiaacMgacaGGUbGa
aGOmaiabeI7aXjGacohacaGGPbGaaiOBaiaaikdacaWGybGaaiikai
aaigdacqGHRaWkciGGJbGaai4BaiaacohacqaHbpGCcaGGPaGaaiik
aiGacogacaGGVbGaai4Caiabeg8aYjabgkHiTiaaikdacaGGPaaaba
GaaGioaaaacaGGSaaaaa@52F4@

α 2 =3 εsin2θsin2X(cosρ+cos2ρ)/8 , MathType@MTEF@5@5@+=
feaahGart1ev3aaatCvAUfeBSjuyZL2yd9gzLbvyNv2Caerbov2D09
MBdbqedmvETj2BSbqeeuuDJXwAKbsr4rNCHbGeaGqik8fkY=xipgYl
h9vqqj=hEeeu0xXdi9arFj0xirFj0dXdbba91qpK0=yr0RYxfr=Jbb
f9q8aq0=yq=He9q8qqQ8frFve9Fve9Ff0dmeaabaqaciaacaGaaeqa
baqabeGadaaakeaacqaHXoqydaWgaaWcbaGaaGOmaaqabaGccaaMe8
Uaeyypa0JaaG4mamaalyaabaGaeqyTduMaci4CaiaacMgacaGGUbGa
aGOmaiabeI7aXjGacohacaGGPbGaaiOBaiaaikdacaWGybGaaiikai
GacogacaGGVbGaai4Caiabeg8aYjabgUcaRiGacogacaGGVbGaai4C
aiaaikdacqaHbpGCcaGGPaaabaGaaGioaaaacaGGSaaaaa@4FF2@

β 2 =3 εsin2θ 2cos2ρ+ 4 U 2 /3 (cosρ+cos2ρ)cos2X /8 . MathType@MTEF@5@5@+=
feaahGart1ev3aaatCvAUfeBSjuyZL2yd9gzLbvyNv2Caerbov2D09
MBdbqedmvETj2BSbqeeuuDJXwAKbsr4rNCHbGeaGqik8fkY=xipgYl
h9vqqj=hEeeu0xXdi9arFj0xirFj0dXdbba91qpK0=yr0RYxfr=Jbb
f9q8aq0=yq=He9q8qqQ8frFve9Fve9Ff0dmeaabaqaciaacaGaaeqa
baqabeGadaaakeaacqaHYoGydaWgaaWcbaGaaGOmaaqabaGccaaMe8
Uaeyypa0JaaG4mamaalyaabaGaeqyTduMaci4CaiaacMgacaGGUbGa
aGOmaiabeI7aXnaabmqabaGaaGOmaiGacogacaGGVbGaai4Caiaaik
dacqaHbpGCcqGHRaWkdaWcgaqaaiaaisdacaWGvbWaaWbaaSqabeaa
caaIYaaaaaGcbaGaaG4maaaacqGHsislcaGGOaGaci4yaiaac+gaca
GGZbGaeqyWdiNaey4kaSIaci4yaiaac+gacaGGZbGaaGOmaiabeg8a
YjaacMcaciGGJbGaai4BaiaacohacaaIYaGaamiwaaGaayjkaiaawM
caaaqaaiaaiIdaaaGaaiOlaaaa@5CB3@

Отсюда находим

α 2 β 1 =3 εsin2θsin2X (cosρ+1) 2 /8 , MathType@MTEF@5@5@+=
feaahGart1ev3aaatCvAUfeBSjuyZL2yd9gzLbvyNv2Caerbov2D09
MBdbqedmvETj2BSbqeeuuDJXwAKbsr4rNCHbGeaGqik8fkY=xipgYl
h9vqqj=hEeeu0xXdi9arFj0xirFj0dXdbba91qpK0=yr0RYxfr=Jbb
f9q8aq0=yq=He9q8qqQ8frFve9Fve9Ff0dmeaabaqaciaacaGaaeqa
baqabeGadaaakeaacqaHXoqydaWgaaWcbaGaaGOmaaqabaGccaaMe8
UaeyOeI0IaeqOSdi2aaSbaaSqaaiaaigdaaeqaaOGaaGjbVlabg2da
9iaaiodadaWcgaqaaiabew7aLjGacohacaGGPbGaaiOBaiaaikdacq
aH4oqCciGGZbGaaiyAaiaac6gacaaIYaGaamiwaiaacIcaciGGJbGa
ai4BaiaacohacqaHbpGCcqGHRaWkcaaIXaGaaiykamaaCaaaleqaba
GaaGOmaaaaaOqaaiaaiIdaaaGaaiilaaaa@515D@
 (5.9)

α 1 + β 2 =3 εsin2θ 6 cos 2 ρ2+ 8 U 2 /3 (1+cosρ) 2 cos2X /8 . MathType@MTEF@5@5@+=
feaahGart1ev3aaatCvAUfeBSjuyZL2yd9gzLbvyNv2Caerbov2D09
MBdbqedmvETj2BSbqeeuuDJXwAKbsr4rNCHbGeaGqik8fkY=xipgYl
h9vqqj=hEeeu0xXdi9arFj0xirFj0dXdbba91qpK0=yr0RYxfr=Jbb
f9q8aq0=yq=He9q8qqQ8frFve9Fve9Ff0dmeaabaqaciaacaGaaeqa
baqabeGadaaakeaacqaHXoqydaWgaaWcbaGaaGymaaqabaGccaaMe8
Uaey4kaSIaeqOSdi2aaSbaaSqaaiaaikdaaeqaaOGaaGjbVlabg2da
9iaaiodadaWcgaqaaiabew7aLjGacohacaGGPbGaaiOBaiaaikdacq
aH4oqCdaqadeqaaiaaiAdaciGGJbGaai4BaiaacohadaahaaWcbeqa
aiaaikdaaaGccqaHbpGCcqGHsislcaaIYaGaey4kaSYaaSGbaeaaca
aI4aGaamyvamaaCaaaleqabaGaaGOmaaaaaOqaaiaaiodaaaGaeyOe
I0IaaiikaiaaigdacqGHRaWkciGGJbGaai4BaiaacohacqaHbpGCca
GGPaWaaWbaaSqabeaacaaIYaaaaOGaci4yaiaac+gacaGGZbGaaGOm
aiaadIfaaiaawIcacaGLPaaaaeaacaaI4aaaaiaac6caaaa@5FF9@
 (5.10)

В итоге осредненные по y уравнения (5.2) и (3.10) запишутся в виде:

X = F X =U1+ ( m ¯
2 +μγ W 2 )(1cosρ)/ (Usinρ) + + ctgθ 2U U 2 + μ 2 (1+γ) U 2 + μ 2 (1+γ) 2 ( α 1 + β 2 )+ μγU( β 1 α 2 ) U 2 + μ 2 (1+γ) 2 +O( ε 2 ),
MathType@MTEF@5@5@+=
feaahGart1ev3aaatCvAUfeBSjuyZL2yd9gzLbvyNv2Caerbov2D09
MBdbqedmvETj2BSbqeeuuDJXwAKbsr4rNCHbGeaGqik8fkY=xipgYl
h9vqqj=hEeeu0xXdi9arFj0xirFj0dXdbba91qpK0=yr0RYxfr=Jbb
f9q8aq0=yq=He9q8qqQ8frFve9Fve9Ff0dmeaabaqaciaacaGaaeqa
baqabeGadaaakqaaceqaaiqadIfagaqbaiaaysW7cqGH9aqpcaWGgb
WaaSbaaSqaaiaadIfaaeqaaOGaaGjbVlabg2da9iaadwfacaaMe8Ua
eyOeI0IaaGymaiabgUcaRmaalyaabaGaaiikaiqad2gagaqeamaaBa
aaleaacaaIYaaabeaakiabgUcaRiabeY7aTjabeo7aNjaadEfadaWg
aaWcbaGaaGOmaaqabaGccaGGPaGaaiikaiaaigdacqGHsislciGGJb
Gaai4BaiaacohacqaHbpGCcaGGPaaabaGaaiikaiaadwfaciGGZbGa
aiyAaiaac6gacqaHbpGCcaGGPaaaaiabgUcaRaqaeaoacqGHRaWkca
aMe8+aaSaaaeaaciGGJbGaaiiDaiaacEgacqaH4oqCaeaacaaIYaGa
amyvaaaadaqadaqaamaalaaabaGaamyvamaaCaaaleqabaGaaGOmaa
aakiaaykW7cqGHRaWkcqaH8oqBdaahaaWcbeqaaiaaikdaaaGccaGG
OaGaaGymaiabgUcaRiabeo7aNjaacMcaaeaacaWGvbWaaWbaaSqabe
aacaaIYaaaaOGaaGPaVlabgUcaRiabeY7aTnaaCaaaleqabaGaaGOm
aaaakiaacIcacaaIXaGaaGjbVlabgUcaRiaaysW7cqaHZoWzcaGGPa
WaaWbaaSqabeaacaaIYaaaaaaakiaacIcacqaHXoqydaWgaaWcbaGa
aGymaaqabaGccaaMc8Uaey4kaSIaeqOSdi2aaSbaaSqaaiaaikdaae
qaaOGaaiykaiaaysW7cqGHRaWkcaaMe8+aaSaaaeaacqaH8oqBcqaH
ZoWzcaaMc8UaamyvaiaacIcacqaHYoGydaWgaaWcbaGaaGymaaqaba
GccaaMc8UaeyOeI0IaeqySde2aaSbaaSqaaiaaikdaaeqaaOGaaiyk
aaqaaiaadwfadaahaaWcbeqaaiaaikdaaaGccaaMc8Uaey4kaSIaeq
iVd02aaWbaaSqabeaacaaIYaaaaOGaaiikaiaaigdacaaMe8Uaey4k
aSIaaGjbVlabeo7aNjaacMcadaahaaWcbeqaaiaaikdaaaaaaaGcca
GLOaGaayzkaaGaey4kaSIaam4taiaacIcacqaH1oqzdaahaaWcbeqa
aiaaikdaaaGccaGGPaGaaiilaaaaaa@AE5B@
 (5.11)

θ = F θ = 3ε 16U U 2 + μ 2 (1+γ) U 2 + μ 2 (1+γ) 2 sin2θsin2X (cosρ+1) 2 MathType@MTEF@5@5@+=
feaahGart1ev3aaatCvAUfeBSjuyZL2yd9gzLbvyNv2Caerbov2D09
MBdbqedmvETj2BSbqeeuuDJXwAKbsr4rNCHbGeaGqik8fkY=xipgYl
h9vqqj=hEeeu0xXdi9arFj0xirFj0dXdbba91qpK0=yr0RYxfr=Jbb
f9q8aq0=yq=He9q8qqQ8frFve9Fve9Ff0dmeaabaqaciaacaGaaeqa
baqabeGadaaakeaacuaH4oqCgaqbaiaaysW7cqGH9aqpcaWGgbWaaS
baaSqaaiabeI7aXbqabaGccaaMc8Uaeyypa0JaeyOeI0YaaSaaaeaa
caaIZaGaeqyTdugabaGaaGymaiaaiAdacaWGvbaaamaalaaabaGaam
yvamaaCaaaleqabaGaaGOmaaaakiaaykW7cqGHRaWkcqaH8oqBdaah
aaWcbeqaaiaaikdaaaGccaGGOaGaaGymaiabgUcaRiabeo7aNjaacM
caaeaacaWGvbWaaWbaaSqabeaacaaIYaaaaOGaaGPaVlabgUcaRiab
eY7aTnaaCaaaleqabaGaaGOmaaaakiaacIcacaaIXaGaey4kaSIaeq
4SdCMaaiykamaaCaaaleqabaGaaGOmaaaaaaGcciGGZbGaaiyAaiaa
c6gacaaIYaGaeqiUdeNaci4CaiaacMgacaGGUbGaaGOmaiaadIfaca
GGOaGaci4yaiaac+gacaGGZbGaeqyWdiNaey4kaSIaaGymaiaacMca
daahaaWcbeqaaiaaikdaaaGccqGHsislaaa@6B84@

3εμγsin2θ 6 cos 2 ρ2+ 8 U 2 /3 (1+cosρ) 2 cos2X 16( U 2 + μ 2 (1+γ) 2 ) +O( ε 2 ). MathType@MTEF@5@5@+=
feaahGart1ev3aaatCvAUfeBSjuyZL2yd9gzLbvyNv2Caerbov2D09
MBdbqedmvETj2BSbqeeuuDJXwAKbsr4rNCHbGeaGqik8fkY=xipgYl
h9vqqj=hEeeu0xXdi9arFj0xirFj0dXdbba91qpK0=yr0RYxfr=Jbb
f9q8aq0=yq=He9q8qqQ8frFve9Fve9Ff0dmeaabaqaciaacaGaaeqa
baqabeGadaaakeaacqGHsislcaaMe8+aaSaaaeaacaaIZaGaeqyTdu
MaeqiVd0Maeq4SdCMaci4CaiaacMgacaGGUbGaaGOmaiabeI7aXnaa
bmqabaGaaGOnaiGacogacaGGVbGaai4CamaaCaaaleqabaGaaGOmaa
aakiaaygW7cqaHbpGCcaaMe8UaeyOeI0IaaGjbVlaaikdacaaMe8Ua
ey4kaSIaaGjbVpaalyaabaGaaGioaiaadwfadaahaaWcbeqaaiaaik
daaaaakeaacaaIZaaaaiaaysW7cqGHsislcaaMe8Uaaiikaiaaigda
caaMe8Uaey4kaSIaaGjbVlGacogacaGGVbGaai4Caiabeg8aYjaacM
cadaahaaWcbeqaaiaaikdaaaGccaaMb8Uaci4yaiaac+gacaGGZbGa
aGOmaiaadIfaaiaawIcacaGLPaaaaeaacaaIXaGaaGOnaiaacIcaca
WGvbWaaWbaaSqabeaacaaIYaaaaOGaey4kaSIaeqiVd02aaWbaaSqa
beaacaaIYaaaaOGaaiikaiaaigdacqGHRaWkcqaHZoWzcaGGPaWaaW
baaSqabeaacaaIYaaaaOGaaiykaaaacqGHRaWkcaWGpbGaaiikaiab
ew7aLnaaCaaaleqabaGaaGOmaaaakiaacMcacaGGUaaaaa@7DC4@
 (5.12)

В рассматриваемом случае стационарные решения (положения равновесия) осредненной системы (4.14), (4.15), (5.11), (5.12) по переменным W1, W2, W3, U, θ, X при фиксированном ρ определяются решениями следующей системы уравнений:

W 1 * = 3ε 8 sin 2 θ * sin2 X * sinρ(1+cosρ) μ(1+γ) +O( ε 2 ), MathType@MTEF@5@5@+=
feaahGart1ev3aaatCvAUfeBSjuyZL2yd9gzLbvyNv2Caerbov2D09
MBdbqedmvETj2BSbqeeuuDJXwAKbsr4rNCHbGeaGqik8fkY=xipgYl
h9vqqj=hEeeu0xXdi9arFj0xirFj0dXdbba91qpK0=yr0RYxfr=Jbb
f9q8aq0=yq=He9q8qqQ8frFve9Fve9Ff0dmeaabaqaciaacaGaaeqa
baqabeGadaaakeabGdGaam4vamaaDaaaleaacaaIXaaabaGaaiOkaa
aakiaaykW7cqGH9aqpcqGHsisldaWcaaqaaiaaiodacqaH1oqzaeaa
caaI4aaaamaalaaabaGaci4CaiaacMgacaGGUbWaaWbaaSqabeaaca
aIYaaaaOGaaGzaVlabeI7aXnaaCaaaleqabaGaaiOkaaaakiaaygW7
ciGGZbGaaiyAaiaac6gacaaIYaGaamiwamaaCaaaleqabaGaaiOkaa
aakiaaygW7ciGGZbGaaiyAaiaac6gacqaHbpGCcaGGOaGaaGymaiaa
ysW7cqGHRaWkcaaMe8Uaci4yaiaac+gacaGGZbGaeqyWdiNaaiykaa
qaaiabeY7aTjaacIcacaaIXaGaey4kaSIaeq4SdCMaaiykaaaacqGH
RaWkcaWGpbGaaiikaiabew7aLnaaCaaaleqabaGaaGOmaaaakiaacM
cacaGGSaaaaa@676F@
 (5.13)

W 2 * = 3ε 8 sin2ρ(13 cos 2 θ * )sinρ(1+cosρ) sin 2 θ * cos2 X * μ(1+γ) +O( ε 2 ), MathType@MTEF@5@5@+=
feaahGart1ev3aaatCvAUfeBSjuyZL2yd9gzLbvyNv2Caerbov2D09
MBdbqedmvETj2BSbqeeuuDJXwAKbsr4rNCHbGeaGqik8fkY=xipgYl
h9vqqj=hEeeu0xXdi9arFj0xirFj0dXdbba91qpK0=yr0RYxfr=Jbb
f9q8aq0=yq=He9q8qqQ8frFve9Fve9Ff0dmeaabaqaciaacaGaaeqa
baqabeGadaaakeabGdGaam4vamaaDaaaleaacaaIYaaabaGaaiOkaa
aakiaaykW7cqGH9aqpcqGHsisldaWcaaqaaiaaiodacqaH1oqzaeaa
caaI4aaaamaalaaabaGaci4CaiaacMgacaGGUbGaaGOmaiabeg8aYj
aacIcacaaIXaGaaGjbVlabgkHiTiaaysW7caaIZaGaci4yaiaac+ga
caGGZbWaaWbaaSqabeaacaaIYaaaaOGaaGzaVlabeI7aXnaaCaaale
qabaGaaiOkaaaakiaacMcacaaMe8UaeyOeI0IaaGjbVlGacohacaGG
PbGaaiOBaiabeg8aYjaacIcacaaIXaGaaGjbVlabgUcaRiaaysW7ci
GGJbGaai4BaiaacohacqaHbpGCcaGGPaGaci4CaiaacMgacaGGUbWa
aWbaaSqabeaacaaIYaaaaOGaaGzaVlabeI7aXnaaCaaaleqabaGaai
OkaaaakiaaygW7ciGGJbGaai4BaiaacohacaaIYaGaamiwamaaCaaa
leqabaGaaiOkaaaaaOqaaiabeY7aTjaacIcacaaIXaGaey4kaSIaeq
4SdCMaaiykaaaacqGHRaWkcaWGpbGaaiikaiabew7aLnaaCaaaleqa
baGaaGOmaaaakiaacMcacaGGSaaaaa@7DFF@
 (5.14)

W 3 * = 3ε 8 sin 2 θ * sin2 X * (1+cosρ) 2 μ(1+γ) +O( ε 2 ), MathType@MTEF@5@5@+=
feaahGart1ev3aaatCvAUfeBSjuyZL2yd9gzLbvyNv2Caerbov2D09
MBdbqedmvETj2BSbqeeuuDJXwAKbsr4rNCHbGeaGqik8fkY=xipgYl
h9vqqj=hEeeu0xXdi9arFj0xirFj0dXdbba91qpK0=yr0RYxfr=Jbb
f9q8aq0=yq=He9q8qqQ8frFve9Fve9Ff0dmeaabaqaciaacaGaaeqa
baqabeGadaaakeabGdGaam4vamaaDaaaleaacaaIZaaabaGaaiOkaa
aakiaaysW7cqGH9aqpdaWcaaqaaiaaiodacqaH1oqzaeaacaaI4aaa
amaalaaabaGaci4CaiaacMgacaGGUbWaaWbaaSqabeaacaaIYaaaaO
GaeqiUde3aaWbaaSqabeaacaGGQaaaaOGaci4CaiaacMgacaGGUbGa
aGOmaiaadIfadaahaaWcbeqaaiaacQcaaaGccaGGOaGaaGymaiabgU
caRiGacogacaGGVbGaai4Caiabeg8aYjaacMcadaahaaWcbeqaaiaa
ikdaaaaakeaacqaH8oqBcaGGOaGaaGymaiabgUcaRiabeo7aNjaacM
caaaGaey4kaSIaam4taiaacIcacqaH1oqzdaahaaWcbeqaaiaaikda
aaGccaGGPaGaaiilaaaa@5B29@
 (5.15)

sin 2 θ * sin2 X * (1+cosρ) 2 =O(ε), MathType@MTEF@5@5@+=
feaahGart1ev3aaatCvAUfeBSjuyZL2yd9gzLbvyNv2Caerbov2D09
MBdbqedmvETj2BSbqeeuuDJXwAKbsr4rNCHbGeaGqik8fkY=xipgYl
h9vqqj=hEeeu0xXdi9arFj0xirFj0dXdbba91qpK0=yr0RYxfr=Jbb
f9q8aq0=yq=He9q8qqQ8frFve9Fve9Ff0dmeaabaqaciaacaGaaeqa
baqabeGadaaakeaaciGGZbGaaiyAaiaac6gadaahaaWcbeqaaiaaik
daaaGccaaMb8UaeqiUde3aaWbaaSqabeaacaGGQaaaaOGaaGzaVlGa
cohacaGGPbGaaiOBaiaaikdacaWGybWaaWbaaSqabeaacaGGQaaaaO
GaaGzaVlaacIcacaaIXaGaey4kaSIaci4yaiaac+gacaGGZbGaeqyW
diNaaiykamaaCaaaleqabaGaaGOmaaaakiaayIW7cqGH9aqpcaaMe8
Uaam4taiaacIcacqaH1oqzcaGGPaGaaiilaaaa@5288@
 (5.16)

U * =1+O(ε), MathType@MTEF@5@5@+=
feaahGart1ev3aaatCvAUfeBSjuyZL2yd9gzLbvyNv2Caerbov2D09
MBdbqedmvETj2BSbqeeuuDJXwAKbsr4rNCHbGeaGqik8fkY=xipgYl
h9vqqj=hEeeu0xXdi9arFj0xirFj0dXdbba91qpK0=yr0RYxfr=Jbb
f9q8aq0=yq=He9q8qqQ8frFve9Fve9Ff0dmeaabaqaciaacaGaaeqa
baqabeGadaaakeabGdGaamyvamaaCaaaleqabaGaaiOkaaaakiaayI
W7cqGH9aqpcaaIXaGaey4kaSIaam4taiaacIcacqaH1oqzcaGGPaGa
aiilaaaa@3C65@
 (5.17)

sin2θ*sin2X*[1+μ2(1+γ)]++sin2θ*μγ6cos2ρ2+8/3(1+cosρ)2cos2X*=O(ε). (5.18)

Если значения угла нутации r удовлетворяют условию

(1+cosρ) 2 ε, MathType@MTEF@5@5@+=
feaahGart1ev3aaatCvAUfeBSjuyZL2yd9gzLbvyNv2Caerbov2D09
MBdbqedmvETj2BSbqeeuuDJXwAKbsr4rNCHbGeaGqik8fkY=xipgYl
h9vqqj=hEeeu0xXdi9arFj0xirFj0dXdbba91qpK0=yr0RYxfr=Jbb
f9q8aq0=yq=He9q8qqQ8frFve9Fve9Ff0dmeaabaqaciaacaGaaeqa
baqabeGadaaakeaacaGGOaGaaGymaiaaysW7cqGHRaWkciGGJbGaai
4BaiaacohacqaHbpGCcaGGPaWaaWbaaSqabeaacaaIYaaaaOGaaGPa
VlablUMi=iaaysW7cqaH1oqzcaaMc8Uaaiilaaaa@436A@
 (5.19)

то система (5.13) MathType@MTEF@5@5@+=
feaahGart1ev3aqatCvAUfeBSjuyZL2yd9gzLbvyNv2Caerbov2D09
MBaeXatLxBI9gBaeXafv3ySLgzGmvETj2BSbqeeuuDJXwAKbsr4rNC
HbGeaGqipC0df9qqqrpepC0xbbL8F4rqqrFfpeea0de9Gq=Je9qspe
ea0xd9qs=xfrVkFHe9peei0dXdar=Jb9qqFfea0lrP0xe9Fve9Fve9
GapdbeqaaeGacaGaamaabeqaaeqabiabaaGcbaqefqvATv2CG4uz3b
IuV1wyUbacfaqcLbuaqaa6daaaOpWdbiaa=nbiaaa@4017@
(5.18) допускает стационарные решения (положения равновесия), в которых X* и θ* с точностью до O(ε) описываются формулами:

sin2 X * =0 MathType@MTEF@5@5@+=
feaahGart1ev3aaatCvAUfeBSjuyZL2yd9gzLbvyNv2Caerbov2D09
MBdbqedmvETj2BSbqeeuuDJXwAKbsr4rNCHbGeaGqik8fkY=xipgYl
h9vqqj=hEeeu0xXdi9arFj0xirFj0dXdbba91qpK0=yr0RYxfr=Jbb
f9q8aq0=yq=He9q8qqQ8frFve9Fve9Ff0dmeaabaqaciaacaGaaeqa
baqabeGadaaakeaaciGGZbGaaiyAaiaac6gacaaIYaGaamiwamaaCa
aaleqabaGaaiOkaaaakiabg2da9iaaicdaaaa@3820@
, θ * =±π/2 MathType@MTEF@5@5@+=
feaahGart1ev3aaatCvAUfeBSjuyZL2yd9gzLbvyNv2Caerbov2D09
MBdbqedmvETj2BSbqeeuuDJXwAKbsr4rNCHbGeaGqik8fkY=xipgYl
h9vqqj=hEeeu0xXdi9arFj0xirFj0dXdbba91qpK0=yr0RYxfr=Jbb
f9q8aq0=yq=He9q8qqQ8frFve9Fve9Ff0dmeaabaqaciaacaGaaeqa
baqabeGadaaakeaacqaH4oqCdaahaaWcbeqaaiaacQcaaaGccqGH9a
qpcqGHXcqSdaWcgaqaaiabec8aWbqaaiaaikdaaaaaaa@3928@
  cos2 θ * =1 MathType@MTEF@5@5@+=
feaahGart1ev3aaatCvAUfeBSjuyZL2yd9gzLbvyNv2Caerbov2D09
MBdbqedmvETj2BSbqeeuuDJXwAKbsr4rNCHbGeaGqik8fkY=xipgYl
h9vqqj=hEeeu0xXdi9arFj0xirFj0dXdbba91qpK0=yr0RYxfr=Jbb
f9q8aq0=yq=He9q8qqQ8frFve9Fve9Ff0dmeaabaqaciaacaGaaeqa
baqabeGadaaakeaacqGHshI3caaMc8UaaGPaVlaaykW7ciGGJbGaai
4BaiaacohacaaIYaGaeqiUde3aaWbaaSqabeaacaGGQaaaaOGaeyyp
a0JaeyOeI0IaaGymaaaa@40E0@
 (5.20)

Матрица линеаризованной системы для этих положений равновесия выражается следующей формулой:

A= μ(1+γ)000O(ε)0 0μ(1+γ)0000 00μ(1+γ)0ε f 3 0 00μγ0ε f 3 0 0μγ 1cosρ sinρ 010O(ε) 00000ε f θθ
. MathType@MTEF@5@5@+=
feaahGart1ev3aaatCvAUfeBSjuyZL2yd9gzLbvyNv2Caerbov2D09
MBdbqedmvETj2BSbqefm0B1jxALjhiov2Daebbfv3ySLgzGueE0jxy
aibaieIcFHI8=fYJH8YrFfeuY=Hhbbf9v8aspq0xc9fs0xc9q8qqaq
Fn0dj9pwe9Q8vr0=yqqrpepae9pg0FirpepeKkFr0xfr=xfr=xb9ad
baqaaeGacaGaaiaabeqaamaabiabaaGcbqa4aiaahgeacqGH9aqpda
qadaabaeqabqaV=labgkHiTiabeY7aTjaacIcacaaIXaGaey4kaSIa
eq4SdCMaaiykaiaaykW7caaMc8UaaGPaVlaaykW7caaMc8UaaGPaVl
aaykW7caaMc8UaaGPaVlaaykW7caaMc8UaaGPaVlaaykW7caaIWaGa
aGPaVlaaykW7caaMc8UaaGPaVlaaykW7caaMc8UaaGPaVlaaykW7ca
aMc8UaaGPaVlaaykW7caaMc8UaaGPaVlaaykW7caaMc8UaaGPaVlaa
ykW7caaMc8UaaGPaVlaaykW7caaMc8UaaGPaVlaaicdacaaMc8UaaG
PaVlaaykW7caaMc8UaaGPaVlaaykW7caaMc8UaaGPaVlaaykW7caaM
c8UaaGPaVlaaykW7caaMc8UaaGPaVlaaykW7caaMc8UaaGPaVlaayk
W7caaMc8UaaGPaVlaaykW7caaIWaGaaGPaVlaaykW7caaMc8UaaGPa
VlaaykW7caaMc8UaaGPaVlaaykW7caaMc8UaaGPaVlaaykW7caaMc8
UaaGPaVlaaykW7caaMc8Uaam4taiaacIcacqaH1oqzcaGGPaGaaGPa
VlaaykW7caaMc8UaaGPaVlaaykW7caaMc8UaaGPaVlaaykW7caaMc8
UaaGPaVlaaykW7caaMc8UaaGPaVlaaicdaaeab8+VaaGPaVlaaykW7
caaMc8UaaGPaVlaaykW7caaMc8UaaGPaVlaaicdacaaMc8UaaGPaVl
aaykW7caaMc8UaaGPaVlaaykW7caaMc8UaaGPaVlaaykW7caaMc8Ua
aGPaVlaaykW7caaMc8UaeyOeI0IaeqiVd0MaaiikaiaaigdacqGHRa
WkcqaHZoWzcaGGPaGaaGPaVlaaykW7caaMc8UaaGPaVlaaykW7caaM
c8UaaGPaVlaaykW7caaMc8UaaGPaVlaaykW7caaMc8UaaGPaVlaayk
W7caaIWaGaaGPaVlaaykW7caaMc8UaaGPaVlaaykW7caaMc8UaaGPa
VlaaykW7caaMc8UaaGPaVlaaykW7caaMc8UaaGPaVlaaykW7caaMc8
UaaGPaVlaaykW7caaMc8UaaGPaVlaaykW7caaMc8UaaGimaiaaykW7
caaMc8UaaGPaVlaaykW7caaMc8UaaGPaVlaaykW7caaMc8UaaGPaVl
aaykW7caaMc8UaaGPaVlaaykW7caaMc8UaaGPaVlaaykW7caaMc8Ua
aGPaVlaaicdacaaMc8UaaGPaVlaaykW7caaMc8UaaGPaVlaaykW7ca
aMc8UaaGPaVlaaykW7caaMc8UaaGPaVlaaykW7caaMc8UaaGPaVlaa
ykW7caaMc8UaaGimaaqaeW7=caaMc8UaaGPaVlaaykW7caaMc8UaaG
PaVlaaykW7caaMc8UaaGimaiaaykW7caaMc8UaaGPaVlaaykW7caaM
c8UaaGPaVlaaykW7caaMc8UaaGPaVlaaykW7caaMc8UaaGPaVlaayk
W7caaMc8UaaGPaVlaaykW7caaMc8UaaGPaVlaaykW7caaMc8UaaGPa
VlaaykW7caaMc8UaaGPaVlaaykW7caaIWaGaaGPaVlaaykW7caaMc8
UaaGPaVlaaykW7caaMc8UaaGPaVlaaykW7caaMc8UaaGPaVlaaykW7
caaMc8UaeyOeI0IaeqiVd0MaaiikaiaaigdacqGHRaWkcqaHZoWzca
GGPaGaaGPaVlaaykW7caaMc8UaaGPaVlaaykW7caaMc8UaaGPaVlaa
ykW7caaMc8UaaGPaVlaaykW7caaIWaGaaGPaVlaaykW7caaMc8UaaG
PaVlaaykW7caaMc8UaaGPaVlaaykW7caaMc8UaaGPaVlaaykW7caaM
c8UaaGPaVlaaykW7caaMc8UaaGPaVlabew7aLjaaykW7caWGMbWaaS
baaSqaaiaaiodaaeqaaOGaaGPaVlaaykW7caaMc8UaaGPaVlaaykW7
caaMc8UaaGPaVlaaykW7caaMc8UaaGPaVlaaykW7caaMc8UaaGPaVl
aaicdaaeab8+VaaGPaVlaaykW7caaMc8UaaGPaVlaaykW7caaMc8Ua
aGPaVlaaicdacaaMc8UaaGPaVlaaykW7caaMc8UaaGPaVlaaykW7ca
aMc8UaaGPaVlaaykW7caaMc8UaaGPaVlaaykW7caaMc8UaaGPaVlaa
ykW7caaMc8UaaGPaVlaaykW7caaMc8UaaGPaVlaaykW7caaMc8UaaG
PaVlaaykW7caaMc8UaaGimaiaaykW7caaMc8UaaGPaVlaaykW7caaM
c8UaaGPaVlaaykW7caaMc8UaaGPaVlaaykW7caaMc8UaaGPaVlaayk
W7caaMc8UaaGPaVlaaykW7caaMc8UaaGPaVlaaykW7caaMc8UaaGPa
VlaaykW7cqaH8oqBcqaHZoWzcaaMc8UaaGPaVlaaykW7caaMc8UaaG
PaVlaaykW7caaMc8UaaGPaVlaaykW7caaMc8UaaGPaVlaaykW7caaM
c8UaaGPaVlaaykW7caaMc8UaaGPaVlaaykW7caaIWaGaaGPaVlaayk
W7caaMc8UaaGPaVlaaykW7caaMc8UaaGPaVlaaykW7caaMc8UaaGPa
VlaaykW7caaMc8UaeyOeI0IaeqyTduMaaGPaVlaadAgadaWgaaWcba
GaaG4maaqabaGccaaMc8UaaGPaVlaaykW7caaMc8UaaGPaVlaaykW7
caaMc8UaaGPaVlaaykW7caaMc8UaaGPaVlaaykW7caaMc8UaaGimaa
qaeW7=caaMc8UaaGPaVlaaykW7caaMc8UaaGPaVlaaykW7caaMc8Ua
aGimaiaaykW7caaMc8UaaGPaVlaaykW7caaMc8UaaGPaVlaaykW7ca
aMc8UaaGPaVlaaykW7caaMc8UaaGPaVlabeY7aTjabeo7aNjaaykW7
daWcaaqaaiaaigdacqGHsislciGGJbGaai4BaiaacohacqaHbpGCae
aaciGGZbGaaiyAaiaac6gacqaHbpGCaaGaaGPaVlaaykW7caaMc8Ua
aGPaVlaaykW7caaMc8UaaGPaVlaaykW7caaMc8UaaGPaVlaaykW7ca
aIWaGaaGPaVlaaykW7caaMc8UaaGPaVlaaykW7caaMc8UaaGPaVlaa
ykW7caaMc8UaaGPaVlaaykW7caaMc8UaaGPaVlaaykW7caaMc8UaaG
PaVlaaykW7caaMc8UaaGPaVlaaykW7caaMc8UaaGymaiaaykW7caaM
c8UaaGPaVlaaykW7caaMc8UaaGPaVlaaykW7caaMc8UaaGPaVlaayk
W7caaMc8UaaGPaVlaaykW7caaMc8UaaGPaVlaaykW7caaMc8UaaGPa
VlaaykW7caaIWaGaaGPaVlaaykW7caaMc8UaaGPaVlaaykW7caaMc8
UaaGPaVlaaykW7caaMc8UaaGPaVlaaykW7caaMc8UaaGPaVlaaykW7
caWGpbGaaiikaiabew7aLjaacMcacaaMc8oabqaV=laaykW7caaMc8
UaaGPaVlaaykW7caaMc8UaaGPaVlaaykW7caaIWaGaaGPaVlaaykW7
caaMc8UaaGPaVlaaykW7caaMc8UaaGPaVlaaykW7caaMc8UaaGPaVl
aaykW7caaMc8UaaGPaVlaaykW7caaMc8UaaGPaVlaaykW7caaMc8Ua
aGPaVlaaykW7caaMc8UaaGPaVlaaykW7caaMc8UaaGPaVlaaicdaca
aMc8UaaGPaVlaaykW7caaMc8UaaGPaVlaaykW7caaMc8UaaGPaVlaa
ykW7caaMc8UaaGPaVlaaykW7caaMc8UaaGPaVlaaykW7caaMc8UaaG
PaVlaaykW7caaMc8UaaGPaVlaaykW7caaMc8UaaGimaiaaykW7caaM
c8UaaGPaVlaaykW7caaMc8UaaGPaVlaaykW7caaMc8UaaGPaVlaayk
W7caaMc8UaaGPaVlaaykW7caaMc8UaaGPaVlaaykW7caaMc8UaaGPa
VlaaykW7caaMc8UaaGPaVlaaicdacaaMc8UaaGPaVlaaykW7caaMc8
UaaGPaVlaaykW7caaMc8UaaGPaVlaaykW7caaMc8UaaGPaVlaaykW7
caaMc8UaaGPaVlaaykW7caaMc8UaaGPaVlaaykW7caaIWaGaaGPaVl
aaykW7caaMc8UaaGPaVlaaykW7caaMc8UaaGPaVlaaykW7caaMc8Ua
aGPaVlaaykW7caaMc8UaaGPaVlaaykW7caaMc8UaeqyTduMaaGPaVl
aadAgadaWgaaWcbaGaeqiUdeNaeqiUdehabeaakiaaykW7aaGaayjk
aiaawMcaaiaac6caaaa@E886@
 (5.21)

Здесь

ε f 3 = m ¯
3 X = 3ε 4 cos2 X * (1+cosρ) 2 , MathType@MTEF@5@5@+=
feaahGart1ev3aaatCvAUfeBSjuyZL2yd9gzLbvyNv2Caerbov2D09
MBdbqedmvETj2BSbqeeuuDJXwAKbsr4rNCHbGeaGqik8fkY=xipgYl
h9vqqj=hEeeu0xXdi9arFj0xirFj0dXdbba91qpK0=yr0RYxfr=Jbb
f9q8aq0=yq=He9q8qqQ8frFve9Fve9Ff0dmeaabaqaciaacaGaaeqa
baqabeGadaaakeaacqaH1oqzcaWGMbWaaSbaaSqaaiaaiodaaeqaaO
GaaGjbVlabg2da9iabgkHiTmaalaaabaGaeyOaIyRabmyBayaaraWa
aSbaaSqaaiaaiodaaeqaaaGcbaGaeyOaIyRaamiwaaaacqGH9aqpda
WcaaqaaiaaiodacqaH1oqzaeaacaaI0aaaaiGacogacaGGVbGaai4C
aiaaikdacaWGybWaaWbaaSqabeaacaGGQaaaaOGaaiikaiaaigdacq
GHRaWkciGGJbGaai4BaiaacohacqaHbpGCcaGGPaWaaWbaaSqabeaa
caaIYaaaaOGaaiilaaaa@507A@
 (5.22)

ε f θθ = F θ θ = 3εμγ 6 cos 2 ρ2+8/3 (1+cosρ) 2 cos2 X * 8(1+ μ 2 (1+γ) 2 ) . MathType@MTEF@5@5@+=
feaahGart1ev3aaatCvAUfeBSjuyZL2yd9gzLbvyNv2Caerbov2D09
MBdbqedmvETj2BSbqeeuuDJXwAKbsr4rNCHbGeaGqik8fkY=xipgYl
h9vqqj=hEeeu0xXdi9arFj0xirFj0dXdbba91qpK0=yr0RYxfr=Jbb
f9q8aq0=yq=He9q8qqQ8frFve9Fve9Ff0dmeaabaqaciaacaGaaeqa
baqabeGadaaakeaacqaH1oqzcaWGMbWaaSbaaSqaaiabeI7aXjabeI
7aXbqabaGccaaMe8Uaeyypa0JaaGjbVpaalaaabaGaeyOaIyRaamOr
amaaBaaaleaacqaH4oqCaeqaaaGcbaGaeyOaIyRaeqiUdehaaiaays
W7cqGH9aqpcaaMe8+aaSaaaeaacaaIZaGaeqyTduMaeqiVd0Maeq4S
dC2aaeWabeaacaaI2aGaci4yaiaac+gacaGGZbWaaWbaaSqabeaaca
aIYaaaaOGaeqyWdiNaeyOeI0IaaGOmaiabgUcaRmaalyaabaGaaGio
aaqaaiaaiodaaaGaeyOeI0IaaiikaiaaigdacqGHRaWkciGGJbGaai
4BaiaacohacqaHbpGCcaGGPaWaaWbaaSqabeaacaaIYaaaaOGaci4y
aiaac+gacaGGZbGaaGOmaiaadIfadaahaaWcbeqaaiaacQcaaaaaki
aawIcacaGLPaaaaeaacaaI4aGaaiikaiaaigdacqGHRaWkcqaH8oqB
daahaaWcbeqaaiaaikdaaaGccaGGOaGaaGymaiabgUcaRiabeo7aNj
aacMcadaahaaWcbeqaaiaaikdaaaGccaGGPaaaaiaac6caaaa@73E5@
 (5.23)

Характеристический полином матрицы (5.21), в коэффициентах которого учтены только главные члены разложения по e, записывается в виде:

f(λ)= μ(1+γ)+λ 2 (λε f θ ) λ 3 + λ 2 μ(1+γ)+λε f 3 +με f 3 . MathType@MTEF@5@5@+=
feaahGart1ev3aaatCvAUfeBSjuyZL2yd9gzLbvyNv2Caerbov2D09
MBdbqedmvETj2BSbqeeuuDJXwAKbsr4rNCHbGeaGqik8fkY=xipgYl
h9vqqj=hEeeu0xXdi9arFj0xirFj0dXdbba91qpK0=yr0RYxfr=Jbb
f9q8aq0=yq=He9q8qqQ8frFve9Fve9Ff0dmeaabaqaciaacaGaaeqa
baqabeGadaaakeaacaWGMbGaaiikaiabeU7aSjaacMcacqGH9aqpda
qadaqaaiabeY7aTjaacIcacaaIXaGaey4kaSIaeq4SdCMaaiykaiab
gUcaRiabeU7aSbGaayjkaiaawMcaamaaCaaaleqabaGaaGOmaaaaki
aacIcacaaMc8Uaeq4UdWMaeyOeI0IaeqyTduMaaGPaVlaadAgadaWg
aaWcbaGaeqiUdehabeaakiaaykW7caGGPaWaaeWabeaacqaH7oaBda
ahaaWcbeqaaiaaiodaaaGccaaMc8Uaey4kaSIaeq4UdW2aaWbaaSqa
beaacaaIYaaaaOGaeqiVd0MaaiikaiaaigdacqGHRaWkcqaHZoWzca
GGPaGaey4kaSIaeq4UdWMaeqyTduMaaGjcVlaadAgadaWgaaWcbaGa
aG4maaqabaGccqGHRaWkcqaH8oqBcqaH1oqzcaaMi8UaamOzamaaBa
aaleaacaaIZaaabeaaaOGaayjkaiaawMcaaiaac6caaaa@6E2B@
 (5.24)

Отсюда на основании критерия Рауса MathType@MTEF@5@5@+=
feaahGart1ev3aqatCvAUfeBSjuyZL2yd9gzLbvyNv2Caerbov2D09
MBaeXatLxBI9gBaeXafv3ySLgzGmvETj2BSbqeeuuDJXwAKbsr4rNC
HbGeaGqipC0df9qqqrpepC0xbbL8F4rqqrFfpeea0de9Gq=Je9qspe
ea0xd9qs=xfrVkFHe9peei0dXdar=Jb9qqFfea0lrP0xe9Fve9Fve9
GapdbeqaaeGacaGaamaabeqaaeqabiabaaGcbaqefqvATv2CG4uz3b
IuV1wyUbacfaqcLbuaqaa6daaaOpWdbiaa=nbiaaa@4017@
Гурвица заключаем, что те из стационарных решений, для которых f3 > 0 и fθ < 0, асимптотически устойчивы, а решения, для которых f3 < 0 либо fθ > 0, неустойчивы.

Условия f3 > 0, f3 < 0 асимптотической устойчивости найденных стационарных решений на основании формул (5.20), (5.22) и (5.23) записываются в виде:

cos2 X * =1, MathType@MTEF@5@5@+=
feaahGart1ev3aaatCvAUfeBSjuyZL2yd9gzLbvyNv2Caerbov2D09
MBdbqedmvETj2BSbqeeuuDJXwAKbsr4rNCHbGeaGqik8fkY=xipgYl
h9vqqj=hEeeu0xXdi9arFj0xirFj0dXdbba91qpK0=yr0RYxfr=Jbb
f9q8aq0=yq=He9q8qqQ8frFve9Fve9Ff0dmeaabaqaciaacaGaaeqa
baqabeGadaaakeaaciGGJbGaai4BaiaacohacaaIYaGaamiwamaaCa
aaleqabaGaaiOkaaaakiaaykW7cqGH9aqpcaaIXaGaaiilaaaa@3A57@
  5 cos 2 ρ2cosρ1/3 <0. MathType@MTEF@5@5@+=
feaahGart1ev3aaatCvAUfeBSjuyZL2yd9gzLbvyNv2Caerbov2D09
MBdbqedmvETj2BSbqeeuuDJXwAKbsr4rNCHbGeaGqik8fkY=xipgYl
h9vqqj=hEeeu0xXdi9arFj0xirFj0dXdbba91qpK0=yr0RYxfr=Jbb
f9q8aq0=yq=He9q8qqQ8frFve9Fve9Ff0dmeaabaqaciaacaGaaeqa
baqabeGadaaakeaacaaI1aGaci4yaiaac+gacaGGZbWaaWbaaSqabe
aacaaIYaaaaOGaeqyWdiNaeyOeI0IaaGOmaiGacogacaGGVbGaai4C
aiabeg8aYjabgkHiTmaalyaabaGaaGymaaqaaiaaiodaaaGaeyipaW
JaaGimaiaac6caaaa@4276@
 (5.25)

Отсюда следует, что пространственные резонансные вращения спутника 1:1 асимптотически устойчивы в следующем интервале значений угла нутации r:

3 24 15 <cosρ< 3+ 24 15 MathType@MTEF@5@5@+=
feaahGart1ev3aaatCvAUfeBSjuyZL2yd9gzLbvyNv2Caerbov2D09
MBdbqedmvETj2BSbqeeuuDJXwAKbsr4rNCHbGeaGqik8fkY=xipgYl
h9vqqj=hEeeu0xXdi9arFj0xirFj0dXdbba91qpK0=yr0RYxfr=Jbb
f9q8aq0=yq=He9q8qqQ8frFve9Fve9Ff0dmeaabaqaciaacaGaaeqa
baqabeGadaaakeaadaWcaaqaaiaaiodacqGHsisldaGcaaqaaiaaik
dacaaI0aaaleqaaaGcbaGaaGymaiaaiwdaaaGaeyipaWJaci4yaiaa
c+gacaGGZbGaeqyWdiNaeyipaWZaaSaaaeaacaaIZaGaey4kaSYaaO
aaaeaacaaIYaGaaGinaaWcbeaaaOqaaiaaigdacaaI1aaaaaaa@4140@
  ρ 1 <ρ< ρ 2 ; MathType@MTEF@5@5@+=
feaahGart1ev3aaatCvAUfeBSjuyZL2yd9gzLbvyNv2Caerbov2D09
MBdbqedmvETj2BSbqeeuuDJXwAKbsr4rNCHbGeaGqik8fkY=xipgYl
h9vqqj=hEeeu0xXdi9arFj0xirFj0dXdbba91qpK0=yr0RYxfr=Jbb
f9q8aq0=yq=He9q8qqQ8frFve9Fve9Ff0dmeaabaqaciaacaGaaeqa
baqabeGadaaakeaacqGHshI3caaMb8UaaGzaVlaaygW7caaMc8UaaG
PaVlaaykW7cqaHbpGCdaWgaaWcbaGaaGymaaqabaGccaaMe8Uaeyip
aWJaeqyWdiNaeyipaWJaeqyWdi3aaSbaaSqaaiaaikdaaeqaaOGaai
4oaaaa@481D@
  ρ 1 1.0, ρ 2 1.7. MathType@MTEF@5@5@+=
feaahGart1ev3aaatCvAUfeBSjuyZL2yd9gzLbvyNv2Caerbov2D09
MBdbqedmvETj2BSbqeeuuDJXwAKbsr4rNCHbGeaGqik8fkY=xipgYl
h9vqqj=hEeeu0xXdi9arFj0xirFj0dXdbba91qpK0=yr0RYxfr=Jbb
f9q8aq0=yq=He9q8qqQ8frFve9Fve9Ff0dmeaabaqaciaacaGaaeqa
baqabeGadaaakeaacqaHbpGCdaWgaaWcbaGaaGymaaqabaGccaaMe8
UaeyisISRaaGymaiaac6cacaaIWaGaaiilaiaaykW7caaMc8UaaGPa
VlaaykW7cqaHbpGCdaWgaaWcbaGaaGOmaaqabaGccaaMe8UaeyisIS
RaaGymaiaac6cacaaI3aGaaiOlaaaa@48CC@
 (5.26)

Вне этого интервала резонансные вращения (5.20) неустойчивы.

Отметим, что согласно формулам (5.20), резонансные движения 1:1 для динамически симметричного спутника представляют собой вращения вокруг оси, лежащей в экваториальной плоскости эллипсоида инерции спутника.

Оценим интервалы значений угла нутации r, где существуют исследуемые резонансные вращения 1:1. Положим, что в правой части уравнения (5.16) O(ε) = aε, где a MathType@MTEF@5@5@+=
feaahGart1ev3aqatCvAUfeBSjuyZL2yd9gzLbvyNv2Caerbov2D09
MBaeXatLxBI9gBaeXafv3ySLgzGmvETj2BSbqeeuuDJXwAKbsr4rNC
HbGeaGqipC0df9qqqrpepC0xbbL8F4rqqrFfpeea0de9Gq=Je9qspe
ea0xd9qs=xfrVkFHe9peei0dXdar=Jb9qqFfea0lrP0xe9Fve9Fve9
GapdbeqaaeGacaGaamaabeqaaeqabiabaaGcbaGaeyiyIKlaaa@38F9@
 0 MathType@MTEF@5@5@+=
feaahGart1ev3aqatCvAUfeBSjuyZL2yd9gzLbvyNv2Caerbov2D09
MBaeXatLxBI9gBaeXafv3ySLgzGmvETj2BSbqeeuuDJXwAKbsr4rNC
HbGeaGqipC0df9qqqrpepC0xbbL8F4rqqrFfpeea0de9Gq=Je9qspe
ea0xd9qs=xfrVkFHe9peei0dXdar=Jb9qqFfea0lrP0xe9Fve9Fve9
GapdbeqaaeGacaGaamaabeqaaeqabiabaaGcbaqefqvATv2CG4uz3b
IuV1wyUbacfaqcLbuaqaa6daaaOpWdbiaa=nbiaaa@4017@
 некоторая ограниченная величина. Тогда получим уравнение si n 2 θ * sin 2 X * 1 + cosρ 2 =aε MathType@MTEF@5@5@+=
feaahGart1ev3aaatCvAUfeBSjuyZL2yd9gzLbvyNv2Caerbov2D09
MBaeXatLxBI9gBaeXafv3ySLgzGmvETj2BSbqeeuuDJXwAKbsr4rNC
HbGeaGqipC0df9qqqrpepC0xbbL8F4rqqrFfpeea0de9Gq=Je9qspe
ea0xd9qs=xfrVkFHe9peei0dXdar=Jb9qqFfea0lrP0xe9Fve9Fve9
GapdbeqaaeGacaGaamaabeqaaeqabiabaaGcbaaeaaaaaaaaa8qaca
WGZbGaamyAaiaad6gapaWaaWbaaSqabeaapeGaaGOmaaaakiabeI7a
X9aadaahaaWcbeqaa8qacaGGQaaaaOGaam4CaiaadMgacaWGUbGaae
iiaiaaikdacaWGybWdamaaCaaaleqabaWdbiaacQcaaaGcpaWaaeWa
aeaapeGaaGymaiaabccacqGHRaWkcaqGGaGaam4yaiaad+gacaWGZb
GaeqyWdihapaGaayjkaiaawMcaamaaCaaaleqabaWdbiaaikdaaaGc
cqGH9aqpcaWGHbGaeqyTdugaaa@51D3@
. Это уравнение не имеет решений, если
1 + cosρ 2 <aε MathType@MTEF@5@5@+=
feaahGart1ev3aaatCvAUfeBSjuyZL2yd9gzLbvyNv2Caerbov2D09
MBaeXatLxBI9gBaeXafv3ySLgzGmvETj2BSbqeeuuDJXwAKbsr4rNC
HbGeaGqipC0df9qqqrpepC0xbbL8F4rqqrFfpeea0de9Gq=Je9qspe
ea0xd9qs=xfrVkFHe9peei0dXdar=Jb9qqFfea0lrP0xe9Fve9Fve9
GapdbeqaaeGacaGaamaabeqaaeqabiabaaGcbaWaaeWaaeaaqaaaaa
aaaaWdbiaaigdacaqGGaGaey4kaSIaaeiiaiaadogacaWGVbGaam4C
aiabeg8aYbWdaiaawIcacaGLPaaadaahaaWcbeqaa8qacaaIYaaaaO
GaeyipaWJaamyyaiabew7aLbaa@44F4@
, т.е. для следующих значений ρ:  πρ 4 < 4ε a MathType@MTEF@5@5@+=
feaahGart1ev3aaatCvAUfeBSjuyZL2yd9gzLbvyNv2Caerbov2D09
MBaeXatLxBI9gBaeXafv3ySLgzGmvETj2BSbqeeuuDJXwAKbsr4rNC
HbGeaGqipC0df9qqqrpepC0xbbL8F4rqqrFfpeea0de9Gq=Je9qspe
ea0xd9qs=xfrVkFHe9peei0dXdar=Jb9qqFfea0lrP0xe9Fve9Fve9
GapdbeqaaeGacaGaamaabeqaaeqabiabaaGcbaaeaaaaaaaaa8qacq
aHbpGCcaGG6aGaaeiia8aadaqadaqaa8qacqaHapaCcaGGtaIaeqyW
dihapaGaayjkaiaawMcaamaaCaaaleqabaWdbiaaisdaaaGccqGH8a
apcaqGGaGaaGinaiabew7aL9aadaabdaqaa8qacaWGHbaapaGaay5b
SlaawIa7aaaa@49A4@
. Таким образом, интервал значений угла нутации r, где существуют резонансные вращения 1:1 для динамически симметричного спутника, описывается формулой:

0ρ<π ρ * , MathType@MTEF@5@5@+=
feaahGart1ev3aaatCvAUfeBSjuyZL2yd9gzLbvyNv2Caerbov2D09
MBdbqedmvETj2BSbqeeuuDJXwAKbsr4rNCHbGeaGqik8fkY=xipgYl
h9vqqj=hEeeu0xXdi9arFj0xirFj0dXdbba91qpK0=yr0RYxfr=Jbb
f9q8aq0=yq=He9q8qqQ8frFve9Fve9Ff0dmeaabaqaciaacaGaaeqa
baqabeGadaaakeaacaaIWaGaeyizImQaeqyWdiNaeyipaWJaeqiWda
NaeyOeI0IaeqyWdi3aaWbaaSqabeaacGaGulOkaaaakiaaygW7caGG
Saaaaa@3F22@
 где ρ * ε 1/4 . MathType@MTEF@5@5@+=
feaahGart1ev3aaatCvAUfeBSjuyZL2yd9gzLbvyNv2Caerbov2D09
MBdbqedmvETj2BSbqeeuuDJXwAKbsr4rNCHbGeaGqik8fkY=xipgYl
h9vqqj=hEeeu0xXdi9arFj0xirFj0dXdbba91qpK0=yr0RYxfr=Jbb
f9q8aq0=yq=He9q8qqQ8frFve9Fve9Ff0dmeaabaqaciaacaGaaeqa
baqabeGadaaakeaacqaHbpGCdGaGiZbaaSqajaiYbGaGilacaISGQa
aaaOGaaGPaVlabgYJi+jabew7aLnaaCaaaleqabaGaaGymaiaac+ca
caaI0aaaaOGaaiOlaaaa@409E@
 (5.27)

Из этой формулы следует, что нет резонансных вращений для значений r, близких к p, т.е. для движений, близких к “обратным” вращениям спутника.

На рис. 5, a, b изображены типичные графики поведения переменных θ и X = ψ MathType@MTEF@5@5@+=
feaahGart1ev3aqatCvAUfeBSjuyZL2yd9gzLbvyNv2Caerbov2D09
MBaeXatLxBI9gBaeXafv3ySLgzGmvETj2BSbqeeuuDJXwAKbsr4rNC
HbGeaGqipC0df9qqqrpepC0xbbL8F4rqqrFfpeea0de9Gq=Je9qspe
ea0xd9qs=xfrVkFHe9peei0dXdar=Jb9qqFfea0lrP0xe9Fve9Fve9
GapdbeqaaeGacaGaamaabeqaaeqabiabaaGcbaqefqvATv2CG4uz3b
IuV1wyUbacfaqcLbuaqaa6daaaOpWdbiaa=nbiaaa@4017@
 (τ MathType@MTEF@5@5@+=
feaahGart1ev3aqatCvAUfeBSjuyZL2yd9gzLbvyNv2Caerbov2D09
MBaeXatLxBI9gBaeXafv3ySLgzGmvETj2BSbqeeuuDJXwAKbsr4rNC
HbGeaGqipC0df9qqqrpepC0xbbL8F4rqqrFfpeea0de9Gq=Je9qspe
ea0xd9qs=xfrVkFHe9peei0dXdar=Jb9qqFfea0lrP0xe9Fve9Fve9
GapdbeqaaeGacaGaamaabeqaaeqabiabaaGcbaqefqvATv2CG4uz3b
IuV1wyUbacfaqcLbuaqaa6daaaOpWdbiaa=nbiaaa@4017@
 σ) в зависимости от угла нутации r на резонансных вращениях 1:1. Эти графики построены по результатам численного интегрирования точных уравнений движения спутника (3.4) MathType@MTEF@5@5@+=
feaahGart1ev3aqatCvAUfeBSjuyZL2yd9gzLbvyNv2Caerbov2D09
MBaeXatLxBI9gBaeXafv3ySLgzGmvETj2BSbqeeuuDJXwAKbsr4rNC
HbGeaGqipC0df9qqqrpepC0xbbL8F4rqqrFfpeea0de9Gq=Je9qspe
ea0xd9qs=xfrVkFHe9peei0dXdar=Jb9qqFfea0lrP0xe9Fve9Fve9
GapdbeqaaeGacaGaamaabeqaaeqabiabaaGcbaqefqvATv2CG4uz3b
IuV1wyUbacfaqcLbuaqaa6daaaOpWdbiaa=nbiaaa@4017@
(3.11). Здесь стрелками показано направление эволюции.

 

Рис. 5. Резонансные вращения 1:1.

 

Графики полностью подтверждают полученные выше выводы о существовании асимптотически устойчивых резонансных вращений спутника 1:1 и формулы (5.20) для значений переменных θ и X = ψ MathType@MTEF@5@5@+=
feaahGart1ev3aqatCvAUfeBSjuyZL2yd9gzLbvyNv2Caerbov2D09
MBaeXatLxBI9gBaeXafv3ySLgzGmvETj2BSbqeeuuDJXwAKbsr4rNC
HbGeaGqipC0df9qqqrpepC0xbbL8F4rqqrFfpeea0de9Gq=Je9qspe
ea0xd9qs=xfrVkFHe9peei0dXdar=Jb9qqFfea0lrP0xe9Fve9Fve9
GapdbeqaaeGacaGaamaabeqaaeqabiabaaGcbaqefqvATv2CG4uz3b
IuV1wyUbacfaqcLbuaqaaaaaaaaaWdbiaa=nbiaaa@3E41@
 (τ MathType@MTEF@5@5@+=
feaahGart1ev3aqatCvAUfeBSjuyZL2yd9gzLbvyNv2Caerbov2D09
MBaeXatLxBI9gBaeXafv3ySLgzGmvETj2BSbqeeuuDJXwAKbsr4rNC
HbGeaGqipC0df9qqqrpepC0xbbL8F4rqqrFfpeea0de9Gq=Je9qspe
ea0xd9qs=xfrVkFHe9peei0dXdar=Jb9qqFfea0lrP0xe9Fve9Fve9
GapdbeqaaeGacaGaamaabeqaaeqabiabaaGcbaqefqvATv2CG4uz3b
IuV1wyUbacfaqcLbuaqaaaaaaaaaWdbiaa=nbiaaa@3E41@
 σ) на этих вращениях.

Из графиков видно, что правая граница интервала асимптотической устойчивости резонансных вращений 1:1 хорошо согласуется со значением ρ2 = 1.7 из формулы (5.26). Вычисленная же из графиков левая граница этого интервала составляет ρ1 - 0.8 и немного отличается от значения ρ1 = 1.0 формулы (5.26). Но это небольшое различие объяснимо. Когда в процессе эволюции значение угла нутации становится меньше, чем ρ1 = 1.0, стационарные решения θ*(ρ), X *(ρ) не исчезают, а только становятся неустойчивыми, т.е. имеет место “мягкая” потеря устойчивости. В таких случаях заметный уход из окрестности неустойчивого решения наблюдается с некоторой задержкой по времени Δτ, что на графиках проявляется в смещении границы ρ1 влево на некоторую величину Δr1.

Следует отметить, что в рассматриваемой задаче численным интегрированием уравнений движения спутника устойчивые резонансные вращения 1:1 можно обнаружить только соответствующим подбором начальных условий, а именно: начальное значение U должно быть близким к U* = 1, а начальное значение θ  MathType@MTEF@5@5@+=
feaahGart1ev3aqatCvAUfeBSjuyZL2yd9gzLbvyNv2Caerbov2D09
MBaeXatLxBI9gBaeXafv3ySLgzGmvETj2BSbqeeuuDJXwAKbsr4rNC
HbGeaGqipC0df9qqqrpepC0xbbL8F4rqqrFfpeea0de9Gq=Je9qspe
ea0xd9qs=xfrVkFHe9peei0dXdar=Jb9qqFfea0lrP0xe9Fve9Fve9
GapdbeqaaeGacaGaamaabeqaaeqabiabaaGcbaqefqvATv2CG4uz3b
IuV1wyUbacfaqcLbuaqaa6daaaOpWdbiaa=nbiaaa@4017@
 близким к θ* = π/2. Если же начальные условия не удовлетворяют указанным требованиям, то спутник быстро переходит в режим устойчивого нерезонансного вращения, где θ=O(ε), а этот режим является устойчивым для всех значений U из окрестности U*=1. Иначе говоря, в отличие от резонансов 2:1, резонансные вращения 1:1 для симметричного спутника изолированы от нерезонансных вращений в том смысле, что спутник, эволюционирующий в режиме нерезонансного вращения, не может перейти в режим резонансного вращения 1:1.

Заключение. В работе получены уравнения вращательного движения динамически симметричного спутника с шаровым демпфером на эллиптической орбите и проведено детальное исследование пространственных резонансных вращений на круговой орбите. Установлено, что для спутника, “сплюснутого” вдоль оси симметрии, на круговой орбите существуют асимптотически устойчивые пространственные резонансные вращения 2:1 и 1:1. Эти резонансные вращения обусловлены синхронизацией между вращательным движением спутника и движением его центра масс и представляют собой эволюционирующие процессы, в которых величина угловой скорости спутника остается практически неизменной, равной угловой скорости орбитального базиса для резонанса 1:1 и удвоенной угловой скорости орбитального базиса для резонанса 2:1, а ось вращения спутника монотонно поворачивается в сторону нормали к плоскости орбиты. Определены интервалы значений угла нутации, в пределах которых существуют пространственные резонансные вращения 2:1 и 1:1, а также интервалы, в пределах которых эти резонансные вращения асимптотически устойчивы.

 

Аналитические выводы работы подтверждаются результатами компьютерного моделирования.

×

About the authors

N. I. Amel’kin

Moscow Institute of Physics and Technology

Author for correspondence.
Email: namelkin@mail.ru
Russian Federation, Moscow

References

  1. Amel’kin N.I. The asymptotic properties of the motions of satellites in a central field due to internal dissipation // J. Appl. Math. Mech. 2011. V. 75. № 2. P. 140–153. https://doi.org/10.1016/j.jappmathmech.2011.05.003
  2. Amel’kin N.I., Kholoshchak V.V. Stability of the steady rotations of a satellite with internal damping in a central gravitational field // J. Appl. Math. Mech. 2017. V. 81. № 2. P. 85–94. https://doi.org/10.1016/j.jappmathmech.2017.08.002
  3. Amel’kin N.I., Kholoshchak V.V. Steady rotations of a satellite with internal elastic and dissipative forces // J. Appl. Math. Mech. 2017. V. 81. № 6. P. 431–441. https://doi.org/10.1016/j.jappmathmech.2018.03.011
  4. Amel’kin N.I., Kholoshchak V.V. Evolution of the rotational movement of a dynamically symmetric satellite with inner damping in a circular orbit // Mech. Solids. 2019. V. 54. № 2. P. 179–189. https://doi.org/10.3103/S0025654419030014
  5. Amel’kin N.I., Kholoshchak V.V. Rotational motion of a non-symmetrical satellite with a damper in a circular orbit // Mech. Solids. 2019. V. 54. № 2. P. 190–203. https://doi.org/10.3103/S0025654419030026
  6. Amel’kin N.I. Evolution of the rotational motion of a planet in a circular orbit under the influence of internal elastic and dissipative forces // Mech. Solids. 2020. V. 55. № 2. P. 234–247. https://doi.org/10.3103/S0025654420020053
  7. Amel’kin N.I. Evolution of rotational motion of the planet Earth under the influence of internal dissipative forces // Cosmic Res. 2023. V. 61. № 6. P. 510–521. https://doi.org/10.1134/S001095252370051X
  8. Amel’kin N.I. On the plane resonant rotations of a satellite with a spherical damper in an elliptical orbit // Mech. Solids. 2022. V. 57. № 7. P. 1644–1656. https://doi.org/10.31857/S003282352203002X
  9. Beletskii V.V. Motion of a Satellite with Respect to Center of Mass in Gravitational Field. Moscow: Izd. MGU, 1975 (in Russian).
  10. Bogolyubov N.N., Mitropol’skii Yu.A. Asymptotic Methods for Theory of Nonlinear Oscillations. Moscow: Nauka, 1974 (in Russian).
  11. Zhuravlev V.Ph., Klimov D.M. Applied Methods for Oscillations Theory. Moscow: Nauka, 1988 (in Russian).
  12. Tikhonov A.N. Systems of differential equations containing small parameters at derivatives // Math. collection. 1952. V. 73. № 3. P. 575–586 (in Russian).

Supplementary files

Supplementary Files
Action
1. JATS XML
2. Fig. 1. Euler angles.

Download (79KB)
3. Fig. 2 (end). Beletsky–Chernousko variables.

Download (222KB)
4. Fig. 3. Phase trajectories.

Download (129KB)
5. Fig. 4. Resonant rotations 2:1.

Download (173KB)
6. Fig. 5. Resonant rotations 1:1.

Download (68KB)

Copyright (c) 2024 Russian Academy of Sciences

Согласие на обработку персональных данных с помощью сервиса «Яндекс.Метрика»

1. Я (далее – «Пользователь» или «Субъект персональных данных»), осуществляя использование сайта https://journals.rcsi.science/ (далее – «Сайт»), подтверждая свою полную дееспособность даю согласие на обработку персональных данных с использованием средств автоматизации Оператору - федеральному государственному бюджетному учреждению «Российский центр научной информации» (РЦНИ), далее – «Оператор», расположенному по адресу: 119991, г. Москва, Ленинский просп., д.32А, со следующими условиями.

2. Категории обрабатываемых данных: файлы «cookies» (куки-файлы). Файлы «cookie» – это небольшой текстовый файл, который веб-сервер может хранить в браузере Пользователя. Данные файлы веб-сервер загружает на устройство Пользователя при посещении им Сайта. При каждом следующем посещении Пользователем Сайта «cookie» файлы отправляются на Сайт Оператора. Данные файлы позволяют Сайту распознавать устройство Пользователя. Содержимое такого файла может как относиться, так и не относиться к персональным данным, в зависимости от того, содержит ли такой файл персональные данные или содержит обезличенные технические данные.

3. Цель обработки персональных данных: анализ пользовательской активности с помощью сервиса «Яндекс.Метрика».

4. Категории субъектов персональных данных: все Пользователи Сайта, которые дали согласие на обработку файлов «cookie».

5. Способы обработки: сбор, запись, систематизация, накопление, хранение, уточнение (обновление, изменение), извлечение, использование, передача (доступ, предоставление), блокирование, удаление, уничтожение персональных данных.

6. Срок обработки и хранения: до получения от Субъекта персональных данных требования о прекращении обработки/отзыва согласия.

7. Способ отзыва: заявление об отзыве в письменном виде путём его направления на адрес электронной почты Оператора: info@rcsi.science или путем письменного обращения по юридическому адресу: 119991, г. Москва, Ленинский просп., д.32А

8. Субъект персональных данных вправе запретить своему оборудованию прием этих данных или ограничить прием этих данных. При отказе от получения таких данных или при ограничении приема данных некоторые функции Сайта могут работать некорректно. Субъект персональных данных обязуется сам настроить свое оборудование таким способом, чтобы оно обеспечивало адекватный его желаниям режим работы и уровень защиты данных файлов «cookie», Оператор не предоставляет технологических и правовых консультаций на темы подобного характера.

9. Порядок уничтожения персональных данных при достижении цели их обработки или при наступлении иных законных оснований определяется Оператором в соответствии с законодательством Российской Федерации.

10. Я согласен/согласна квалифицировать в качестве своей простой электронной подписи под настоящим Согласием и под Политикой обработки персональных данных выполнение мною следующего действия на сайте: https://journals.rcsi.science/ нажатие мною на интерфейсе с текстом: «Сайт использует сервис «Яндекс.Метрика» (который использует файлы «cookie») на элемент с текстом «Принять и продолжить».