Mechanical System Showing "Catastrophic Behavior"
- Авторлар: Moshinskii A.I.1
-
Мекемелер:
- Saint Petersburg State Chemical and Pharmaceutical University
- Шығарылым: № 4 (2023)
- Беттер: 83-96
- Бөлім: Articles
- URL: https://bakhtiniada.ru/1026-3519/article/view/137535
- DOI: https://doi.org/10.31857/S0572329923700034
- EDN: https://elibrary.ru/JMWCCY
- ID: 137535
Дәйексөз келтіру
Толық мәтін
Аннотация
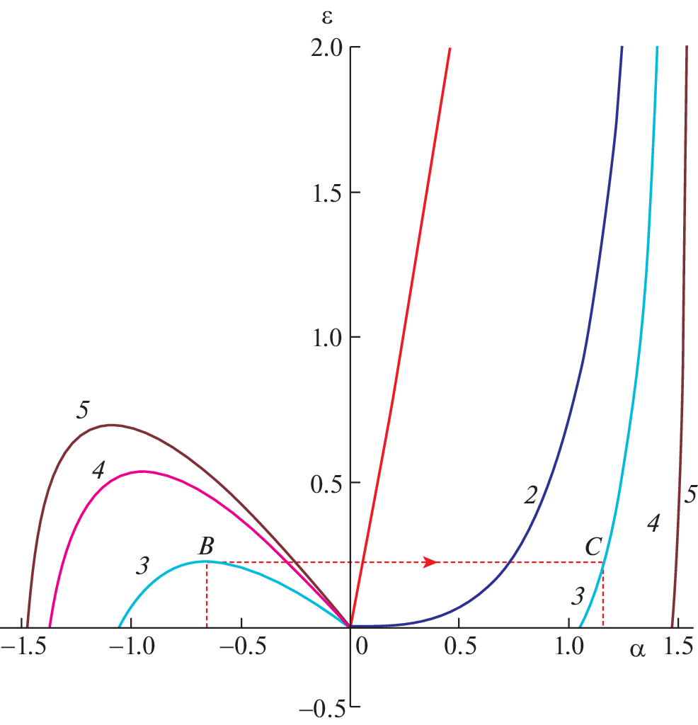
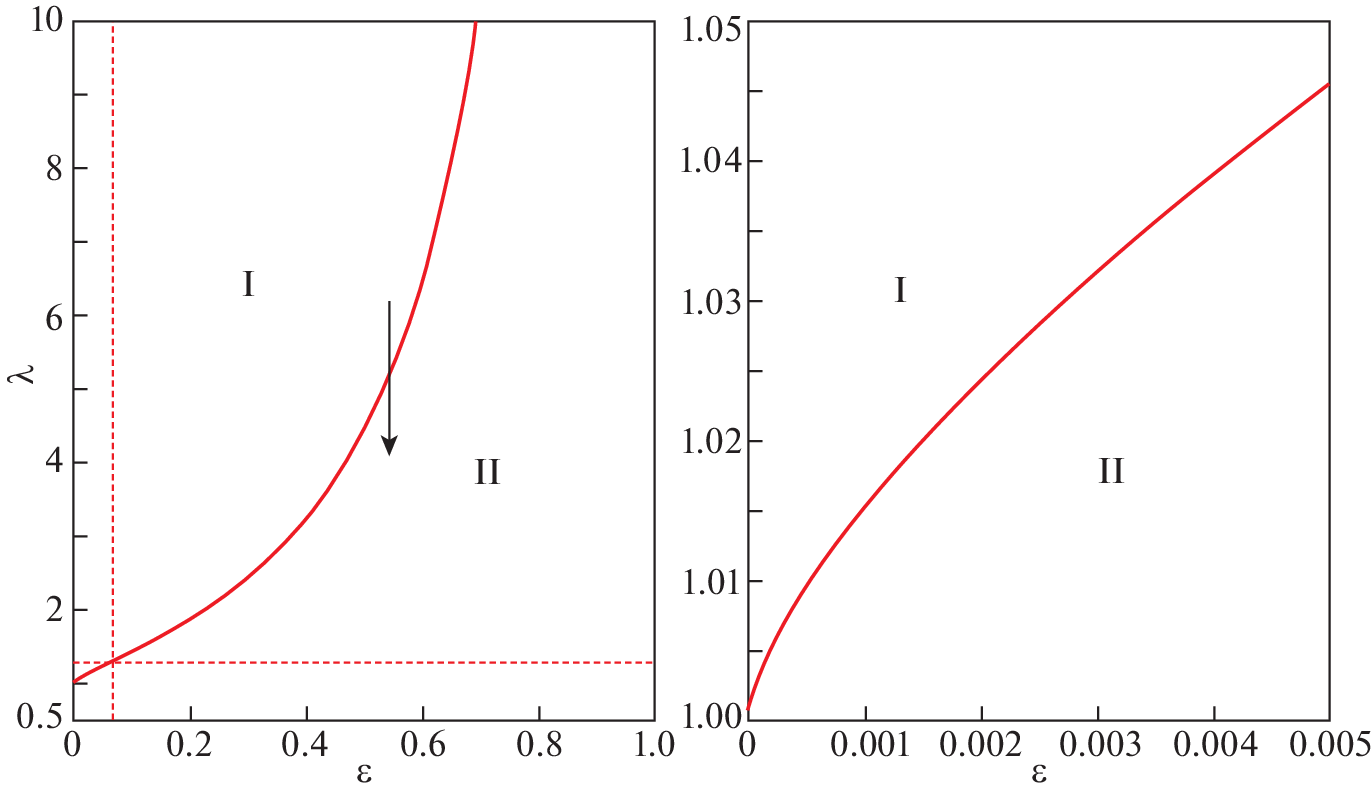
The behavior of a mechanical system when the parameters characterizing it change is investigated. The analysis shows that stepwise changes (catastrophes) occur in the system in a certain area of control parameters. The considered problem admits an exact (global) analysis of the catastrophe, without involving various expansions and assumptions. The proposed mechanical design can serve to demonstrate the occurrence of a catastrophe.
Негізгі сөздер
Авторлар туралы
A. Moshinskii
Saint Petersburg State Chemical and Pharmaceutical University
Хат алмасуға жауапты Автор.
Email: alex-moshinskij@yandex.ru
St. Petersburg, 197022 Russia
Әдебиет тізімі
- Арнольд В.И. Теория катастроф. Изд. 3-е, доп. М.: Наука, 1990. 128 с.
- Алексеев Ю.К., Сухоруков А.П. Введение в теорию катастроф: учебное пособие. Изд. 2‑е, доп. М.: Книжный дом “Либроком”, 2009. 184 с.
- Постон Т., Стюарт И. Теория катастроф и ее приложения. М.: Мир, 1980. 608 с.
- Малинецкий Г.Г. Математические основы синергетики: Хаос, структуры, вычислительный эксперимент. Изд. 5-е. М.: Книжный дом “Либроком”, 2007. 312 с.
- Буховцев Б.Б., Кривченков В.Д., Мякишев Г.Я., Сараева И.М. Сборник задач по элементарной физике. М.: Наука, 1974. 416 с.
- Гилмор Р. Прикладная теория катастроф. Т. 1. М.: Мир, 1984. 350 с.
- Арнольд В.И. Математические методы классической механики. Изд. 3-е, перераб. и доп. М.: Наука, 1989. 472 с.
- Арнольд В.И. Вещественная алгебраическая геометрия. М.: МЦНМО, 2009. 88 с.
- Курош А.Г. Курс высшей алгебры. 9-е изд. М.: Наука, 1968. 431 с.
- Томпсон Дж.М.Т. Неустойчивости и катастрофы в науке и технике. М.: Мир, 1985. 254 с.
Қосымша файлдар














