Viscoplastic Flow in the Material of a Cylindrical Layer Suspended on a Rigid Shaft under the Conditions of Its Variable Rotation
- Authors: Firsov S.V.1
-
Affiliations:
- Institute of Mechanical Engineering and Metallurgy of the Far East Branch of the Russian Academy of Sciences
- Issue: No 2 (2023)
- Pages: 136-146
- Section: Articles
- URL: https://bakhtiniada.ru/1026-3519/article/view/137512
- DOI: https://doi.org/10.31857/S0572329922600359
- EDN: https://elibrary.ru/DFVULC
- ID: 137512
Cite item
Full Text
Abstract
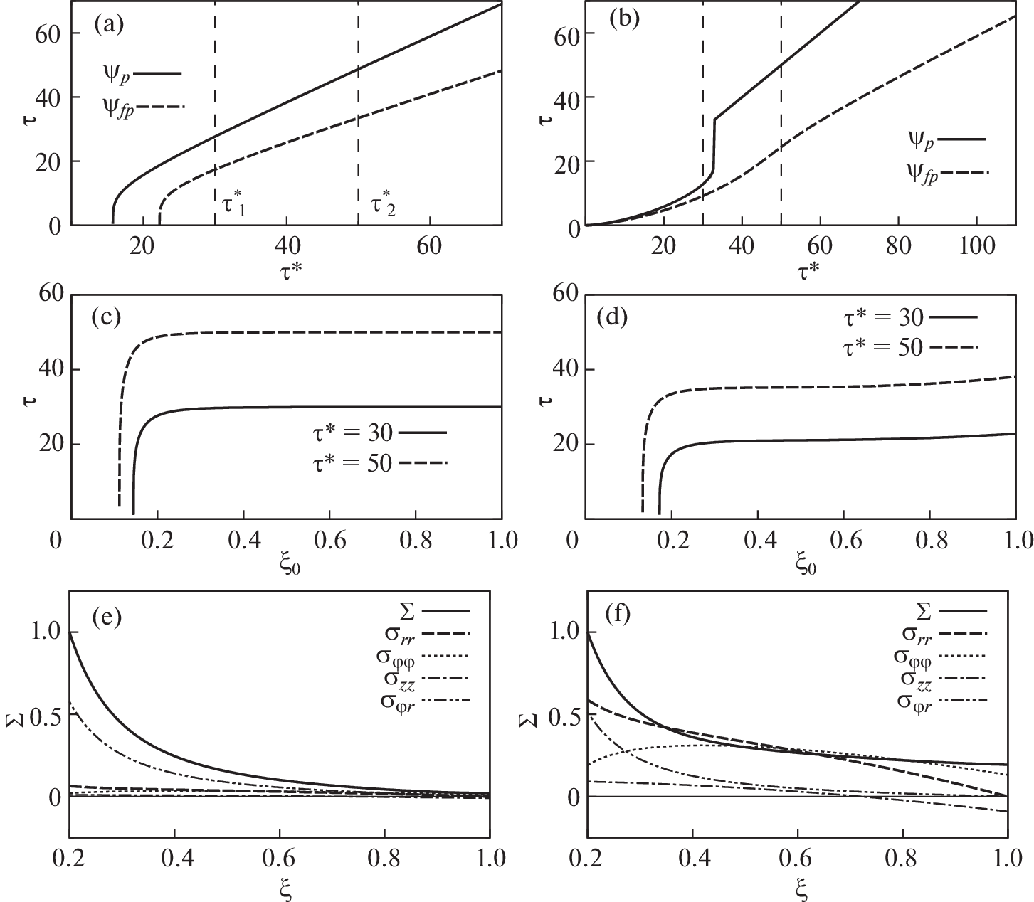
The development of viscoplastic flow in the material of a cylindrical layer placed on a rigid cylindrical shaft and rotating with it around their common axis is calculated. Depending on the increasing speed of rotation up to the maximum, the place and time points of the beginning of the viscoplastic flow, the patterns of propagation of the flow area, the changing strains and stresses in the deformable material are determined. As a condition for viscoplastic flow, the corresponding generalization of the condition for maximum octahedral stresses is taken. For the purposes of testing the calculation programs, an exact solution of the problem of a steady viscoplastic flow of a material during rotation of a compound cylinder at a constant speed has been obtained.
About the authors
S. V. Firsov
Institute of Mechanical Engineering and Metallurgy of the Far East Branch of the Russian Academy of Sciences
Author for correspondence.
Email: firsov.s.new@yandex.ru
Komsomolsk-na-Amure, 681005 Russia
References
- Работнов Ю.Н. Ползучесть элементов конструкций. М.: Наука, 2014. 752 p.
- Nadai A. Theory of Flow and Fracture of Solids. McGraw Hill, 1950. 572 p.
- Gamer U., Sayir M. Elastic-plastic stress distribution in a rotating solid shaft // ZAMP. 1984. V. 35. № 5. P. 601–617. https://doi.org/10.1007/BF00952107
- Mack W. The rotating elastic-plastic solid shaft with free ends // Tech. Mech. 1991. № 12. P. 119–124.
- Mack W. Rotating elastic-plastic tube with free ends // Int. J. Solids Struct. 1991. V. 27. № 11. P. 1461–1476. https://doi.org/10.1016/0020-7683(91)90042-E
- Gamer U., Mack W., Varga I. Rotating elastic-plastic solid shaft with fixed ends // Int. J. Eng. Sci. 1997. V. 35. № 3. P. 253–267. https://doi.org/10.1016/S0020-7225(96)00085-7
- Прокудин А.Н., Фирсов С.В. Вязкопластическое течение вращающегося полого цилиндра // Дальневосточный математический журнал. 2018. V. 18. № 2. P. 242–260.
- Прокудин А.Н., Буренин А.А. Упругопластическое деформирование вращающегося сплошного цилиндра из линейно-упрочняющегося материала // ПММ. 2021. V. 85. № 2. P. 172–192. https://doi.org/10.31857/S0032823521020077
- Прокудин А.Н., Буренин А.А. Анализ упругопластического деформирования вращающегося сплошного цилиндра при общем кусочно-линейном условии пластичности // ПМТФ. 2021. V. 62. № 5 (369). P. 68–79. https://doi.org/10.15372/PMTF20210507
- Begun A.S., Burenin A.A., Kovtanyuk L.V., Prokudin A.N. Irreversible deformation of a rotating disk having angular acceleration // Acta Mech. 2021. V. 232. № 5. P. 1917–1931. https://doi.org/10.1007/s00707-021-02942-5
- Firsov S.V., Prokudin A.N., Burenin A.A. Creep and plastic flow in a rotating cylinder with a rigid inclusion // J. Appl. Industr. Math. 2019. V. 13. № 4. P. 642–652. https://doi.org/10.1134/S199047891904001X
- Быковцев Г.И., Ивлев Д.Д. Теория пластичности. Владивосток: Дальнаука, 1998. 528 p.
- Мосолов П.П., Мясников В.П. Механика жесткопластических сред. М.: Наука, 1988. 208 p.
- Ковтанюк Л.В., Шитиков А.В. О теории больших упругопластических деформаций материалов при учете температурных и реологических эффектов // Вестник ДВО РАН. 2006. № 4. P. 87–93.
Supplementary files





