Systematic-ecological estimation of seasonal activity of dehydrogenase in drained swamp soils of interstream of Ob and Tom
- Authors: Efremova T.T.1, Efremov S.P.1, Avrova A.F.1
-
Affiliations:
- Sukachev Institute of Forest, Krasnoyarsk Science Center, Siberian Branch of the Russian Academy of Sciences
- Issue: No 4 (2024)
- Pages: 512-523
- Section: ECOLOGY
- URL: https://bakhtiniada.ru/1026-3470/article/view/267416
- DOI: https://doi.org/10.31857/S1026347024040085
- EDN: https://elibrary.ru/VHGYPM
- ID: 267416
Cite item
Full Text
Abstract
Drained peat soils (Histosols) were studied. In the mode of weak and moderate drainage, the trend of seasonal fluctuations (quadratic parabola) shows a weekly average increase in dehydrogenase activity with a weekly average deceleration, in the intensive mode – a weekly average deceleration with a weekly acceleration for June–October. A reliable nonlinear relationship of enzyme activity was revealed: positive – with redox potential and pH, multidirectional – with soil bulk moisture and soil temperature. According to canonical analysis, the discussed set cumulatively determines the seasonal dehydrogenase activity by 50–81%. The hydrological regime is statistically proved as a dominant factor. A negative conjugate interaction of dehydrogenase and peroxidase activity has been established, confirming their participation in the biochemical transformation of organic matter as a whole.
Full Text
Темпы минерализации органического вещества и процессы гумификации определяют продуктивность и характер дальнейшего функционирования осушенных болот как целостной экологической системы. Процессы, протекающие в почве, особенно в ее органической части, неизменно связаны с действием почвенного энзиматического комплекса, который выполняет функции катализатора биогеохимических процессов, обеспечивает взаимодействие экологических факторов и характеризует качественное состояние почв (Купревич, Щербакова, 1966; Хазиев, 1982; Allison, 2006; Makoi, Mdakidemi, 2008; Karaca et al., 2011). Большую роль в превращении органических соединений ароматического ряда играют окислительные ферменты полифенолоксидаза и пероксидаза (Кононова, 1963). В результате окисления полифенолов образуются хиноны, которые при конденсации с аминокислотами и пептидами образуют первичную молекулу гуминовой кислоты. При этом хиноны могут снова восстанавливаться до полифенолов за счет реакций отщепления водорода, активированного анаэробной дегидрогеназой, вновь акцептировать кислород при участии фенолоксидаз и опять восстанавливаться (Рубин, 1971). Поэтому важно изучать не только реакции, идущие с присоединением кислорода, но и реакции с отнятием водорода, чтобы полнее охарактеризовать почву как единую систему с согласованными и направленными биохимическими процессами. Оценка функционального разнообразия почвенных ферментов улучшит понимание связи биохимической трансформации органического вещества c экосистемными процессами (Caldwel, 2005; Burns, et al., 2013). Однако высокая пространственно-временная изменчивость ферментов скрывает и затрудняет анализ взаимосвязи с переменными окружающей среды (Хазиев, 1982; Sinsabaugh, 2010). Отсюда вытекает необходимость системно-экологического подхода, призванного объяснить колебания ферментативной активности почв при изменении отдельных или совокупности экологических параметров, используя методы математической статистики (Хазиев, 1982).
Накопление и функционирование почвенной дегидрогеназы в большей мере обусловлено микробной биомассой, активность которой служит показателем общей микробиологической активности почв (Купревич, Щербакова, 1966; Петерсон, 1968; Хазиев, 2018а), в том числе, торфяных. Найдено, что дегидрогеназная активность мезотрофных гидроморфных почв коррелировала с интенсивностью микробного метаболизма (Schaefer, 1963). Среди оксидоредуктаз активность дегидрогеназы является наиболее чувствительным показателем изменений свойств почв в ходе естественной эволюции, а также антропогенных воздействий (Brzezińska et al., 2001; Borowic et al., 2014; Галиулин и др., 2014; Хазиев, 2018б; Самусик и др., 2022,).
Анаэробные дегидрогеназы как минеральных, так и торфяных почв относятся к числу самых не изученных ферментов в классе оксидоредуктаз. В текущее десятилетие отрывочные сведения по активности фермента в торфяных почвах Западной Сибири приводятся в монографии (Инишева, 2020). Активность дегидрогеназы обсуждается в связи со способом сельскохозяйственного использования торфяных почв Белорусского Полесья (Лучинок и др., 2013). Статистически обоснован вес анаэробной дегидрогеназы в совокупный вклад фенолоксидаз и водно-физико-химических показателей в разграничение лесных почв междуречья Оби и Томи по степени осушения (Ефремова и др, 2006, 2007).
Цель работы: в торфяных почвах болотных сосняков разной глубины осушения выявить закономерности сезонной активности дегидрогеназы в связи с динамикой экологических параметров. Методами математической статистики решали следующие задачи:
а) установление основной тенденции (тренда) дегидрогеназной активности, измерение интенсивности сезонных колебаний (индексов сезонности) и построение хода сезонной волны в почвах разной степени осушения,
б) построение парных регрессионных моделей связи активности дегидрогеназы с гидротермическими и химическими показателями почвенной среды,
в) анализ взаимообусловленного эффекта экологических параметров и выявление доминантных факторов, регулирующих дегидрогеназную активность торфяных почв разной глубины осушения,
г) статистическая оценка взаимосвязи активности почвенной дегидрогеназы и фенолоксидаз, комплексно осуществляющих биохимические реакции преобразования органического вещества торфяного субстрата.
Изучение сезонной активности дегидрогеназы в торфяных почвах разной глубины осушения позволит выявить доминантные экологические факторы, регулирование которых создает возможность управлять ферментативной активностью почв, определяющей интенсивность биохимической трансформации органического вещества и улучшать лесорастительные свойства болот.
МАТЕРИАЛЫ И МЕТОДЫ
Объектом исследования послужило болото мезотрофного типа (географические координаты 56°23′71′′ с.ш., 84°34′04′′ в.д.), осушенное сетью мелких открытых каналов с различным междренным расстоянием с целью лесомелиорации 20–25 лет тому назад (к моменту исследования). Болото занято сосновыми древостоями (Pinus sylvetris L.) естественного происхождения. В пространстве осушительной сети выбраны три реперные точки, расположенные на межканальных полосах 47, 94 м и на стыке магистрального и ловчего каналов, которые характеризуют слабо, умеренно и интенсивно осушенные почвы. Среднемноголетний уровень стояния почвенно-грунтовых вод за май – октябрь составил 23.2, 41.5 и 70.2 см соответственно. Достоверность разбиения (дискриминации) торфяных почв в пространстве гидромелиоративной сети статистически обосновано методами многомерного статистического анализа (Ефремова и др., 2006, 2007).
Торфяная залежь мощностью более 3 м сложена осоково-сфагновыми торфами и представляет собой свиту погребенных почв. Современные почвообразовательные процессы протекают преимущественно в верхних 30 см торфяной залежи, залегающих, как правило, выше средневегетационного уровня стояния верховодки, – зона сосредоточения сосущих корней растений, микроорганизмов и почвенных беспозвоночных. По классификации (Скрынникова, 1964; Пьявченко, 1978; Ефремова, 1992), почвы – освоенные переходного (мезотрофного) типа на мощных осоково-сфагновых торфах. Зольность торфяного субстрата снижается по профилю залежи и слабо возрастает с глубиной осушения. Она равняется: 8.9–5.2%, 10.6–5.8, 15.6–6.9% соответственно. Объемная влажность, температура и воздухоемкость современных почв за вегетационные периоды 3-х лет в среднем составили: в условиях слабого осушения – 77%, 10оС и 25%, умеренного – 42, 11 и 56, интенсивного – 29%, 12оС и 67%.
Степень гумификации (сумма гуминовых и фульвокислот) современной слабо осушенной торфяной почвы переходного типа (0–30 см) исходя из вариации по горизонтам, составляет в среднем 33% и характеризуется как слабая (оценка по: Ефремова, 1992). Обогащенность органического вещества азотом (С/N) – 21–44. Запасы гумуса в корненасыщенном слое 0–20 см очень низкие – 49 т/га. Тип гумуса – отношение углерода гуминовых кислот к углероду фульвокислот (Сгк:Сфк) 1–1.5 в горизонтах 0–5, 5–10. 10–20 и 20–30 см расширяется с глубиной и характеризует фульватно-гуматный тип гумуса.
Степень гумификации торфа возрастает до средних характеристик при умеренном осушении почв (46%) и высоких – при интенсивном (53%). Содержание гумуса увеличивается до 93 и 97 т/га соответственно. Обогащенность органического вещества азотом повышается по сравнению с почвами слабого осушения в 1.5 раза. Тип гумуса сохраняется фульватно-гуматным в режиме интенсивного осушения и при умеренной гидромелиорации преобразуется в гуматный – 1.5–2.
Современные, морфологически слабо дифференцированные почвы, изучались по горизонтам 0–5, 5–10, 10–20, 20–30 см, которые разграничивались преимущественно по степени загруженности сосущими корнями, слабо – цвету и плотности торфяных слоев. Сезонную активность почвенных оксидоредуктаз на каждом из трех объектов изучали в течение одного года с июня по октябрь с шагом 5–8 дней (в среднем неделя), то есть в общей сложности в течение трех лет. Годы наблюдений практически не различались погодными условиями. Сумма среднемесячных температур за май-октябрь составила 70.5, 69.0, 71.6°С, сумма осадков – 284.6, 283.2, 299.2 мм. Это обстоятельство позволило проводить сравнительный анализ сезонной активности дегидрогеназ на основании положения объектов в пространстве осушительной сети.
Определяли актуальную анаэробную дегидрогеназу в естественно-влажных образцах (без добавления глюкозы) при разрежении 10–12 мм рт. ст. 2–3 мин и последующем компостировании в термостате при 30°С в течение суток (метод Галстяна, Хазиев, 2005). Активность дегидрогеназы выражали в мг формазана на 1 г абс. сух. навески за 24 ч. Определение активности пероксидазы выполнено по руководству Ф. Х. Хазиева (1996) – метод К.А. Козлова. Изучение сезонной активности дегидрогеназы и пероксидазы выполнялись параллельно в одни и те же годы и сроки. В сезонной динамике, наряду с ферментативной активностью, изучали условия почвенной среды. Окислительно-восстановительный потенциал, реакцию среды (рН) измеряли с помощью переносного рН-метра-милливольтметра ППМ-03М I непосредственно в почвенном профиле по горизонтам свежевыкопанного в день определения разреза, а также температуру почв штыревыми термометрами. Из этого же разреза отбирали почвенные образцы на химический анализ. Полевую влажность определяли термостатно-весовым методом с последующим перерасчетом на объемную массу (объемная влажность). Анализ состава органического вещества выполнен по методике, разработанной для торфяно-болотных почв (Пономарева, Николаева, 1959).
Статистический анализ экспериментальных данных выполнен по руководству (Халафян, 2007). Статистическая характеристика рядов распределения сезонной активности дегидрогеназы – по прописям (Чекотовский, 2002). При обсуждении сезонной анаэробной активности дегидрогеназы использовали подходы системно-экологического анализа, призванного “объяснить пространственно-временные колебания ферментативной активности почв и ... предсказать возможные ее изменения с изменением отдельных экологических параметров или их совокупности” (Хазиеев, 1982, стр. 21).
РЕЗУЛЬТАТЫ И ОБСУЖДЕНИЕ
Общая характеристика активности анаэробной дегидрогеназы. Средневзвешенный потенциал активности дегидрогеназы за июнь – октябрь в современных торфяных почвах (0–30 см) можно оценить как достаточно высокий – 0.71–0.83 мг формазана на 1 г абс. сух. навески за 24 часа (табл. 1). В торфяных почвах Башкирии аналогичный показатель составляет всего 0.27–0.41, в серой лесной почве Южного Урала – 0.18 мг формазана (Мукатанов, 1979; Хабиров, 1979). Профиль лесных торфяных почв вне зависимости от глубины осушения четко дифференцирован на три зоны по активности дегидрогеназы: интенсивную 0–5 см (1.78 единиц), умеренно активную 5–10 см (0.69) и относительно пассивную 10–30 см (0.30 единиц). То есть потенциал дегидрогеназы выделенных зон различается более чем в 2 раза. Дифференциация почвенного профиля объясняется, скорее всего, ризосферным эффектом – максимальной активностью микроорганизмов в прикорневой зоне. Установлено, что в осушенных сосняках верхние 4 см торфяных почв вмещают 58% массы физиологически активных корней диаметром 1–2 см, 4–8 см – 33, 8–18 см – 7, 18–30 см – 1% (Ефремов, Ефремова, 1973). В верхнем горизонте болот переходного (мезотрофного) типа насчитывается 2.0–6.9 млн микроорганизмов на 1 г торфяной почвы, количество которых снижается с глубиной и подвержено сезонным колебаниям, наиболее распространенную группу составляют неспороносные бактерии с преобладанием флюоресцирующих и плесневые грибы (пенициллы и мукоровые) (Загуральская, 1967). О резком уменьшении с глубиной микробной биомассы и ферментативной активности в лесных почвах говорится также в работе (Baldrian, Štursová, 2011).
Таблица 1. Статистические показатели активности дегидрогеназы в лесных торфяных очвах разной глубины осушения за июнь-октябрь
Статистические показатели | Глубина почвенных горизонтов, см | ||||
0–5 | 5–10 | 10–20 | 20–30 | 0–30 | |
Слабо осушенные почвы | |||||
Средневзвешенное | 2.02 | 0.46 | 0.15 | 0.22 | 0.71 |
Медиана | 1.96 | 0.35 | 0.11 | 0.19 | 0.69 |
Минимум-максимум: | 0.35–4.78 | 0–1.91 | 0–0.46 | 0–0.62 | 0.23–1.47 |
Коэффициент вариации, % | 55 | 101 | 82 | 81 | 51 |
Умеренно осушенные почвы | |||||
Средневзвешенное | 1.32 | 0.98 | 0.52 | 0.27 | 0.77 |
Медиана | 1.24 | 0.81 | 0.52 | 0.23 | 0.77 |
Минимум-максимум: | 0.47–3.40 | 0–3.15 | 0–1.20 | 0–1.02 | 0.28–1.67 |
Коэффициент вариации, % | 57 | 82 | 70 | 109 | 51 |
Интенсивно осушенные почвы | |||||
Средневзвешенное | 1.99 | 0.65 | 0.39 | 0.27 | 0.83 |
Медиана | 1.61 | 1.61 | 0.67 | 0.33 | 0.62 |
Минимум-максимум: | 0.09–4.36 | 0.12–1.55 | 0.13–0.94 | 0.08–0.56 | 0.13–1.76 |
Коэффициент вариации, % | 69 | 65 | 66 | 55 | 59 |
Сезонная динамика активности дегидрогеназы. Коэффициенты вариации показывают значительные колебания сезонной активности фермента Cv = 55–109% (табл. 1). Однако графоаналитические построения за июнь – октябрь затрудняют оценку сезонной динамики фермента. Чтобы наилучшим образом отобразить основную тенденцию развития уровней временного ряда, применили математическую функцию – уравнение тренда, которая заменяет эмпирические данные выровненными, теоретическими. Наиболее адекватной функцией сезонного тренда активности дегидрогеназы в толще торфяных почв (0–30 см) – парабола второго порядка. Степень надежности выбранного трендового уравнения связи активности дегидрогеназы и фактора времени подтверждается высокой значимостью коэффициентов детерминации (рис. 1а–в). Выбранный тип математической функции принимается в качестве количественной модели, знаки параметров b1 и b2 выражают ускоренное или замедленное изменение уровней временного ряда: если знак параметра b1 положительный, а параметр b2 отрицательный, то выровненные уровни временного ряда увеличиваются с замедлением, равным 2b2 (Чекотовский, 2002). Согласно параметров регрессионных уравнений, в слабо осушенных почвах еженедельное увеличение активности дегидрогеназы составляло в среднем 0.205 единиц с еженедельным средним замедлением 0.022, в почвах умеренно осушенных – 0.291 с замедлением 0.032 мг формазана на 1 г абс. сух. почвы за 24 часа. В режиме интенсивного осушения параболический тренд отражает еженедельное замедление уровней временного ряда в среднем на 0.131 с еженедельным средним ускорением на 0.022 единиц. Ссылаясь на исследования (Загуральская, 1967), противоположную направленность развития ферментативных процессов можно предположительно увязать с большими изменениями в соотношении отдельных групп микроорганизмов, растущих на МПА, в условиях повышенной воздухоемкости торфяных почв, как показано нами выше, 76% против 25% в более влажных условиях. Вместе с тем, уравнения тренда отражают, по сути, лишь основную тенденцию развития потенциала дегидрогеназы и прямого отношения к динамике сезонной активности во времени не имеют (Чекотовский, 2002).
Рис. 1. Динамика активности анаэробной дегидрогеназы в горизонтах лесных торфяных почв разной глубины осушения и основная тенденция (тренд) сезонных колебаний в пределах профиля 0–30 см за июнь-октябрь. Степень осушения: слабо – а, умеренно – б, интенсивно – в, для рис. 1, 2, 4.
При статистическом изучении сезонных колебаний необходимы данные о внутрисезонных периодах, в случае недельного интервала наблюдений период колебаний равняется месяцу (Чекотовский, 2002). Для более ясной оценки уровней временного ряда рекомендуется использовать относительные аналитические показатели: темпы роста (индекс сезонности) и темпы прироста. Они определяются как процентные отношения фактических уровней временного ряда yi к некоторой базе сравнения yt, за которую приняли среднюю арифметическую взвешенную за весь период наблюдений в слое 0–30 см соответствующих почв. Индекс сезонности: Is = yi/yt100% характеризует относительную скорость изменения уровней временного ряда и показывает, какую часть временного среднего он составляет (табл. 2). В индивидуальных индексах сезонности влияние основной тенденции развития сезонных колебаний (тренда) устраняется (Чекотовский, 2002). На основе темпов роста Т (индекса сезонности) рассчитали темпы прироста (ТП) активности дегидрогеназы: ТП, % = (Т–100). Темп прироста показывает, на какой процент уровень данного срока наблюдений больше или меньше базисного уровня: положительное значение прироста означает увеличение, отрицательное – уменьшение.
Таблица 2. Статистическая группировка средневзвешенной сезонной активности дегидрогеназы за период наблюдений по месяцам
Месяц | 0–5 см | 5–10 см | 10–20 см | 20–30 см | 0–30 см | |||||
Ед. | Т, % | Ед. | Т, % | Ед. | Т, % | Ед. | Т, % | Ед. | Т, % | |
Слабо осушенные торфяные почвы | ||||||||||
Июнь | 1.28 | 180 | 0.32 | 44 | 0.09 | 13 | 0.21 | 29 | 0.47 | 66 |
Июль | 2.75 | 387 | 0.56 | 79 | 0.19 | 26 | 0.37 | 52 | 0.97 | 137 |
Август | 1.91 | 269 | 0.76 | 106 | 0.18 | 26 | 0.28 | 39 | 0.78 | 110 |
Сентябрь | 3.48 | 489 | 0.27 | 39 | 0.29 | 41 | 0.22 | 31 | 1.06 | 149 |
Октябрь | 2.13 | 300 | 0.61 | 86 | 0.08 | 12 | 0.09 | 13 | 0.73 | 103 |
Умеренно осушенные торфяные почвы | ||||||||||
Июнь | 1.31 | 169 | 0.43 | 55 | 0.14 | 18 | 0.001 | 0 | 0.47 | 61 |
Июль | 1.94 | 252 | 1.60 | 208 | 0.66 | 86 | 0.41 | 54 | 1.16 | 151 |
Август | 1.13 | 147 | 0.71 | 93 | 0.63 | 81 | 0.46 | 60 | 0.73 | 95 |
Сентябрь | 0.56 | 73 | 1.39 | 181 | 0.84 | 109 | 0.02 | 3 | 0.70 | 91 |
Интенсивно осушенные торфяные почвы | ||||||||||
Июнь | 1.30 | 157 | 0.73 | 88 | 0.42 | 51 | 0.253 | 31 | 0.68 | 82 |
Июль | 1.41 | 170 | 0.60 | 73 | 0.33 | 39 | 0.27 | 33 | 0.65 | 78 |
Август | 1.35 | 162 | 0.46 | 55 | 0.25 | 30 | 0.22 | 26 | 0.57 | 69 |
Сентябрь | 2.26 | 272 | 0.53 | 64 | 0.39 | 47 | 0.41 | 49 | 0.90 | 108 |
Октябрь | 4.09 | 493 | 1.27 | 153 | 0.86 | 103 | 0.30 | 36 | 1.63 | 196 |
Примечание. Ед. – единицы измерения, мг формазана на 1 г почвы за 24 ч, Т – темпы роста активности дегидрогеназы относительно средневзвешенной за период наблюденй, %.
Специфический ход сезонных колебаний дегидрогеназы по горизонтам торфяных почв совпадает с выделенными зонами активности фермента в пределах почвенного профиля. Обозначилась область 0–5 см – преимущественно положительных, 10–30 см – отрицательных и 5–10 см – специфических темпов прироста, обусловленных глубиной осушения (рис. 2а–в). Однако выделенные области различаются по интенсивности сезонной динамики и основной тенденции уровней временного ряда в связи с влажностью почв.
Рис. 2. Темпы прироста сезонной активности дегидрогеназы в горизонтах почв за период наблюдений.
В режиме слабого осушения зона положительных темпов прироста активности дегидрогеназы (0–5 см) характеризуется наиболее выраженными колебаниями и высокими показателями в июле и сентябре +290…+390%. В режиме умеренного осушения они не превышают +150% в июле. В интенсивно осушенных почвах темпы прироста, относительно стабильные летом +60...+70%, повышаются в октябре до +400%. На глубине 5–10 см в июне отмечается падение темпов прироста активности дегидрогеназы независимо от режима осушения. Тенденция сохраняется в слабо осушенных почвах вплоть до октября. В режиме интенсивной мелиорации в октябре наблюдается положительный прирост (+53%). В условиях умеренного осушения положительные темпы прироста (помимо июня) обнаруживаются в течение всего теплого периода. В зоне отрицательного прироста активности дегидрогеназы (10–30 см) максимальное снижение темпов установлено в июне и октябре на глубине 10–20 см (–88%) слабо осушенных почв, 20–30 см (–100%) – умеренно осушенных. В режиме глубокого осушения – в августе в почвенном профиле 10–30 см (–72%).
Обобщая ход сезонной волны активности дегидрогеназы по профилю (0–30 см) торфяных почв, отмечаем снижение темпов прироста в июне вне зависимости от глубины осушения. Последующий временной период характеризуется положительными приростами активности фермента в слабо осушенных почвах и преимущественно отрицательными в условиях интенсивного и умеренного осушения с единичными положительными подъемами активности в июле и октябре соответственно.
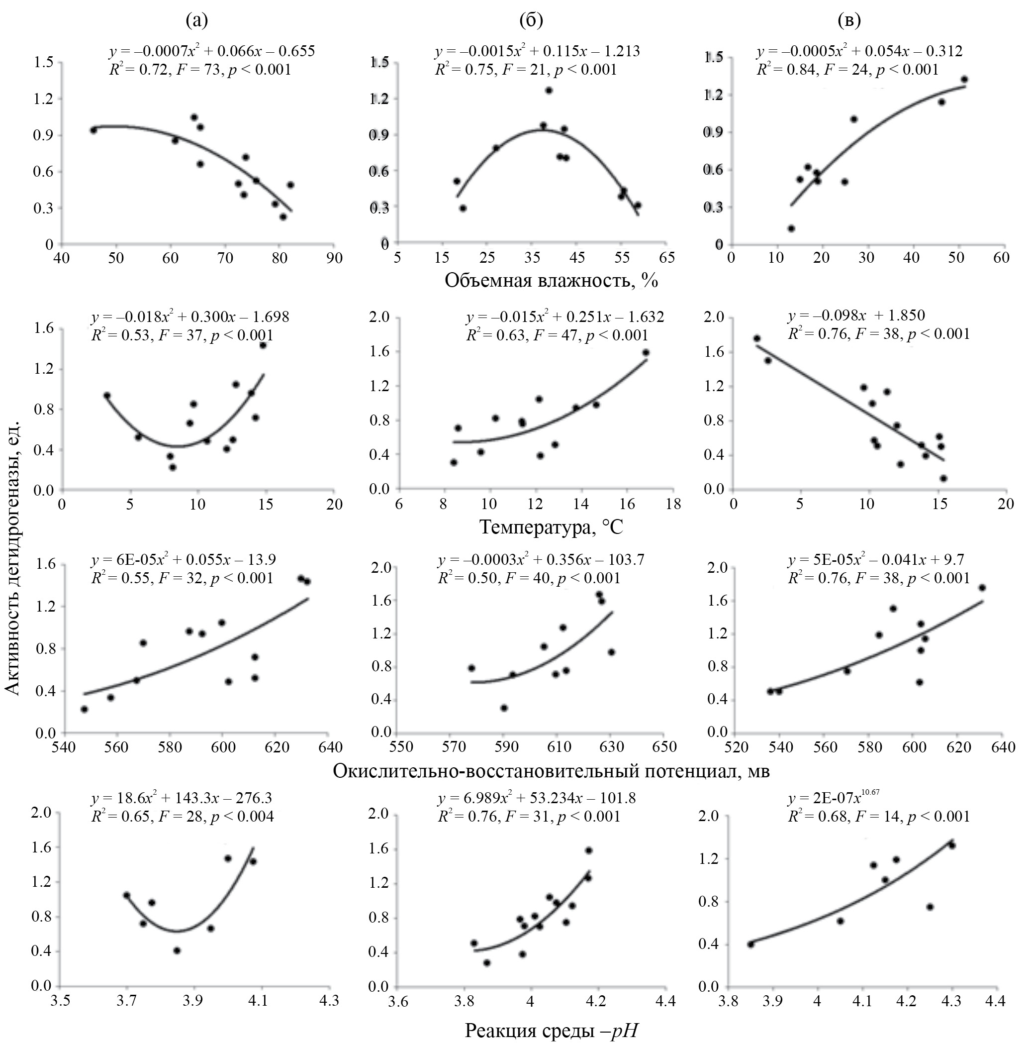
Экологическая обусловленность сезонной активности дегидрогеназы. Сброс избыточной влаги при гидромелиорации болотных экосистем сопровождается прежде улучшением режима аэрации. Поэтому изучение оксидоредуктаз напрямую связано с педоэкопараметрами, прямо или косвенно определяющими уровень развития окислительно-восстановительных процессов: объемная влажность, температура почв, рН, окислительно-восстановительный потенциал.
Влажность почв участвует во всех звеньях формирования ферментативного пула почв – поступлении, стабилизации и течении биохимических процессов. Установлено, что в торфяных почвах сезонная активность анаэробной дегидрогеназы тесно, R2 = 0.72–0.84, по типу параболы второго порядка, обусловлена объемной влажностью почв (рис. 3 а–в). В слабо осушенных почвах (интервал влажности 46–82%) связь характеризуется отрицательной направленностью, в режиме интенсивного осушения (13–51%) – положительной. В умеренно осушенных почвах (18–59%) хорошо выражены разнонаправленные ветви параболы. Точка перегиба, в среднем около 50%, рассчитанная по регрессионным уравнениям, показывает, что дальнейшее повышение объемной влажности сопровождается падением активности дегидрогеназы, снижение – подъемом.
Рис. 3. Регрессионная связь дегидрогеназной активности современных торфяных почв 0–30 см и факторов среды.
Связь сезонной активности дегидрогеназы и температуры почв в режиме слабого и умеренного осушения достоверно на уровне средней тесноты аппроксимируется функцией параболы (рис. 3 а, б ). Точки перегиба составляют около 9°С: ниже указанной величины связь показателей носит отрицательный характер, выше – изменяется на положительный знак. В интенсивно осушенных почвах связь активности дегидрогеназы и температуры (2–15°С) становится тесной и описывается отрицательной линейной функцией (рис. 3в). Разнонаправленность термальной зависимости дегидрогеназы в осушенных торфяных почвах, возможно, определяется численностью и составом микроорганизмов как основных факторов, определяющих уровень активности дегидрогеназы. Вероятно, в режиме интенсивного осушения снижается жизнедеятельность плесневых грибов, состав и количество которых определяют микробиологический фон почв мезотрофного типа (Загуральская, 1967). Имеет также значение локализация фермента, характер адсорбируемой поверхности и/или специфика отдельных стадий каталитических процессов в условиях сложного ферментного комплекса почв (Хазиев, 2018б).
Сезонная активность дегидрогеназы достоверно на уровне средней тесноты положительно детерминирована окислительно-восстановительным потенциалом (ОВП – 550–633 мВ) в виде восходящих ветвей параболы (рис. 3а–в). Окислительные условия среды, по всей видимости, способствовали накоплению в почве хинонов – акцепторов отщепляемого дегидрогеназой водорода. Можно допустить, что именно по этой причине активизируется деятельность почвенных дегидрогеназ. Доказано, что в ответ на поступление в среду специфического субстрата соответствующие ферменты вырабатывают микроорганизмы и растения (Хазиев, 1982).
Активность анаэробной дегидрогеназы торфяных почв и величина рН 3.8–4.3 тесно положительно аппроксимируется параболой (рис. 3а–в). Показано: во всех экосистемах активность оксидоредуктаз обычно возрастает с повышением рН почвы (Sinsabaugh, 2010; Lia et al., 2022). Точка перегиба – рН 3.8.
Канонический анализ. В системных исследованиях ферментативной активности почв важно установить не только роль отдельных экопараметров. Эффект разобщенного влияния любого из показателей на ферментативную активность отличается от их совокупного воздействия. В синтезе результатов сезонной динамики дегидрогеназы и компонентов почвенной среды использовали канонический анализ, который является обобщением множественной корреляции как меры связи одной случайной величины с множеством других случайных величин. Взвешенные суммы переменных из каждого множества определяют канонический корень – некую “скрытую” переменную, объясняющую долю изменчивости между двумя наборами переменных и оценивает вес каждой переменой в совокупном вкладе. С множеством водно-физико-химических показателей в осушенных торфяных почвах выделилось по одному каноническому корню (табл. 3). Канонические индексы детерминации и значимые χ2-критерии свидетельствуют, что обсуждаемое множество достоверно объясняет ход сезонных колебаний активности дегидрогеназы на 65% в режиме слабого осушения, 50% – умеренного и 81% – интенсивного. Согласно каноническим весам, наибольший уникальный вклад во взвешенную сумму (каноническую переменную – корень) вносят влажность, рН и температура соответственно. Коэффициенты факторной структуры отражают полную корреляцию между соответствующей переменной и взвешенной суммой (корнем) и интерпретируются подобно коэффициентам корреляции. Во всех вариантах осушенных торфяных почв статистически обоснован гидрологический режим как доминантный фактор, контролирующий сезонную динамику дегидрогеназы. Аналогичные выводы сделаны и другими авторами на примере торфяных почв Белорусского Полесья, серых лесных почв Кавказа, а также семи биогеоклиматических зон Канады (Brockett et al., 2012; Лученок и др., 2013; Козунь и др. 2022;). На фоне доминирующего влияния водного режима специфика глубины осушения проявляется в наиболее высокой канонической корреляции с температурой в режиме интенсивной мелиорации, величиной рН – умеренного, окислительно-восстановительным потенциалом – в условиях слабого осушения.
Таблица 3. Результаты канонического анализа связи сезонной активности анаэробной дегидрогеназы с водно-физико-химическими показателями лесных торфяных почв разной глубины осушения
Переменные | Слабо осушенная почва | Умеренно осушенная почва | Интенсивно осушенная почва | |||
Канонический вес | Факторная структура | Канонический вес | Факторная структура | Канонический вес | Факторная структура | |
ОВП | –0.51 | –0.72 | 0.20 | –0.22 | –0.02 | –0.07 |
Температура | –0.40 | –0.25 | –0.68 | –0.60 | 0.73 | 0.83 |
Влажность | 0.75 | 0.71 | –0.25 | –0.58 | –0.57 | –0.70 |
рН | н.д*. | н.д. | –0.63 | –0.77 | 0.02 | –0.15 |
Оценка корня: R2 – 0.65, χ-критерий –10.99, р-уровень – 0.012 | Оценка корня: R2 – 0.50, χ-критерий –7.63, р-уровень – 0.036 | Оценка корня: R2 – 0.81, χ-критерий –18.38, р-уровень – 0.001 | ||||
Примечание. н.д. – нет данных.
Общепризнанно, что активность дегидрогеназ имеет большое значение в биохимии гумусообразования в качестве биологических катализаторов реакций дегидрирования различных органических веществ. Мобилизованный дегидрогеназой водород может акцептироваться органическими соединениями типа хинонов (продуктов окисления полифенолов посредством фенолоксидаз) и вновь восстанавливаться. Регрессионные модели на примере лесных торфяных почв достоверно статистически подтверждают: дегидрогеназы и фенолоксидазы функционируют в качестве единого целого с согласованными и разнонаправленными биохимическими процессами, обеспечивая трансформацию исходного органического вещества и образование гумусовых компонентов (рис. 4а–в ).
Рис. 4. Регрессионная связь активности дегидрогеназы и пероксидазы лесных осушенных торфяных почв.
ВЫВОДЫ
- В лесных торфяных почвах слабо, умеренно и интенсивно осушенных средневзвешенный потенциал анаэробной дегидрогеназы за период наблюдений составил 0.71, 0.77, 0.83 мг формазана на 1 г абс. сух. навески за 24 ч единиц соответственно.
- Наиболее адекватной функцией основной тенденции (тренда) развития сезонных колебаний активности дегидрогеназы является полином второго порядка. Знаки коэффициентов детерминации показывают, что средняя активность дегидрогеназы в слабо и умеренно осушенных почвах с июня по октябрь еженедельно повышалась с еженедельным средним замедлением, в режиме интенсивного осушения – еженедельно замедлялась с ускорением.
- Почвенная толща дифференцирована на зоны относительного роста или снижения сезонной активности дегидрогеназы. Выделяются области: преимущественно положительных темпов прироста – 0–5 см, б) отрицательных – 10–30 см и специфического хода в зависимости от условий осушения 5–10 см.
- Итоги парного регрессионного анализа достоверно характеризуют нелинейную связь активности дегидрогеназы: положительную с окислительно-востановительным потенциалом и величиной рН, разнонаправленную с объемной влажностью и температурой почв.
- Методом канонического анализа установлено, что сезонная активность дегидрогеназы на 50–81% определяется совокупным влиянием водно-физико-химических показателей. Канонические корреляции характеризуют объемную влажность в качестве доминантного фактора во всех режимах осушения. В слабо осушенных почвах в числе наиболее важных – окислительно-восстановительный потенциал, умеренно осушенных – величина рН, интенсивно осушенных – температура.
- Достоверная отрицательная связь активности анаэробной дегидрогеназы и пероксидазы статистически подтверждает их участие в биохимическом преобразовании органического вещества как единого целого.
ФИНАНСИРОВАНИЕ РАБОТЫ
Данная работа финансировалась за счет средств бюджета Института леса им. В.Н. Сукачева СО РАН – Обособленное подразделение «Федеральный исследовательский центр «Красноярский научный центр Сибирского отделения Российской академии наук» (ФИЦ КНЦ СО РАН). Никаких дополнительных грантов на проведение или руководство данным конкретным исследованием получено не было.
СОБЛЮДЕНИЕ ЭТИЧЕСКИХ СТАНДАРТОВ
В данной работе отсутствуют исследования человека или животных.
КОНФЛИКТ ИНТЕРЕСОВ
Авторы данной работы заявляют, что у них нет конфликта интересов.
About the authors
T. T. Efremova
Sukachev Institute of Forest, Krasnoyarsk Science Center, Siberian Branch of the Russian Academy of Sciences
Author for correspondence.
Email: efr2@ksc.krasn.ru
Russian Federation, Akademgorodok, 50/28, Krasnoyarsk, 660036
S. P. Efremov
Sukachev Institute of Forest, Krasnoyarsk Science Center, Siberian Branch of the Russian Academy of Sciences
Email: efr2@ksc.krasn.ru
Russian Federation, Akademgorodok, 50/28, Krasnoyarsk, 660036
A. F. Avrova
Sukachev Institute of Forest, Krasnoyarsk Science Center, Siberian Branch of the Russian Academy of Sciences
Email: efr2@ksc.krasn.ru
Russian Federation, Akademgorodok, 50/28, Krasnoyarsk, 660036
References
- Галиулин Р. В., Башкин В. Н., Галиулина Р. А. Оценка эффективности рекультивации почв в условиях добычи углеводородов посредством анализа активности дегидрогеназы // Агрохимия. 2014. № 6. С. 84–88.
- Даденко Е. В., Мясникова М. А., Казеев К. Ш., Колесников С. И., Вальков В. Ф. Биологическая активность чернозема обыкновенного при длительном использовании под пашню // Почвоведение. 2014. № 6. С. 724–733. https://doi.org/10.7868/S0032180X14060021
- Ефремов С. П., Ефремова Т. Т. Влияние осушения на загруженность торфяной почвы корнями древесных и травянистых растений / Комплексная оценка болот и заболоченных лесов в связи с их мелиорацией. Новосибирск: Наука. 1973. С. 113–127.
- Ефремова Т. Т. Почвообразование и диагностика торфяных почв болотных экосистем // Почвоведение. 1992. № 12. С. 25–35.
- Ефремова Т. Т., Овчинникова Т. М., Суховольский В. Г. Многопараметрический анализ почвенных свойств лесных осушенных болот Западной Сибири // Почвоведение. 2006. № 6. С. 657–667.
- Ефремова Т. Т., Овчинникова Т. М. Оксидоредуктазная активность торфяных почв как показатель глубины биохимической трансформации лесных осушенных болот Западной Сибири // Известия РАН. Серия биологическая. 2007. № 3. С. 360–367.
- Загуральская Л. М. Микронаселение торфяно-болотных почв Томской области / Взаимоотношение леса и болота. М.: Наука, 1967. С. 56–81.
- Инишева Л. И. Закономерности функционирования болотных экосистем в условиях воздействия природных и антропогенных факторов. Томск: Изд-во ТГПУ, 2020. 482 с.
- Козунь Ю. С., Казеев К. Ш., Колесников С. И. Влияние климата на ферментативную активность лесных почв Северного Кавказа // Лесоведение № 3. 2022. С. 262–269. https://doi.org/10.31857/S002411482203010X
- Кононова М. М. Органическое вещество почвы. М.: Изд-во Ан СССР, 1963. 314 с.
- Купревич В. Ф., Щербакова Т. А. Почвенная энзимология. Минск: Наука и техника, 1966. 275 с.
- Лучинок Л. Н., Баран С. Г., Тулина А. С., Семенов В. М. Влияние способа сельскохозяйственного использования на ферментативную активность торфяных почв Полесья и эмиссию СО2 // Мелиорация. 2013. № 2 (70). С. 55–64.
- Мукатанов А. Х. Географо–экологические условия и ферментативная активность почв / Экологические условия и ферментативная активность почв. Уфа, 1979. С. 32–41.
- Петерсон Н. В. О сущности явления, описываемого под названием “дегидрогеназная активность почв” / Сборник докладов Симпозиума по ферментам почвы. Минск: Изд-во “Наука и техника”. 1968. С.120–128.
- Пономарева В. В., Николаева Т. А. К методике изучения органического вещества в торфяно-болотных почвах / Современные почвенные процессы в лесной зоне. М.: Изд-во АН СССР. 1959. С. 170–203.
- Пьявченко Н. И. О диагностике типов торфяных почв и залежей при изысканиях и проектировании лесоосушительных мелиораций // Исследования по лесному болотоведению и мелиорации. Петрозаводск, 1978. С. 5–24
- Рубин Б. А. Курс физиологии растений. М: Высшая школа, 1971. С.671.
- Самусик Е. А., Головатый С. Е. ферментативная активность дерново-подзолистых почв в условиях воздействия выбросов предприятия по производству строительных материалов // Журнал белорусского государственного университета. Экология. 2022. № 1. С. 104–113. https://doi.org/10.46646/2521-683X/2022-1-104-113
- Пьявченко Н. И. О диагностике типов торфяных почв и залежей при изысканиях и проектировании лесоосушительных мелиораций // Исследования по лесному болотоведению и мелиорации. Петрозаводск, 1978. С. 5–24.
- Скрынникова И. Н. Классификация целинных болотных и мелиоративных торфяных почв СССР // Почвоведение. 1964. № 5. С. 14–27.
- Хабиров И. К. Физические свойства и ферментативная активность почв / Экологические условия и ферментативная активность почв. Уфа, 1979. С. 99–112.
- Хазиев Ф. Х. Методы почвенной энзимологии. М: Наука, 2005. 252 с.
- Хазиев Ф. Х. Системно-экологический анализ ферментативной активности почв. М.: Наука, 1982. 203 с.
- Хазиев Ф. Х. Экологические связи ферментативной активности почв. http://ecobiotech-journal.ru Экобиотех, 2018а. Т. 1. № 2. С. 80–92.
- Хазиев Ф. Х. О кинетике ферментативных процессов в почвах // Известия Уфимского научного центра РАН. 2018б. № 3. С. 45–51.
- Халафян А. А. STATISTICA 6. Статистический анализ данных. 3-е изд. Учебник. М.: ООО «Бином-Пресс». 2007. 515 с.
- Чекотовский Э. В. Графический анализ статистических данных в Microsoft Excel 2000. М.: Издательский дом “Вильямс”. 2002. 464 с.
- Allison S. D. Soil minerals and humic acids enzyme stability: implications for ecosystem processes // Biogeochemistry. 2006. V. 81. № 6. Р. 361–373.
- Baldrian P., Štursová M. Enzymes in Forest Soils / Soil Enzymology. Berlin: Springer-Verlag. 2011. P. 61–73.
- Borowic A., Wyszkowska J., Kucharski M., Kucharski J. Resistance of dehydrogenases, catalase, urease and plants to soil contamination with zinc // J. Elementol. 2014. V. 19. № 4. P. 929–936.
- Brockett B. F.T., Prescott C. E., Grayston S. J. Soil moisture is the major factor influencing microbial community structure and enzyme activities across seven biogeoclimatic zones in western Canada // Soil Biology and Biochemistry. 2012. V. 44. № 1. P. 9–20.
- Brzezińska M., Stępniewska Z., Stępniewski W. Dehydrogenase and catalase activity of soil irrigated with municipal wastewater // Polish Journal of Environmental Studies. 2001. V. 10. № 5. P. 307–311.
- Burns R. G., DeForest J.L, Marxsen J., Sinsabaugh R. L., Stromberger M. E., Wallenstein M. D., Weintraub M. N., Zoppini A. Soil enzymes in a changing environment: Current knowledge and future directions // Soil Biol. Biochem. 2013. V. 58. P. 216–234.
- Caldwel B. A. Enzyme activities as a component of soil biodiversity: A review // Pedobiologia. 2005. V. 49. № 6. P. 637–644.
- Karaca A., Cetin S. C., Turgau O. S., Kizilkaya R. Soil enzymes as indication of soil quality / Soil Enzymology. Berlin: Springer-Verlag. 2011. P. 119–148.
- Lia Q., Jiab W., Zhangc Q., Cheng X. Localized plant-soil-microbe interactions regulate spatial variations of soil oxidase activities within afforested systems in a subtropicalarea // Geoderma. 2022. V. 406. № 4. EDN: TPMGTL https://doi.org/10.1016/j.geoderma.2021.115499
- Makoi J. H., Mdakidemi P. A. Selected soil enzymes: examples of their potential roles in the ecosystem // African Journ. of Biotech. 2008. V. 7. № 3. Р. 181–191.
- Schaefer R. L’activité déshydrogénasique comme mesure de l’activite biologique globale des sols. // Ann. Inst. Pasteur. 1963. V. 105. № 2. Р. 326–331.
- Sinsabaugh R. L. Phenol oxidase, peroxidase and organic matter dynamics of soil // Soil Biol. Biochem. 2010. V. 42. P. 391–404.
Supplementary files






