Липидный профиль пестряток и смолтов атлантического лосося Salmo salar L., выращенных в аквакультуре, при введении разных режимов освещения
- Авторы: Провоторов Д.С.1, Мурзина С.А.1, Воронин В.П.1, Манойлова Д.И.1, Кузнецова М.В.1, Курицын А.Е.1, Немова Н.Н.1
-
Учреждения:
- Институт биологии – обособленное подразделение ФГБУН ФИЦ “Карельский научный центр Российской академии наук”
- Выпуск: № 1 (2024)
- Страницы: 36-46
- Раздел: БИОХИМИЯ
- URL: https://bakhtiniada.ru/1026-3470/article/view/255496
- DOI: https://doi.org/10.31857/S1026347024010042
- EDN: https://elibrary.ru/LULQUC
- ID: 255496
Цитировать
Полный текст
Аннотация
Изучение биохимических механизмов влияния дополнительного освещения на процессы роста и раннего развития лососевых рыб в аквакультуре позволяют выявлять закономерности замедленного или ускоренного роста, а также наступления периода смолтификации. В настоящей работе получены результаты изменения липидного статуса у пестряток и смолтов атлантического лосося после “зимнего окна” (декабрь – январь), полученных от трех экспериментальных групп, подвергшихся на этапе сеголетков действию различных режимов освещения и кормления. Результаты изменения липидного состава исследованной молоди лосося свидетельствуют о наступлении смолтификации, причем во всех экспериментальных группах, однако этот эффект наиболее выражен для молоди, ранее содержащейся при круглосуточном освещении в летне-осенний сезон.
Ключевые слова
Полный текст
Введение
Атлантический лосось (Salmo salar L.) – один из самых коммерчески востребованных премиальных видов аквакультуры. Биология и экология атлантического лосося хорошо изучены, что позволяет достаточно эффективно его выращивать на предприятиях аквакультуры и достигать заданных показателей. При этом биология данного вида рыб имеет особенности, усложняющие процесс выращивания. Так, известно, что жизненный цикл атлантического лосося включает два этапа: “речной” и “морской”. Молодь лосося проводит в реке от двух до пяти лет, и за это время ее размерно-массовые характеристики изменяются незначительно, однако на уровне физиолого-биохимических и тканевых процессов происходят существенные преобразования, которые способствуют подготовке организма к смолтификации (Немова и др., 2019). При достижении определенных эндогенных и экзогенных условий молодь лосося претерпевает комплексную трансформацию пестряток в смолтов, связанную с подготовкой к обитанию в морской среде, где скорость их роста по сравнению с речным периодом возрастает многократно. К числу экологических факторов, влияющих на смолтификацию, относят температуру среды, трофику и фотопериод (в частности, увеличение длины светового дня весной) (Duston, Saunders, 1992; Thrush et al., 1994; Duncan et al., 1998). Известно, что изменения продолжительности светового дня служат сезонными сигналами, которые воспринимаются молодью лосося и синхронизируются с его эндогенными ритмами, контролирующими развитие (Duston, Saunders, 1990). Для предприятий аквакультуры существенный интерес представляет сокращение “речного” периода жизненного цикла атлантического лосося и ускорение наступления смолтификации. Это позволяет переносить рыб в морскую/соленую воду в более ранние сроки, что в конечном итоге приводит к повышению производительности предприятия и снижению финансовых затрат на выращивание молоди. Поэтому для повышения эффективности искусственного выращивания молоди лососевых используют различные режимы регулирования естественного фотопериода (Björnsson et al., 1989, 2011; Mason et al., 1992; Handeland, Stefansson, 2001). При этом для завершения смолтификации необходимо использование так называемых зимних (коротких) режимов фотопериода – последовательное чередование режимов фотопериода “лето – зима – лето” с уменьшением продолжительности зимнего периода освещения (“зимнее окно”) (Duston, Saunders, 1990; Thrush et al., 1999, Шульгина и др., 2021). Эти процессы сопровождаются изменениями в биохимическом метаболизме, которые характеризуют адаптивные возможности организма. Среди биохимических показателей, отражающих реакцию организма на изменение внешних условий, в том числе фотопериода, значительная роль отводится липидам, которые могут играть роль индикаторов физиологических изменений (Немова и др., 2019, 2020; Nemova et al., 2020), в том числе при смолтификации. Известно сравнительно небольшое число работ, в которых изучается влияние фотопериода на липидный состав и метаболизм молоди атлантического лосося в условиях аквакультуры (Wedemeyer et al., 1980; Sheridan, 1989; Duston, Saunders, 1995).
Для того чтобы установить роль липидов в адаптации молоди атлантического лосося к факторам среды при искусственном выращивании ранее был поставлен эксперимент по введению постоянного искусственного освещения (24LD) в стандартную технологию выращивания молоди в условиях, характерных для южного региона (Республика Северная Осетия – Алания). На первом этапе работы были отобраны сеголетки и было показано (Мурзина и др., 2023a, 2023b), что стимулирующий подготовку к смолтификации сеголеток атлантического лосося эффект совокупного действия фотопериода и кормления достигается при их сочетании в круглосуточном режиме в летне-осенний период. При этом наиболее четкие тренды к трансформации липидного метаболизма с “пресноводного” типа на “морской” наблюдались у варианта, выращиваемого в условиях круглосуточного освещения и кормления.
В данной работе представлены результаты второго этапа эксперимента и обсуждаются изменения липидного статуса у пестряток и смолтов атлантического лосося после “зимнего окна” (декабрь – январь) и при дальнейшем выращивании в условиях естественного освещения в товарной аквакультуре в условиях Северной Осетии – Алании.
Материалы и методы
Исследование влияния фотопериода на рост и развитие молоди атлантического лосося проводили на предприятии ООО “Остров аквакультура” (Республика Северная Осетия – Алания). Условия эксперимента и его особенности описаны в нашей первой публикации, включающей результаты исследования липидного профиля у сеголеток лосося (Мурзина и др., 2023a) при введении дополнительного освещения. А именно: для стимуляции эндогенных механизмов, влияющих на ростовые процессы, во все бассейны с сеголетками (после перехода на экзогенное питание) было установлено непрерывное освещение (24LD) с использованием светодиодных осветителей LED (36 W, 6500 K). Кормление проводилось в круглосуточном режиме каждые два часа с использованием коммерческого корма. В августе сеголеток средней массой 2.3 г пересадили в выростные лотки размером 4 × 1.2 м, объемом 2.5–2.7 м3, в количестве 4900 особей/лоток. C начала сентября сеголеток разделили на три группы по 2 лотка и стали содержать в следующих (экспериментальных) условиях: группа 24LD + КК – режим освещения постоянный (24LD), кормление круглосуточное (КК); группа ЕстLD + КД – естественное освещение (ЕстLD), кормление проводится в светлое время суток (с 06:00 до 18:00 в сентябре, с 08:00 до 18:00 в октябре, с 08:00 до 17:00 в ноябре) через каждые два часа (КД); группа 24LD + КД – режим освещения постоянный (24LD), кормление проводится только в светлое время суток, как у рыб из опыта № 1 (КД).
С начала декабря подросшую молодь, согласно экспериментальным группам, перенесли в круглые бассейны объёмом 2,1 м3 (диаметром 2 м, высотой 1 м) в количестве в среднем 2800 на бассейн. С декабря по январь дополнительное освещение не применялось – упомянутое выше “зимнее окно”. Далее выращивание пестряток и смолтов проходило в условиях естественного освещения региона. Условия дневного освещения: 5500 lx, в пасмурную погоду – 500 lx (рис. 1).
Рис. 1. Общая схема эксперимента
В эксперименте использовали коммерческий корм марки Scretting Nutra HP (Италия) фракция 1,8 (с ноября по февраль) и BioMar Эфико Альфа 790 (Дания) фракция 3 (с февраля по март), оба корма схожи по составу и пищевой ценности; расчет корма проводили согласно нормам возрастной группы и с учетом биомассы. Вода в лотки поступала в объеме 2.7–3 л/с на лоток со скважины, поэтому температурный режим был постоянным и с середины декабря по конец марта составил 10.3–10.8°С. Содержание кислорода в лотках 10.3–10.5 мг утром с постепенным снижением до 8.5–8.2 мг вечером (замеры проводились утром в 07:00 и вечером в 19:00). Отход за период с декабря по март составил 26, 42 и 34% особей в группах 24LD + КК, ЕстLD + КД и 24LD + КД соответственно.
Общая средняя масса рыб (пестрятки вместе со смолтами) на 2 марта составила 59.44 ± 3.45, 57.71 ± 5.22, 53.88 ± 4.52 в группе 24LD + КК, группе ЕстLD + КД и группе 24LD + КД соответственно. Количество смолтов в исследуемых группах на день анализа (3 марта) составило: в группе 24LD + КК – до 50%, ЕстLD + КД – 40%, 24LD + КД – 25%. Для исследования отбирали пестряток и смолтов лосося в начале марта (отбор особей проводили из каждой группы, которые на этапе развития сеголеток подвергались дополнительному освещению.
На предприятии проводилась фоторегистрация рыб в бассейнах в период эксперимента (рис. 2).
Рис. 2. Фотографии молоди лосося в эксперименте: а – группа 24LD + KK; б – группа ЕстLD + KД; в – группа 24LD + KД
Проводили липидный анализ образцов мышц и печени молоди рыб. Экстракцию липидов из отобранных образцов мышц и печени молоди лосося проводили по методу Фолча (Folch et al., 1957) и Кейтс (1975). Затем липиды концентрировали с помощью роторно-вакуумной установки Hei-VAP Adavantage HL/G3 (Heidolph, Германия). Выделенные суммарные липиды и обезжиренный остаток (включающий белки, углеводы, нуклеиновые кислоты, аминокислоты и микроэлементы) сушили до постоянной массы. Содержание общих липидов в образцах представлено в виде% сухого вещества.
Качественное и количественное определение отдельных липидных классов осуществляли при помощи метода высокоэффективной тонкослойной хроматографии (ВЭТСХ). Фракционирование общих липидов проводили на пластинках на стеклянной основе – HPTLC Silicagel 60 F254 Premium Purity (Merck, Германия). Нанесение экстракта липидов осуществлялось при помощи полуавтоматического аппликатора Linomat 5 (CAMAG, Швейцария) микрошприцем на 100 мкл штриховым методом. В качестве элюента, а также раствора для насыщения хроматографической камеры ADC2 (CAMAG, Швейцария) использовалась система растворителей гексан – диэтиловый эфир – уксусная кислота (32:8:0.8 по объёму) (Olsen, Henderson, 1989). Насыщение хроматографической камеры проводили в течение 20 минут с одновременным контролем влажности (10 минут), после чего проводилось насыщение пластины (20 минут). Дистанция подвижной фазы составляла 80 мм (Rf конечная = 80 мм), сушка пластины осуществлялась в течение 5 минут. Проявление липидных пятен проводили в растворе медного купороса (CuSO4) с ортофосфорной кислотой (H3PO4) и нагреванием пластины до 160 °C в течение 15 минут (Hellwig, 2005). Качественное и количественное определение липидных компонентов было выполнено в камере денситометра TLC Scanner 4 (CAMAG, Швейцария) на дейтериевой лампе при длине волны 350 нм в режиме адсорбции (Hellwig, 2005). Идентификация липидных классов проводилась по референтным стандартам соответствующих компонентов (Sigma-Aldrich, США) с учетом соответствия значений Rf. В составе общих липидов анализировали: общие фосфолипиды (ФЛ), триацилглицерины (ТАГ), диацилглицерины (ДАГ), моноацилглицерины (МАГ), холестерин (ХС), эфиры холестерина (ЭХС), свободные жирные кислоты (СЖК), воска.
Качественное и количественное определение индивидуальных фосфолипидных фракций – фосфатидилхолина (ФХ), фосфатидилэтаноламина (ФЭА), фосфатидилсерина (ФС), фосфатидилинозитола (ФИ), лизофосфатидилхолина (ЛФХ), сфингомиелина (СФМ) – осуществляли методом высокоэффективной жидкостной хроматографии (ВЭЖХ) с использованием жидкостного хроматографа “Стайер” (ООО “Аквилон”, Россия). Фракционирование общих ФЛ проводили на колонке размером 250 × 4 мм, наполненной сорбентом “Нуклеосил 100-7” (“Элсико”, Россия) и с использованием в качестве подвижной фазы смеси ацетонитрил – метанол – гексан – 85%-я фосфорная кислота (918: 30: 30: 17.5 по объёму) при скорости потока 1 мл/мин. Детектирование анализируемых липидных классов осуществляли на спектрофотометре по поглощению в ультрафиолетовом свете при длине волны 206 нм. Качественная идентификация липидных классов осуществлялась по стандартам соответствующих компонентов (Sigma-Aldrich, США) с учетом соответствия значений Rf.
Исследования выполнены на базе лаборатории экологической биохимии и с использованием оборудования Центра коллективного пользования ФИЦ “Карельский научный центр Российской академии наук”.
Статистическая обработка результатов проводилась с использованием языка программирования R (v. 3.6.1.) в среде разработки RStudio с применением дополнительных пакетов: readxl (v. 1.3.1), tidyverse (v. 1.3.0), ggplot2 (v. 3.4.0). Для описания количественного содержания индивидуальных липидных классов и суммарных семейств жирных кислот были рассчитаны параметры описательной статистики (среднее арифметическое и ошибка среднего арифметического) с группировкой по месяцам и типу экспериментального освещения. Полученные результаты были визуализированы в виде гистограмм.
Результаты
Липидный профиль мышц пестряток и смолтов атлантического лосося
Содержание ОЛ в мышцах у пестряток и смолтов в марте было в пределах от 7.84 до 12.24% сухого вещества. Установлено, что у смолтов из группы ЕстLD + КД отмечено достоверно меньшее содержание ОЛ по сравнению с образцами из групп 24LD + КК и 24LD + КД (6.84% против 10.48 и 12.24% соответственно). Наблюдается недостоверное снижение ОЛ у смолтов по сравнению с пестрятками в группах 24LD + КК и ЕстLD + КД. При этом у смолтов в группе 24LD + КД, напротив, выявлено достоверное увеличение показателя.
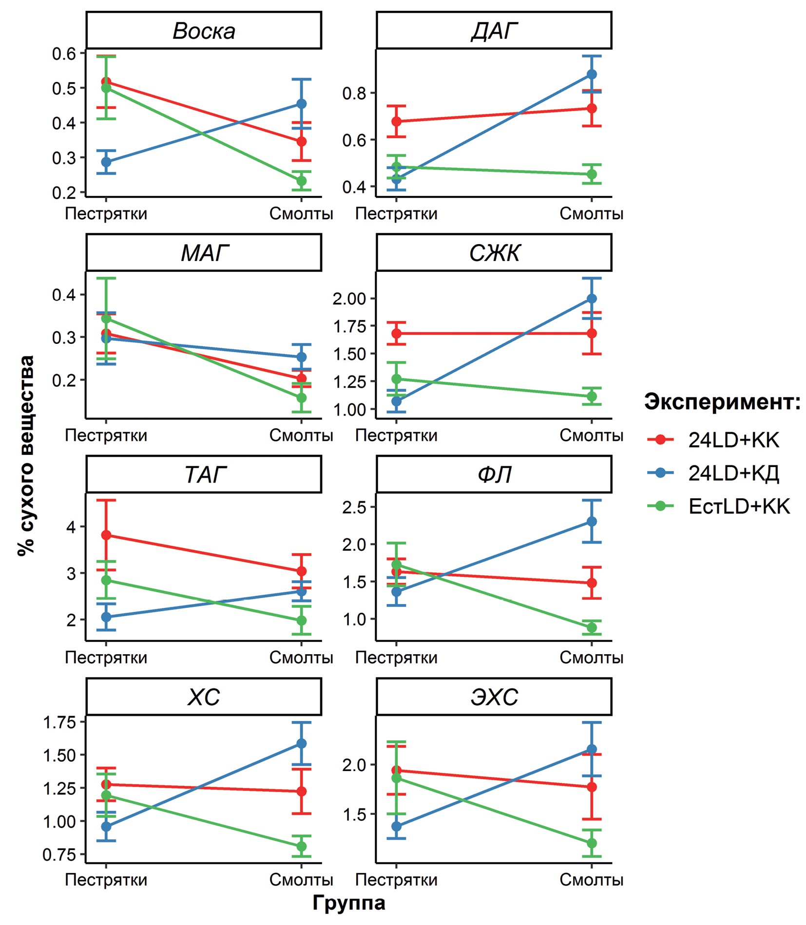
В липидном профиле мышц пестряток и смолтов всех обозначенных выше экспериментальных групп, доминировали энергетические липиды в форме ТАГ (1.98–3.82% сухого вещества). Далее по количественному содержанию следовали структурные липиды – ФЛ (0.88–2.31%) и ХС (0.81–1.59%). Содержание такого “универсального” класса липидов как СЖК было в пределах от 1.07 до 2.0%, а ЭХС – от 1.2 до 2.16% и восков – от 0.23 до 0.52%. Минорные липиды “сигнальные” ДАГ варьировали в пределах от 0.43 до 0.88%, МАГ – от 0.16 до 0.34% (рис. 3).
Рис. 3. Динамика липидных классов (% сухого вещества) в мышцах молоди атлантического лосося в трех исследованных экспериментальных вариантах в марте. На рисунке использованы следующие аббревиатуры для исследованных липидных классов: ФЛ – общие фосфолипиды, ТАГ – триацилглицерины, ДАГ – диацилглицерины, МАГ – моноацилглицерины, ХС – холестерин, ЭХС – эфиры холестерина, СЖК – свободные жирные кислоты
В мышцах пестряток не обнаружено достоверных отличий по содержанию исследованных липидных классов между группой 24LD + КК и ЕстLD + КД, при этом рыбы группы 24LD + КД отличались достоверно меньшим содержанием ДАГ, СЖК и восков по сравнению с таковыми из группы 24LD + 24КК. При этом в мышцах смолтов наблюдается достоверно меньшее содержание ФЛ, ДАГ, ХС, СЖК и ТАГ в группе ЕстLD + КД по сравнению с группой 24LD + KK, при этом образцы из группы 24LD + КД достоверно отличаются от 24LD + КК только в содержании ФЛ.
У смолтов по сравнению с пестрятками в группах 24LD + KK и ЕстLD + КД в мышцах наблюдается уменьшение количества как энергетических ТАГ (недостоверное у обеих групп), так и структурных ФЛ (достоверно для группы ЕстLD + КД), в то время как у смолтов 24LD + КД, напротив, наблюдается увеличение содержания данных липидных классов (достоверное у ФЛ). При этом отношение ТАГ/ФЛ недостоверно снижается у рыб групп 24LD + KK и 24LD + КД, в то время как в группе ЕстLD + КД можно наблюдать обратную картину. Также необходимо отметить достоверное снижение МАГ и восков у рыб группы ЕстLD + КД и достоверное увеличение ДАГ, ХС, СЖК и ЭХС в группе 24LD + КД.
В фосфолипидном профиле мышц пестряток и смолтов преобладал ФХ (0.96–1.59%), за ним следовал ФЭА (0.20–0.52%). У пестряток достоверных отличий в содержании фосфолипидов между экспериментальными группами не обнаружено. У смолтов в группе ЕстLD + КД по сравнению с 24LD + KK наблюдается достоверно меньшее содержание ФИ, ФС и ФХ и достоверно большее содержание этих же компонентов у рыб 24LD + КД по сравнению с 24LD + KK и ЕстLD + КД. У смолтов по сравнению с пестрятками можно наблюдать значимое снижение ФХ в группе ЕстLD + КД. В группе 24LD + КД у смолтов достоверно возрастает количество ФИ, ФС, ФЭА и ФХ (рис. 4).
Рис. 4. Динамика некоторых фосфолипидных классов (% сухого вещества) в мышцах молоди атлантического лосося в трех исследованных экспериментальных вариантах в марте. На рисунке использованы следующие аббревиатуры для исследованных фосфолипидных классов: ФИ – фосфатидилинозитол, ФС – фосфатидилсерин, ФЭА – фосфатидилэтаноламин, ФХ – фосфатидилхолин, ЛФХ – лизофосфатидилхолин, СФМ – сфингомиелин
Липидный профиль печени пестряток и смолтов атлантического лосося
Несколько иной результат (по сравнению с мышцами) по содержанию ОЛ выявлен в печени: у рыб групп 24LD + KK и ЕстLD + КД установлено недостоверное увеличение данного показателя (с 28.44 до 32.57 и с 24.19 до 27.19% сухого вещества соответственно), в то время как в группе 24LD + KД наблюдается достоверное увеличение количества ОЛ у смолтов по сравнению с пестрятками (с 34.56 до 17.08% сухого вещества).
Липидный профиль печени пестряток и смолтов представлен ТАГ, содержание которых колебалось в пределах от 4.41 до 6.68%, ФЛ – от 2.72 до 6.34%, ХС – от 2.6 до 5.98%, СЖК – от 2.45 до 4.28%, ЭХС – от 2.72 до 8.3%, восков – от 0.8 до 1.54%, ДАГ – от 1.03 до 1.79%, МАГ – от 0.33 до 1.06% (рис. 5).
Рис. 5. Динамика липидных классов (% сухого вещества) в печени молоди атлантического лосося в трех исследованных экспериментальных вариантах в марте
Не обнаружено достоверных отличий в содержании липидных классов в печени пестряток между группами 24LD + KK и ЕстLD + KД. Показано, что у рыб в группе 24LD + KД по сравнению с ЕстLD + KK достоверно выше содержание МАГ, восков и ЭХС. В печени смолтов выявлено достоверно меньшее содержание исследованных липидных классов в группе 24LD + KД по сравнению с 24LD + KK и ЕстLD + KД, за исключением ТАГ.
У рыб в группах 24LD + KK и ЕстLD + KД не выявлено статистически значимой динамики в изменении основных липидных классов в печени смолтов по сравнению с пестрятками. При этом у рыб группы 24LD + KД наблюдается снижение всех липидных классов (для ТАГ и восков – недостоверное). Во всех группах наблюдается увеличение отношения ТАГ/ФЛ (достоверное только для рыб 24LD + KД).
Среди фосфолипидов печени пестряток и смолтов, как и в мышцах, показано доминирование ФХ (1.69–4.14%) и ФЭА (0.76–1.52%). Не выявлено выраженной динамики основных фосфолипидных классов у рыб 24LD + KK и ЕстLD + KД. При этом в группе 24LD + KД у смолтов показано их снижение (достоверное для всех компонентов, кроме ЛФХ) (рис. 6).
Рис. 6. Динамика некоторых фосфолипидных классов (% сухого вещества) в печени молоди атлантического лосося в трех исследованных экспериментальных вариантах в марте
Обсуждение
Результаты исследования свидетельствуют о том, что в марте, после так называемого зимнего окна, у молоди атлантического лосося трех экспериментальных групп, подвергшихся на этапе сеголетков действию различных режимов освещения и кормления, обнаружено некоторое снижение количества общих липидов в мышцах смолтов по сравнению с пестрятками, за исключением рыб группы 24LD + KД, в которой в процессе трансформации “пестряток – смолт” этот показатель остался практически неизменным. Наблюдается продолжение тенденции, выявленной в первой части (сентябрь – ноябрь) исследования (Мурзина и др., 2023a), когда было отмечено снижение в ноябре содержания общих липидов во всех изученных вариантах эксперимента у сеголеток к ноябрю, что является одним из индикаторов смолтификации (Мурзина и др., 2023a, 2023b).
Известно, что в процессе “переключения” метаболизма в связи с подготовкой к новым условиям обитания у лососевых рыб снижение запасов липидов происходит преимущественно за счет ТАГ (Sheridan, 1989), при этом активизируются процессы липолиза и, напротив, снижение липогенеза. В данном исследовании показано некоторое (недостоверное) снижение ТАГ в мышцах при смолтификации у рыб во всех исследованных вариантах, кроме группы 24LD + KД. В целом для рыб из групп 24LD + KK и ЕстLD + KД отмечена общность состояния: недостоверное снижение исследованных липидных классов (за исключением ДАГ, содержание которых незначительно и недостоверно увеличивается в группе 24LD + KK).
Соотношение энергетических липидов к структурным, ТАГ/ФЛ – показатель, отражающий направленность и активность процессов энергетического и пластического обменов. Снижение данного показателя может указывать на усиление энергетического обмена и на участие именно запасных липидов в поддержании энергетических потребностей организма в этот период, в том числе на прирост массы. В мышцах молоди лосося в группе 24LD + KK наблюдается незначительное и недостоверное снижение данного показателя, что может указывать на продолжение и завершение тенденции, более четко выраженной ранее у сеголеток. Вероятно, период энергоемких метаболических изменений завершен и наблюдается переход к накоплению энергетических запасов в мышцах. Дополняет данное предположение и недостоверное увеличение этого показателя у смолтов в ЕстLD + KД, у которых, судя по всему, на уровне липидного обмена перестройка организма при смолтификации происходит единым “паттерном” с рыбами группы 24LD + KK. В мышцах рыб группы 24LD + KД также наблюдается недостоверное снижение данного показателя.
В фосфолипидном профиле мышц молоди лосося показано достоверное увеличение ФС у смолтов 24LD + KK и 24LD + KД по сравнению с пестрятками. Известно, что ФС имеет особое значение для рыб, у которых происходят значительные колебания солености окружающей среды на отдельных этапах жизненного цикла, поскольку известно, что ФС участвует в регуляции активности “ферментов осморегуляции”, чем обеспечивается поддержание гомеостаза организма к жизни в новых условиях среды (Геннис, 1997). Недостоверное снижение ФС у молоди ЕстLD + KК может указывать на схожую направленность перестройки метаболизма, но скорость таковых процессов ниже по сравнению со смолтами группы 24LD + KK. Отмечена схожесть состава и динамики изменении отдельных ФЛ у смолтов групп 24LD + KK и ЕстLD + KД.
Недостоверные изменения остальных исследованных ФЛ в мышцах рыб групп 24LD + KK и ЕстLD + KД, включая доминирующие ФЭА и ФХ на фоне плавного снижения минорного ЛФХ, могут указывать, с одной стороны, на то, что в процессе смолтификации ФЛ, особенно мажорные по количеству, изменяются слабо, выполняя основную структурную функцию в организме. Реорганизация ФЛ-состава достигается за счет минорных ФЛ, в большей степени тех, что принимают участие в осморегуляции, тем самым изменения фосфолипидного профиля в данных группах происходят на подготовительном этапе смолтификации (Мурзина и др., 2023b), а в марте наблюдается “следовой эффект” перестроек на уровне ФЛ.
В печени рыб из групп 24LD + KK и ЕстLD + KД установлено недостоверное изменение всех исследованных показателей, что может указывать на функционирование данного органа в состоянии нормы. Тем самым основные и выраженные изменения метаболизма с участием липидов в процессе смолтификации у лосося в данных экспериментальных условиях показаны для мышц. При этом у рыб из группы 24LD + KД, напротив, показано достоверное и значительное снижение липидных показателей в печени, от ОЛ до минорных фосфолипидов, что указывает на долговременную перестройку липогенеза в печени, вплоть до смолтов (март), на введенное круглосуточное освещение еще на этапе сеголетка (сентябрь – ноябрь). Следует отметить, что доля смолтов, как показано в эксперименте, в группе 24LD + KД была меньше, чем в группах 24LD + KK и ЕстLD + KК (25% против 50 и 40% соответственно).
Заключение
Таким образом, введение в технологический цикл выращивания молоди лосося в условиях аквакультуры круглосуточного освещения и кормления позволяет получать жизнеспособных смолтов уже на первом году жизни, на что указывают результаты количественной оценки состава липидов. Показано, что на уровне липидного обмена после “зимнего окна” наблюдается завершение трансформационных процессов (большинство трендов имели плавный характер изменений), что в конечном счете приводит к формированию смолтов и готовности молоди лосося к переселению в морскую среду обитания. В целом результаты изменения липидного состава исследованной молоди лосося свидетельствуют о наступлении смолтификации, причем во всех группах, однако этот эффект наиболее выражен для молоди, содержащейся при круглосуточном освещении в летне-осенний сезон (группы 24LD+КК и ЕстLD+КД).
Исследование биохимических механизмов влияния дополнительного искусственного освещения на процессы роста и раннего развития лососевых рыб в аквакультуре позволяют выявлять закономерности замедленного или ускоренного роста, а также наступления периода смолтификации. Результаты этих исследований могут иметь значение не только для понимания особенностей раннего развития лососевых, но и для научного обоснования эффективности введения дополнительных факторов (в данном случае – светового режима) в технологию их выращивания в условиях аквакультуры в различных географических и климатических регионах РФ.
Финансирование работы
Работа проведена при финансовой поддержке проекта Российского научного фонда № 19-14-00081-П “Влияние физических факторов на эффективность искусственного (заводского) воспроизводства молоди атлантического лосося Salmo salar: физиолого-биохимическая и молекулярно-генетическая характеристика”.
Соблюдение этических стандартов
Это исследование было одобрено Комитетом по биоэтике ИБ КарНЦ РАН (протокол по биоэтике №02 от 16 октября 2023 г.)
Конфликт интересов
Авторы заявляют об отсутствии конфликта интересов.
Об авторах
Д. С. Провоторов
Институт биологии – обособленное подразделение ФГБУН ФИЦ “Карельский научный центр Российской академии наук”
Автор, ответственный за переписку.
Email: klaydim1@mail.ru
Россия, ул. Пушкинская, 11, Петрозаводск,185910
С. А. Мурзина
Институт биологии – обособленное подразделение ФГБУН ФИЦ “Карельский научный центр Российской академии наук”
Email: klaydim1@mail.ru
Россия, ул. Пушкинская, 11, Петрозаводск,185910
В. П. Воронин
Институт биологии – обособленное подразделение ФГБУН ФИЦ “Карельский научный центр Российской академии наук”
Email: klaydim1@mail.ru
Россия, ул. Пушкинская, 11, Петрозаводск,185910
Д. И. Манойлова
Институт биологии – обособленное подразделение ФГБУН ФИЦ “Карельский научный центр Российской академии наук”
Email: klaydim1@mail.ru
Россия, ул. Пушкинская, 11, Петрозаводск,185910
М. В. Кузнецова
Институт биологии – обособленное подразделение ФГБУН ФИЦ “Карельский научный центр Российской академии наук”
Email: klaydim1@mail.ru
Россия, ул. Пушкинская, 11, Петрозаводск,185910
А. Е. Курицын
Институт биологии – обособленное подразделение ФГБУН ФИЦ “Карельский научный центр Российской академии наук”
Email: klaydim1@mail.ru
Россия, ул. Пушкинская, 11, Петрозаводск,185910
Н. Н. Немова
Институт биологии – обособленное подразделение ФГБУН ФИЦ “Карельский научный центр Российской академии наук”
Email: klaydim1@mail.ru
Россия, ул. Пушкинская, 11, Петрозаводск,185910
Список литературы
- Геннис Р. Биомембраны: Молекулярная структура и функции. М.: Мир, 1997. 624 с.
- Кейтс М. Техника липидологии: Выделение, анализ и идентификация липидов. М.: Мир, 1975. 322 c.
- Мурзина С.А., Провоторов Д.С., Воронин В.П., Кузнецова М.В., Курицын А.Е., Немова Н.Н. Показатели липидного обмена у сеголеток атлантического лосося Salmo salar в условиях аквакультуры в южном регионе РФ при разных режимах освещения и кормления // Известия РАН. Серия биологическая. 2023a. № 2. С. 134–148.
- Мурзина С.А., Провоторов Д.С., Воронин В.П., Манойлова Д.И., Курицын А.Е., Пеккоева С.Н., Немова Н.Н. Фосфолипидный состав сеголеток атлантического лосося Salmo salar в процессе роста и развития в аквакультуре: влияние разных режимов освещения и кормления // Доклады Российской академии наук. Науки о жизни. 2023b. Т. 509. С. 181–185.
- Немова Н.Н., Мурзина С.А., Лысенко Л.А., Мещерякова О.В., Чурова М.В., Канцерова Н.П., Нефедова З.А., Крупнова М.Ю., Пеккоева С.Н., Руоколайнен Т.Р., Веселов А.Е., Ефремов Д.А. Эколого-биохимический статус атлантического лосося Salmo salar L. и кумжи Salmo trutta L. в раннем развитии // Журн. общ. биол. 2019. Т. 80. № 3. С. 175–186.
- Немова Н.Н., Нефедова З.А., Пеккоева С.Н., Воронин В.П., Руоколайнен Т.Р., Мурзина С.А. Влияние фотопериода на липидный спектр молоди атлантического лосося Salmo salar L. // Росс. физиол. журн. им. И.М. Сеченова. 2020. Т. 106. № 5. С. 622–630.
- Шульгина Н.С., Чурова М.В., Немова Н.Н. Влияние фотопериода на рост и развитие лососевых Salmonidae северных широт // Журн. общ. биол. 2021. Т. 82. № 1. С. 68–80.
- Björnsson B. Th., Young G., Lin R.J., Deftos L.J., Bern H.A. Smoltification and seawater adaptation of coho salmon, Oncorhynchus kisutch: plasma calcitonin levels, calcium regulation and osmoregulation // Gen. Comp. Endocrinol. 1989. V. 74. P. 346–354.
- Duncan N.J., Auchinachie N., Robertson D., Murray R., Bromage N. Growth, maturation and survival of out-of-season 0+ and 1+ Atlantic salmon (Salmo salar) smolts // Aquaculture. 1998. V. 168. P. 325–339.
- Duston J., Saunders R.L. The entrainment role of photoperiod on hypoosmoregulatory and growth, related aspects of smolting in Atlantic salmon (Salmo salar) // Can. J. Zool. 1990. V. 68. № 4. P. 707–715.
- Duston J., Saunders R.L. Effect of 6-, 12-, and 18-month photoperiod cycles on smolting and sexual maturation in juvenile Atlantic salmon (Salmo salar) // Can. J. Fish. Aquat. Sci. 1992. V. 49. P. 2273–2280.
- Duston J., Saunders R.L. Advancing smolting to autumn in age 0+ Atlantic salmon by photoperiod, and long-term performance in sea water // Aquaculture. 1995. V. 135. № 4. P. 295–309.
- Folch J., Lees M., Sloan-Stanley G.H. A simple method for the isolation and purification of total lipids animal tissue (for brain, liver and muscle) // J. Biol. Chem. 1957. Vol. 226. P. 497–509.
- Handeland S.O., Stefansson S.O. Photoperiod control and influence of body size on off-season parr-smolt transformation and post-smolt growth // Aquaculture. 2001. V. 192. P. 291–307.
- Hellwig J. Defining parameters for a reproducible TLC-separation of phospholipids using ADC 2. Diploma thesis, University of Applied Sciences Northwestern Switzerland (FHNW), 2005.
- Mason E.G., Gallant R.K., Wood L. Productivity enhancement of rainbow trout using photoperiod manipulation // Bull. Aquac. Assoc. Can. 1992. V. 91. P. 44–46.
- Nemova N.N., Nefedova Z.A., Pekkoeva S.N., Voronin V.P., Shulgina N.S., Churova M.V., Murzina S.A. The Effect of the Photoperiod on the Fatty Acid Profile and Weight in Hatchery-Reared Underyearlings and Yearlings of Atlantic Salmon Salmo salar L // Biomolecules. 2020. V. 10. № 6. P. 845.
- Olsen R.E., Henderson R.J. The rapid analysis of neutral and polar marine lipids using double development HPTLC and scanning densitometry // J. Exp. Mar. Biol. Ecol. 1989. Vol. 129. P. 189–197.
- Rowe D.K., Thorpe J.E., Shanks A.M. Role of fat stores in the maturation of male Atlantic salmon (Salmo salar) parr // Can. J. Fish. Aquat. Sci. 1991. V. 48. P. 405–413.
- Saunders R.L., Henderson E.B. Effects of constant day length on sexual maturation and growth of Atlantic salmon (Salmo salar) parr // Can. J. Fish. Aquat. Sc. 1988. V. 45. P. 60–64.
- Sheridan M.A. Alterations in lipid metabolism accompanying smoltification and seawater adaptation of salmonid fish // Aquaculture. 1989. V. 82 (1–4). P. 191–204.
- Thrush M.A., Duncan N.J., Bromage N.R. The use of photoperiod in the production of out-of-season Atlantic salmon (Salmo salar) smolts // Aquaculture. 1994. V. 121. P. 29–44.
- Thrush M.N., Duncan N.L., Bromage N.R. The use of photoperiod in the production of out-of season Atlantic salmon (Salmo salar) smolts // Aquaculture. 1999. V. 121. № 1–3. P. 29–44.
- Wedemeyer G.A., Saunders R.L., Clarke W.C. Environmental factors affecting smoltification and early marine survival of anadromous salmonids // Mar. Fish. Rev. 1980. V. 42. P. 1–14.
Дополнительные файлы









