Basic Limitations of Self-Organisation on Examples of High- and Low-Integrated Very Complex Systems (Mammalian Skeleton Elements and Mammalian Fossil Assemblages): from Empirical Evidences to the Theory
- Authors: Puzachenko A.Y.1
-
Affiliations:
- Institute of Geography Russian Academy of Science
- Issue: No 7 (2023)
- Pages: 39-53
- Section: УСТОЙЧИВОСТЬ БИОЛОГИЧЕСКИХ СИСТЕМ: ОРГАНИЗМ
- URL: https://bakhtiniada.ru/1026-3470/article/view/135545
- DOI: https://doi.org/10.31857/S1026347023600176
- EDN: https://elibrary.ru/VGLMOB
- ID: 135545
Cite item
Full Text
Abstract
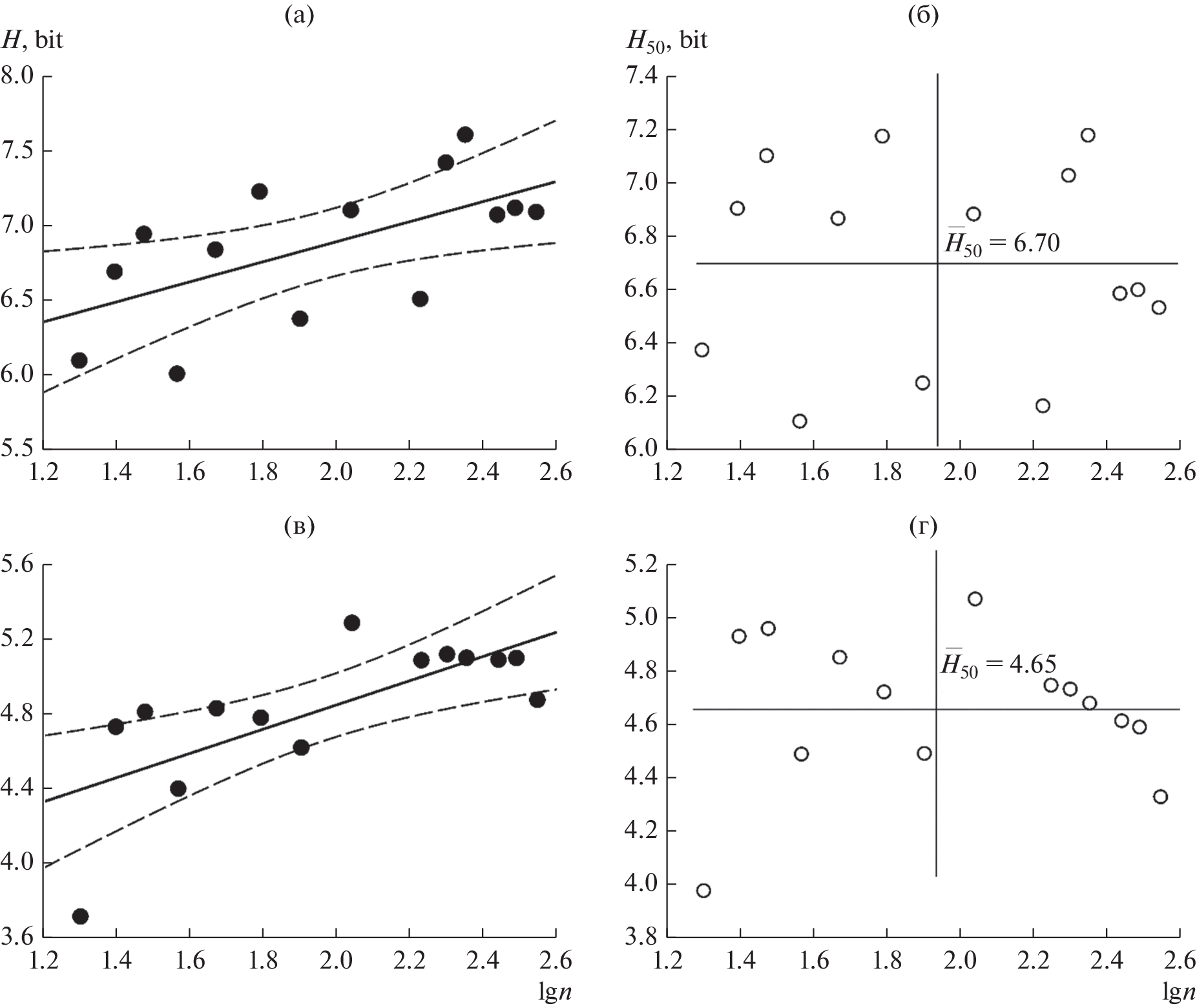
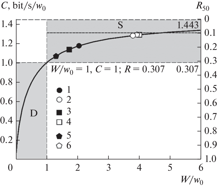
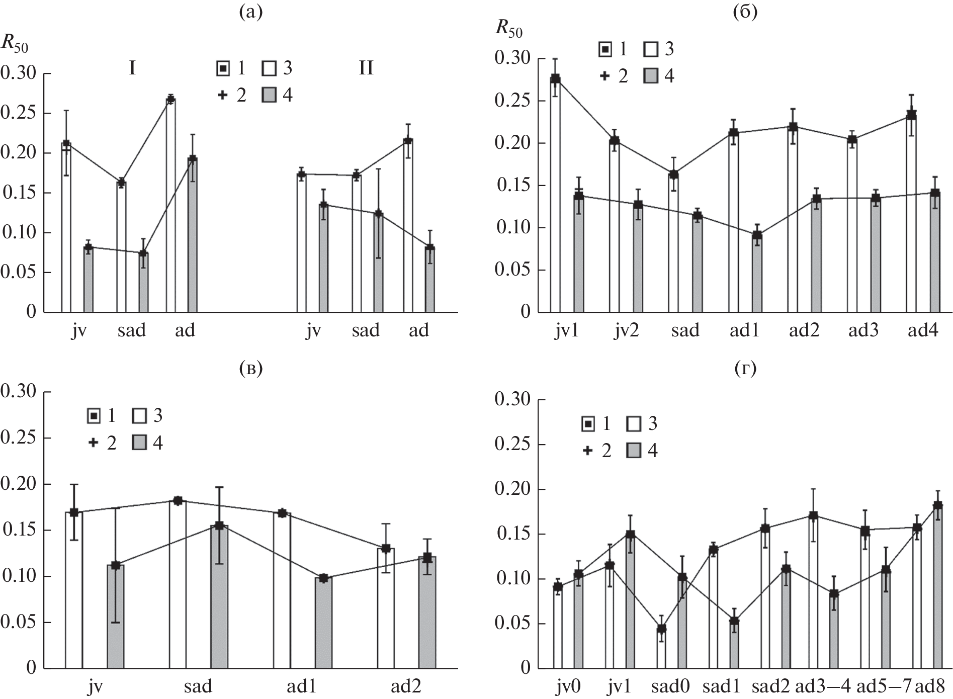
A high variety is a characteristic attribute of any material phenomena and processes involving living matter, i.e., very complex systems (VCC). We verified the presence of fundamental constraints on size/shape diversity and self-organization on the example of a mammalian skeleton in four orders (41 species.) The properties of more than 4700 multidimensional descriptive models of VCC were studied. A self-organization index R (0 ≤ R ≤ 1) was calculated for each model, its range of variability was mainly limited to the interval from ~0.10 to ~0.30. The concepts of an abstract Ashby’ regulator and the Shannon-Hartley theorem were used to explain the variation in the empirical data. It was concluded that there are significant constraints on a quality of morphological diversity regulation and the possible level of self-organization of VCCs for steady states.
About the authors
A. Yu. Puzachenko
Institute of Geography Russian Academy of Science
Author for correspondence.
Email: puzak@igras.ru
Russia, 119017, Moscow, Staromonetniy per., 29
References
- Васильев К.К., Глушков В.А., Дормидонтов А.В., Нестеренко А.Г. Теория электрической связи: учебное пособие. Ульяновск: УлГТУ, 2008. 452 с.
- Вернадский В.И. Живое вещество. М.: Наука, 1978. 358 с.
- Гершунин С.А., Алов, А.А. Революция в физике начала XX в.: единство философских идей и научных теорий // Экономические и социально-гуманитарные исследования. 2019. № 3(23). С. 82–90.
- Куприянова И.Ф., Пузаченко А.Ю., Агаджанян А.К. Временные и пространственные компоненты изменчивости черепа обыкновенной бурозубки, Sorex araneus (Insectivora) // Зоол. журн. 2003. Т. 82. № 7. С. 839–851.
- Майнцер К. Сложносистемное мышление: Материя, разум, человечество. Новый синтез. Москва: Книжный дом “ЛИБРОКОМ”, 2009. 464 с.
- Пузаченко А.Ю. Внутрипопуляционная изменчивость черепа обыкновенного слепыша Spalax microphthalmus (Spalacidae, Rodentia). 1. Методика анализа данных, не возрастная изменчивость самцов // Зоол. журн. 2001. Т. 80. № 3. С. 1–15.
- Пузаченко А.Ю. Закон Шеннона–Хартли и предел внутренней упорядоченности биологических систем // Принципы экологии. 2020. Т. 3. С. 28–44.
- Пузаченко А.Ю. Инварианты и динамика морфологического разнообразия (на примере черепа млекопитающих). Дис. … д-ра. биол. наук. М., 2013. 417 с.
- Пузаченко А.Ю. Информационные переменные морфометрического разнообразия млекопитающих. Териофауна Россия и сопредельных территории: Материалы Междунар. совещ. (IX Съезд Териологического общества при РАН). М.: Товарищество научных изданий КМК. 2011. С. 384.
- Пузаченко А.Ю. Количественные закономерности морфологического разнообразия черепа млекопитающих. Сборник трудов Зоологического музея МГУ. 2016. Т. 54 / Павлинов, И.Я, Калякин, М.В., Сысоев, А.В., ред. М.: Товарищество науч. изд. КМК. С. 229–268.
- Пузаченко А.Ю. Применение многомерного шкалирования в анализе структуры морфологической изменчивости. Систематика и филогения грызунов и зайцеобразных / Агаджаняна А.К., Орлова В.Н. ред. М.: РАСХН. 2000. С. 137–140.
- Пузаченко А.Ю. Энтропия как мера морфологического разнообразия. Териологические исследования. Вып III / Голенищев Ф.Н., Баранова Г.И. СПб. 2003. С. 60–81.
- Пузаченко Ю.Г. Биологическое разнообразие в биосфере: системологический и семантический анализ // Биосфера. 2009. Т. 1. № 1. С. 25–38.
- Пузаченко Ю.Г. Биологическое разнообразие, устойчивость и функционирование. Проблемы устойчивости биологических систем. М.: ИЭМЭЖ АН СССР. 1982. С. 5–32.
- Пузаченко Ю.Г. Семантические аспекты информатики. Экоинформатика. Теория. Практика. Методы и системы / Соколов, В.Е. ред. Санкт-Петербург: Гидрометеоиздат. 1992. С. 7–84.
- Урсул А.Д. Темная материя и универсальная эволюция. Универсальная и глобальная история. Эволюция вселенной, земли, жизни и общества. Волгоград: “Учитель”, 2012. С. 208–231.
- Яблоков А.В. Изменчивость млекопитающих. М.: Наука, 1966. 364 с.
- Abramov A.V. Puzachenko A.Y. Species Co-Existence and Morphological Divergence in West Siberian Mustelids (Carnivora, Mustelidae) // Mam. Study. 2012. V. 37. № 3. P. 255–259.
- Abramov A.V., Puzachenko A.Y. Species co-existence and morphological divergence in West Siberian mustelids (Carnivora, Mustelidae) // Mam. Stud. 2012. V. 37. P. 255–259.
- Abramov A.V., Puzachenko A.Y., Wiig, Ø. Cranial variation in the European badger Meles meles (Carnivora, Mustelidae) in Scandinavia // Zool. J. the Linn. Soc. 200. V. 157. P. 433–450.
- Ashby W.R. An introduction to cybernetics. London: Chapman & Hall. 1956. 306 p.
- Ashby W.R. Principles of the self-organizing dynamic system // J. Gen. Psych. 1947. V. 37. P. 125–128.
- Ashby W.R. Principles of the self-organizing system. Principles of Self-organization:Transactions of the University of Illinois Symposium / Foerster H. von G., Zopf W., Jr. eds. UK. London: Pergamon Press. 1962. P. 255–278.
- Ashby W.R. Requisite variety and its implications for the control of complex systems // Cybernetica. 1958. V. 1. № 2. P. 83–99.
- Atlan H. Sources of Information in Biological Systems // IFAC Proc. Vol. 1977. V. 10. № 12. P. 177–184.
- Aulin A.Y. The law of requisite hierarchy // Kybernetes. 1979. V. 8. P. 259–266.
- Baryshnikov G.F., Puzachenko A.Y. Morphometry of lower cheek teeth of cave bears (Carnivora, Ursidae) with the general remarks on the cheek teeth variability. Boreas. 2020. V. 49, 562–593.
- Beer S. Cybernetics and Management, London: English Universities Press. 1959. 214 p.
- Bertalanffy L. von. General System Theory – A Critical Review // General Systems. 1962. V. VII. P. 1–20.
- Bohórquez Arévalo L.E., Espinosa, A. Theoretical approaches to managing complexity in organisations: a comparative analysis // Estud. Gerenciales, 2015. V. 31. P. 20–29.
- Brillouin L. Science and Information Theory. N.Y.: Academic Press Inc., 1962. Second ed. 320 p.
- Cilliers P. Complexity and Postmodernism. Understanding Complex Systems. London: Routledge. 1998. 154 p.
- Collier J. Information in Biological Systems. Handbook of Philosophy of Science, V. 8. Philosophy of Information / Adriaans P., Benthem J. van eds. Amsterdam: Elsevier. 2008. P. 763–787.
- Conant R.C., Ashby R.W. Every good regulator of a system must be a model of that system // Int. J. Sys. Sci. 1970. V. 1. № 2. P. 89–97.
- Davison M.L., Jones L.E. Special issue: multidimensional scaling and its applications // Appl. Psych. Meas. 1983. V. 7. P. 373–514.
- Di Marzo Serugendo G., Foukia N., Hassas S., Karageorgos A., Most’efaoui S.K., Rana O.F., Ulieru M., Valckenaers P., Aart C. van Self-organisation: Paradigms and applications. Lecture Notes in Artificial Intelligence / Di Marzo Serugendo G., Karageorgos A., Rana O.F., Zambonelli F. eds. Eng. Self-Org. Syst., ESOA. 2003, LNICS. V. 2977, 2004, Berlin, Heidelberg: Springer. P. 1–19.
- Doughty A.M., Kaplan M.R., Peltier C., Barker S. A maximum in global glacier extent during MIS 4 // Quat. Sci. Rev. 2021. V. 261. P. 106948.
- Foerster H. von. On Self-Organizing Systems and Their Environments // Self-Org. Sys. 1960. V. 50. P. 31–50.
- Foote M. Nearest-Neighbor Analysis of Trilobite Morphospace // Syst. Zool. 1990. V. 39. № 4. P. 371–382.
- Foote M. The evolution of morphological diversity // Annu. Rev. Ecol. Syst. 1997. V. 28. P. 129–152.
- Gershenson C., Polani D., Martius G. Editorial: complexity and self-organization // Front. Robot. 2021. V. AI 8: 668305.
- Green D.G., Sadedin S., Leishman T.G. Self-organization. Encyclopedia of Ecology 1. Elsevier B.V. 2008. P. 628–636.
- Haken H. Information and Self-Organization. A Macroscopic Approach to Complex Systems. Springer Series in Synergetics. Berlin, Heidelberg: Springer-Verlag. 2006. 258 p.
- Hawking S. The Theory of Everything: The Origin and Fate of the Universe. California, Beverly Hills: New Millennium Press, 2002. 176 p.
- Heylighen, F. The growth of structural and functional complexity during evolution. The evolution of complexity / Heylighen F., Bollen J., and Riegler A. eds., Dordrecht: Kluwer Academic/Plenum Publishers. 1999. P. 17–44.
- Holden, L.M. Complex adaptive systems: concept analysis // J. Adv. Nurs. 2005. V. 52. P. 651–657.
- Kendall M.G. Rank Correlation Methods. 4th ed. London: Charles Griffin and Co. 1975. 202 p.
- Kruskal B. Multidimensional scaling by optimizing goodness of fit to nonmetric hypothesis // Psychometrika. 1964. V. 29. P. 1–27.
- Ladyman J., Lambert J., Wiesner K. What is a complex system? // Eur. J. Philos., 2013. V. 3. P. 33–67.
- Ma’ayan A., Complex systems biology // J. R. Soc. Interface. 2017. V. 14. P. 20170391.
- McCowan B., Hanser S.F., Doyle L.R. Using information theory to assess the diversity, complexity, and development of communicative repertoires // J. Comp. Psychol. 2002. V. 116. № 2. P. 166–172.
- McGhee G.R. Jr. The Geometry of Evolution Adaptive Landscapes and Theoretical Morphospaces. U.K.: Cambridge University Press. 2007. 200 p.
- McGhee G.R. Jr. Theoretical morphology: The concept and its applications. Analytical Paleobiology / Glinsky N.L., Signor P.W. eds. 1991. P. 87–102.
- Nicolis J.S. Dynamics of Hierarchical Systems. An Evolutionary Approach. Springer Series in Synergetics. 1986. V. 25. Berlin, Heidelberg, N.Y., Tokyo: Springer-Verlag. 412 p.
- Pavlinov I.Ya. Morphological Disparity: An Attempt to Widen and to Formalize the Concept / Research in Biodiversity – Models and Applications, Pavlinov I.Ya. ed., London: IntechOpen. 2011. P. 341–364.
- Puzachenko A. Diversity of regional complexes of mammals in Europe at the boundary between Pleistocene and Holocene // Principy èkologii. 2019. № 3. P. 74‒100.
- Puzachenko A.Y., Abramov A.V., Rozhnov V.V. Cranial variation and taxonomic content of the marbled polecat Vormela peregusna (Mustelidae, Carnivora) // Mam. Biol. 2017. V. 83. P. 10–20.
- Puzachenko A.Y., Korablev N.P. Morphological diversity in the postnatal skull development in representatives of two families of rodents (Spalacidae, Castoridae, Rodentia) // Rus. J. Dev. Biol. 2014. V. 45. № 3. P. 149–162.
- Puzachenko A.Y., Markova A.K. Evolution of Mammalian Diversity in the Late Pleistocene–Middle Holocene of the Mountainous Regions of Northern Eurasia: Between Two Interglacials // Biol. Bull. 2020. V. 47. № 2. P. 153–171.
- Puzachenko A.Y., Markova A.K. Using multidimensional analysis and information functions for macro description of European natural complexes in the second part of the Late Pleistocene and the Holocene // Dokl. Earth Sc. 2011. V. 437. № 1. P. 380–382.
- Puzachenko J.G. Information and information flows in the biosphere. Encyclopedia of Ecology / Jørgensen S.E., Fath B.D. eds. B.V. P. Oxford: Elsevier. 2008. P. 108–110.
- Raup D.M. Geometric analysis of shell coiling: General problems // J. Paleontol. V. 40. P. 1178–1190.
- Romer A.S, Parsons T.S. The vertebrate body. 6th ed. Philadelphia: Saunders College Pub. 1986. 679 p.
- Schneider T.D. 70% efficiency of bistate molecular machines explained by information theory, high dimensional geometry and evolutionary convergence // Nucl. Acid. Res. 2010. V. 38. № 18. P. 5995–6006.
- Schneider T.D. Evolution of biological information // Nucleic Acids Res. 2000. V. 28. № 14. P. 2794–2799.
- Schneider T.D. Theory of molecular machines. I. Channel capacity of molecular machines // J. Theor. Biol. 1991. V. 148. P. 83–123.
- Schrödinger E. What is Life? The Physical Aspect of the Living Cell. N.Y.: Cambridge University Press. 2012. 90 p.
- Shannon C.E. A Mathematical Theory of Communication // Bell Syst. Tech. J. 1948. V. 27. P. 379–423, 623–656.
- Shannon C.E. Communication in the Presence of Noise // Proc. IRE. 1949. V. 37. № 1. P. 10–21.
- Shannon C.E., Weaver W. The mathematical theory of communication. IL, Urbana and Chicago: University of Illinois Press. 1949. 35 p.
- Shepard B.N. The analysis of proximities: multidimensional scaling with unknown distance function // Psychometrika. 1962. V. 27. № 2. P. 125–140.
- Simpson G.G. Tempo and mode in evolution. N.Y.: Columbia University Press. 1944. 237 p.
- Tanner J.M. Regulation of growth in size in mammals // Nature. 1963. V. 899. P. 845–850.
- Tkačik G., Bialek W. Information Processing in Living Systems // An. Rev. Cond. Mat. Phys. 2016. V. 7. № 1. P. 89–117.
- Wiener N. Cybernetics: or Control and Communication in the Animal and the Machine. Cambridge, Mass.: The M.I.T. Press. 1961. Second ed. 212 p.
Supplementary files









