Supersonic Gas Flow in a Plane Channel with a Normal Glow Discharge in the Magnetic Field
- Authors: Surzhikov S.T.1
-
Affiliations:
- Ishlinsky Institute for Problems in Mechanics of the Russian Academy of Sciences
- Issue: No 5 (2024)
- Pages: 129-144
- Section: Articles
- URL: https://bakhtiniada.ru/1024-7084/article/view/283954
- DOI: https://doi.org/10.31857/S1024708424050123
- EDN: https://elibrary.ru/NQFWFM
- ID: 283954
Cite item
Full Text
Abstract
The results of numerical study of the interaction of supersonic molecular nitrogen flow with a normal glow discharge in a magnetic field at velocities M = 2 and 5 and a pressure of 0.6 Torr are given. It is shown that, depending on the polarization of the magnetic field induction vector, the magnetic field can both accelerate and slow down the motion of the discharge current column in gas flow. When there is no magnetic field, the normal glow discharge is not carried away by the flow, but moves at a noticeably lower velocity. This is a consequence of the influence of the gas boundary layers near the surfaces and a delay in the rate of ionization processes in the electric current column of gas-discharge plasma relative to the velocity of motion of the neutral gas that penetrates the discharge.
Full Text
Исходной мотивацией численных исследований нормального тлеющего разряда в работах [1, 2] была попытка объяснить причину выполнения закона Геля [3], в соответствии с которым при увеличении полного тока через нормальный тлеющий разряд постоянного тока, плотность тока в центре токового столба на катоде не изменяется, но его радиус пропорционально увеличивается. Результаты систематических численных расчетов позволили объяснить механизмы локализации токового столба нормального тлеющего разряда [4].
На следующем этапе развития численных моделей тлеющего разряда были решены двумерные задачи о динамике нормального тлеющего разряда в поперечном к токовому столбу магнитном поле [5], о поведении нормального тлеющего разряда в азимутальном магнитном поле [6]. В первом случае разряд перемещался между электродами перпендикулярно магнитному полю, а во втором случае закручивался в азимутальном направлении. Однако, нарушения закона нормальной плотности тока замечено не было.
В данной работе рассмотрено поведение нормального тлеющего разряда в плоском канале со сверхзвуковым потоком молекулярного азота. Отличительной особенностью данной задачи является то, что в данном случае вблизи поверхностей формируются пограничные слои, где скорость потока существенно меньше скорости в центральной области течения, в которой, к тому же, может формироваться ударно-волновая структура. Отмеченные газодинамические особенности течения достаточно подробно изучены в монографии [7]. Предполагается, что они могут оказывать заметное влияние на электродинамическую структуру разряда. Изучение этого влияния и является предметом данной работы.
МАТЕМАТИЧЕСКАЯ МОДЕЛЬ
Расчетная схема задачи, решаемой в двухмерной постановке, показана на рис. 1. Газовая динамика сверхзвукового потока газа в плоском канале описывается уравнениями неразрывности и Навье—Стокса, уравнением сохранения энергии относительно температуры газа, а также термическим и калорическим уравнениями состояния совершенного газа
, (1.1)
, (1.2)
, (1.3)
, (1.4)
, (1.5)
где u, v — проекции вектора скорости V на оси прямоугольной декартовой системы координат x и y; ρ, p — плотность и давление; μ — динамический коэффициент вязкости; cp — удельная теплоемкость при постоянном давлении; T — температура; λ — коэффициент теплопроводности; R0 × 107 эрг/(мольΧK) — универсальная газовая постоянная; MΣ = 28 г/моль — молекулярный вес газа (в рассматриваемом случае — молекулярного азота); e, cv – внутренняя энергия совершенного газа и удельная теплоемкость при постоянном объеме; γ = 1.4.
Рис. 1. Расчетная схема нормального тлеющего разряда в плоском канале с потоком газа.
Электродинамика тлеющего разряда в магнитном поле описывается уравнениями диффузионно-дрейфовой модели, в которой первые два уравнения позволяют определить поля концентраций электронов и ионов, а уравнение Пуассона — распределение электрического потенциала и напряженности электрического поля E = –gradφ [8]
, (1.6)
, (1.7)
, (1.9)
где t — время; e — заряд электрона; ne, ni — объемная концентрация электронов и ионов; α, β — коэффициенты ионизации и рекомбинации; — объемная скорость ионизационных процессов; компоненты векторов потоков электронов и ионов Γe, Γi рассчитываются по формулам [9]
Правая часть уравнений системы (1.2)–(1.4) содержат компоненты тензора вязких напряжений и диссипативную функцию
,
,
,
а также компоненты FB,x, FB,y магнитной силы FB = [j × B] и мощность джоулева тепловыделения в газе QJ = η (j ⋅ E), где j, B — векторы плотности тока и индукции магнитного поля; η ~ 0.1 ÷ 0.9 — коэффициент эффективности преобразования энергии электрического поля в нагрев газа. Представленные в данной работе результаты получены при η = 0.5.
В данной работе рассматривался частный двухмерный случай развития газодинамических и электродинамических процессов в переменных x–y, с вектором индукции внешнего магнитного поля, направленного только вдоль оси z B = ezBz, поэтому в системе электродинамических уравнений удобно использовать эффективные компоненты напряженности электрического поля [9]
. (1.10)
В систему уравнений (1.6), (1.7) входят коэффициенты, определяющие связь искомых функций ne, ni, φ с элементарными процессами, протекающими в газоразрядной плазме
где c — скорость света; me, mi — масса электронов и ионов; νen, νin — частоты столкновений электронов и ионов с нейтральными частицами; be, bi — параметры Холла электронов и ионов; ωe, ωi — ларморовские частоты электронов и ионов (здесь температуры электронов и ионов измеряются в эВ).
Подвижность электронов рассчитывается по формуле
,
где типичное значение частоты столкновений электронов с нейтральными частицами принято равным
,
поэтому при измерении давления в торах
.
Подвижность ионов рассчитывается по формуле
.
Температура электронов принята постоянной Te = 1 эВ = 11610 К, а температура ионов равной температуре газа T = Ti. Коэффициент рекомбинации полагался постоянным β = 2 ∙ 10–7 см3/с.
Первое слагаемое в правой части уравнений (1.6), (1.7) αΓe, задающее скорость ионизационных процессов, определяется произведением коэффициента ионизации a и модуля вектора плотности потока электронов . Коэффициент ионизации задается в форме 1-го ионизационного коэффициента Таунсенда, определяющего число пар заряженных частиц, рождаемых электроном в ускоряющем приведенном поле Е / р на единице длины траектории своего движения. Этот эмпирический коэффициент, рекомендуемый в [3] для ряда газов, рассчитывается для молекулярного азота по следующей формуле:
.
Данные коэффициенты рекомендуются для диапазона изменения приведенного поля < 600 В/(см · Торр).
Первый ионизационный коэффициент Таунсенда оставляется при учете магнитного поля без изменения, как характеристика ионизационных процессов при заданной плотности потока электронов и локального значения приведенного электрического поля . А модификации подвергается плотность потока электронов Γe ~ μe,BEeff, где компоненты эффективного электрического поля определяются формулами (1.10).
Очевидно, что при be < 1, т. е. в случае слабых магнитных полей, степень модификации объемной скорости ионизации оказывается не слишком заметной. Но при be >> 1 получается заметное снижение скорости ионизации, что качественно верно отражает тенденцию снижения эффективности ионизационных процессов при учете магнитного поля. Однако, как будет показано ниже, на процессы ионизации в решаемой задаче оказывают большое влияние и другие факторы.
Несмотря на то, что горящий в газовом потоке тлеющий разряд является сильно неравновесным физическим объектом, влиянием всех неравновесных физико-химических процессов на газовую динамику пренебрегаем.
Граничные условия для газодинамической части задачи
и условия второго рода для изменения функций вдоль потоковой координаты x на выходе из расчетной области, где газовый поток считается сверхзвуковым (тонкая дозвуковая область в пограничном слое у поверхности не приводит к нарушению устойчивости решения)
.
На поверхностях канала задаются условия прилипания и температура
,
где: Hy, Lx — высота и длина расчетной области.
Граничные условия для задачи о тлеющем разряде
,
, (поверхность катода)
, (поверхность анода)
.
Здесь V — падение напряжения на электродах, χ = 0.1 — коэффициент вторичной электронной эмиссии.
С целью расчета суммарного тока, протекающего через токовый столб разряда, учитывается внешняя электрическая цепь
,
где I — разрядный ток; e — э.д.с. источника питания; R0 — внешнее балластное сопротивление. Полный ток через разряд рассчитывается по формуле
,
где n — единичный вектор нормали к поверхности катода (к) и анода (а); j — плотность тока,
РЕЗУЛЬТАТЫ ЧИСЛЕННОГО МОДЕЛИРОВАНИЯ
Расчеты структуры нормального тлеющего разряда в плоском канале проводились при неизменной величине э.д.с. источника питания e = 1000 В и омическом сопротивлении внешней электрической цепи R0 = 12 кОм. На входе в канал задавалось давление pin = 0.6 Topp, температура Tin = 300 K и одна из двух скоростей потока молекулярного азота М = 2 или М = 5. Два расчета структуры разряда были выполнены в покоящемся газе. В отсутствие магнитного поля получена классическая структура нормального тлеющего разряда, которая использовалась в качестве начальных условий во всех других расчетах. Расчет тлеющего разряда в магнитном поле без потока газа позволил оценить скорость движения токового столба за счет его взаимодействия с магнитным полем. После проведения указанных расчетов было выполнено исследование электродинамической структуры нормального тлеющего разряда в сверхзвуковом потоке газа при противоположных поляризациях вектора индукции магнитного поля.
Рассмотрим поэтапно реализацию изложенной программы исследований. На рис. 2 показана электродинамическая структура классического нормального тлеющего разряда в молекулярном азоте при p = 0.6 Торр, e = 1000 V, R0 = 12 кОм. Приведенные на рис. 2 обозначения функций будут использоваться ниже для всех рисунков. Подробный анализ закономерностей существования нормального тлеющего разряда выполнен в работах [5, 8]. Здесь остановимся на важных для данной работы структурных элементах разряда.
Рис. 2. Электродинамическая структура нормального тлеющего разряда в покоящемся газе: (а) объемная концентрация электронов (ZE = ne / n0) и (б) ионов (ZI = ni / n0), (в) — электрический потенциал (Fi = φ / ε), (г) модуль напряженности электрического поля в В/см (EfieldM = |E|), (д) объемная скорость рождения электрон-ионных пар в 1/(см3с) (Rate_Ioniz = ). Белой рамкой показана область начального приближения конфигурации квазинейтральной плазмы. Здесь и далее n0 = 109 см-3.
Центр положительного столба разряда располагается при x = 5.5 см. В нем концентрации электронов и ионов практически одинаковы ne ≈ ni ≈ 30 × 109 см-3. Обратим внимание на разное поведение концентраций заряженных частиц в продольном (вдоль оси x) направлении. Вблизи катода (нижняя поверхность канала) располагается катодный слой пространственного положительного заряда. Здесь концентрация электронов примерно на два порядка ниже концентраций ионов. Высота катодного слоя порядка 1 ÷ 2 мм. В катодном слое наблюдается наибольшая концентрация ионов. Из рис. 2б видно, что ширина катодного слоя во много раз больше его высоты.
Вблизи верхней поверхности канала локализован анодный слой отрицательного объемного заряда. На самой поверхности концентрация ионов стремится к нулю. Положение токового столба тлеющего разряда хорошо идентифицируется по распределению электрического потенциала на рис. 2в. Хорошо видно, что наибольший градиент электрического потенциала сосредоточен в катодном слое, где формируется область наибольших значений напряженности электрического поля (рис. 2г). Следствием такой локализации напряженности является локализация областей наибольшей скорости ионизационных процессов: в наибольшей степени вблизи катодного слоя и значительно меньше — у анодного слоя (рис.2д).
На рис. 3 показаны газодинамические функции в плоском канале при М = 5. Исходные данные для расчета при М = 5 и М = 2 были следующие: pin = 0.658 × 104 эрг/см3 (0.6 Торр), Tin = 250 K, rin = 0.918 × 10-5 г/см3, uin = 1.57 × 105 см/с и uin = 0.65 × 105 см/с соответственно. Обратим внимание на элементы газодинамической структуры, которые важны для дальнейшего анализа тлеющего разряда. На распределении чисел Маха (рисунок 3а) видно наличие развивающихся вдоль поверхностей пограничных слоев, в которых скорость весьма быстро уменьшается к поверхности. Этот факт является принципиальным для понимания закономерностей формирования тлеющего разряда в сверхзвуковом потоке газа, важные структурные элементы которого, такие, как катодный и анодный слои пространственного положительного и отрицательного заряда, сосредоточены как раз в узкой пристеночной зоне, то есть практически — в пограничных слоях газового потока.
Рис. 3. Газовая динамика плоского канала при М = 5: а) — числа Маха, б) — температура в К, в) — давление в Торр, г) — плотность (Ro = ρ / ρin).
В центральной области канала, где располагается квазинейтральная область положительного столба тлеющего разряда наблюдается почти однородный газовый поток со скоростью uin ≈ 1.57 × 105 см/с. Область пограничных слоев характеризуется не только относительно низкой скоростью, но и возрастанием температуры нейтрального газа, которая оказывает заметное влияние на скорость ионизационных процессов (рис. 3б).
Важной особенностью сверхзвукового движения газа в плоском канале является формирование неоднородных полей давления и плотности (рис. 3в, г). Как уже отмечалось, детальный анализ указанных газодинамических закономерностей выполнен в монографии [7].
Рассмотрим динамику тлеющего разряда в магнитном поле индукций Bz = –0.01 Tл без учета потока нейтрального газа. На рис. 4 показаны распределения концентраций электронов и ионов, а на рис. 5 представлены модули напряженности электрического поля и объемной скорости ионизационных процессов в три последовательных момента времени после начала движения разряда от состояния равновесия (без магнитного поля). С использованием приведенных данных можно оценить скорость движения токового столба в положительном направлении оси x U ≈ 60 см/с.
Рис. 4. Распределение концентраций электронов (а, б, в) и ионов (г, д, е) в последовательные моменты времени t = 25.2 мс (а, г), 76.8 мс (б, д) и 107 мс (в, е) движения нормального тлеющего разряда в магнитном поле Bz = –0.01 Тл без газового потока.
Рис. 5. Распределение напряженности электрического поля (а, б, в) и скорости ионизационных процессов (г, д, е) в последовательные моменты времени t = 25.2 мс (а, г), 76.8 мс (б, д) и 107 мс (в, е) движения нормального тлеющего разряда в магнитном поле Bz = –0.01 Тл без газового потока.
Заметим, что направление перемещения токового столба легко оценить с использованием электродинамического правила “левой руки” [10]. Вблизи нижней поверхности направление тока от анода к катоду (по определению — это ток ионов). Поэтому в магнитном поле с отрицательным направлением вектора индукции магнитного поля (против оси z) генерируемая в столбе магнитная сила направлена в положительном направлении оси x. С целью проверки симметрии конечно-разностных операторов в разработанном компьютерном коде аналогичные расчеты при Bz = +0.01 Tл подтвердили идентичность результатов при движении плазменного столба в отрицательном направлении оси x. Относительно характера перемещения тлеющего разряда отметим следующее. После включения магнитного поля наблюдается начальная фаза взаимодействия с ним токового столба газоразрядной плазмы. В тлеющем разряде наблюдаются колебания ионных и электронных концентраций. Этот эффект был отмечен в [8]. На рисунках 4а и 4г частично отражена эта фаза процесса. После завершения колебательного процесса токовый столб начинает двигаться примерно с постоянной скоростью в положительном направлении оси х. Примечательно, что на рисунке 4д видна фаза запаздывания дрейфа ионов к катоду (область повышенной концентрации ионов при 5 см ≤ x ≤ 7 см). Электроны, обладающие большей подвижностью, уже покинули эту область. По причине меньшей подвижности и коэффициентов диффузии ионов, при движении разряда вдоль поверхности область катодного слоя запаздывает по сравнению с анодным слоем. Распределения модуля напряженности электрического поля и скорости ионизационных процессов в последовательные моменты времени (рис. 5) показывает их локализацию вблизи катодной и анодной поверхностей.
Последующая серия расчетов была посвящена изучению закономерностей движения тлеющего разряда без магнитного поля в газовых потоках при разных скоростях. До начала анализа полученных данных можно было бы предположить, что нормальный тлеющий разряд сносится потоком, поскольку вся нижняя и верхняя поверхности являются электродами, не имеющими границ, которые не могут ограничивать перемещения, как это наблюдается в аномальном тлеющем разряде [9]. Однако, конечно же, это не так, поскольку динамика токового столба в первую очередь определяется подвижностями заряженных частиц в электрическом поле и скоростью ионизационных процессов. То, что ионы имеют дрейфовые скорости, соизмеримые со скоростями движения нейтральных частиц несомненно оказывает влияние на перемещение токового столба, однако не является определяющим фактором. На рис. 6 и 7 показаны поля электронных и ионных концентраций в близкие моменты времени после начала движения при скорости потока М = 2 и М = 5 соответственно. Оценка скоростей перемещения токового столба вдоль канала дает U (M = 2) = 42 см/с и U (M = 5) = 400 см/с. Отметим хорошее сохранение токового столба при постепенном увеличении его поперечных размеров.
Рис. 6. Распределение концентраций электронов (а) и ионов (б) через Δt = 26 мс после начала движения разряда в потоке М = 2 без магнитного поля.
Рис. 7. Распределение концентраций электронов (а) и ионов (б) через Δt = 24 мс после начала движения разряда в потоке М = 5 без магнитного поля.
На рис. 8 показаны результаты расчетов нормального тлеющего разряда в потоке молекулярного азота при М = 2 и Bz = –0.01 Тл. Сравнивая распределения электронных и ионных концентраций в близкие моменты времени без учета магнитного поля и с учетом при t = 26 мс (рис. 6а, б) и t = 24,8 мс (рис. 8в и 8е) соответственно, отчетливо видим, что магнитное поле с отрицательной поляризацией вектора магнитной индукции весьма заметно ускоряет смещение токового столба в положительном направлении оси х.
Рис. 8. Распределение концентраций электронов (а, б, в) и ионов (г, д, е) в последовательные моменты времени t = 2.4 мс (а, г), 8 мс (б, д) и 24.8 мс (в, е) после начала движения разряда в потоке М = 2 с магнитным полем Bz = –0.01 Тл.
В данном случае оценка скорости смещения дает величину U = 85 см/с, заметно меньшую, чем скорость газа в центре канала, но большую, чем смещение в потоке М = 5 при отсутствие магнитного поля. Обращает на себя внимание постепенное изменение формы токового столба, характерное для учета магнитного поля (сравните с рис. 4). Как и прежде отметим заметно более быстрый уход электронов из периферийных областей токового столба, чем ионов. Естественно, что при скорости потока М = 5 с учетом магнитного поля с отрицательной поляризацией вектора магнитной индукции Bz = –0.01 Тл (рис. 9) наблюдается более быстрое смещение столба разряда. К моменту времени t = 16.9 мс (при М = 5) положительный столб разряда сместился примерно на 6 см (рис. 9в, е), в то время, как к моменту времени t = 24.8 мс (при М = 2) смещение составило примерно 1 см (рис. 8в, е). Скорость смещения в этом случае оценивается U = 380 см/с.
Рис. 9. Распределение концентраций электронов (а, б, в) и ионов (г, д, е) в последовательные моменты времени t = 2.5 мс (а, г), 8.4 мс (б, д) и 16.9 мс (в, е) после начала движения разряда в потоке М = 5 с магнитным полем Bz = –0.01 Тл.
Как уже отмечалось, в случае положительной поляризации вектора магнитного поля тлеющий разряд смещается в противоположную сторону. Это означает, что смещение токового столба в потоке газа должно замедлиться в лабораторной системе координат. Это отчетливо видно на результатах расчета при разных скоростях потока и Bz = +0.01 Тл. Сравнивая рис. 10 и 11, где показаны поля концентраций электронов и ионов при М = 2 и М = 5 видим, что при М = 2 токовый столб смещается в положительном направлении оси х с очень низкой скоростью, в данном случае — U = 7 см/с. Поля концентраций на рис. 10а и 10в соответствуют моменту времени t = 5.3 мс после начала движения от конфигураций, показанных на рис. 2а, б, а на рис. 10б и 10г — моменту времени t = 34.2 мс. Отметим запаздывание смещения анодного слоя, где в большей степени проявляется влияние магнитного поля. Для большей скорости потока (М = 5, рис. 11) также хорошо видно заметное торможение смещения разряда, особенно при сравнении с рис. 9. В данном случае скорость смещения оценивается величиной U ≈ 200 см/с.
Рис. 10. Распределение концентраций электронов (а, б) и ионов (в, г) в последовательные моменты времени t = 5.3 мс (а, в) и 34.1 мс (б, г) после начала движения разряда в потоке М = 2 с магнитным полем Bz = +0.01 Тл.
Рис. 11. Распределение концентраций электронов (а, б) и ионов (в, г) в последовательные моменты времени t = 2.8 мс (а, в) и 16.2 мс (б, г) после начала движения разряда в потоке М = 5 с магнитным полем Bz = +0.01 Тл.
На рис. 12 и 13 показаны поля модуля напряженности поля и скорости ионизационных процессов для случая положительной поляризации вектора магнитной индукции при скорости потока М = 2 и 5. Следует отметить качественные изменения в структуре поля скорости ионизации в сравнении с рис. 14 и 15 (Bz = –0.01 Тл). При Bz = +0.01 Тл область повышенной скорости ионизации у катода смещается вправо быстрее, чем у анода. В этом проявляется особенность горения разряда в газовом потоке: ионы значительно более чувствительны к скоростям нейтральных частиц. Электроны, скорости которых на 2-3 порядка больше, более чувствительны к искажению вектора напряженности электрического поля, связанного с внешним магнитным полем.
Рис. 12. Распределение напряженности электрического поля и скорости ионизационных процессов в момент времени t = 34.2 мс после начала движения нормального тлеющего разряда в магнитном поле Bz = +0.01 Тл и в потоке М = 2.
Рис. 13. Распределение напряженности электрического поля и скорости ионизационных процессов в момент времени t = 16245 мкс после начала движения нормального тлеющего разряда в магнитном поле Bz = +0.01 Тл и в потоке М = 5.
Рис. 14. Распределение напряженности электрического поля и скорости ионизационных процессов в момент времени t = 24.8 мс после начала движения нормального тлеющего разряда в магнитном поле Bz = –0.01 Тл и в потоке М = 2.
Рис. 15. Распределение напряженности электрического поля и скорости ионизационных процессов в момент времени t = 24.8 мс после начала движения нормального тлеющего разряда в магнитном поле Bz = –0.01 Тл и в потоке М = 5.
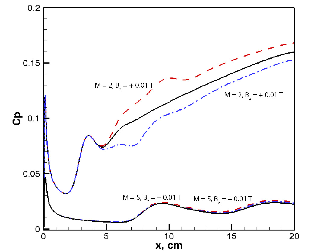
До настоящего момента рассматривалось только влияние движения нейтрального газа на структуру токового столба. Однако оказывается, что даже несмотря на то, что рассматриваемый тлеющий разряд является очень маломощным (в рассматриваемом случае типичная мощность оценивается величиной ≈ 1 Вт), можно увидеть и влияние разряда на газовую динамику. На рис. 16 показаны профили коэффициента давления
вдоль нижней поверхности примерно для одинаковых моментов времени после начала движения разряда. Хорошо видно, что при М = 2 наблюдается заметно большее, чем при М = 5, влияние разряда. Последний факт не вызывает удивления, поскольку для возмущения течения при большей скорости требуется большая энергия.
Рис. 16. Распределение коэффициента давления вдоль нижней поверхности при М = 2 и М = 5. Сплошные кривые — Bz = –0.01 Тл, штриховые кривые — Bz = +0.01 Тл; сплошная кривая — распределение коэффициента давления без разряда.
В табл. 1 подведен итог расчетам скорости перемещения токового столба нормального тлеющего разряда при двух скоростях потока молекулярного азота. В первой части таблицы приведены скорости движения газа в центре канала, которые соответствуют заданным числам Маха. Во второй части таблицы приведены приближенные значения скоростей перемещения U токового столба в разных условиях горения нормального тлеющего разряда. Представленные данные наглядно иллюстрируют влияние скорости газового потока и поляризации индукции магнитного поля на скорость перемещения U.
Таблица 1. Скорость нейтрального газа в центре канала и скорость перемещения токового канала в положительном направлении оси x при разных исходных данных
Газодинамика плоского канала без разряда | ||
М | u, см/с | |
2 | 0.65 × 105 | |
5 | 1.57 × 105 | |
Газодинамика плоского канала с разрядом | ||
М | Bz, Тл | U, см/с |
2 | 0 | 42 |
5 | 0 | 300 |
0 | 0 | 0 |
0 | –0.01 | 60 |
2 | –0.01 | 85 |
5 | –0.01 | 380 |
2 | +0.01 | 7 |
5 | +0.01 | 200 |
ЗАКЛЮЧЕНИЕ
Взаимодействие нормального тлеющего разряда во внешнем магнитном поле со сверхзвуковым потоком молекулярного азота в плоском канале при числах Маха М = 2 и М = 5 изучено с использованием двухмерной численной модели, использующей систему сопряженных уравнений Навье-Стокса и двухжидкостной двухтемпературной диффузионно-дрейфовой модели. Давление на входе потока в канал высотой 2 см полагалось равным 0.6 Торр, напряжение на противоположно расположенных поверхностях, выполняющих функции электродов, рассчитывалось с учетом внешней электрической цепи, содержащей омическое сопротивление 12 кОм и источник питания с э.д.с. 1000 В.
Показано, что нормальный тлеющий разряд движется между электродами со скоростью заметно меньшей, чем скорость газового потока. Скорость перемещения токового столба разряда вдоль поверхностей может модифицироваться внешним магнитным полем. Тлеющий разряд оказывает обратное влияние на газовую динамику. Показано изменение давления вдоль поверхности в зависимости от параметров магнитного поля, воздействующего на разряд.
ФИНАНСИРОВАНИЕ
Работа выполнена при поддержке Российского научного фонда (грант №22-11-00062).
КОНФЛИКТ ИНТЕРЕСОВ
Автор работы заявляет, что у него нет конфликта интересов
About the authors
S. T. Surzhikov
Ishlinsky Institute for Problems in Mechanics of the Russian Academy of Sciences
Author for correspondence.
Email: surg@ipmnet.ru
Russian Federation, Moscow
References
- Гладуш Г.Г., Самохин А.А. Численное исследование шнурования тока на электродах в тлеющем разряде // ПМТФ. 1981. № 5. С.15–23.
- Райзер Ю.П., Суржиков С.Т. Двумерная структура нормального тлеющего разряда и роль диффузии в формировании катодного и анодного пятен // Теплофизика высоких температур. 1988. Т.25. № 3. С.428–435.
- Райзер Ю.П. Физика газового разряда. М.: Наука, 1987. 591 с.
- Суржиков С.Т., Райзер Ю.П. Еще раз о природе эффекта нормальной плотности тока на катоде тлеющего разряда//Письма в ЖТФ. 1987. Т.13. №8. С.452-456
- Surzhikov S.T., Shang J.S. Two-component plasma model for two-dimensional glow discharge in magnetic field //Journal of Computational Physics. 2004. 199. pp.437-464.
- Surzhikov S.T., Shang J.S. Normal Glow Discharge in Axial Magnetic Field// Plasma Sources Sciences and Technology. 2014, Vol.23. 054017.
- Гуськов О.В., Копченов В.И., Липатов И.И., Острась В.Н., Старухин В.П. Процессы торможения сверхзвуковых течений в каналах. М.: Физматлит, 2008. 168 с.
- Surzhikov S.T. Theoretical and Computational Physics of Gas Discharge Phenomena. A Mathematical Introduction, 2nd ed. de Gruyter: Berlin, 2020, 537 p.
- Суржиков С.Т. Диффузионно-дрейфовая модель поверхностного тлеющего разряда в сверхзвуковом потоке газа//Изв. РАН. Механика жидкости и газа. 2024. №1. С.145–162.
- Тамм И.Е. Основы теории электричества. М.: Наука. Гл. ред. физ.-мат. лит. 1989. 504 с.
Supplementary files


















