Specific Features of Modeling Nanofluid Flows (a Review)
- Authors: Rudyak V.Y.1
-
Affiliations:
- Novosibirsk State University of Architecture and Civil Engineering
- Issue: No 5 (2024)
- Pages: 59-76
- Section: Articles
- URL: https://bakhtiniada.ru/1024-7084/article/view/283867
- DOI: https://doi.org/10.31857/S1024708424050069
- EDN: https://elibrary.ru/NQVZLW
- ID: 283867
Cite item
Full Text
Abstract
Problems arising when modeling nanofluids are discussed. The possibility of using two- and one-fluid descriptions is analyzed. The thermophysical properties of nanofluids are reviewed and it is shown that their viscosity and thermal conductivity depend not only on the concentration of nanoparticles, but also on their size and material. The behavior of similarity parameters and their dependence on the concentration, size and material of nanoparticles are studied in detail. It is shown that in the general case it is impossible to solve the problem simply by varying the similarity parameters. Two examples of solving the problem of heat transfer of two different nanofluids, with conventional spherical nanoparticles and with carbon nanotubes, are given. In the latter case, the nanofluid is non-Newtonian. It has been shown that nanofluids make it possible to obtain very high values of excess of the heat transfer coefficient.
Full Text
Дисперсные жидкости широко распространены как в природных условиях, так и в различных промышленных системах. Их экспериментальное изучение на протяжении многих десятилетий является одним из центральных направлений исследований механики жидкостей. Одновременно активно развивались и методы моделирования таких течений [1–4]. Разработка гидродинамических методов описания течений дисперсных жидкостей потребовало и создания моделей соответствующих коэффициентов переноса, основа которых была заложена классическими работами Дж. Максвелла и А. Эйнштейна [5, 6].
Около тридцати лет тому назад появился новый тип дисперсных жидкостей, получивший название наножидкости. На удивление процессы переноса в них не описывались уже упоминавшимися классическими теориями, равно как и многочисленными их обобщениями. Этого следовало ожидать. В обычных крупнодисперсных жидкостях изменения в коэффициентах переноса были вызваны гидродинамическими возмущениями, формирующимися в окрестности частиц. Наночастицы являются мезообъектом, их размеры (они фиксированы и меняются от 1 до 100 нм) занимают промежуточное положение между размерами молекул и макроскопических частиц. Это определяет и новые механизмы процессов переноса, здесь меняется структура жидкости. Наножидкостями называются и дисперсные жидкости с углеродными нанотрубками (УНТ). Характерный диаметр их укладывается в диапазон размеров наночастиц, тогда как длина обычно превышает 4–5 мкм.
Интерес к наножидкостям вызван в первую очередь их возможными применениями. Они уже с успехом используются или планируется их применение в косметической и парфюмерной промышленности, в трибологии, в различных биомедицинских и теплофизических технологиях, в нефтегазовой индустрии [7–10]. Практическое применение наножидкостей требует понимания характера их течений. Многообразие возможных течений делает практически невозможным их экспериментальное изучение. Альтернативой является моделирование таких течений. К настоящему времени опубликованы тысячи соответствующих статей. К сожалению, ко многим опубликованным данным следует относиться очень осторожно, а ряд из них просто неправильные. Связано это с тем, что течения наножидкостей все еще нередко пытаются описывать как течения обычных суспензий. Сегодня уже ясно, что делать этого нельзя. Кроме того, при моделировании задачу традиционно решают в некоторых безразмерных переменных, просто варьируя появляющиеся параметры подобия. Такой подход также обычно не применим.
Цель данной статьи состоит в том, чтобы вскрыть проблемы, возникающие при моделировании наножидкостей, и показать, как и какими методами следует его реализовывать. Здесь последовательно анализируются ситуации, когда течения наножидкостей можно описывать гидродинамически, рассматриваются двухжидкостное и одножидкостное описания. Подробно изучается поведение параметров подобия, их зависимость от концентрации, размера и материала наночастиц, приводится ряд примеров.
ИСПОЛЬЗУЕМЫЕ ГИДРОДИНАМИЧЕСКИЕ МОДЕЛИ
Динамику течения можно описывать несколькими альтернативными способами. Возможен эйлеров, лагранжевый или эйлеров–лагранжевый подходы, каждый из них имеет свои достоинства и границы применимости. Прекрасный обзор лагранжевого описания течений дисперсных сред представлен в [11]. На практике при описании течений наножидкостей обычно используется эйлеров подход. Именно он и будет рассматриваться.
Наножидкость — это суспензия, состоящая из базовой жидкости и наночастиц. Гидродинамическое описание ее течений возможно, если можно ввести некоторые средние макроскопические переменные. Это предполагает, что они достаточно нечувствительны к изменениям плотности, импульса и энергии, обусловленным индивидуальными движениями молекул и наночастиц, то есть микроскопическими флуктуациями указанных величин можно пренебречь. Масштаб таких флуктуаций определяется при формулировании гипотезы сплошности, которая задает структуру конфигурационного пространства системы. В частности, материальная точка в пространстве, описывающем простую жидкость, определяется как физически бесконечно малый объем, то есть объем, содержащий достаточно большое число молекул. Этот объем равен
,
где rhf — гидродинамический физически бесконечно малый масштаб длины среды. Для жидкости, он равен [12]: , где σ и L — соответственно характерный размер молекул жидкости и линейный масштаб течения. Таким образом, . Флуктуации макроскопических наблюдаемых обратно пропорциональны корню квадратному из числа частиц в системе. Поэтому число молекул в физически бесконечно малом объеме должно удовлетворять условию: . Это соотношение в жидкости практически всегда выполняется.
Дисперсная жидкость является совокупностью двух разных континуумов: несущей жидкости и псевдогаза частиц. Такая система может находится в различных состояниях. В первом случае эти два континуума могут иметь разные макроскопические скорости и температуры. С другой стороны, дисперсная жидкость может двигаться с единой макроскопической скоростью и иметь одну температуру. Выше уже показано, что несущая жидкость почти всегда может описываться методами сплошной среды и для нее можно ввести соответствующие макроскопические переменные. Чтобы псевдогаз частиц также описывать гидродинамически, следует определить соответствующие физически бесконечно малый масштаб и объем , где d — характерный размер дисперсных частиц. Если флуктуации средних значений плотности, скорости и температуры псевдогаза частиц относительно этого объема малы, то его динамику также можно описать методами механики сплошной среды. В этом случае дисперсная среда представляет собой совокупность двух континуумов с взаимопроникающим движением [1], состояние каждого компонента дисперсной жидкости описывается парциальными плотностью ρα, скоростью uα и энергией Eα. Все компоненты заполняют один и тот же объем, и в каждой точке пространства определены плотности, скорости и энергии всех l компонент. Чтобы гидродинамическое описание псевдогаза частиц было возможным, должно выполняться соотношение rhp << L, а флуктуации соответствующих макроскопических переменных относительно физически бесконечно малого объема vhp должны быть малыми. Нетрудно видеть, что выполнение этих соотношений в каждом конкретном случае накладывает достаточно жесткие условия на размеры частиц и их объемные концентрации.
Если условия существования сплошносредного описания для каждого компонента выполняется, то можно сформулировать соответствующие уравнения переноса. Такое описание носит название многожидкостного. Уравнения переноса для парциальных переменных получаются обычным образом, как следствие выполнения законов сохранения массы, импульса и энергии всей системы и их локального сохранения внутри компонента. Это можно сделать феноменологически [4] или методами неравновесной статистической механики [13, 14]. При отсутствии фазовых переходов или химических реакций эти уравнения для бинарной системы имеют вид (α = 1,2)
(1.1)
где uαϕ = uα − uϕ — диффузионные скорости, J2α и J3α — тензор напряжений и вектор потока тепла соответственно, j2α и j3α — силы межфазного взаимодействия.
Вывод определяющих соотношений для гетерогенных систем осложняется неоднородностью их состава. При исследовании характера деформирования некоторого выделенного объема смеси необходимо учесть реакции, связанные не только со смещением внешней границы объема, но и со смещениями межфазных границ. Ситуация существенно упрощается, если, как это имеет место в суспензиях, межфазная граница не меняет свою форму. В этом случае, используя термодинамику необратимых процессов или неравновесную статистическую механику, удается сформулировать функциональный вид определяющих соотношений. Здесь следует иметь в виду, однако, что в зависимости от величины диффузионных скоростей и температур относительно градиентов гидродинамических переменных могут реализоваться различные режимы течения. Межфазные силы и потоки для этих режимов будут иметь разную структуру. В случае малых диффузионных скоростей, температур и их градиентов в линейном приближении они для бинарной системы имеют вид
(1.2)
где Tα — парциальная температура, а индекс означает бездивергентный тензор второго ранга.
Все входящие сюда кинетические коэффициенты являются интегралами по времени от соответствующих двухвременных корреляционных функций [14] и принципиально их можно вычислить. Особенностью определяющих соотношений (1.2) является появление нового тензора напряжений Jαβ, связанного с наличием в системе диффузионных скоростей. Второй особенностью является наличие в соотношениях перекрестных кинетических коэффициентов, определяющих вклад в процессы переноса наличия частиц или молекул. Поэтому, например, в бинарной системе связанная с градиентами часть тензора напряжений несущей жидкости зависит от градиентов скоростей обеих компонентов. Входящий сюда коэффициент вязкости μα — это коэффициент сдвиговой вязкости несущего флюида или псевдогаза частиц. В то же время коэффициент μαβ связан с процессами переноса импульса, обусловленным взаимодействием частиц с молекулами. Сложность состоит в том, что этот и ему подобные коэффициенты переноса фактически нельзя измерить. Как уже отмечалось, принципиально их можно смоделировать. Для разреженных газовзвесей это сделано в [14]. Таким образом, применение уравнений двухжидкостной гидродинамики для моделирования динамики течений дисперсных жидкостей сталкивается с рядом принципиальных трудностей, хотя и возможно.
Использование двухжидкостного описания для наножидкости, как правило, нецелесообразно и по следующей причине. Наночастицы в метрике несущей жидкости являются материальными точками, если только характерный размер течения не слишком мал. Поскольку обычно объемные концентрации наночастиц φ не превышают 6–8%, то нет причин выделять континуум псевдогаза наночастиц. Наножидкость можно считать однородным флюидом. Чтобы описывать ее динамику гидродинамически введем новый физически бесконечный масштаб: . Наножидкость тогда можно описывать средними макроскопическими переменными. Конечно, их флуктуации относительно указанного физически бесконечно малого объема должны быть малыми. Это накладывает вполне определенные ограничения на концентрации и размеры наночастиц. Обычно такие флуктуации действительно малы, проблемы возникают только при изучении течений в достаточно малых микро- или наноканалах.
Плотность наножидкости при одножидкостном описании определяется соотношением: ρ = φρp + (1 − φ) ρ0, где ρ0 и ρp — соответственно плотность базовой жидкости и материала наночастиц. Температура T, давление p и скорость u наножидкости считаются едиными, так что уравнения переноса имеют вид [15–17]
(1.3)
Здесь h — энтальпия, w — массовая концентрация наночастиц, D и DT — коэффициенты диффузии и термодиффузии, а τ — тензор напряжений. Кроме того, введена удельная теплоемкость наножидкости , cpp и cpf — соответственно удельная теплоемкость наночастиц и базовой жидкости [18].
Основным критерием применимости одножидкостного описания (1.3) является малость флуктуаций и молекул, и наночастиц относительно соответствующего физически бесконечно малого объема . В достаточно малых микро- и в особенности в наноканалах это условие может не выполняться для наножидкостей с достаточно крупными частицами. В этих условиях одножидкостное описание окажется не применимым. Однако и использование двухжидкостного (1.1) в этом случае как правило невозможно. В таком случае динамика несущей жидкости будет описываться гидродинамически, а дисперсных частиц — посредством некоторого кинетического уравнения, причем и уравнение гидродинамики, и кинетическое уравнение содержат источниковые члены, описывающие межфазные взаимодействия [14].
Сложность использования уравнений (1.3) состоит в том, что для их замыкания необходимо задать коэффициенты переноса. Теории эффективных коэффициентов переноса наножидкостей нет, а классические теории, как уже отмечалось, не применимы. Поэтому при решении необходимо использовать реальные экспериментальные данные. В следующем разделе они будут обсуждаться. Вторая проблема, которая появляется связана с тем, что примерно четверть всех наножидкостей являются неньютоновскими [19, 20].
КОЭФФИЦИЕНТЫ ПЕРЕНОСА НАНОЖИДКОСТЕЙ
Исследованию коэффициентов переноса наножидкостей посвящено много публикаций. И сегодня получены достаточно надежные экспериментальные данные, которые в ряде случаев оформлены соответствующими корреляциями [20–26]. При изучении вязкости наножидкостей, прежде всего, было установлено, что она существенно больше, чем это предсказывают классические теории [6, 27]. Во всех случаях зависимость коэффициента вязкости конкретной наножидкости от объемной концентрации наночастиц может быть описана квадратичной функцией
, (2.1)
где μ0 — коэффициент вязкости базовой жидкости, а ai — некоторые константы. Несколько примеров такой зависимости, полученной разными авторами для наножидкостей на основе воды и этиленгликоля приведены в табл. 1 (здесь bf обозначает тип базовой жидкости, W — вода, EG — этиленгликоль, а np — материал наночастиц). Большинство приведенных здесь корреляций получены при концентрациях наночастиц не превышающих 5–8%. В отличие от универсальных классических соотношений Эйнштейна, Бэтчелора и т.п., корреляции, приведенные в табл. 1, чрезвычайно разнородны. Это связано с тем, что коэффициент вязкости наножидкости зависит не только от концентрации дисперсных частиц, но также от их размера. Впервые это удалось показать методом молекулярной динамики, см. обзор [37]. Позднее это было подтверждено многочисленными экспериментальными данными, пример такой зависимости приведен на рис. 1. Здесь представлена зависимость относительного коэффициента вязкости наножидкостей на основе воды от размера наночастиц SiO2, Al2O3, TiO2 и ZrO2 при фиксированной их объемной концентрации равной 2%. Характерной чертой этой зависимости является снижение вязкости наножидкости с увеличением размера наночастиц.
Таблица 1. Коэффициенты формулы (2.1) зависимости коэффициента вязкости наножидкостей от объемной концентрации частиц
bf | np | a1 | a2 |
W | TiO2 [28] | 5.45 | 108.2 |
W | Al2O3 [29] | 7.23 | 123 |
W | Al2O3 [15] | 39.11 | 533.9 |
W | Al2O3 [31] | 6 | 72 |
W | Al2O3 [34] | 4.93 | 222.4 |
W | Al2O3 [35] | 11 | 42 |
W | TiO2 [31] | 7.1 | 148 |
W | ZrO2 [32] | 8.5 | 146.4 |
W | Fe2O3 [33] | 18.64 | 248.3 |
EG | TiO2 [30] | 10.6 | 112.36 |
EG | Cu [28] | 11 | — |
EG | SiO2 [36] | 8.78 | 246.9 |
EG | SiO2 [36] | 4.41 | 79.44 |
Рис. 1. Зависимость относительного коэффициента вязкости наножидкостей на основе воды от размера частиц.
Зависимость коэффициента вязкости наножидкости от размера частиц свидетельствует о том, что коэффициенты ai в (2.1) должны зависеть от размера частиц. Универсальных соотношений, описывающих зависимость коэффициента вязкости наножидкостей от концентрации частиц и их размера нет. Для некоторых частных случаев они предлагались. В работе [36] для наножидкостей на основе этиленгликоля с частицами оксида кремния на основе обработки экспериментальных данных была предложена формула (σ — характерный размер молекул этиленгликоля)
. (2.2)
Эта корреляция также квадратичная по концентрации наночастиц, но ее коэффициенты (см. (2.1)) зависят от размера частиц.
Анализ данных, приведенных на рис. 1, позволяет выявить еще одну характерную черту вязкости. Она должна зависеть и от материала наночастиц. На это указывают данные, для наночастиц SiO2, Al2O3, TiO2 размером 100 нм. Эта зависимость сначала была установлена методом молекулярной динамики [38], а затем уже подтверждена экспериментально [39].
Зависимость коэффициента вязкости наножидкости от температуры является важнейшей ее теплофизической характеристикой. При сравнительно небольших концентрациях частиц в наножидкостях относительный коэффициент вязкости практически не меняется с ростом температуры [40–42]. Так что зависимость вязкости наножидкостей от температуры определяется главным образом этой зависимостью базовой жидкости.
Выше уже отмечалось, что примерно четверть всех изученных наножидкостей являются неньютоновскими, даже если базовая жидкость ньютоновская [19, 20]. Практически все изученные неньютоновские жидкости являются либо псевдопластичными, либо вязкопластичными. В первом случае их реология хорошо описывается моделью степенной жидкости
, (2.3)
а во втором — моделью жидкости Хершеля–Балкли
, (2.4)
где γ — скорость сдвига, kv — параметр консистентности, n — индекс жидкости, а τ0 — предел текучести жидкости.
Несколько типичных примеров реологии наножидкостей на основе этиленгликоля и воды приведены в табл. 2. Здесь nD обозначает наноалмазы. С ростом концентрации наночастиц наножидкости могут становиться неньютоновскими, даже если при более низких концентрациях они были ньютоновскими. Второе важное обстоятельство состоит в том, что реология может меняться с уменьшение размера наночастиц. Наконец с ростом концентрации наночастиц индекс жидкости снижается, а параметр консистентности напротив растет.
Таблица 2. Реологические параметры нескольких наножидкостей
bf | np | φ, % | τ0, mPa | kv, mPa · sn | n |
EG | TiO2 (150 нм) [19] | 0.25 | 0 | 17.33 | 1 |
2 | 0 | 156.0 | 0.742 | ||
4 | 615.5 | 212.4 | 0.696 | ||
6 | 2044 | 695.0 | 0.582 | ||
Al2O3 (150 нм) [19] | 0.25 | 0 | 17.22 | 1 | |
2 | 0 | 42.5 | 0.875 | ||
4 | 121.8 | 57.67 | 0.835 | ||
6 | 382.3 | 140.0 | 0.746 | ||
Cu (107 нм) [43] | 0.32 | 0 | 17.5 | 1 | |
1.59 | 0 | 20.74 | 0.989 | ||
3.18 | 0 | 29.89 | 0.97 | ||
Cu (81 нм) [43] | 1.59 | 0.05 | 106.4 | 0.41 | |
W | Al (95 нм) [43] | 1.25 | 27.20 | 2.20 | 0.915 |
2.5 | 145.0 | 13.6 | 0.705 | ||
5.0 | 756.0 | 1030.0 | 0.255 | ||
nD (5 нм) [19] | 0.25 | 0 | 6.37 | 0.84 | |
0.50 | 0 | 24 | 0.55 | ||
1.00 | 0 | 101 | 0.42 | ||
2.00 | 0 | 479 | 0.29 |
Теплопроводность наножидкостей также зависит и от концентрации наночастиц и от их размера. Ее характерной чертой является замедление роста с увеличением концентрации частиц [44–46]. По этой причине зависимость относительного коэффициента теплопроводности наножидкостей от концентрации частиц описывается соотношением типа (сравни с (4))
. (2.5)
Здесь , а λ0 — коэффициент теплопроводности базовой жидкости. Входящие в (2.5) коэффициенты не универсальны. Так для наножидкости с частицами Al2O3 размером 150 нм
, (2.5а)
c частицами TiO2 размером 150 нм
, (2.5б)
c частицами ZrO2 размером 44 нм
, (2.5в)
c частицами ZrO2 размером 105 нм
. (2.5г)
Неуниверсальность зависимостей (2.5а)–(2.5г) обусловлена в первую очередь зависимостью коэффициента теплопроводности от размера частиц. Эта зависимость иллюстрируется табл. 3, где приведены данные для наножидкостей с частицами оксидов меди, кремния, алюминия, циркония, и титана. Размеры частиц варьировались от 10 до 150 нм. В качестве базовой жидкости во всех случаях использовалась вода, а объемная концентрация наночастиц равнялась 2%. Измерения были проведены при температуре 25°С. Во всех случаях коэффициент теплопроводности растет с увеличением размера наночастиц и этот рост монотонный.
Таблица 3. Зависимость относительно коэффициента теплопроводности наножидкостей на основе воды от размера частиц
SiO2 | Al2O3 | TiO2 | ZrO2 | ||||
d | λr | dp | λr | d | λr | d | λr |
10 | 1.015 | 50 | 1.061 | 71 | 1.066 | 44 | 1.077 |
16 | 1.027 | 75 | 1.082 | 100 | 1.084 | 105 | 1.087 |
25 | 1.040 | 100 | 1.100 | 150 | 1.100 | — | — |
100 | 1.072 | 150 | 1.133 | — | — | — | — |
В табл. 3 присутствуют наножидкости с частицами одного размера, но разных материалов. Их теплопроводность различна, это указывает на ее зависимость от материала наночастиц. Все классические теории теплопроводности крупнодисперсных жидкостей предполагают ее зависимость от материала частиц. В теории Максвелла [5] эта зависимость учитывается введением коэффициента теплопроводности материала частиц. В работе [44], однако, показано, что коэффициент теплопроводности наножидкости не коррелирует с теплопроводностью частиц. Методом молекулярной динамики [47] (см. и [37]) было установлено, что теплопроводность наножидкостей тем больше, чем выше плотность наночастиц. В [44] это подтверждено экспериментально и показано, что она практически линейно растет с увеличением плотности материала частиц. Наличие такой зависимости позволило авторам [44, 54] на основе большого числа экспериментальных данных создать корреляцию, описывающую зависимость коэффициента теплопроводности от концентрации наночастиц, их размера и плотности
, (2.6)
где , ρp, а . Формула (2.6) с точность около 5% описывает разные данные.
ПАРАМЕТРЫ ПОДОБИЯ
Решение уравнений (1.3) является серьезной математической проблемой. Тем не менее она решается, обычно могут использоваться пакеты ANSYS Fluent или σ-flow. Последний широкого применялся более десяти лет при решении задач гидродинамики, тепломассообмена и горения. В основе пакета лежит алгоритм решения уравнений гидродинамики методом конечных объемов, основы которого сформулированы в работах [49–51]. Обычно при решении задачи уравнения переноса записываются в безразмерном виде, в результате в них появляются различные параметры подобия. В большинстве задач по моделированию течений наножидкостей фиксируется некоторый параметр подобия и находится соответствующее решение задачи. Затем меняя параметр подобия, получается зависимость данной характеристики течения от него. К сожалению, полученное так решение вообще не имеет физического смысла. Следует разобраться почему. Прежде всего, самое простое. Нередко при решении уравнения сохранения импульса вместо коэффициента динамической вязкости используют кинематический коэффициент . Делать этого нельзя, поскольку в этом случае невозможно получить правильную зависимость рассчитанных параметров течений от концентрации наночастиц. Действительно, плотность наножидкости является линейной функций концентрации частиц, а коэффициент вязкости (4) квадратичной. Естественно, кинематический коэффициент вязкости также является квадратичной функцией от концентрации частиц, однако не ясно, какой. Эту зависимость предварительно надо получить. Простое разложение отношения в ряд по концентрации приводит к качественно иной зависимости от нее по сравнению с (2.1).
По той же причине необходимо проявлять определенную осторожность при использовании числа Рейнольдса (U — характерная скорость жидкости). Одним и тем же числам Рейнольдса могут соответствовать разные наножидкости. Действительно, число Рейнольдса является квадратичной функцией концентрации частиц. Но коэффициент вязкости является функцией размера частиц и их материала. Поэтому часто приводящиеся в работах по моделированию течений наножидкостей зависимости тех или иных параметров от числа Рейнольдса без конкретизации характеристик наножидкости просто невозможно физически разумно интерпретировать. Ситуация может стать еще сложнее. Например, для течения Пуазейля в трубе радиуса h и длиной L скорость стационарного течения можно выразить через перепад давления Δp: . В результате определенное по этой скорости число Рейнольдса обратно пропорционально квадрату коэффициента вязкости, и его зависимость от концентрации частиц становится еще более сложной.
Поскольку исследуемая наножидкость нередко имеет неньютоновские свойства, то число Рейнольдса для степенной жидкости определяется следующим образом [52]
. (3.1)
В этом случае зависимость от концентрации наночастиц, как хорошо понятно становится нетривиальной задачей, поскольку и индекс жидкости, и параметр консистентности являются ее функциями (см. табл. 2). Таким образом, решать задачу, вводя число Рейнольдса в этом случае практически невозможно.
Нередко в расчетах тем или иным образом определяют коэффициент вязкости (иногда даже берут соответствующее экспериментальное значение, но коэффициент теплопроводности определяют через число Прандтля . Однако для наножидкости Prnf является сложной квадратичной функций и концентрации наночастиц, и их размера, и материала m
. (3.2)
Совершенно очевидно, что число Прандтля меняется с изменением концентрации частиц. Удельная теплоемкость является линейной функцией концентрации, а коэффициенты вязкости и теплопроводности — квадратичными, причем вязкость растет с уменьшением размера частиц, а теплопроводность напротив снижается. Пример зависимости (3.2) показан на рис. 2 а для наножидкости на основе воды с частицами ZrO2 двух разных размеров. Здесь приведена зависимость от концентрации наночастиц относительного числа Прандтля (Pr0 — число Прандтля базовой жидкости). С ростом концентрации частиц число Прандтля наножидкости растет, причем коэффициенты ki в (3.2) не универсальны, они зависят от размера частиц и их материала. Вторая зависимость представлена на рис. 2б, где приведены данные наножидкости на основе воды с частицами Al2O3 и TiO2 от их концентрации, размеры частиц в обоих случаях одинаковы. Стоит отметить, что коэффициенты ki в (3.2) в общем случае могут быть знакопеременными. Поэтому при некоторых значениях параметров наножидкости число Прандтля наножидкости может оказаться ниже числа Прандтля базовой жидкости. На рис. 2б это имеет место при малых концентрациях оксида алюминия.
Рис. 2. Зависимость относительного числа Прандтля Prr = Pr/Prw наножидкости на основе воды от концентрации частиц ZrO2 (а) и от концентрации частиц Al2O3 и TiO2 (б).
Наблюдаемое повышение числа Прандтля с ростом концентрации частиц связано с тем, что с ее увеличением коэффициент вязкости наножидкости возрастает значительно быстрее, чем коэффициент теплопроводности. Действительно, в приведенных данных измерений максимальное превышение коэффициента теплопроводности фиксируется у наножидкости с частицами ZrO2 (выше 28%) в то же время коэффициент вязкости с увеличением концентрации частиц возрастает более чем вдвое. Возможно и обратное. Особенно значительный рост коэффициента теплопроводности наножидкостей наблюдается при использовании металлических частиц [53]. Коэффициент вязкости и теплоемкость такой наножидкости меняется очень слабо и будет наблюдаться снижение числа Прандтля по сравнению с соответствующим значением для базовой жидкости. Зависимость коэффициентов вязкости и теплопроводности наножидкостей от размера наночастиц противоположная. Поэтому максимальные значения относительного числа Прандтля должны наблюдаться у наножидкостей с малыми частицами. По мере их роста число Прандтля будет снижаться. Это подтверждает рис. 3, построенный по данным [31, 44]. Еще более сложная ситуация реализуется при использовании числа Нуссельта , где α — коэффициент теплоотдачи. В ламинарном режиме течения коэффициент теплоотдачи растет пропорционально концентрации частиц, но одновременно он зависит от их размера и вязкости. Выявить зависимость от этих параметров трудно даже при наличии соответствующих экспериментальных данных. Сложность растет при попытке построить адекватную зависимость числа Нуссельта от числа Рейнольдса, что достаточно типично в работах по моделированию теплоотдачи наножидкости. Чтобы построить правильную зависимость, необходимо в каждом случае фиксировать наножидкость, размер, материал наночастиц и их концентрацию. Для этих данных нужно определить числа Нуссельта и Рейнольдса, так будет получена первая точка зависимости. Затем надо последовательно варьировать концентрацию частиц, определяя в каждом случае число Нуссельта и соответствующее ему число Рейнольдса.
Рис. 3. Зависимость относительного числа Прандтля наножидкости от размера наночастиц φ = 2%.
Если теплообмен происходит при конвекции в поле тяжести, то естественным параметром подобия является число Грасгофа
, (3.3)
где β — коэффициент объемного расширения, g — ускорение свободного падения, Tc — температура поверхности теплообмена и T0 — температура теплоносителя. Входящие сюда параметры являются функциями концентрации частиц, а часть — еще и их размера и материала. Критерий подобия (3.3) является поэтому сложной функцией концентрации, размера и материала частиц. Фиксируя его, нельзя предсказать, какой именно наножидкости он будет соответствовать. Второе приведенное здесь соотношение сформулировано относительно коэффициента динамической вязкости. Поскольку экспериментально обычно он и определяется, то именно в этой формулировке критерий Грасгофа и следует использовать в расчетах.
При решении задач магнитной гидродинамики характерным параметром подобия является число Гартмана , B — индукция магнитного поля, а σ — коэффициент электропроводности. Для наножидкости число Гартмана зависит от концентрации наночастиц, их размера и материала. Эти зависимости существенно различны для коэффициентов вязкости и электропроводности. Электропроводность наножидкостей растет практически линейно с увеличением их объемной концентрации [43, 54, 55], и он зависит и от размера наночастиц, и от свойств базовой жидкости. С увеличением размера частиц электропроводность наножидкости снижается. Фиксируя этот параметр, нельзя сказать, какой конкретно наножидкости он будет соответствовать. Более того, в [43] показано, что электропроводность наножидкостей на основе этиленгликоля с частицами меди двух размеров неплохо описывается формулой [56]
,
где ξ — отношение электропроводностей базовой жидкости и частиц, ∈r, ∈0 – относительные диэлектрические постоянные наночастиц и вакуума, соответственно, ζ — дзета-потенциал, а σ0 — электропроводность базовой жидкости. Первый член в этой модели соответствует коэффициенту теплопроводности Максвелла [5], а второй описывает термофоретическое движение наночастиц. Таким образом, коэффициент электропроводности наножидкости зависит также от ее вязкости и дзета потенциала.
Наконец следует обсудить использование числа Пекле . Выше уже показано, что фиксированное число Прандтля получается лишь для заданной жидкости при фиксированных концентрации частиц, их размере и материале. Для каждой конкретной наножидкости, варьируя расход, можно менять число Рейнольдса, но так нельзя получить зависимость характеристик течения от концентрации частиц и их размера.
Отметим, что при моделировании течений наножидкостей необходимо использовать корреляции, построенные на основе экспериментальных измерений. При фиксированной температуре зависимости коэффициентов вязкости и теплопроводности имеют соответственно вид (2.1) и (2.4). Зависимость от размера также предлагалась в ряде статей (см. также (2.2) и (2.5)). Известны и многочисленные корреляции, описывающие зависимость вязкости и теплопроводности и от концентрации наночастиц, и от температуры [57]. Эти корреляции имеют свою область применимости, и их нельзя использовать вне этой области. Кроме того, для описания коэффициента теплопроводности наножидкости встречаются корреляции типа [64]
или [58]
.
Подобные корреляции нередко использовались в расчетах течений наножидкостей. Вместе с тем они содержат критерии подобия, которые сами являются сложными функциями параметров наножидкостей. Поэтому использовать их при моделировании практических невозможно.
МОДЕЛИРОВАНИЕ ТЕПЛООБМЕНА НАНОЖИДКОСТЕЙ
Экспериментальное изучение теплообмена является одним из центральных направлений исследования наножидкостей. С соответствующей литературой можно познакомиться по обзорам [59–61]. Установлена высокая эффективность использования для этой цели наножидкостей. Вместе с тем их разнообразие столь велико, что не удается экспериментально изучить все необходимые ситуации. Кроме того, эксперимент дает некоторую интегральную информацию, а нередко нужны детальные сведения о динамике течения. Получить ее можно, используя численное моделирование. В этом разделе приведено два примера моделирования теплообмена наножидкостей. Основное внимание уделялось подтверждению адекватности использования одножидкостной модели течения (1.3).
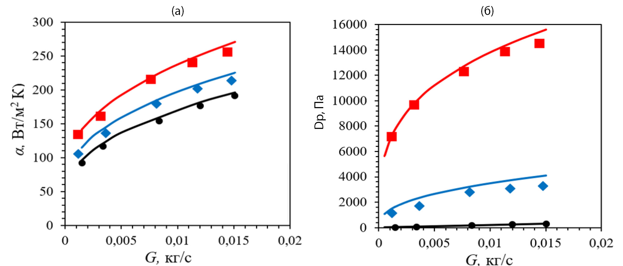
Рассматривается ламинарное течение в круглом миниканале ньютоновской наножидкости на основе воды с частицами оксида алюминия размером 150 нм. Длина обогреваемого участка 0.9 м. Перед измерительным участком расположен участок гидродинамической стабилизации течения длинной 1 м. Наножидкость поступает в канал с температурой T0 = 23°C. Течение осесимметричное и профиль осевой скорости на входе является параболическим. На стенке при 0 ≤ z ≤ L труба теплоизолирована, а при L < z ≤ 2L задан постоянный поток тепла. Постановка задачи соответствовала условиям эксперимента [62]. Все теплофизические характеристики наножидкости, включая коэффициенты переноса, зависят от температуры. Эта зависимость здесь и ниже моделировалась интерполяцией экспериментальных данных полиномами. Коэффициенты вязкости и теплопроводности наножидкости описывались следующими корреляциями [32]: μ = μw (1 + 6ϕ + 72ϕ2), λ = λw (1 + 6.42φ − 39.5φ2).
Сопоставление данных расчета и измерения среднего коэффициента теплоотдачи и перепада давления в канале представлено на рис. 4. Экспериментальным данным соответствуют темные метки, а расчетам без и с учетом термодиффузии — штриховая и непрерывные линии. Средний коэффициент теплоотдачи определяется соотношением: , где — температура стенки канала, — средняя температура жидкости, Ti, To — соответственно температура на входе и выходе из обогреваемого участка, Tw — локальная температура стенки канала, G — массовый расход, а S — площадь поверхности обогреваемого участка. Во всех случаях расчетные данные хорошо согласуются с экспериментальными. Сопоставление расчетных данных показывает, что учет термодиффузии при малых концентрациях частиц (1–2%) практически не влияет на величину среднего коэффициента теплоотдачи. И только при наибольшей концентрации частиц (6%) вклад термодиффузии становится заметным, но не превышает 5%. Термодиффузия оказывает столь же слабое влияние и на расчет перепада давления вдоль обогреваемого участка (см. рис. 4б), а значит и на гидравлическое сопротивление. Ее учет примерно на 3% снижает перепад давления вследствие уменьшения вязкости наножидкости вблизи стенок канала.
Рис. 4. Зависимость коэффициента теплоотдачи (а) и перепада давлений (б) от числа Рейнольдса.
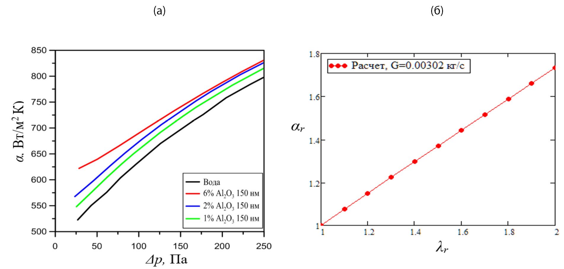
Значительное превышение вязкости у наножидкости по сравнению с базовой ставит вопрос об эффективности ее применения как с точки зрения интенсификации теплообмена, так и затрат энергии на ее прокачивание. Если при фиксированном значении перепада давления наножидкость повышает коэффициент теплоотдачи по сравнению с базовой, то ее использование эффективно. На рис. 5а приведена зависимость среднего коэффициента теплоотдачи от перепада давления в канале для воды (нижняя кривая) и наножидкостей при концентрации частиц 1, 2, 6% (снизу вверх). При фиксированном значении перепада давления с увеличением концентрации частиц значение коэффициента теплоотдачи наножидкости монотонно повышается. Анализ данных свидетельствует о том, что наножидкости являются существенно более эффективным теплоносителем, чем вода.
Рис. 5. Зависимости (а) среднего коэффициента теплоотдачи наножидкостей от перепада давления при различных концентрациях наночастиц и (б) относительного коэффициента теплоотдачи от относительного коэффициента теплопроводности, при постоянном расходе.
Поскольку рассматривался ламинарный режим течения, то важно разобраться, чем в первую очередь определяется теплообмен наножидкостей. Коэффициент теплообмена растет с увеличением концентрации наночастиц (см. рис. 4), при этом он растет пропорционально росту коэффициента теплопроводности. Это иллюстрирует рис. 5б, где приведена зависимость среднего относительного коэффициента теплоотдачи от относительного коэффициента теплопроводности при разных концентрациях частиц и фиксированном расходе равном 0.00302 кг/с (α0 — коэффициент теплоотдачи базовой жидкости).
Второй пример, который ниже будет рассмотрен, относится к моделированию теплообмена в подобном миниканале наножидкостей на основе изопропилового спирта (ИПС) с одностенными нанотрубками (ОСУНТ). Для замыкания уравнений переноса использовались экспериментальные измерения [63, 64]. Эти наножидкости неньютоновские и их реология описывается моделью (6), причем с ростом концентрации ОСУНТ индекс жидкости снижается, а параметр консистентности растет. Сопоставление экспериментальных данных (метки) зависимости среднего коэффициента теплопередачи с расчетными (линии) от массового расхода наножидкости представлено на рис. 6а. Данные снизу вверх соответствуют концентрациям ОСУНТ 0, 0.1 и 0.25%. Во всех случаях погрешность моделирования не превышает 6%. О хорошем согласовании экспериментальных и расчетных данных свидетельствует и рис. 6б, где сопоставлены перепады давления в канале. Использование наножидкостей значительно повышает среднее значение коэффициента теплоотдачи, при концентрации ОСУНТ 0.25% коэффициент теплоотдачи увеличился почти в полтора раза. Подобные превышения коэффициента теплоотдачи с помощью обычных наножидкостей практически недостижимы.
Рис. 6. Зависимость среднего коэффициента теплоотдачи (а) и перепада давления (б) от расхода наножидкости.
Пседопластический характер реологии наножидкостей существенно меняет характеристики течения и теплообмена в канале. Распределение вязкости наножидкости неоднородно по радиусу канала, она значительно снижается от центра канала к его стенкам. Так, например, при концентрации ОСУНТ 0.25% вязкость в центре канала почти в тысячу раз выше, чем вблизи стенки. Чем ниже индекс жидкости, тем сильнее проявляется данный эффект. В псевдопластической жидкости профиль скорости в центре канала выполаживается и формируется область квазитвердого течения. Поскольку скорость в центральной части канала уменьшается, а расход жидкости фиксирован, то скорость в пристеночной области увеличивается. Это приводит к росту коэффициента теплопередачи. С увеличением концентрации наночастиц эффект усиливается. Таким образом, усиление неньютоновских свойств наножидкостей значительно способствует интенсификации теплообмена.
ОБСУЖДЕНИЕ
Данная статья посвящена проблемам, появляющимся при моделировании течений наножидкостей. Стоит сформулировать основные выводы. Первое, течения наножидкостей вполне успешно моделируются одножидкостными уравнениями гидродинамики. Непременным условием применения уравнений (1.3) является использование эффективных экспериментально измеренных коэффициентов переноса. Поскольку коэффициенты переноса зависят и от размера частиц, и от их материала, моделирование должно осуществляться для течений вполне определенных наножидкостей. В расчетах категорически нельзя использовать формулы для коэффициентов переноса, полученные для крупнодисперсных жидкостей. Наножидкости — это особый класс дисперсных жидкостей.
Второе. К использованию параметров подобия следует относиться чрезвычайно осторожно. Самый простой совет состоит в том, что при решении уравнений переноса их следует использовать в размерном виде. Тем самым можно найти зависимость всех параметров течения наножидкости от расхода, концентрации частиц и их размера. После этого можно будет построить, если это необходимо, соответствующие зависимости от параметров подобия, например, от числа Рейнольдса. Однако здесь получатся серии кривых, которые будут соответствовать разным концентрациям частиц при фиксированном их размере или разным размерам при фиксированной концентрации частиц. Попытка использовать параметры подобия обычным образом, просто варьируя их, приведет к зависимостям, которые физически нельзя будет интерпретировать. В каждой точке такой зависимости они будут соответствовать разным наножидкостям. Тем не менее параметры подобия можно использовать, но повторимся очень осторожно. Так, например, рассматривая число Рейнольдса для наножидкостей с определенными частицами, но при различной их концентрации его целесообразно переписать так: , где Re0 — число Рейнольдса базовой жидкости, а характерная скорость течения может быть определена по расходу. Варьируется при этом Re0 и φ. Ситуация, конечно, тоже нетривиальная, но полученная зависимость будет адекватной. Кроме того, коэффициенты ai являются еще и функцией размера частиц. Если же необходимо получить, например, зависимость числа Нуссельта от числа Рейнольса, то сделать это можно лишь для фиксированной концентрации частиц и фиксированном их размере. Если нужна зависимость от концентрации или размера наночастиц, то получится набор соответствующих кривых.
Следует отметить еще одно важное обстоятельство. В данной статье вообще не рассматривалось моделирование турбулентных течений. Это связано с двумя обстоятельствами. Первое состоит в том, что моделирование турбулентных течений ньютоновских наножидкостей может выполняться обычным образом и примеры таких расчетов существуют. Принципиальные сложности появляются в случае, когда необходимо моделировать турбулентные течения неньютоновских наножидкостей. Здесь достаточно надежно удается моделировать лишь неньютоновские жидкости, описываемые моделью степенной жидкости [51, 65].
Последнее. Выше уже упоминалось, что значительная часть наножидкостей имеет неньютоновскую реологию. Ранее в [19] экспериментально было показано, что реология наножидкости может измениться с ростом концентрации наночастиц и уменьшением их размера. Если первое выглядит достаточно естественно и характерно также для крупнодисперсных жидкостей, то экспериментально объяснить изменение реологии с уменьшением размера наночастиц не удается. Это сделано методом молекулярной динамики в появившейся недавно статье [66], где установлено, что изменение реологии связано с изменением структуры наножидкости. Структура наножидкости меняется тем сильнее, чем меньше размер дисперсных частиц (при фиксированной концентрации частиц) и чем больше их концентрация.
ЗАКЛЮЧЕНИЕ
В данном обзоре обсуждаются проблемы, возникающие при моделировании течений наножидкостей. Анализируется возможность применения двухжидкостного и одножидкостного описаний. Показано, что течения наножидкостей обычно вполне можно моделировать с помощью уравнений (3.1). Применение этих уравнений требует использования эффективных коэффициентов переноса. Необходимо иметь в виду, что и вязкость, и теплопроводность наножидкостей зависят не только от концентрации наночастиц, но также от их размера и материала.
Подробно изучается поведение параметров подобия, их зависимость от концентрации, размера и материала наночастиц. Отмечается, что в общем случае невозможно решать задачу просто варьируя параметры подобия. Приведены два примера решения задачи о теплоотдаче двух разных наножидкостей, с обычными сферическими наночастицами и с углеродными нанотрубками. В последнем случае наножидкость является неньютоновской. Показано, что наножидкости позволяют получить очень высокие значения превышения коэффициента теплоотдачи.
Работа выполнена при финансовой поддержке Российского научного фонда (соглашение № 20-19-00043).
About the authors
V. Ya. Rudyak
Novosibirsk State University of Architecture and Civil Engineering
Author for correspondence.
Email: valery.rudyak@mail.ru
Russian Federation, Novosibirsk
References
- Рахматулин Х.А. Основы газодинамики взаимопроникающих движений сжимаемых сред // ПММ. 1956. Т. 20. № 2. С. 184–195.
- Соу С. Гидродинамика многофазных систем. М.: Мир, 1971. 536 с.
- Хаппель Дж., Бреннер Г. Гидродинамика при малых числах Рейнольдса. М.: Мир, 1976. 632 с.
- Нигматулин Р.И. Динамика многофазных сред. Ч.I. М.: Наука. 1987. 464 с.
- Maxwell J.C. A treatise on electricity and magnetism. Oxford: Clarendon Press, 1881. 425 p.
- Einstein A. Eine neue bestimmung der moleküldimensionen // Ann. Phys. 1906. Bd. 324. № 2. S. 289–306.
- Murshed S.M.S., de Castro C.A.N. Nanofluids: synthesis, properties and applications. New York: NOVA Science Publishers, 2014. 278 p.
- Li J., Zhang X., Xu B., Yuan V. Nanofluid research and applications: A review // Int. Communications Heat Mass Transfer. 2021. V. 127. P. 105543.
- Zhao J., Huang Y., He Y., Shi Y. Nanolubricant additives: A review // Friction. 2021. V. 9. № 5. P. 891–917.
- Kaggwa A., Carson J.K. Developments and future insights of using nanofluids for heat transfer enhancements in thermal systems: a review of recent literature // Int. Nano Lett. 2019. V. 9. № 4. P. 277–88.
- Osiptsov A.N. Development of full Lagrangian approach for modeling dilute dispersed media flows (a review) // Fluid Dynamic. 2024. V. 59. № 1. P. 1–48.
- Рудяк В.Я. Нелокальное решение уравнения Больцмана // ЖТФ. 1995. Т. 65. № 11. С. 29–40.
- Рудяк В.Я., Белкин А.А. Уравнения многожидкостной гидродинамики // Мат. моделирование. 1996. Т.8. № 6. С. 33–37.
- Рудяк В.Я. Статистическая аэрогидромеханика. Т. 2. Гидромеханика. Новосибирск: НГАСУ, 2005. 468 c.
- Boungiorno J. Convective transport in nanofluids // J. Heat Transfer. 2006. V. 128. P. 240–250.
- Ryzhkov I.I., Minakov A.V. The effect of nanoparticle diffusion and thermophoresis on convective heat transfer of nanofluid in a circular tube // Int. J. Heat Mass Transfer. 2014. V. 77. P. 956–969.
- Гузей Д.В., Минаков А.В., Рудяк В.Я. Численное моделирование вынужденной конвекции наножидкости при ее ламинарном течении с учетом термодиффузии // ИФЖ. 2022. Т. 95. № 2. С. 526–536.
- Zhou S-Q, Ni R. Measurement of the specific heat capacity of water-based Al2O3 nanofluid // Appl. Phys. Lett. 2008. V. 92. P. 093123.
- Minakov A.V., Rudyak V.Yа., Pryazhnikov M.I. Rheological behavior of water and ethylene glycol nanofluids with oxide nanoparticles // Colloids and Surfaces A: Physicochemical and Engineering Aspects. 2018. V. 554. P. 279–285.
- Rudyak V.Ya. Thermophysical characteristics of nanofluids and transport process mechanisms // J. Nanofluids. 2019. V. 8. P. 1–16.
- Murshed S.M.S., Estellé P. A state of the art, review on viscosity of nanofluids // Renewable Sustainable Energy Reviews. 2017. V. 76. P. 1134–1152.
- Koca D.H., Doganay S., Turgut A., Tavman I.H., Saidurd R., Mahbubulf I.M. Effect of particle size on the viscosity of nanofluids: A review // Renewable and Sustainable Energy Reviews. 2018. V. 82. P. 1664–1674.
- Rudyak V.Ya. Features of transport processes of nanofluids // Interfacial Phenomena and Heat Transfer. 2021. V. 9. № 2. P. 29–50.
- Said Z., Sundar L.S., Tiwari A.K., Ali H.M., Sheikholeslami M., Bellos E., Babar H. Recent advances on the fundamental physical phenomena behind stability, dynamic motion, thermophysical properties, heat transport, applications, and challenges of nanofluids // Physics Reports. 2022. V. 946. № 2. P. 1–94.
- Ambreen T., Kim M.H. Influence of particle size on the effective thermal conductivity of nanofluids: A critical review // Appl. Energy. 2020. V. 264. № 16. P. 114684.
- Gonçalves I., Souza R., Coutinho G., Miranda J., Moita A., Pereira J. E., Moreira A., Lima R. Thermal conductivity of nanofluids: A review on prediction models, controversies and challenges // Applied Sciences. 2021. V. 11. № 6. P. 2525.
- Batchelor G.K. The effect of Brownian motion on the bulk stress in a suspension of spherical particles // J. Fluid Mech. 1977. V. 83. № 1. P. 97–117.
- Pak B.C., Cho Y.I. Hydrodynamic and heat transfer study of dispersed fluids with submicron metallic oxide particles // Experimental Heat Transfer. 1998. V. 11. Pp. 151–170.
- Maı̈ga S.E.B., Nguyen C.T., Galanis N., Roy G. Heat transfer behaviors of nanofluids in a uniformly heated tube // Superlattices and Microstructures. 2004. V. 35. № 3–6. P. 543–557.
- Chen H., Ding Y., Tan C. Rheological behavior of nanofluids // New J. Physics. 2007. V. 9. P. 367.
- Minakov A.V., Rudyak V.Ya., Pryazhnikov M.I. Systematic experimental study of the viscosity of nanofluids // Heat Transfer Engineering. 2020. V. 41, № 5. P. 457–460.
- Рудяк В.Я., Минаков А.В., Пряжников М.И. Теплофизические свойства наножидкостей и критерии подобия // Письма в ЖТФ. 2016. Т. 42. № 24. С. 9–16.
- Colla L., Fedele L., Scattolini M., Bobbo S. Water-based Fe2O3 nanofluid characterization: Thermal conductivity and viscosity measurements and correlation // Advances Mech. Eng. 2012. V. 2012. Article ID 674947.
- Ho C.J., Wei L.C., Li Z.W. An experimental investigation of forced convective cooling performance of a microchannel heat sink with Al2O3/water nanofluid // Appl. Therm. Eng. 2010. V. 30. № 2–3. P. 96–103.
- Лобасов А.С., Минаков А.В., Рудяк В.Я. Изучение режимов смешения жидкости и наножидкости в Т-образном микромиксере // ИФЖ. 2018. Т. 91. № 1. С. 133–145.
- Рудяк В.Я., Димов С.В., Кузнецов В.В., Бардаханов С.П. Измерение коэффициента вязкости наножидкости на основе этиленгликоля с частицами двуокиси кремния // Доклады Академии наук. 2013. Т. 450. № 1. С. 43–46.
- Rudyak V.Ya., Belkin A.A., Krasnolutskii S.L. Molecular dynamics modelling transport processes of fluids and nanofluids in bulk and nanochannels // Advances in Molecular Dynamics Simulations Research / S. Kȍhler ed. New York: Nova science publisher, 2021. P. 1–86.
- Rudyak V.Ya., Krasnolutskii S.L. Dependence of the viscosity of nanofluids on nanoparticle size and material // Phys. Lett. A. 2014. V. 378. P. 1845–1849.
- Рудяк В.Я., Минаков А.В., Сметанина М.С., Пряжников М.И. Экспериментальные данные о зависимости вязкости наножидкостей на основе воды и этиленгликоля от размера и материала частиц // Доклады Академии наук. 2016. Т. 467. № 3. С. 289–291.
- Namburu P.K., Kulkarni D.P., Dandekar A., Das D.K. Experimental investigation of viscosity and specific heat of silicon dioxide nanofluids // Micro & Nano Letters. 2007. V. 2, № 3. P. 67–71.
- Nguyen C.T., et al. Viscosity data for Al2O3-water nanofluid–hysteresis: is heat transfer enhancement using nanofluids reliable? // Int. J. Therm. Sci. 2008. Vol. 47. P. 103–111.
- Rudyak V.Ya., Dimov S.V., Kuznetsov V.V. On the dependence of the viscosity coefficient of nanofluids on particle size and temperature // Technical Phys. Lett. 2013. V. 39. № 9. P. 779–782.
- Rudyak V.Ya., Pryazhnikov M.I., Minakov A.V. Thermal conductivity, rheology and electrical conductivity of water- and ethylene glycol-based nanofluids with copper and aluminum particles // Physical Mesomechanics. 2024. V. 27. № 2. P. 205–216.
- Pryazhnikov M.I., Minakov A.V., Rudyak V.Yа., Guzei D.V. Thermal conductivity measurements of nanofluids // Int. J. Heat Mass Transfer. 2017. V. 104. № 1. P. 1275–1282.
- Zhu H.T., Zhang C.Y., Tang Y.M., Wang J.X. Novel synthesis and thermal conductivity of CuO nanofluid // J. Phys. Chem. C. 2007. V. 111. № 4. P. 1646–1650.
- Li X., Zou C., Zhou L., Qi A. Experimental study on the thermo-physical properties of diathermic oil based SiC nanofluids for high temperature applications // Int. J. Heat Mass Transfer. 2016. V. 97. P. 631–637.
- Rudyak V. Ya., Belkin A. A., Tomilina E. A. Force acting on nanoparticle in fluid // Technical Phys. Lett. 2008. V. 34. № 6. P. 519–521.
- Ceotto D., Rudyak V.Ya. Phenomenological formula for thermal conductivity coefficient of water-based nanofluids // Colloid J. 2016. V. 78. № 4. P. 509–514.
- Rudyak V.Ya., Minakov A.V., Gavrilov A.A., Dekterev A.A. Application of new numerical algorithm of solving the Navier — Stokes equations for modeling the work of a viscometer of the physical pendulum type // Thermophysics & Aeromech. 2008. V. 15. № 2. P. 333–345.
- Gavrilov A.A., Minakov A.V., Dekterev A.A., Rudyak V.Ya. A numerical algorithm for modeling laminar flows in an annular channel with eccentricity // J. Applied Industrial Math. 2011. V. 5. № 4. P. 1–12.
- Гаврилов A.A., Минаков А.В., Дектерев A.A., Рудяк В.Я. Численный алгоритм для моделирования установившихся ламинарных течений неньютоновских жидкостей в кольцевом зазоре с эксцентриситетом // Выч. технологии. 2012. Т. 17. № 1. С. 44–57.
- Metzner A.B., Reed J.C. Flow of non-Newtonian fluids — correlation of the laminar, transition, and turbulent-flow regions // A.I.Ch.E. J. B1. 1995. V. 1. № 4. P. 434–440.
- Wang X.-Q., Mujumdar A.S. Heat transfer characteristics of nanofluids: A review // Int. J. Thermal Sciences. 2007. V. 46. P. 1–19.
- Sarojini K.G.K., Manoj S.V., Singh P.K., Pradeep T., Das S.K. Electrical conductivity of ceramic and metallic nanofluids // Colloids and Surfaces A: Physicochemical and Engineering Aspects. 2013. V. 417. P. 39–46.
- Iglesias T.P., Rivas M.A., Iglesias R., Reis J.C.R., Cohelho F. Electric permittivity and conductivity of nanofluids consisting of 15 nm particles of alumina in base Milli-Q and Milli-Ro water at different temperatures // J. Chem. Thermodynamics. 2013. V. 66. P. 123–130.
- Dong M., Shen L.P., Wang H., Wang H.B., Miao J. Investigation on the electrical conductivity of transformer oil-based AlN nanofluid // J. Nanomaterials. 2013. Article ID 842963.
- Guo Z. A review on heat transfer enhancement with nanofluids // J. Enhanc. Heat Transfer. 2020. V. 27. P. 1–70.
- Chon C.H., Kihm K.D., Lee S.P., Choi S.U.S. Empirical correlation finding the role of temperature and particle size for nanofluid (Al2O3) thermal conductivity enhancement // Applied Phys. Lett. 2005. V. 87. № 15. P. 153107.
- Ahmad H.P., Saeed A., Masoud A., Boshra M., Omid M., Somchai W. An updated review on application of nanofluids in heat exchangers for saving energy // Energy Conversion & Management. 2019. V. 198. P. 111886.
- Aydın D.Y., Gürü M. Nanofluids: preparation, stability, properties, and thermal performance in terms of thermo-hydraulic, thermodynamics and thermo-economic analysis // J. Thermal Analysis Calorimetry. 2021. V. 47. № 60. P. 1–34.
- Zhang X., Li J. A review of uncertainties in the study of heat transfer properties of nanofluids // Heat Mass Transfer. 2023. V. 59. P. 621–653.
- Guzey D.V., Minakov A.V., Rudyak V.Ya. On efficiency of convective heat transfer of nanofluids in laminar flow regime // Int. J. Heat Mass Transfer. 2019. V. 139. Pp. 180–192.
- Rudyak V., Minakov A., Pryazhnikov M. Preparation, characterization, and viscosity studding the single-walled carbon nanotube nanofluid // J. Molecular Liquids. 2021. V. 329. № 1. P. 115517.
- Rudyak V.Yа., Pryazhnikov M.I., Minakov A.V., Shupik A.A. Comparison of thermal conductivity of nanofluids with single-walled and multi-walled carbon nanotubes. Diamond & Related Materials. 2023. V. 139. P. 110376.
- Gavrilov A.A., Rudyak V.Ya. Reynolds averaged modeling of turbulent flows of power-law fluids // J. Non-Newtonian Fluid Mechanics. 2016. V. 277. P. 45–55.
- Rudyak V.Ya., Belkin A.A., Rafalskaya T.A. Molecular dynamics study of the rheology of benzene-based nanofluids with metal particles // J. Molecular Liquids. 2024. V. 403. P. 124805.
Supplementary files








