Linear waves in shallow water over an uneven bottom, slowing down near the shore
- Authors: Melnikov I.E.1,2, Pelinovsky E.N.1,2
-
Affiliations:
- Национальный исследовательский университет “Высшая школа экономики”
- Институт прикладной физики им. А. В. Гапонова-Грехова РАН
- Issue: No 2 (2024)
- Pages: 94-104
- Section: Articles
- URL: https://bakhtiniada.ru/1024-7084/article/view/266728
- DOI: https://doi.org/10.31857/S1024708424020081
- EDN: https://elibrary.ru/rixneh
- ID: 266728
Cite item
Full Text
Abstract
The exact solutions of the system of equations of the linear theory of shallow water are discussed, representing traveling waves with specific properties for the time propagation, which is infinite when approaching the shore and finite when leaving for deep water. These solutions are obtained by reducing one-dimensional shallow water equations to the Euler–Poisson–Darboux equation with a negative integer coefficient before the lower derivative. The analysis of the wave field dynamics is carried out. It is shown that the shape of a wave approaching the shore will be differentiated a certain number of times, which is illustrated by a number of examples. When a wave moves away from the shore, its profile is integrated. The solutions obtained in the framework of linear theory are valid only for a finite interval of depth variation.
Full Text
Большим испытанием даже для современных морских судов являются штормовые волны и цунами. Моделирование таких природных явлений просто необходимо как для кораблестроения и судоходства, так и для постройки береговых сооружений. В качестве одного из возможных вариантов математических моделей описания длинноволновых процессов в океане может быть выбрано приближение мелкой воды, точные решения линейной версии которого и будут обсуждаться в нашей статье.
Важной задачей является изучение волн, распространение которых происходит без отражения. И, следовательно, волна будет перемещаться на большие расстояния без потери энергии. Описывать такие волны могут решения, представимые в виде суммы бегущих волн f (x + t), где f – произвольная функция, x – это координата, а t – время. Как известно, отражение очень мало в плавно неоднородных средах, где можно эффективно применять ассимптотические методы, в силу наличия малого параметра – отношения длины волны к масштабу неоднородностей.
В линейной теории мелкой воды такие волновые процессы хорошо изучены [1–3], и, например, с помощью этого подхода выведен известный закон Грина, когда амплитуда волны изменяется пропорционально h-1/4, где h(x) – глубина бассейна.
Если смотреть на вопрос наличия волн, распространяющихся без отражения, с точки зрения математики, то можно попробовать свести уравнения мелкой воды к уже известным уравнениям математической физики с решениями в виде суммы бегущих волн. Идея преобразований к уравнениям с известными решениями является одним из классических методов нахождения точных решений линейных и нелинейных моделей неоднородных сред [4–6].
Уравнения мелкой воды уже преобразовывались к волновому уравнению [7, 8], уравнению Клейна–Гордона (см., напр., работу [14]), а также к уравнению Эйлера–Пуассона–Дарбу с четным коэффициентом 2m, m ∈ Z перед младшей производной [9].
При изучении последнего сведения выяснилось, что для положительных и отрицательных коэффициентов 2m динамика волн будет принципиально отличаться. Для случая положительных m качественный анализ был приведен в работе [9]. В данной же статье мы даем представление о поведении волн, полученных сведением к уравнению Эйлера–Пуассона–Дарбу с целым отрицательным коэффициентом перед младшей производной.
Статья организована следующим образом. В разд. 1 приведены одномерные уравнения линейной теории мелкой воды для волн, распространяющихся над неровным дном, а также кратко описан процесс их сведения к уравнению Эйлера–Пуассона–Дарбу. В разд. 2 отмечаются основные особенности полученного решения. При этом находится также второй компонент волнового поля – усредненная по глубине скорость. В разд. 3 и 4 приводятся примеры, которые иллюстрируют характерное поведение волн для таких сведений с различными отрицательными целыми m. Полученные результаты суммируются в разд. 6 и заключении.
1. Cведение уравнений мелкой воды к уравнению эйлера–пуассона–дарбу
Динамику одномерных длинных волн, распространяющихся в водоеме переменной глубины, можно описать с помощью уравнений мелкой воды:
(1)
(2)
где h(x, t) – смещение водной поверхности; u(x, t) – усредненная по глубине скорость течения; h(x) – глубина воды (расстояние от дна до уровня воды в состоянии штиля); g – ускорение свободного падения.
Будем считать, что точка x = 0 – это берег, и изменение глубины происходит вдоль оси x (рис. 1). Граничное условие в точке x = 0 будет обсуждаться ниже. На бесконечности принимается условие свободного ухода волн, т.е., в некоторой, достаточно удаленной, точке x = L0 мы полагаем
С помощью элементарных преобразований из уравнений (1) и (2) мы можем исключить скорость u, перейдя к волновому уравнению на смещение h:
(3)
Рис. 1. Геометрическое представление распространения волн.
где
Решив это уравнение, мы можем найти второй компонент волнового поля, например из уравн ения (2), как
(4)
Теперь для целостности изложения кратко повторим способ, описанный в работе [13], с помощью которого будет получено решение для определенных конфигураций дна h(x) урав нения (3). Для этого предположим, что смещение представляется в виде
(5)
где – некоторые, пока неизвестные, произвольные гладкие функции. Проведя подстановку (5) в ур авнение (3), получаем
(6)
Теперь, потребовав следующие условия:
(7)
(8)
(9)
уравнение (6) сведем к уравнению Эйлера–Пуассона–Дарбу (10) (решаемому на полуоси t > 0):
(10)
Известно [10–12], что при целых (неважно, положительных или отрицательных) m решением этого уравнения является линейная комбинация произвольных функций и их производных, которые в свою очередь зависят от суммы и разности t и t. При A(x) = 1 условие (9) автоматически выполняется, и решение на смещение (для отрицательных m) тогда записывается как
(11)
где производная берется по всему аргументу, и коэффициент a0 в силу линейности можно принять равным 1 (функции f и g при этом имеют размерность смещения). Коэффициент a1 = -a0 = -1, а дальнейшие коэффициенты ak можно искать по следующей формуле (обобщение выражений из [10]):
или брать их из решения для положительных m (коэффициенты при одинаковых слагаемых для решений при m > 0 и -m + 1 совпадают).
Уравнения (7) и (8) дают выражения для неизвестной функции t(x), профиля дна h(x) и скорости волны c(x) (с точностью до сдвига координаты по оси x):
(12)
(13)
(14)
где – это глубина водоема на расстоянии L от берега; – время, за которое волна от точки L уйдет на бесконечность. Именно такой выбор согласуется с рис. 1, ведь тогда берегом является точка x = 0. Все профили дна лежат между x2 и x4, при этом предельным случаем, как и при положительных m, будет профиль x2.
Особенностью этих решений является то, что, с одной стороны, вблизи берега время движения волны t стремится к бесконечности, и это значит, что волна не может достичь берега за конечное время. С другой стороны, волна уходит на бесконечность за конечное время, сильно ускоряясь. Оба предельных случая лежат за рамками линейной теории мелкой воды, и мы это обсудим в заключении. Здесь же ограничимся рассмотрением произвольного интервала (a,b),
2. Уединенная волна, движущаяся к берегу
В дальнейшем мы будем рассматривать только функции смещения и скорости из пространства L2, описывающие волны с конечной энергией (уединенные волны). Смещение волны, приближающейся к берегу, записывается как
(15)
Теперь найдем выражение для усредненной по глубине скорости волны, бегущей к берегу:
(16)
где вплоть до и Здесь мы воспользовались тем, что t ′= -1/c. Легко заметить, что дополнительного интеграла в скорости, в отличие от случая положительного m, не появится в силу коэффициента перед ним – k = 0. Отметим, что всегда, поскольку поэтому мы можем переписать скорость как
(17)
Рассмотрим ситуацию, когда волна подходит к берегу издалека. В этом случае можно считать, что волна описывается приближенно как
поскольку все остальные слагаемые в сумме будут давать незначительный вклад в (15). Отметим, что в силу большой глубины далеко от берега усредненная по глубине скорость течения мала, так что можно не приводить для нее соответствующего выражения. А при приближении волны к берегу в решении будут превалировать все более высокие производные от функции f. Тогда очевидно, что будет выполняться:
Поэтому мы остаемся в пространстве волн с конечной энергией, и никаких дополнительных условий на функцию f накладывать не надо, в отличие от обратного случая – отхода волны от берега (см. далее).
3. Условия на начальную форму волны, движущейся от берега
Отдельно выделим случай волны, заданной в точке x0 вблизи берега как и идущей от него. В таком случае в формуле (11) присутствует только функция g(t – t), и у берега превалирует |m|-я производная функции g. При этом верно асимптотическое равенство (в зависимости от близости к берегу)
в то время как на бесконечности будет превалировать сама функция g, т.е.
Для наглядности перепишем решение на смещение через функцию j(t):
и, чтобы остаться в пространстве волн с ограниченной энергией, понятно, что достаточно потребовать, чтобы все интегралы вплоть до |m|-го порядка по R равнялись нулю, поскольку отличие от него хотя бы одного интеграла повлечет за собой расходимость последующих:
...
Данное условие в точности повторяет условие на решения для уравнения Эйлера–Пуассона–Дарбу с натуральным m, однако с существенным изменением – они накладываются на форму волны, задаваемую у берега и бегущую от него, а не наоборот. Выражение для скорости волны не имеет в своей записи более высоких интегралов от j, поэтому дополнительных ограничений на класс j(t) оно не внесет.
Далее приведем несколько примеров, иллюстрирующих сходства и расхождения поведения волн при сведении к уравнению Эйлера–Пуассона–Дарбу с различными отрицательными m.
4. Решение уравнений мелкой воды при m = –1
В качестве первого примера рассмотрим поведение волн при сведении к уравнению Эйлера–Пуассона–Дарбу при m = –1. Профиль безотражательного дна в данном случае задается уравнением
а и задаются как
Смещение волны, бегущей к берегу:
(18)
У первого слагаемого амплитуда не меняется, второе слагаемое прямо пропорционально h-1/4, поэтому все решение вблизи берега будет удовлетворять закону Грина (превалирует второе слагаемое), а вдали от берега амплитуда будет практически константой (основной вклад дает первое слагаемое). Выражение для усредненной по глубине скорости
(19)
состоит из одного слагаемого и также никаких ограничений не приносит. Амплитуда пропорциональна h-3/4 – закон Грина для скорости выполняется везде (этот результат уже был получен в [7]).
Пусть в некоторой точке (достаточно удаленной от берега) задана уединенная волна вида
(20)
где A – амплитуда волны, а T характеризует ее длительность. Дальнейшие расчеты мы будем проводить в нормализованных переменных (индекс d означает безразмерность физической величины). Тогда мы будем иметь дело только с одним параметром a = T/t0, физический смысл которого – это время распространения волны в единицах периода.
Тогда решения (18) и (19) записываются как
(21)
(22)
В такой записи сразу же становится видно, что при малом параметре а смещение не будет практически отличаться от заданной функции f в точке x = -L, а при большом – отличаться сильно, больше напоминая производную функции f. Однако очевидно, что в независимости от a на бесконечности смещением будет чисто гауссовский импульс.
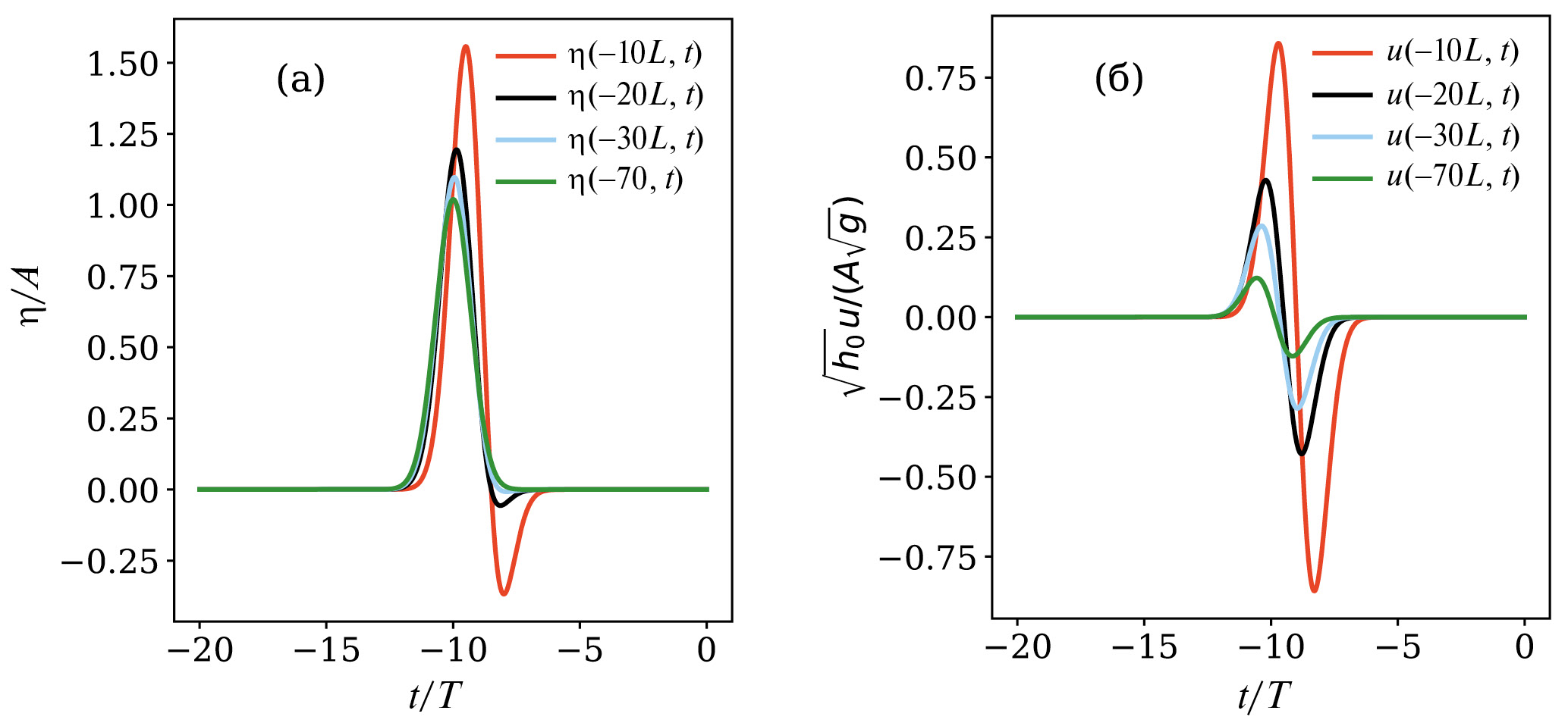
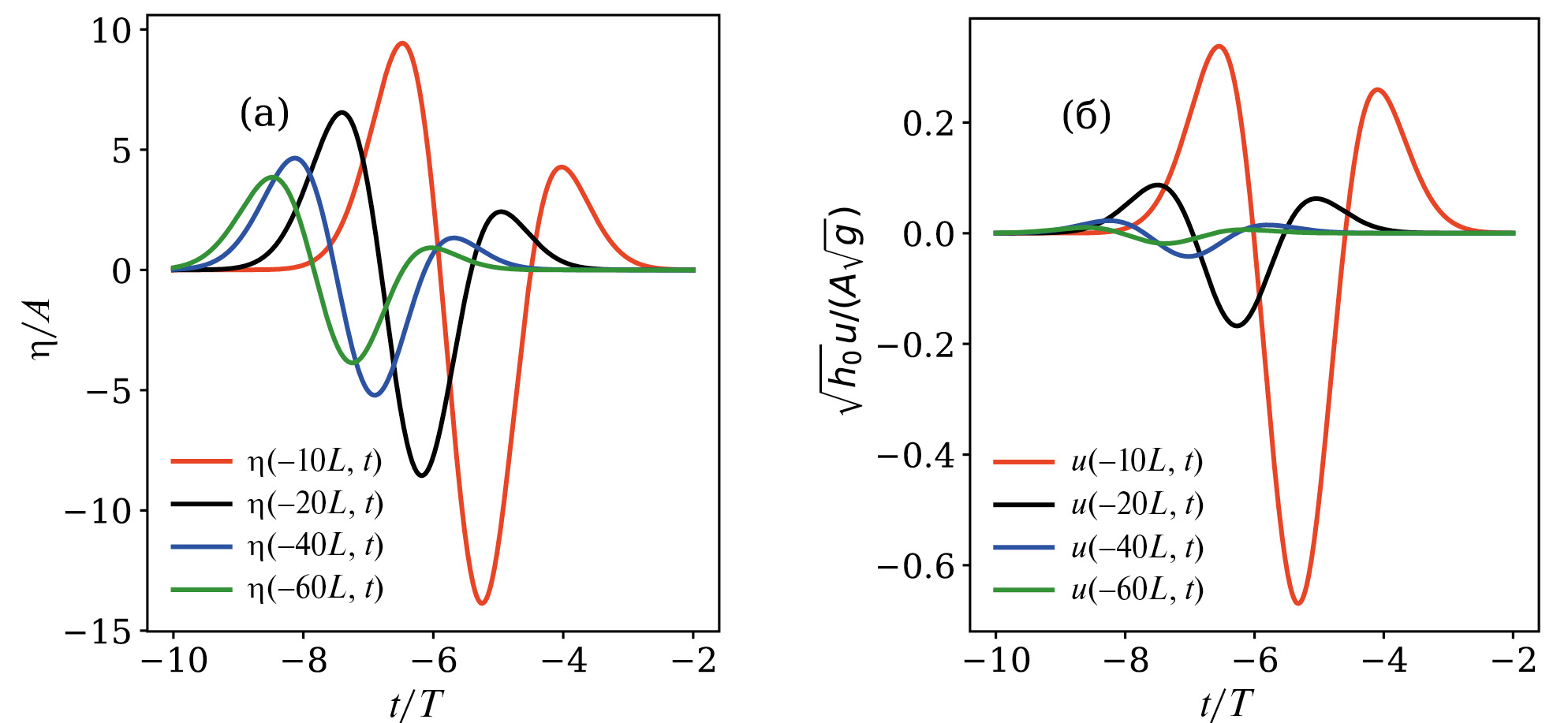
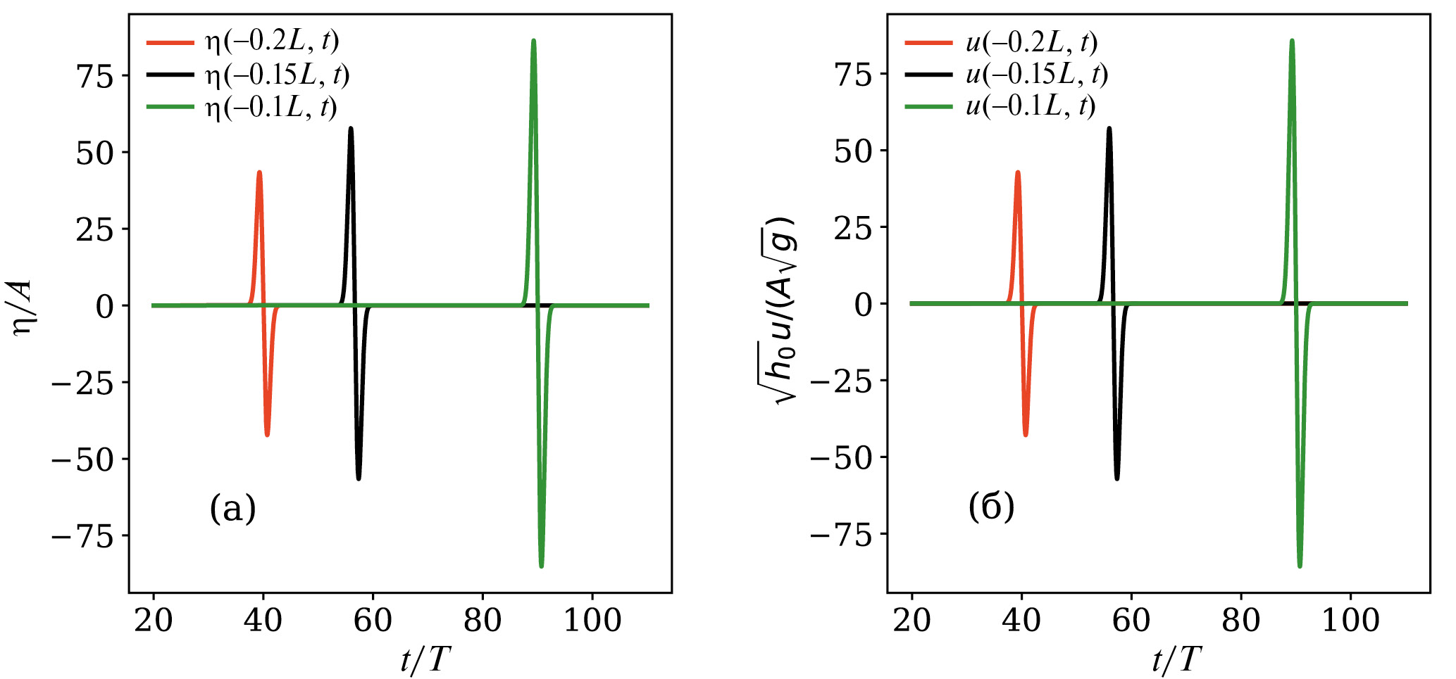
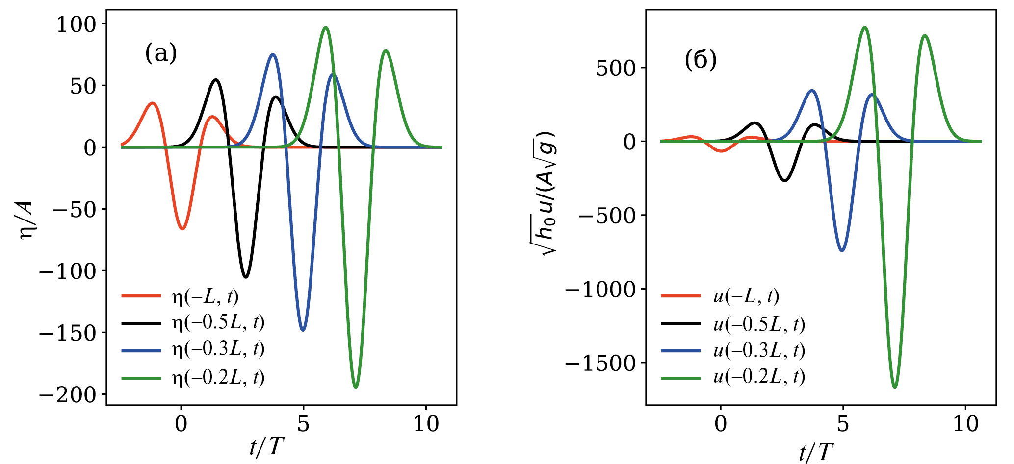
Возьмем, например, такой импульс, что в точке x = -L он в 10 раз короче t0, т.е. a = 10. На рис. 2–4 представленна трансформация решений смещения и скорости.
Вдали от берега (см. рис. 2) импульс – чисто гауссовский. Графики практически не сдвигаются на рисунке – так и должно быть: у волны очень большая скорость движения, поэтому из точки x = -70L она практически сразу же приходит в x = -10L. Затем форма волны не интегрируется, как в случае с натуральным m, а дифференцируется, что можно заметить на рис. 3 (слева). Амплитуда ее растет по закону Грина, и при этом волна все сильнее и сильнее замедляется. Далее происходит обрушение, чего линейная теория не учитывает (см. рис. 4). Рисунки 2–4 (справа), как и предполагала формула, иллюстрируют рост амплитуды и неизменность формы графика скорости.
Рис. 2. Мареограммы смещения (а) и скорости (б) вдали от берега.
Рис. 3. Мареограммы смещения (а) и скорости (б) в окрестности L.
Рис. 4. Мареограммы смещения (а) и скорости (б) при подходе к берегу.
5. Решение уравнений мелкой воды при m = -2
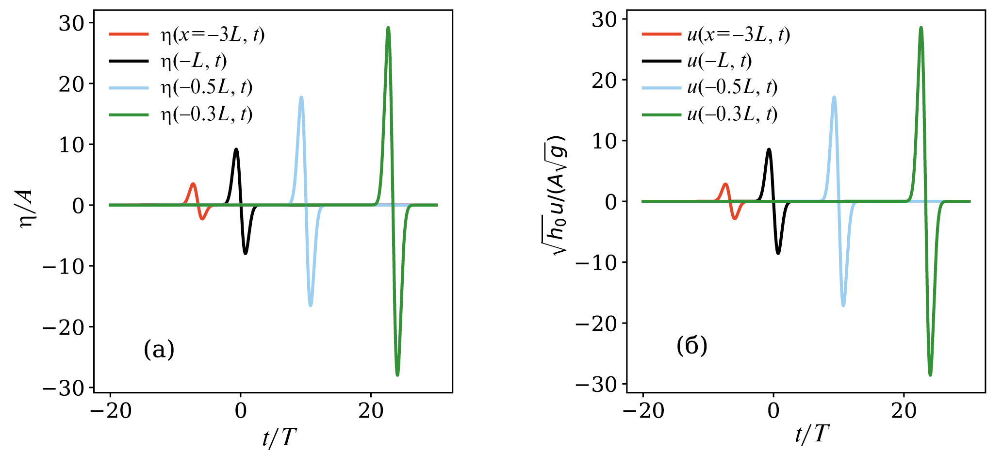
Теперь рассмотрим пример сведения к уравнению Эйлера–Пуассона–Дарбу с m = -2. Профиль дна в таком случае выражается как
Волновое поле импульса, бегущего к берегу, для этого случая описывают выражения
(23)
(24)
Рис. 5. Мареограммы смещения (а) и скорости (б) вдали от берега, и постепенная трансформация формы волны.
Рис. 6. Мареограммы смещения (а) и скорости (б) на промежуточных расстояниях до берега.
Из формул (23) и (24) легко заметить, что функция смещения водной поверхности при подходе к берегу будет дважды трансформироваться – дифференцироваться, а скорость притерпит только одну трансформацию, что также следует из серии рис. 5–7.
Для иллюстрации наших соображений возьмем ту же функцию, что и в первом примере:
Тогда мы можем записать решение в виде
Рис. 7. Мареограммы смещения (а) и скорости (б) при подходе к берегу.
а скорость – как
Аналогичную роль в решении играет параметр a – чем он больше, тем более различны в точке L величины f и h. Как и раньше, возьмем t0 = 10T. Тогда получим результаты, которые иллюстрируют графики на рис. 5–7. При этом максимальные значения смещения и скорости у берега подчиняются закону Грина, что можно заметить и для общего случая m: и
6. Основные закономерности полученного волнового поля
Рассмотрев два примера, а также обра ти в внимание на формулы (11) и (17), можно выделить основные закономерности для случаев сведения (к уравнению Эйлера–Пуассона–Дарбу) с различными отрицательными m.
- Смещение водной поверхности трансформируется | m | раз, и к берегу подходит | m |-я производная изначальной функции смещения с растущей амплитудой.
- При этом если волна задается у берега, то на бесконечность уходит, наоборот, | m |-й интеграл, и появляется серия ограничений на класс начальных мареограмм.
- График усредненной по глубине скорости трансформируется | m | – 1 раз, и к берегу подходит (| m | – 1)-я производная изначальной функции скорости (| m |-я производная изначальной функции смещения) с растущей амплитудой.
- Ассимптотика амплитуды волны вблизи берега для любого m удовлетворяет закону Грина (~h-1/4), как и максимальные значения скорости: u ~ h-3/4.
- Ассимптотики смещения (~const) и скорости (~h1/(4m) – 1/2) вдали от берега в общем случае не удовлетворяют закону Грина (исключением является только ассимптотика скорости при m = -1). Хотя понятно, что приближения мелкой воды в данном случае уже работать не будут, и этот случай нужно рассматривать отдельно.
Также стоит отметить, что если для положительных m закон Грина выполнялся вдали от берега [9] – то для отрицательных m все стало ровно наоборот – он выполняется вблизи берега.
- Волна не может достичь береговой линии, ее время прохождения стремится к бесконечности. То есть при подходе к берегу волна все сильнее и сильнее замедляется. Если амплитуда волны сильно нарастает и волна не добегает до берега, это означает, что волна обрушится, и в рамках линейной теории анализировать поведение волны вблизи берега мы не можем. Но на конечных расстояниях это будет физически разумным решением.
Волна же, бегущая от берега, достигает бесконечность за конечное время. Такое поведение можно объяснить тем, что мы выходим за рамки начальных приближений мелкой воды – глубина будет расти как ~ x4m/(2m + 1). Мы не можем как приблизится к берегу, так и уйти далеко от него, поэтому, как и предлагалось выше, необходимо рассматривать это решение только на промежутке (a, b).
Заключение
Проведено обсуждение свойств точных решений уравнений мелкой воды, полученные сведением системы уравнений мелководья к уравнению Эйлера–Пуассона–Дарбу отрицательными целыми m. Получено аналитическое решение для всего волнового поля – как для смещения, так и для усредненной по глубине скорости. Решения проиллюстрированы примерами. Выявлены основные закономерности в поведении волнового поля.
В дальнейшем авторы предполагают изучить различные режимы трансформации бегущей волны на урезе, а также ее уход на бесконечность, где нужно будет рассматривать задачу в рамках нелинейной теории, как, например в [13], поскольку в этих областях уже будут важны дисперсия и нелинейность.
Финансирование
Работа выполнена при поддержке гранта Российского научного фонда № 23-77-01074.
About the authors
I. E. Melnikov
Национальный исследовательский университет “Высшая школа экономики”; Институт прикладной физики им. А. В. Гапонова-Грехова РАН
Author for correspondence.
Email: melnicovioann@gmail.com
Russian Federation, Нижний Новгород; Нижний Новгород
E. N. Pelinovsky
Национальный исследовательский университет “Высшая школа экономики”; Институт прикладной физики им. А. В. Гапонова-Грехова РАН
Email: pelinovsky@appl.sci-nnov.ru
Russian Federation, Нижний Новгород; Нижний Новгород
References
- Mei C.C. The Applied Dynamics of Ocean Surface Waves. W.S.: Singapore, 1989. 740 p.
- Brekhovskikh L.M. Waves in Layered Media. Cambridge Univ. Press, USA, 1976. 520 p.
- Dingemans M.W. Water Wave Propagation over Uneven Bottom. W.S.: Singapore, 1997. 700 p.
- Kravtsov Y.A., Orlov Y.I. Geometrical Optics of Inhomogeneous Media. Spring.: N.Y., 1990. 325 p.
- Babich V.M., Buldyrev V.S. Asymptotic Methods In Short-Wavelength Diffraction Theory. Alpha Sci., 2009. 495 p.
- Капцов О.В., Капцов Д.О. Решения некоторых волновых моделей механики // ПММ. 2023. T. 87. № 2. С. 176–185.
- Полянин А.Д., Зайцев В.Ф. Справочник по нелинейным уравнениям математической физики: точные решения. М.: Физматлит, 2002. 432 с.
- Zaitsev V.F., Polyanin A.D. Exact solutions and transformations of nonlinear heat and wave equations // Dokl. Math. 2001. V. 64. № 3. P. 416–420.
- Didenkulova I.I., Pelinovsky E.N., Soomere T. Long surface wave dynamics along a convex bottom // J. Geophys. Res. 2008. V. 114. № C7. 14 p.
- Didenkulova I.I., Pelinovsky E.N. Travelling water waves along a quartic bottom profile // Proc. Estonian Acad. Sci. 2010. V. 59. № 2. Р. 166–171. doi: 10.3176/proc.2010.2.16.
- Didenkulova I.I., Pelinovsky D.E., Tyugin D.Y., Giniyatullin A.R., Pelinovsky E.N. Travelling long waves in water rectangular channels of variable cross section // Geogr. Environ. and Liv. Syst. 2012. № 5. P. 89–93.
- Пелиновский Е.Н., Диденкулова И.И., Шургалина Е.Г. // Динамика волн в каналах переменного сечения. Морской гидр. жур. 2017. № 3. С. 22–31.
- Pelinovsky E.N., Kaptsov O.V. Traveling Waves in Shallow Seas of Variable Depths // Symm. 2022. V. 14. № 7. Р. 1448.
- Melnikov I.E., Pelinovsky E.N. Euler-Darboux-Poisson Equation in Context of the Traveling Waves in a Strongly Inhomogeneous Media // Math. 2023. V. 11. № 15. Р. 3309. DOI: https://doi.org/10.3390/math11153309.
- Эйлер Л. Интегральное исчисление. T. 3. M: ГИФМЛ. 1958. 447 с.
- Kaptsov O.V. Equivalence of linear partial differential equations and Euler-Darboux transformations // Comput. Technol. 2007. V. 12. № 4. P. 59–72.
- Copson E.T. Partial differential equations. Cambridge Univ. Press, 1975. 292 p.
- Didenkulova I.I. New Trends in the Analytical Theory of Long Sea Wave Runup // In Appl. Wave Math. Spring. 2009. P. 265–296.
Supplementary files










