Anomalous heat transfer enhancement in separated flow over a zigzag-shaped dense package of inclined grooves in a channel wall at different temperature boundary conditions
- Authors: Isaev S.A.1,2, Mil’man O.O.3, Klyus A.A.2, Nikushchenko D.V.4, Khmara D.S.1, Yunakov L.P.5
-
Affiliations:
- St. Petersburg State Marine Technical University
- St. Petersburg State University of Civil Aviation
- Scientific and Production Implementation Company "Turbokon"
- a St. Petersburg State Marine Technical University
- Baltic State Technical University VOENMEKH
- Issue: No 2 (2024)
- Pages: 71-93
- Section: Articles
- URL: https://bakhtiniada.ru/1024-7084/article/view/266726
- DOI: https://doi.org/10.31857/S1024708424020072
- EDN: https://elibrary.ru/rjdqnw
- ID: 266726
Cite item
Full Text
Abstract
Rapid development of the anomalous enhancement of separated turbulent Re = 6000 air flow and heat transfer in an in-line single-row package of 31 inclined grooves, 0.2 in dimensionless depth, in a singled-out longitudinal region of the wall of a narrow channel is studied. It is due to the interference of vortex wakes behind the grooves and the acceleration in the channel flow core with the formation of a zone of ultrahigh longitudinal velocity. The wave-shaped parameter characteristics are stabilized in the region of approximately 15th groove, whereupon the oscillation amplitudes are moderately reduced. The return flows in the grooves are enhanced with distance from the entry section, the minimum negative friction diminishing from −2 to −4. The total relative heat removal from the structured region increases at q = const by a factor of approximately 2.75 and by the factor of two at T = const with increase in the relative hydraulic losses by the factor of 1.7, as compared with the case of a plane–parallel channel. The relative heat removal from the surface bounded by the contour of the 20th inclined groove amounts to 3.7 (q = const) with increase in the hydraulic losses by the factor of 2.2. An increase in the local maximum of the longitudinal velocity up to a factor of 1.5, as compared with the mean-mass velocity, can be observable.
Full Text
При движении теплоносителя в структурированных энергетических системах с упорядоченными элементами, например, в трубчатых теплообменниках [1], как правило, наблюдается начальный гидродинамический участок, на котором локальные и интегральные характеристики течения и теплообмена около удаленных элементов приближаются к стабилизированным величинам.
В работе [1] показано, что интенсификация теплообмена в трубных пучках по мере продвижения к удаленным трубам связана с турбулизацией вихревого потока. Однако и для ламинарного (при числе Рейнольдса Re = 308) течения трансформаторного масла в прямоугольном канале с 124 однорядными сферическими лунками на нагретой стенке [2] отмечается постепенное волнообразное нарастание относительной теплоотдачи с выходом на средний уровень с многократным (более чем в 5 раз) превосходством теплоотдачи по сравнению с плоским каналом.
Возрастание тепловых потоков в канале связывается с интерференцией вихревого обтекания упорядоченных лунок при их коридорном расположении, в особенности при воздействии развивающего за лунками ближнего следа с расположенными ниже по потоку лунками. Так, в исследовании [3] нанесение на нагретую до 30°C стенку девятисекционного миниканала (шириной 2 и высотой 0.5) сферических лунок умеренной глубины (0.2) с шагом 1.5 при низкоскоростном (Re = 308) течении трансформаторного масла способствует вихревой интенсификации теплообмена и увеличивает теплоотдачу от стенки примерно в 2.5 раза по сравнению с гладким каналом при парадоксальном 7%-ном снижении гидравлических потерь.
Предложенные альтернативные формы наклоненных под углом 45° овальных лунок равной со сферическими аналогами площадью пятна (шириной 0.55 и длиной 1.5 в долях диаметра пятна базовой лунки) и той же глубины позволяет увеличить теплоотдачу еще в 3.4 раза при уменьшении гидравлических потерь по сравнению с гладким каналом на 2%.
В работе [4] рассматривается интенсификация теплообмена при ламинарном и турбулентном движении воздуха в узком канале с однорядным пакетом из 22 овальных лунок глубиной 0.2 (в долях ширины овальной лунки), длиной цилиндрической части 0.8, значительным радиусом скругления кромки 0.25 и углом наклона 45°, расположенных с шагом 1.8. Высота узкого канала длиной порядка 40, шириной 2.5 варьирует в пределах 0.44–0.8. Максимальные величины осредненного по поперечной полосе относительного (в сравнении с плоскопараллельным каналом) числа Нуссельта Num/Numpl растут от 1 до 2.4 (к 12-й лунке) при Re = 2500 и от 1 до 1.8 (к 8-й лунке) при Re = 2×104.
При ламинарном и турбулентном режимах относительная суммарная теплоотдача от нагретой изотермической стенки канала с лунками примерно одинакова и составляет 1.45, а коэффициент относительных гидравлических потерь в структурированном канале при переходе от Re = 2500 к 2 × 104 возрастает от 1.25 к 1.66. Наклонные овальные лунки умеренного удлинения оказались хотя и предпочтительными по сравнению со сферическими аналогами, но не слишком эффективными для интенсификации отрывного течения и теплообмена около структурированных поверхностей.
Аномальная интенсификация отрывного течения и теплообмена открыта в единичных и пакетных одно-и многорядных наклонных канавках со сферическими концами на стенке канала на стабилизированном гидродинамическом участке [5, 6]. Для нее характерны ультравысокие скорости возвратного и вторичного закрученного течения во входной части канавки, соизмеримые и превосходящие среднемассовую скорость в канале. Такие скорости возникают за счет экстраординарных сосредоточенных перепадов давления между зонами торможения входящего в канавку потока и разрежения в ядре смерчевого вихря с отрицательным давлением на входном сферическом сегменте.
Обнаружилось, что во входной части на дне канавки отрицательное трение и теплоотдача многократно (в 4–8 раз) по абсолютной величине превосходят трение и теплоотдачу на плоской стенке. Открыто также, что кардинальные изменения поля давления около наклонной канавки оказывают влияние на скорость потока в ядре канала, приводя к его ускорению над входом в канавку и формированию в ядре струйного участка с полуторакратным превышением максимальной скорости по сравнению с максимальной скоростью ламинарного и турбулентного потока в плоскопараллельном канале. Установлено, что описанные явления наблюдаются при относительных длинах и глубинах канавки, начиная с 3.5 и 0.15 соответственно, углах наклона – от 25 до 80о, при числах Рейнольдса – от 250 до 2 × 105.
В работах [7–9] численно исследуется аномальная интенсификация ламинарного и турбулентного теплообмена в межреберном пространстве воздушного конденсатора с пакетом канавок с углом наклона к набегающему потоку 45° при Re = 1000 и 6000. При реализации условия постоянства теплового потока на участке нагретой стенки узкого канала высотой 1, длиной 80 и шириной 4 на ней размещены коридорные пакеты из 20-й и 31-й канавки шириной 1 и длиной 4.5. Глубина канавок изменяется от 0.05 до 0.35. В случае редкого пакета шаг между центрами канавок равен 4, а для плотного пакета – 2.53. Равномерный поток развивается в пространстве между нагретой структурированной и изотермической плоской стенками при постановке на боковых границах условий симметрии.
При Re = 1000 уплотнение пакета приводит к значительному усилению аномальной интенсификации отрывного течения и теплообмена в канавках. Так, при глубине канавок 0.25 минимальные отрицательные величины относительного трения ( f/fpl)min уменьшаются с –2.5 до –4, причем последнее значение достигается в 14-й канавке от входа в пакет.
Увеличение глубины канавки вызывает усиление теплообмена в канале. Высокий темп роста теплопередачи наблюдается в диапазоне изменения глубин от умеренных (порядка 0.2) до больших (выше 0.3) значений. Максимальные теплогидравлические характеристики характерны для канала с плотным пакетом канавок глубиной 0.25. Для него достигнуто почти 2-кратное увеличение теплоотдачи при 46% росте гидравлических потерь в сравнении с плоскопараллельным каналом. Максимальная скорость ламинарного потока в структурированном канале растет с глубиной канавок и превышает в 2 раза среднемассовую скорость, начиная с глубины 0.25 для плотного пакета.
В случае турбулентного течения воздуха для плотного пакета наклонных канавок ( f/fpl)min = −4 и (Nu/Nupl)max = 7.2. Относительная теплоотдача возрастает в 1.9 раза, а относительные гидравлические потери – в 1.6 раза.
Цикл расчетно-экспериментальных работ [10–12] проведен с измерениям векторных полей скорости ламинарного и турбулентного потока в оптически прозрачном канале Каз НЦ РАН (высота 0.01м, ширина 0.1 м, длина 0.8 м) с двухрядными 26-ю канавками на стенке при числах Рейнольдса 1000 и 4300, определенном по скорости равномерного потока на входе и характерному размеру – ширине канавки, равной 0.01 м. Длина острокромочных канавок 4.5, глубина 0.25, шаг между центрами лунок 2.53 (плотное расположение канавок). Рассмотрены V-образная схема расположения канавок под углами ±45о к плоскости симметрии канала при развороте канавок к боковым стенкам (в этом случае входные части канавок находятся вблизи плоскости симметрии) и Λ-образная схема под углом ±135о к плоскости симметрии и развороте канавок от боковых стенок (в этом случае входные части канавок располагаются вблизи стенок). Подтверждено, что в формирующемся в конце структурированного канала ядре потока над входом в канавки возникают зоны высокой скорости, при этом максимум продольной скорости в районе 22-й канавки в ламинарном случае оказывается порядка 1.9 на высоте у = 0.4 и в турбулентном варианте достигает 1.59 на высоте y = 0.25.
Выполненное в [13] численное исследование анализирует аномальную интенсификацию турбулентного отрывного течения воздуха и теплообмена на начальном гидродинамическом участке около длинной полосы пластины с однорядным плотным пакетом из 16 наклонных канавок при задании в расчетной области боковых условий симметрии.
При числе Рейнольдса 6000 сравниваются плотные пакеты наклоненных под углом 60о канавок и сферических лунок при одинаковой площади пятна, умеренной глубине и довольно высокой плотности лунок. Расчеты теплообмена при обтекании пластины с пакетом канавок продемонстрировали прогрессирующее нарастание экстраординарного сосредоточенного перепада давления между зонами торможения внешнего потока и разрежения в месте генерации торнадоподобных вихрей на входных сферических сегментах, постепенную интенсификацию возвратного, вторичного, восходящего и нисходящего течения в канавках, достижение минимума относительного трения –4 и максимума относительного числа Нуссельта 4.4. Обнаружены ускорение и кардинальное утончение пристеночного слоя над входной частью канавок. Относительная тепловая эффективность пакета канавок составила 1.43 против 1.09 для пакета сферических лунок, а теплогидравлическая эффективность – 1.12 против 0.965.
В данной работе проводится уточнение численного исследования [9] и дается детальный анализ интерференции отрывного турбулентного течения воздуха в плотном пакете канавок и интенсификации теплообмена в узком канале со структурированным участком длиной 80, шириной 4 и высотой 1 при размещении на нем плотного пакета из 31 наклонной канавки при Re = 6000. Особое внимание уделяется сравнению прогнозов для двух типов граничных условий для расчета теплообмена T = const и q = const. Здесь развивается выполненное в работе [14] численное исследование конвективного теплообмена в узком канале с единичной наклонной канавкой.
Постановка задачи. Методология расчета
Численно рассматривается ускорение турбулентного потока воздуха (Pr = 0.71) и усиление аномальной интенсификации отрывного течения и теплообмена при заданном числе Рейнольдса (Re = 6000) на длинном участке структурированного канала. В узком канале протяженностью 84, шириной 4 и высотой 1 на контрольной секции длиной 80 на нагретой стенке располагаются однорядные пакеты, набранные из 31 канавки с полусферическими концами под углом наклона 45° к продольной оси канала.
Каждая канавка состоит из двух половинок сферической лунки, соединенных траншейной вставкой. Иногда их называют овально-траншейными. Ширина канавки равна 1, длина – 4.5, глубина – 0.2, радиус скругления кромки – 0.2 (рис. 1а).
Рис. 1. Узкий канал с 31 наклонными канавками с системой декартовых координат x, y, z (а) и зигзагообразные коридорные пакеты канавок на стенке канала (б). Продольное сечение канавок в канале в серединах переходов от сферических сегментов к траншеям (в). Многоблочные расчетные сетки на структурированном участке стенки (г). 1 – подробная декартовая сетка, покрывающая канавки; 2 – криволинейная сетка О-типа в окрестности каждой канавки; 3 – косоугольная сетка-“заплатка”, наложенная на центральную зону канавки. Верхняя стенка канала не показана.
Длины входного и выходного плоскопараллельного участка канала перед и за структурированной секцией канала выбраны равными 2. Шаг между центрами канавок 2.53, как и в плотном пакете [5, 6]. На боковых границах канала задаются условия симметрии, т.е. моделируется канал с зигзагообразным расположением канавок (рис.1б).
На входе в канал турбулентный воздушный поток равномерный, в выходном сечении канала выполняются мягкие граничные условия, а на стенках канала – условие прилипания. Система декартовых координат x, y, z вводится с центром на нижней стенке в начале структурированной секции канала. Ось x ориентирована вдоль канала, ось y направлена вверх, а ось z – поперек канала.
Все линейные размеры относятся к высоте канала H. Декартовые составляющие скорости U, V, W и число Re определяются по среднемассовой скорости потока. В качестве характерной температуры выбрана комнатная Тref = 293 К. Верхняя стенка канала изотермическая и поддерживается при комнатной температуре, т.е. Т = 1.
Нижняя стенка с наклонными канавки нагревается и на ней задаются два типа температурных граничных условий. Как и в [14], при реализации граничных условий первого рода нижняя стенка канала с канавкой поддерживается при постоянной температуре 30°С (303 К), т.е. безразмерная температура Т = 1.034.
Аналогично работе [13] при постановке граничных условий второго рода на стенке задается постоянный тепловой поток q. Подводимый поток q пересчитывается в безразмерный вид по формуле qnorm = = qH/(λPrReTref), а его величина принимается ~3.4 × 10–5. Здесь λ – теплопроводность воздуха.
Особое внимание в статье уделено анализу распределений поверхностных характеристик (трения, давления, чисел Нуссельта, температуры) в продольном сечении канала, проходящем через места стыковки входных полусферических сегментов канавок и их траншейных частей (рис. 1в).
Система стационарных осредненных по Рейнольдсу уравнений Навье–Стокса (RANS), замкнутых с помощью дифференциальных уравнений модели сдвиговых напряжений Ментера [15] для описания движения низкоскоростной воздушной среды, и уравнение энергии решаются с помощью факторизованного метода конечного объема второго порядка аппроксимации [16].
Следует подчеркнуть, что решение тепловой задачи не влияет на решение динамической задачи, поскольку физические свойства теплоносителя не меняются. Примененная многоблочная вычислительная технология (MBT) основывается на использовании разномасштабных структурированных сеток с перекрытием, согласованных с геометрией канала. В двух рядах приграничных ячеек каждой из перекрывающихся сеток параметры рассчитываются с линейной интерполяцией [16].
В работе [17] дано обоснование, что этот подход эквивалентен применению адаптивных неструктурированных сеток, но не требует чрезмерных вычислительных ресурсов. Его преимуществом является обеспечение надлежащей точности прогнозов без измельчения сеток, поскольку метод автоматически разрешает все значимые гидродинамические и теплофизические особенности. Конечно, пересчеты с сетки на сетку с помощью линейной интерполяцией являются источником ошибок. Тем не менее тестовые расчеты установившегося циркуляционного течения в каверне с подвижной крышкой [17] показали, что неопределенности прогнозов оказываются вполне приемлемыми.
Отличительной чертой использованного конечно-объемного алгоритма является основанная на концепции расщепления по физическим процессам [18] процедура коррекции давления SIMPLEC [19] с монотонизацией по Рхи–Чоу для выбранного центрированного расчетного шаблона [20, 21].
В линеаризованной системе уравнений конвективные члены в неявной части уравнений переноса представляются по схеме против потока с односторонними разностями, что позволяет существенно повысить устойчивость вычислительной процедуры. В целях снижения влияния искусственной диффузии при моделировании отрывных течений конвективные члены в явной части исходных уравнений количества движения аппроксимируются с помощью одномерной квадратичной противопоточной схемы Леонарда [22], а в уравнениях для характеристик турбулентности – по схеме TVD [23].
Решение алгебраических уравнений проводится методом сопряженных градиентов BiCGSTAB [24] с предуславливателем. Алгебраический многосеточный ускоритель AMG из библиотеки Демидова (amgcl) [25] применяется в блоке коррекции давления, и ILU0-метод используется для других переменных. Специализированный расчетный код VP2/3 (скорость–давление, 2D/3D), базирующийся на MBT, выбран в качестве базового кода в данном численном исследовании и реализуется на многоядерных вычислительных системах аналогично другим кода, таким как OpenFOAM.
Многоблочная разномасштабная расчетная сетка конструируется с помощью наложения заданных структурированных алгебраических и дифференциальных сеток разной топологии. Канальная декартовая сетка сгущается к верхней плоской и нижней криволинейной стенкам. Продольные и поперечные шаги этой сетки задаются порядка 0.07. В эту сетку встраивается измельченная декартовая сетка высотой 0.175, покрывающая структурированный участок с канавками на нижней стенке канала (сетка 1 на рис. 1г). Эта сетка более подробная, чем базовая.
Продольные и поперечные шаги сетки имеют порядок 0.05. В пристеночную декартовую сетку встраиваются построенные для каждой наклонной канавки криволинейные эллиптические сетки типа О, согласованные с внутренними поверхностями канавок (сетка 2 на рис. 1г). Внутри каждой канавки вводятся косоугольные сетки-заплатки, согласованные с криволинейными поверхностями канавок и закрывающими осевые зоны (сетка 3 на рис. 1г). Пристенный шаг сеток равен 0.0005. Общее количество вычислительных ячеек составляет примерно 11 млн.
Анализ полученных результатов
На рис. 2–13 и в табл. 1 представлены некоторые из полученных результатов.
В табл. 1 сравниваются численные прогнозы тепловой эффективности Numm/Nummpl, относительных коэффициентов гидравлических потерь ζ/ζpl и теплогидравлической эффективности ТНЕ = (Numm / Nummpl) / (ζ/ζpl)1/3 для продольного участка канала, структурированного 31 наклонными канавками с полусферическими концами, при двух типах использованных граничных условий.
Таблица 1. Численные прогнозы для продольного участка канала
Тип граничных условий | Numm/Nummpl | ζ/ζpl | THE |
q = const | 2.75 | 1.67 | 2.31 |
T = const | 1.95 | 1.64 |
В работе [14] показано, что относительная величина суммарной теплоотдачи Numm/Nummpl участка с наклонной канавкой при задании условия постоянства подведенного теплового потока не значительно отличается от аналогичного численного прогноза для изотермической нагретой стенки, а именно 1.1 против 1.08 (различие в пределах 2–3%). Однако там отмечалось, что для пакетов наклонных канавок разница в предсказаниях суммарной теплоотдачи для различных типов граничных температурных условий может оказаться значительной.
Как видно по табл. 1, относительная теплоотдача от структурированной 31-й наклонной канавкой полосы канала при q = const в 1.4 раза выше в сравнении с ее прогнозом при T = const. При этом оба предсказания заметно превосходят относительные гидравлические потери в канале.
Данное исследование во многом объясняет это различие и акцентирует внимание на фундаментальном механизме усиления аномальной интенсификации отрывного течения и теплообмена в наклонных канавках по мере развития, формирования и интерференции вихревых структур в канале с равномерным потоком воздуха на входе.
На рис. 2 представлены распределения относительного трения f/fpl(x) вдоль трех продольных сечений структурированной стенки канала.
Первое и второе продольные сечения (первое показано на рис. 1в) проходят через центры сечений стыковки входных и выходных концевых сферических сегментов с цилиндрической траншеей при z = ±1.245. Третье сечение – срединное сечение нижней стенки канала (z = 0). Нумерация кривых совпадет с номером сечения.
Показанные на рис. 2а распределения относительного трения f/fpl(x) демонстрируют волнообразный характер изменения трения с быстрым нарастанием амплитуды колебаний по мере отхода от входного сечения канала. Примерно к 20-й канавке величины f/fpl принимают экстремальные значения.
На последнем участке канала наблюдается тенденция к стабилизации характеристик при некотором снижении разброса амплитуд колебаний. Для детального анализа фаз развития, достижения наибольших экстремумов и приближения к стабилизации течения в канале представляются укрупненные фрагменты f/fpl(x) в районе первой, двадцатой и тридцатой канавок (рис. 2б–г). С этой целью на этих и последующих рисунках рассматриваются входной (протяженностью от 0 до 12.5), средний (от 35 до 45 для относительного трения и перепада давления и от 46 до 56 для относительной осредненной теплоотдачи) и выходной участок (от 70 до 78).
Как видно по рис. 2, входящий в канал равномерный поток в пристеночном слое у структурированной стенки трансформируется в сдвиговый. В районе входов в канавки (кривые 1) экстремальные величины относительного трения характеризуются наибольшим разбросом, причем минимальные величины на дне канавок уменьшаются от –1.5 до –3.3 (более чем вдвое), а максимальные величины на наветренных кромках возрастают с 6.7 до 9.3 (примерно в 1.4 раза). К концу канала эти характеристики слегка корректируются, приближаясь к –3.2 и к 8 соответственно.
Рис. 2. Сравнение распределений относительного трения f/fpl(x) в трех продольных сечениях канала (а) с 31 канавками и в укрупненных фрагментах во входном (б), среднем (в) и выходном (г) участках. Кривые: 1 – z = 1.245, 2 – (-1.245), 3 – 0.
Важно отметить, что на всем протяжении канала в промежутках между канавками относительное трение сохраняется на примерно одном и том уровне, близком к 2–2.5. Таким образом, наблюдается усиление аномальной интенсификации отрывного течения в удаленных от входа канавках по сравнению с единичными канавками [26], что свидетельствует об увеличении интенсивности смерчей в канавках.
Распределения f/fpl(x) во втором продольном сечении канала отражают торможение пристеночного канального течения в окрестности выхода потока из канавки (кривые 2 на рис. 2). Отмечается резкое (двукратное) снижение максимальных амплитуд относительного трения в сравнении с первым сечением. Тем не менее просматривается тенденция к некоторому росту градиентов скорости. Так, (f/fpl)max увеличивается с 3.5 до 4.5 к середине канала, в затем стабилизируется на уровне 4.
Внутри канавок в донной части на выходе из них наблюдается слабое возвратное течение на всей длине канала. И, наконец, срединное сечение (кривые 3) характеризуется максимальными амплитудами относительного трения, приближающимся к 4 в конце канала. Интересно отметить, что в донной части канавок трение положительное и в самих канавках сохраняется проточное течение с максимальным f/fpl порядка 1. Также следует подчеркнуть, что в промежутках между канавками средний уровень относительного трения увеличивается с 1.5 до 2.
Эволюция перепадов статического давления P–Ppl(х) в трех вышеуказанных продольных сечениях нижней стенки канала представлена на рис. 3.
Рис. 3. Сравнение распределений перепада статического давления P–Ppl(x) в трех продольных сечениях канала (а) с 31 канавками и в укрупненных фрагментах во входном (б), среднем (в) и выходном (г) участках: z на кривых 1–3 – то же, что на рис. 2.
Как и распределения f/fpl(x), зависимости P–Ppl от продольной координаты х носят волнообразный колебательный характер. Максимальные величины перепадов давления возникают на наветренных склонах наклонных канавок, а минимальные (отрицательные) величины наблюдаются в их донных частях.
Интересно отметить, что наибольшие величины перепадов давления в первом продольном сечении быстро нарастают в первых трех канавках с 0.2 до 0.23, а затем медленно достигают максимального значения 0.24 в 12-й канавке и к 20-й канавке уменьшаются до 0.2, далее переходя на монотонное линейное снижение к выходному сечению из канала до уровня –0.05. При этом минимальные отрицательные величины перепадов давления в донных частях канавок в продольном сечении по мере отхода от начала структурированного участка уменьшаются с увеличением амплитуды до 12-й канавки с умеренным темпом и в дальнейшем амплитуды колебаний сохраняются.
В то же время максимальные и минимальные величины P–Ppl во втором и третьем (срединном) сечениях монотонно убывают по длине канала по закону, близкому к линейному. Амплитуды колебаний перепадов давления в этих сечениях кардинально ниже, чем в первом сечении.
Интересно отметить, что в промежутках между канавками в первом сечении возникают куполообразные распределения статического давления с максимумами, уменьшающимися по близкой к линейной зависимости. В целом по мере продвижения по пакету канавок перепады давления между зонами торможения на наветренном склоне и областями отрицательного давления в донных частях от 1-й до 20-й канавки увеличиваются примерно от 0.25 до 0.55 и далее незначительно снижается до 0.5 на выходе из структурированного участка.
Сравнение распределений интегральных и локальных относительных чисел Нуссельта на структурированной продольной полосе и трех указанных продольных сечениях стенки канала с наклонными канавками, рассчитанных при двух типах граничных условий: q = const и T = const, проводится на рис. 4–7.
Осреднение по поперечным полосам структурированной стенки канала Num/Numpl(x) является общепринятым в расчетных и экспериментальных исследованиях (см., напр., работы [2–14]) и представляет собой своеобразную свертку по поперечной координате z относительных чисел Нуссельта Nu/Nupl, распределенных по поверхности нижней стенки (рис. 4).
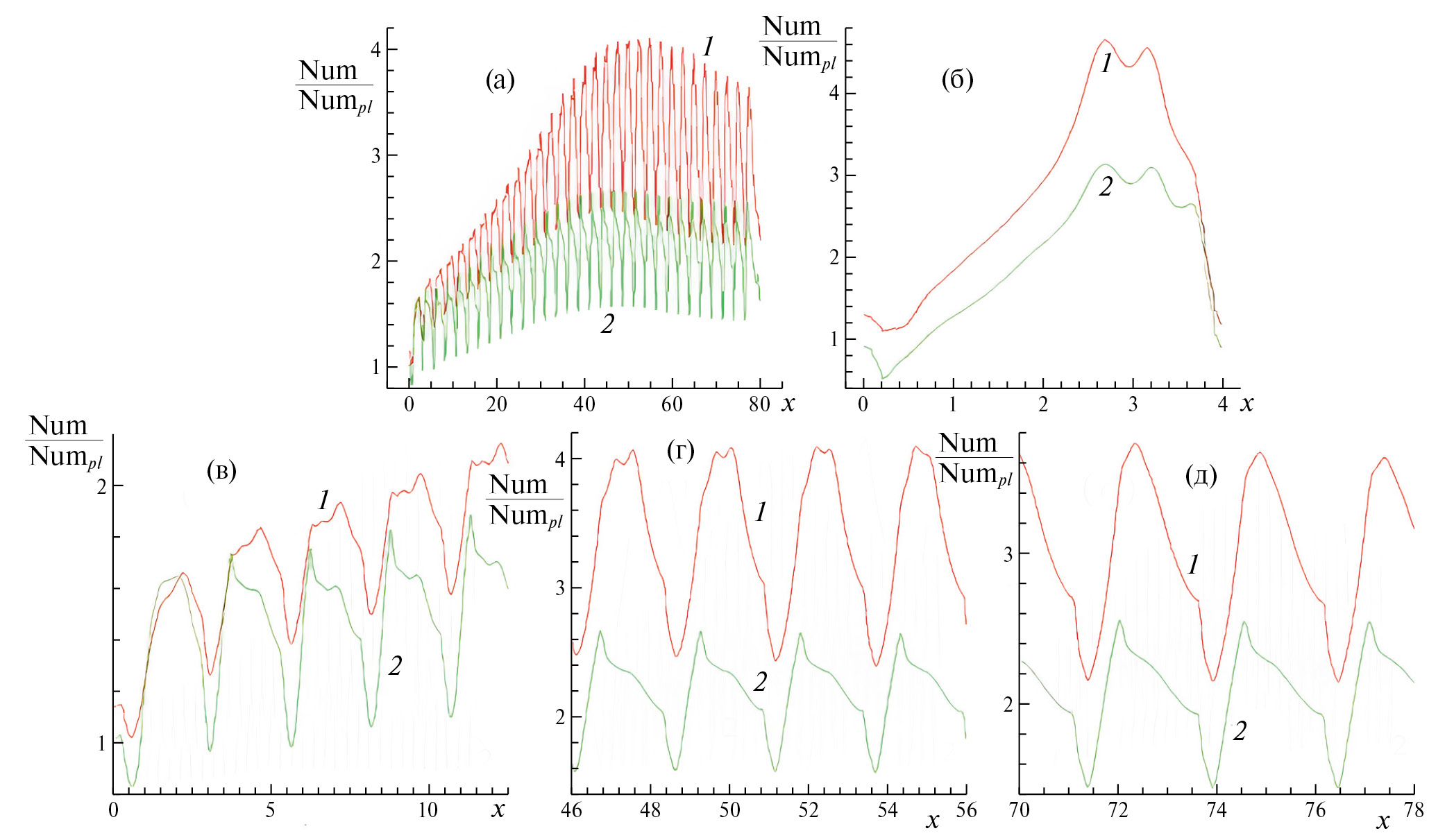
Рис. 4. Сравнение проинтегрированных по поперечным (а, в–д) и продольным (б) полосам распределений Num/Numpl на нагретой стенке канала при граничных условиях q = const (1) и T = const (2). Укрупненные фрагменты Num/Numpl(х) соответствуют входному (в), среднему (г) и выходному (д) участкам канала.
Для длинного участка канала с характерным отношением длины к ширине 20 к 1 эта зависимость определяет изменение осредненной тепловой нагрузки вдоль канала. Как и распределения поверхностных локальных величин трения и давления в продольным сечениях канала, эта зависимость имеет волнообразный колебательный характер с быстрым ростом на входном участке, начиная с первой канавки, достижением наибольшей теплоотдачи в середине (20-й максимум) и последующим снижением к выходной части (к 30-й канавке).
Максимумы и минимумы локальных осцилляций относительной теплоотдачи приходятся на проекции наклонных наветренных и подветренных кромок канавок на боковые грани канала. Они хорошо демонстрируются на укрупненных фрагментах зависимости Num/Numpl(x) для отмеченных участков нагретой стенки на рис. 4в–д.
Прежде всего следует отметить влияние на осредненную по полосе относительную теплоотдачу заданного типа граничных условий. Прогнозируемые максимальные амплитуды колебаний (Num/Numpl)max при q = const и T = const практически одинаковые в окрестности первой канавки к 20-му пику различаются в 1.56 раза на условно среднем участке, и далее к 30-й канавке это отличие снижается примерно в 1.5 раза.
Темп возрастания максимумов относительной теплоотдачи при q = const после 10-го пика заметно увеличивается в сравнении с линейным возрастанием от 1-й канавки, а после 14-15-го пика уменьшается, стремясь к нулю при достижении наибольшего 20-го пика.
К выходному участку осредненная относительная теплоотдача понижается, но выход на стабилизированный участок по теплообмену не наблюдается. При использовании условий Т = const достижение наибольшей величины Num/Numpl проходит быстрее (к 18-му пику, соответствующему среднему участку для трения и перепада давления).
Осреднение поверхностных чисел Нуссельта Nu/Nupl по продольным полосам и построение распределений Num/Numpl(z) позволяет определить наиболее теплонапряженные зоны нагретой стенки канала (рис. 4б).
Хотя в представленных кривых нет осцилляций, характерных для зависимостей на рис. 4а, отмечаются два локальных пика в районах входных участков канавок. Как видно по рис. 4б, правая сторона канала, соответствующая входным участкам канавок, характеризуется наибольшей относительной теплоотдачей. При q = const максимум достигает 4.7, а при T = const – 3. Для левой половины канала характерно монотонное снижение относительной осредненной теплоотдачи до близкого к 1 значения для q = const. В случае T = const вблизи левой границы образуется зона пониженной теплоотдачи с Num/Numpl < 1.
Распределения локальных чисел Нуссельта вдоль заданных продольных сечений нагретой стенки показывает значительные различия в интенсификации теплообмена на разных продольных полосах канала (рис. 5–7). На полосе, проходящей через сечения стыковок входных сферических сегментов с цилиндрической траншеей, отмечается затянутый рост относительной теплоотдачи к максимуму порядка 16.5 в районе 26-й канавки (при q = const).
Рис. 5. Сравнение распределений локальных Nu/Nupl вдоль продольного сечения при z = 1.245 (а) для граничных условий q = const (1) и T = const (2). Укрупненные фрагменты Num/Numpl(х) соответствуют тем же участкам канала, что на рис. 4.
В срединном сечении канала 7-кратный рост относительной теплоотдачи наблюдается к 17-й канавке, а на крайней полосе, проходящей через стыковочное сечение выходного сферического сегмента и цилиндрической траншеи у левой границы, (Nu/Nupl)max растет до 3.2 к 18-й канавке. Таким образом, интенсивность теплообмена падает вдвое при перемещении от сечения 1 к срединному сечению 3 и затем еще вдвое при смещении к сечению 2 у левой границы.
Колебания локального числа Нуссельта коррелируют с колебаниями относительного трения. Пиковые значения достигаются на наветренных кромках канавок. За ними располагаются участки между канавками, на которых относительная теплоотдача снижается с различным темпом для разных граничных температурных условий: быстро для q = const и более плавно для T = const.
Рис. 6. Сравнение распределений локальных Nu/Nupl вдоль продольного сечения при z = 0 (а) для граничных условий q = const (1) и T = const (2). Укрупненные фрагменты Num/Numpl(х) соответствуют тем же участкам канала, что на рис. 4.
Поведение теплоотдачи в канавках различно от сечения к сечению. В первом сечении относительная теплоотдача низкая на подветренных склонах канавок, а на дне и наветренных склонах быстро возрастает, переходя в пиковые величины на кромке. В среднем (3-м) сечении на дне канавок достигается ярко выраженный значительный максимум относительной теплоотдачи, сопоставимый и превосходящий уровень теплоотдачи перед канавкой. В крайнем левом (2-м) сечении максимумы относительной теплоотдачи на дне канавок сохраняются, но имеют меньшие величины в сравнении с 3-м сечением.
Рис. 7. Сравнение распределений локальных Nu/Nupl вдоль продольного сечения при z = –1.245 (а) для граничных условий q = const (1) и T = const (2). Укрупненные фрагменты Num/Numpl(х) соответствуют тем же участкам канала, что на рис. 4.
Вторая часть статьи посвящена анализу эволюции отрывного течения и теплообмена в избранных наклонных канавках подобно тому, как в работе [14] детально исследовался прямоугольный участок, ограничивающий контур единичной канавки. Сравнение полей поверхностных характеристик, таких как относительное трение f/fpl, перепады статического давления P–Ppl, относительные числа Нуссельта Nu/Nupl, проводится при рассмотрении 1-й, 20-й и 30-й наклонных канавок. Динамика изменения локальных и интегральных характеристик течения и теплообмена изучается при анализе дискретного ряда канавок с номерами 1, 5, 10, 15, 20, 25, 30.
Сравнение полей относительного трения на рис. 8а–в дополнено картинами траекторий жидких частиц в пристеночном слое поверхности канавки, иллюстрирующими растекание потока по криволинейной стенке канала и аналогичными саже-масляным картинам визуализации вихревых структур в физических экспериментах. Внутри канавок в зонах течения с отрывом потока на подветренной кромке и присоединением его к наветренной кромке развиваются сложные пространственные струйно-вихревые структуры, детально проанализированные в работах [5, 6, 13, 26–28].
Рис. 8. Сравнение поверхностных распределений относительного трения f/fpl (а–в) и перепадов относительного статического давления P–Ppl (г–е) для первой (а, г), 20-й (б, д) и 30-й (в, е) канавок.
Следы на картинах растекания позволяют идентифицировать их. Растекание на наветренном склоне от точки торможения входящего в наклонную канавку внешнего потока вызывает формирование во входной части канавок малоразмерной зоны возвратных токов высокой интенсивности. При обсуждении распределений относительного трения в продольных сечениях канала на рис. 2 внимание обращено на ультранизкие величины f/fpl, доходящие до –4.
Как видно по рис. 8а–в, узкие зоны с такими величинами относительного трения возникают в удаленных наклонных канавках на дне и наветренных склонах. Возвратные токи транспортируют воздух в район особой точки типа фокус на сферическом сегменте, являющимся ядром смерча [27]. На дне каждой из рассмотренных канавок образуется протяженная криволинейная линия отрыва пристеночного потока от точки торможения (детальный анализ ее возникновения дан в работе [28]).
Оторвавшийся поток взаимодействует с подветренным склоном, формируя точку растекания, и, таким образом, возникает не обладающая высокой интенсивностью эжекция воздуха к смерчу, формируется протяженный спиралевидный вихрь в окрестности наветренной передней кромки каждой из канавок. Линии тока на наветренном склоне, которые отражают растекание воздуха от точки торможения, являются следами мощного закрученного потока, развивающегося в каждой из канавок. Кстати, удаленные канавки в отличие от первой характеризуются возросшим уровнем относительного трения в центральной части канавок.
Перепады статического давления P–Ppl между точками криволинейной стенки структурированного канала и точками с теми же координатами x, z на соответствующей нагретой стенке плоскопараллельного канала не вполне отражают перепады давления внутри канавок. Все же, как следует из рис. 3, давление в канале с канавками падает быстрее, чем в гладком канале. Поэтому помимо полей давления на рис. 8г–е здесь представлена табл. 2 сосредоточенных перепадов давления ∆P между максимумами давления Pmax на наветренном склоне и минимумами отрицательного давления Pmin на дне 1-, 5-, 10-, 15-, 20-, 25-, 30-й канавок, полученных обработкой прогнозов в первом продольном сечении канала (см. рис. 3).
Чрезвычайно любопытно, что мощные закрученные потоки внутри отрывных зон в канавках развиваются в условиях противодавления. Ведь во входных частях наклонных канавок имеет место мощное разрежение благодаря сгенерированным смерчам. А на выходах из канавок давление довольно высокое.
Таблица 2. Сосредоточенные перепады давления на дне избранных канавок
Параметр | Номер канавки | ||||||
1 | 5 | 10 | 15 | 20 | 25 | 30 | |
∆P | 0.245 | 0.335 | 0.436 | 0.555 | 0.575 | 0.540 | 0.500 |
Pmax | 0.215 | 0.245 | 0.251 | 0.245 | 0.170 | 0.065 | –0.035 |
Pmin | –0.03 | –0.09 | –0.185 | –0.31 | –0.405 | –0.475 | –0.535 |
Перепады давления ∆P в канавках растут по мере их удаления от входа, достигая максимума (0.575) к 20-й канавке с более чем двукратным превосходством над первой канавкой (0.245), а затем слегка снижаются к 30-й канавке (на величину примерно 13%).
Распределения локальных поверхностных характеристик относительного трения, перепадов давления, относительной температуры (при q = const) в срединных сечениях выбранных наклонных канавок на рис. 9 дополняют картины полей f/fpl и P–Ppl на рис. 8 и иллюстрируют эволюцию отрывного течения в наклонных канавках по мере их удаления от входа.
Рис. 9. Сопоставление поверхностных распределений относительного трения f/fpl (а), перепада давления P–Ppl (б) и относительной температуры Tw/Twpl (в) при q = const в срединном сечении выбранной канавки: 1 – 1-я; 2 – 5-я; 3 – 10-я; 4 – 15-я; 5 – 20-я; 6 – 25-я; 7 – 30-я.
Усиление аномальной интенсификации отрывного течения в канавках отражает резкое уменьшение минимума f/fpl (рис. 9а) в их входных частях: от –1 в первой канавке до –3.5 в 20-й. К 30-й канавке минимум f/fpl несколько подрастает до –3. С удалением от входа в канал в канавках заметно сокращается зона возвратных токов.
Два локальных максимума отмечаются в зависимостях f/fpl(s), причем первый располагается сразу же за областью отрыва в начале проточного участка, а второй возникает сразу за центром канавки. Начиная с 5-й канавки первый максимум находится в диапазоне 0.5–0.7. А второй максимум в 10–15-й канавках достигает 1, а затем довольно резко снижается и исчезает в 25–30-й канавках, где f/fpl стабилизируется на уровне 0.3. В конце канавок в срединном сечении отмечается незначительное пятно отрицательного трения, которое пропадает только к 30-й канавке.
Пик относительного трения на задней кромке канавки подрастает с 2 (1-я канавка) до 3 (15-я канавка) и затем монотонно снижается примерно до 2.5. Отмечается некоторое увеличение f/fpl в районе передних кромок канавок в пределах 0.2–0.5.
Как отмечалось ранее, статическое давление в структурированном канале падает более быстрым темпом, чем в гладком и поэтому кривые распределений P–Ppl для выбранных канавок на рис. 9б располагаются лесенкой с последовательным уменьшением максимальных и минимальных величин. При сохранении характера зависимостей следует подчеркнуть, что с удалением канавок от входа в канал уровень разрежения во входных частях канавок понижается.
Зависимости относительной температуры в срединных сечениях канавок при q = const на рис. 9в показывают тенденцию к захолаживанию поверхностей от 1-й до 15-й канавки. Для последующих канавок эта тенденция сохраняется на входных участках, а вот в выходных половинах канавок температура на дне растет. Пик относительной температуры на входной кромке, который в первой канавке свидетельствует о ее нагреве по сравнению с гладкой стенкой, с удалением от входа в канал постепенно уменьшается, оставаясь меньше единицы.
Интересно отметить, что пики Tw/Twpl в серединах канавок снижаются к 15-й канавке, а с 20-й начинают возрастать со смещением к выходам из канавок. Величины пиков относительной температуры в районах концевых кромок канавок с их удалением от входа монотонно снижаются от перегрева к захолаживанию до 15-й канавки. Начиная с 20-й канавки наблюдается небольшой скачок пиковой температуры с последующим ее уменьшением.
Сравнение эволюций картин локальных относительных чисел Нуссельта Nu/Nupl, распределенных по поверхностям выбранных наклонных канавок, для разных типов температурных граничных условий представляется на рис. 10. Как и в случае рис. 8, анализируются 1-я, 20-я и 30-я канавки.
Рис. 10. Сравнение поверхностных распределений относительного числа Нуссельта Nu/Nupl при граничных условиях q = const (а–в) и T = const (г–е) для тех же канавок, что на рис. 8.
На картины распределений Nu/Nupl нанесены линии тока в пристеночном слое, иллюстрирующие вихревые особенности течения в канавках. Многоцветная интерпретация полей относительной теплоотдачи позволяет четко установить зоны интенсивного относительного теплообмена с Nu/Nupl ≥ 1 и определить зоны угнетенного теплообмена с относительными числами Нуссельта, не превосходящими единицу.
В первой канавке на стенке канала, как отмечалось для единичной канавки в работе [14], при q = const Nu/Nupl в донной части, на подветренном склоне и в концевой выходной части внутренней поверхности канавки оказываются заметно выше, чем при T = const.
Интересно отметить, что область интенсивного теплообмена простирается выше протяженной линии вторичного отрыва потока на дне, формирующегося от точки торможения на наветренном склоне. В случае q = const протяженная зона с Nu/Nupl ≥ 1 возникает в окрестности распространяющегося вдоль подветренного склона спиралевидного вихря. Для T = const она оказывается сильно уменьшенной.
И еще одно интересное наблюдение. В выходной части канавки зона ослабленного теплообмена образуется в окрестности подветренной кромки и сохраняется во всех наклонных канавках.
В 20-й канавке наблюдается максимальная осредненная по продольной полосе относительная теплоотдача (см. рис. 4). При q = const практически для всей ее поверхности, включая зону ядра смерча, Nu/Nupl > 1. Максимальная относительная теплоотдача на наветренной кромке не совпадает с точкой торможения и достигает 18, превосходя аналогичный максимум первой канавки в 4.5 раза. В 30-й канавке теплообмен несколько ослабевает, (Nu/Nupl)max снижается до 14.5.
Интересно отметить, что для канавок с высоким уровнем теплоотдачи зона интенсивного теплообмена внутри канавок расширяется и удлиняется по сравнению с первой канавкой и простирается по всему наветренному склону до конца канавки. При T = const заметно интенсифицируется теплообмен на подветренном склоне удаленных от входа канавок. Для первой канавки максимум относительной теплоотдачи в этом случае оказывается выше, чем при q = const. Для удаленных канавок прогнозы (Nu/Nupl)max при q = const более чем вдвое выше, чем при T = const.
Эволюция распределений локальной и проинтегрированной по поперечным полосам относительной теплоотдачи в продольном s и поперечном t направлениях в выбранных канавках представлена на рис. 11 для различных типов температурных граничных условий q = const и T = const. Как и на рис. 9 здесь выбраны 1-, 5-, 10-, 15-, 20-, 25-, 30-я канавки.
Рис. 11. Сопоставление распределений локальных относительных чисел Нуссельта Nu/Nupl(s) в срединных сечениях канавок (а, б) и проинтегрированных по поперечным и продольным полосам Num/Numpl вдоль продольной s (в, г) и поперечной t (д, е) координат выбранных канавок при граничных условиях q = const (а, в, д) и T = const (б, г, е): 1 – 1-я; 2 – 5-я; 3 – 10-я; 4 – 15-я; 5 – 20-я; 6 – 25-я; 7 – 30-я.
Рис. 12. Зависимости от продольных координат центров 1-, 5-, 10-, 15-, 20-, 25-, 30-й канавок относительной суммарной теплоотдачи Numm/Nummpl (маркированы круглыми точками) для поверхностей, ограниченных контурами выбранных канавок (кривые 1, 2), локальных гидравлических потерь участков с выбранными канавками (кривая 3, маркированная квадратными точками) и теплогидравлической эффективности ТГЭ выбранных локальных участков поверхностей (кривые 4, 5, маркированные ромбическими точками) при q = const (1 – красные точки) и T = const (2 – зеленые точки). Здесь же показана зависимость растущих перепадов статического давления ∆P (кривая 6 с круглыми точками), представленных в табл. 2.
Аналогично материалам, показанным на рис. 4–7, анализируются зависимости Nu/Nupl по продольной координате s, зависимости Num/Numpl(s) и Num/Numpl(t). Поведение указанных характеристик на рис. 11 показывает, что их характер не зависит от типа температурных граничных условий. Растущие с удалением от входа канала пики относительной локальной теплоотдачи наблюдаются на входных участках канавок, а опадающие пики тепловых нагрузок – в концевых выходных частях.
Отмечается формирование отчетливых при q = const и слегка сглаженных при T = const двугорбых распределений проинтегрированных поперек продольных канавок относительных чисел Нуссельта Num/Numpl(s), максимумы которых увеличиваются по мере удаления канавок.
Следует отметить, что после 20-й канавки двугорбые зависимости вырождаются в одногорбые. Восходящие от подветренной к наветренной кромке зависимости проинтегрированных продольным полосам относительных чисел Нуссельта Num/Numpl(t) также постепенно поднимаются от канавки к канавке. Очевидна тенденция к сближению распределений локальной и интегральной относительной теплоотдачи после 15-й наклонной канавки и формирование полосы прогнозов с небольшим разбросом.
Интересно отметить, что при q = const наибольшие величины максимумов Nu/Nupl(s) в срединном сечении и Num/Numpl(s) вдоль входного участка одинаковые и достигают 6.5 внутри 20-й канавки, а на ее наветренной кромке Num/Numpl(t) = 8.5. При T = const эти величины уступают указанным в 1.6–1.7 раза. В целом наиболее эффективные зоны в удаленных наклонных канавках находятся на входных участках и на наветренных склонах.
Зависимости интегральных теплогидравлических характеристик выбранных наклонных канавок от их местоположения в канале суммируются на рис. 12 для различных типов температурных граничных условий.
Тепловая эффективность Numm/Nummpl, относительные гидравлические потери ζ/ζpl и теплогидравлическая эффективность ТНЕ = Numm / Nummpl / (ζ / ζpl)1/3 являются объектом внимания. Там же показана зависимость растущих перепадов статического давления ∆P, представленных в табл. 2.
Взрывной рост относительной теплоотдачи в канале от первой (Numm / Nummpl = 1.3) до 20-й канавки, приближающейся к 3.7 при q = const и к 2.3 T = const, сочетается с умеренным возрастанием относительных гидравлических потерь от 1.45 до 2.2. К 30-й канавке тепловая эффективность в первом случае снижается до 3.2, а во втором – до 2.2 при относительных гидравлических потерях 2.1.
Максимальная теплогидравлическая эффективность при q = const достигает 2.8, а при T = const – 1.8. Интересно отметить, что оказались качественно близки распределения тепловой эффективности наклонных канавок при q = const и перепады статического давления ∆P в канавках.
Эволюция воздушного потока в канале с наклонными канавками, начиная от первой до 30-й канавки анализируется на рис. 13, 14, где представлены распределения продольной скорости U(z) поперек канала на высоте y = 0.5 и сравниваются профили U(z, y) в сечениях канала, соответствующих продольным координатам центров выбранных канавок.
Рис. 13. Трансформация профилей продольной составляющей скорости U(z) в продольных сечениях канала, соответствующих центрам выбранных канавок, при у = 0.5: 1 – 1-я; 2 – 5-я; 3 – 10-я; 4 – 15-я; 5 – 20-я; 6 – 25-я; 7 – 30-я.
Трансформация равномерного на входе в канал профиля скорости в сдвиговый S-образный профиль в конце канала наблюдается на рис. 13. На разгонном начальном участке канала (от 1-й до 20-й канавки) профиль U(z) постепенно преобразуется в S-образный с формированием плато в середине канала с приближением величины скорости на нем к начальной скорости в ядре, равной 1.05. Таким образом, над входами в канавки скорость нарастает, а максимум скорости на правой границе приближается к 1.5. В то же время на левой границе поток притормаживается и его скорость приближается к 0.63.
Преобразование профиля U(z, y) по мере удаления от входа канала, как видно из рис. 14, имеет переходную фазу, соответствующую начальному разгонному участку до 15-й канавки. На этом интервале профиль из простой ступенчатой формы эволюционирует в сложную с нарастающими выпуклостями и вогнутостями.
Рис. 14. Эволюция профилей продольной составляющей скорости U(z, у) в продольных сечениях канала, соответствующих центрам выбранных канавок 1-й (а), 5-й (б), 10-й (в), 15-й (г), 20-й (д) и 30-й (е).
Следует учесть, что расход в канале сохраняется неизменным, а значит, локальные ускорения течения в слоях канала, на которые оказывает влияние смерчеобразование во входных участках канавок, должно компенсироваться торможением слоев течения в районах выхода из канавок. Локальное ускорение потока над входами в канавки приводит к возникновению в этих местах максимумов скорости порядка 1.6. После 15-й канавки намечается стабилизация профиля скорости со смещением максимума на правую границу канала.
Трансформация профилей декартовых составляющих скорости U(y), V(y), W(y), энергии турбулентности k(y) и нормированной вихревой вязкости Reµt(y) анализируется в двух характерных точках на дне канавки: центре сечения перехода от сферического сегмента к траншее и центре траншеи для выбранных наклонных канавок на рис. 15, 16).
Рис. 15. Сравнение зависимостей от вертикальной координаты у декартовых составляющих скорости U (а, б), V (в), W (г), k (д), Reµt (е) в центрах сечений перехода от входных сферических сегментов к траншейных вставках выбранных канавок: 1 – 1-й; 2 – 5-й; 3 – 10-й; 4 – 15-й; 5 – 20-й; 6 – 25-й; 7 – 30-й. Графики на рис. 12б построены в крупном масштабе.
В центре внимания находятся интенсификация возвратных токов во входных частях канавок и закрученного потока в них по мере удаления от входа в канал, утончение и ускорение пристеночных слоев над входными участками, смена режима вертикальных течений в канале, связанная с преобразованием нисходящих потоков в восходящие.
Как видно на рис. 15, по мере удаления от входа профиль продольной скорости из равномерного преобразуется в профиль, характерный для пограничного слоя течения вдоль пластины, причем его максимальная величина приближается к 1.45. Скорость в сечении у = 0 для удаленных канавок достигает 1.1, т.е. превышает скорость на входе в канал, налицо утончение пристеночного слоя и его ускорение.
Профиль U(y) внутри канавки сочетает в себе участки закрученного струйного потока и возвратного тока растущей интенсивности, причем присутствующий участок сдвигового слоя в 1-й и 5-й канавках дальше пропадает. Максимальная скорость возвратных токов увеличивается от 0.26 до 0.45 и стабилизуется на этом уровне.
Для рассматриваемых мест в канале с канавками характерно формирование нисходящего потока с растущей максимальной скоростью от 0.07 (1-я канавка) до 0.2 (удаленные канавки). Максимальная скорость вторичного закрученного потока растет от 0.3 (1-я канавка) до 0.65 (удаленные канавки). Турбулентность внутри канавок монотонно возрастает, начиная от уровня 0.01 (1-я канавка) до 0.04 (30-я канавка). Также растет турбулентность в ядре канала.
Нормированная вихревая вязкость внутри канавок возрастает от 3 до 7, причем в отличие от k она быстро стабилизируется. В ядре канала наблюдается постепенный выход на установление турбулентного потока.
Профили продольной скорости в центрах канавок (рис. 16) показывают, что проточное течение в наклонных канавках быстро стабилизируется, а к 20-й канавке в ядре потока в канале формируется профиль, характерный для пограничного слоя. Максимум скорости приближается к 1.1. Внутри канавок по мере удаления от входа развивается сначала усиливающийся, а потом ослабевающий восходящий поток, максимальная скорость которого оказывается порядка 0.2.
Рис. 16. Сравнение зависимостей от вертикальной координаты у декартовых составляющих скорости U (а), V (б), W (в), k (г), Reµt (д) в центрах траншейных вставок выбранных канавок: 1 – 1-й; 2 – 5-й; 3 – 10-й; 4 – 15-й; 5 – 20-й; 6 – 25-й; 7 – 30-й.
Скорость вторичного закрученного потока возрастает от 0.35 до 0.7, т.е. оказывается несколько выше, чем в предыдущей рассматриваемой точке на дне канавки. Турбулентность в канавках растет с их удалением от входа, но ее уровень несколько ниже, чем во входных частях канавок (не выше 0.036). Величина нормированной вихревой вязкости также увеличивается по мере удаления канавок и оказывается выше (порядка 10), чем во входных областях.
Заключение
Численное прогнозирование характеристик турбулентного отрывного течения воздуха и теплообмена в канале с высотой 1, длиной 80 и шириной 4 с плотным однорядным пакетом из 31 наклонной канавки умеренной глубины (0.2) и удлинения (3.5) на нагретой стенке анализируется на основе решения осредненных по Рейнольдсу уравнений Навье–Стокса, замкнутых с помощью дифференциальных уравнений модели переноса сдвиговых напряжений, и уравнения энергии при числе Рейнольдса 6 000.
На боковых границах канала задаются условия симметрии, на входе формируется равномерной изотермический поток, верхняя стенка принимается изотермической, а на структурированной стенке сравниваются различные температурные граничные условия: q = const и T = const.
Детально исследуется быстрое развитие аномальной интенсификации отрывного турбулентного течения воздуха и теплообмена в канавках по мере их удаления от входа, вызванное интерференцией вихревых следов за канавками и ускорением в ядре канального потока с формированием локальной зоны ультравысокой продольной скорости.
Продольные распределения относительного трения f/fpl и перепада статического давления P–Ppl, локального и проинтегрированного по поперечным полосам относительного числа Нуссельта Nu/Nupl и Num/Numpl носят волнообразный характер с быстрым ростом амплитуды колебаний на входном участке канала. Стабилизация волнообразных характеристик происходит примерно к 15-й канавке, в затем наблюдается умеренное снижение амплитуды колебаний этих характеристик.
Возвратные токи в канавках по мере их удаления от входного сечения усиливаются, при этом минимальное отрицательное трение уменьшается от –2 до –4 на входном сферическом сегменте.
Растут сосредоточенные экстраординарные перепады статического давления между зонами торможения на наветренных склонах входных частей канавок и разрежения в ядрах смерчей на сферических сегментах, причем быстро уменьшается минимальное отрицательное давление. Максимальный перепад (0.575) достигается к 20-й канавке с более чем двукратным превосходством над первой канавкой (0.245), а затем слегка снижаются к 30-й канавке (на величину порядка 13%).
Максимальные величины относительной теплоотдачи, осредненной поперек полосы, достигают 4 примерно к 20-й наклонной канавке и далее снижаются до 3.6 к концу структурированного участка при q = const и доходят до 2.4, а потом уменьшаются до 2.2 при T = const. Максимальное относительное число Нуссельта в центральном сечении дна канавки возрастает в 7 раз при переходе от 1-й к 20-й канавке при q = const.
Суммарная относительная теплоотдача структурированного участка растет при q = const примерно в 2.75 раза, а при T = const – в 2 раза при увеличении относительных гидравлических потерь в 1.7 раза по сравнению с гладкостенным каналом.
Относительная теплоотдача от поверхности, ограниченной контуром 20-й наклонной канавки, достигает примерно 3.7 (q = const) при 2.2 росте гидравлических потерь.
В канале наблюдается локальное ускорение потока в ядре. На разгонном начальном участке канала (от 1-й до 20-й канавки) профиль U(z) постепенно преобразуется в S-образный с формированием плато в середине канала с приближением величины скорости на нем к начальной скорости в ядре, равной 1.05. Таким образом, над входами в канавки скорость нарастает, а максимум скорости на правой границе приближается к 1.5. В то же время на левой границе поток притормаживается и его скорость приближается к 0.63.
По мере удаления от входа профиль продольной скорости в центре сечения перехода от сферического сегмента к траншее из равномерного преобразуется в профиль, характерный для пограничного слоя, причем его максимальная величина приближается к 1.45. Скорость в сечении у = 0 для удаленных канавок достигает 1.1, т.е. превышает скорость на входе в канал, налицо утончение пристеночного слоя и его ускорение.
Финансирование
Исследование выполнено при частичной финансовой поддержке Российского научного фонда по грантам 22-19-00056 (методология) и 23-19-00083 (расчеты).
Конфликт интересов
Авторы работы заявляют, что у них нет конфликта интересов.
About the authors
S. A. Isaev
St. Petersburg State Marine Technical University; St. Petersburg State University of Civil Aviation
Author for correspondence.
Email: isaev3612@yandex.ru
Russian Federation, St. Petersburg, 190121; St. Petersburg, 196210
O. O. Mil’man
Scientific and Production Implementation Company "Turbokon"
Email: isaev3612@yandex.ru
Russian Federation, Kaluga, 248010
A. A. Klyus
St. Petersburg State University of Civil Aviation
Email: isaev3612@yandex.ru
Russian Federation, St. Petersburg, 196210
D. V. Nikushchenko
a St. Petersburg State Marine Technical University
Email: isaev3612@yandex.ru
Russian Federation, St. Petersburg, 190121
D. S. Khmara
St. Petersburg State Marine Technical University
Email: isaev3612@yandex.ru
Russian Federation, St. Petersburg, 190121
L. P. Yunakov
Baltic State Technical University VOENMEKH
Email: isaev3612@yandex.ru
Russian Federation, St. Petersburg, 190005
References
- Жукаускас А., Макарявичус В., Шланчяускас А. Теплоотдача пучков труб в поперечном потоке жидкости. Вильнюс: Минтис, 1968. 192 с.
- Isaev S.A., Leontiev A.I., Zhukova Yu.V., Baranov P.A., Gotovskii M.A., Usachov A.E. Numerical simulation of vortex heat transfer enhancement in transformer oil flow in a channel with one-row spherical dimples // Heat Transfer Research. 2011. V. 42. I. 7. P. 613–628.
- Исаев С.А., Леонтьев А.И., Готовский М.А., Усачов А.Е., Жукова Ю.В. Анализ повышения теплогидравлической эффективности при движении трансформаторного масла в миниканале с однорядным пакетом сферических и овальных лунок на нагретой стенке // Теплофизика высоких температур. 2013. Т. 51. № 6. С. 884–890.
- Исаев С.А., Леонтьев А.И., Корнев Н.В., Хассель Э., Чудновский Я.П. Интенсификация теплообмена при ламинарном и турбулентном течении в узком канале с однорядными овальными лунками // Теплофизика высоких температур. 2015. Т. 53. № 3. С. 390–402.
- Исаев С.А. Генезис аномальной интенсификации отрывного течения и теплообмена в наклонных канавках на структурированных поверхностях // Известия РАН. Механика жидкости и газа. 2022. № 5. С. 13–24.
- Исаев С.А. Аэрогидродинамические механизмы интенсификации физико-энергетических процессов на структурированных энергоэффективных поверхностях с вихревыми генераторами // Теплофизика и аэромеханика. 2023. Т. 30. № 1. С. 83–88.
- Isaev S., Leontiev A., Milman O., Nikushchenko D., Egorova A. Energy-efficient surface of air capacitors with inclined single-row oval-trench dimples and protrusions // Journal of Physics: Conference Series. 2020. № 1565. Р. 012001. https://doi.org/10.1088/1742-6596/1565/1/012001
- Исаев С.А., Леонтьев А.И., Мильман О.О., Никущенко Д.В., Попов И.А. Энергоэффективные поверхности с многорядными наклонными овально-траншейными лунками для воздушных конденсаторов // Известия РАН. Энергетика. 2020. № 4. С 3–10.
- Isaev S.A., Popov I.A., Mikheev N.I., Guvernyuk S.V., Nikushchenko D.V., Sudakov A.G. Promising dimple technologies of vortex heat and mass transfer enhancement in energy and microelectronics // Journal of Physics: Conference Series. 2020. V. 1675. No. 012004. 7 p. https://doi.org/10.1088/1742-6596/1675/1/012004
- Isaev S.A., Guvernyuk S.V., Mikheev N.I., Popov I.A., Nikushchenko D.V. Numerical and experimental study of abnormal enhancement of separated turbulent flow and heat transfer in inclined oval-trench dimples on the plate and on the narrow channel wall // Journal of Physics: Conference Series. 2021. № 2039. Р. 012009. https://doi.org/10.1088/1742-6596/2039/1/012009
- Isaev S.A., Popov I.A., Mikheev N.I., Guvernyuk S.V., Zubin M.A., Nikushchenko D.V., Sudakov A.G. Vortex heat transfer enhancement in the separated flow near structured dimpled surfaces // Journal of Physics: Conference Series. 2021. № 2057. Р. 012002. https://doi.org/10.1088/1742-6596/2057/1/012002
- Isaev S.A., Mikheev N.I., Dushin N.S., Goltsman A.E., Nikushchenko D.V. and Sudakov A.G. Vortex heat transfer enhancement on energy-efficient surfaces structured by inclined trench dimples // Journal of Physics: Conference Series. 2021. № 2119. Р. 12016. https://doi.org/10.1088/1742-6596/2119/1/012016
- Isaev S., Leontiev A., Gritskevich M., Nikushchenko D., Guvernyuk S., Sudakov A., Chung K.-M., Tryaskin N., Zubin M., Sinyavin A. Development of energy efficient structured plates with zigzag arrangement of multirow inclined oval trench dimples // Int. J. Thermal Sciences. 2023. V. 184. No.107988.
- Исаев С.А., Судаков А.Г., Никущенко Д.В., Харченко В.Б., Юнаков Л.П. Влияние граничных условий на моделирование аномальной интенсификации турбулентного теплообмена в наклонной канавке на стенке узкого канала // Известия РАН. Механика жидкости и газа. 2023. № 6. С. 38–47. EDN: RBCVPD. https://doi.org/10.31857/S1024708423600367
- Menter F.R. Zonal two equation k–ω turbulence models for aerodynamic flows // AIAA Paper. 1993. No. 93-2906. 21 p.
- Isaev S.A., Baranov P.A., Usachov A.E. Multiblock Computational Technologies in the VP2/3 Package on Aerothermodynamics; LAP LAMBERT Academic Publishing: Saarbrucken, Germany, 2013.
- Isaev S.A., Sudakov A.G., Baranov P.A., Zhukova Yu.V., Usachov A.E. Analysis of errors of multiblock computational technologies by the example of calculating a circulation flow in a square cavity with a moving cover at Re = 1000 // Journal of Engineering Physics and Thermophysics. 2013. V. 86. I. 5. P. 1134–1150.
- Jasak H. Error analysis and estimation for the finite volume method with applications to fluid flows. Thesis submitted for the Degree of Doctor of Philosophy of the University of London and Diploma of Imperial College of Science, Technology and Medicine, 1996. 394 p.
- Van Doormaal J.P., Raithby G.D. Enhancement of the SIMPLE method for predicting incompressible fluid flow // Numerical Heat Transfer. 1984. V. 7. No. 2. P. 147–163.
- Rhie C.M., Chow W.L. A numerical study of the turbulent flow past an isolated airfoil with trailing edge separation // AIAA J. 1983. V. 21. P. 1525–1532.
- Pascau A., Garcia N. Consistency of SIMPLEC scheme in collocated grids // Proc. V. European Conf. on Computational Fluid Dynamics ECCOMAS CFD 2010. Lisbon, Portugal, 2010. 12 p.
- Leonard B.P. A stable and accurate convective modeling procedure based on quadratic upstream interpolation // Comp. Meth. Appl. Mech. Eng. 1979. V. 19. No. 1. P. 59–98.
- Van Leer B. Towards the ultimate conservative difference scheme V. A second order sequel to Godunov’s method // J. Comp. Phys. 1979. V. 32. P. 101–136.
- Saad Y. Iterative methods for sparse linear systems. Society for Industrial and Applied Mathematics, Philadelphia, 2003. 567 p.
- Demidov D. AMGCL: C++ library for solving large sparse linear systems with algebraic multigrid method. http://amgcl.readthedocs.org/
- Исаев С.А., Гувернюк С.В., Никущенко Д.В., Судаков А.Г., Синявин А.А., Дубко Е.Б. Взаимосвязь аномальной интенсификации отрывного течения и экстраординарных перепадов давления в канавке на пластине при изменении угла наклона от 0 до 90° // Письма в журнал технической физики. 2023. Т. 49. Вып. 15. С. 39–42.
- Isaev S., Gritckevich М., Leontiev А., Popov I. Abnormal enhancement of separated turbulent air flow and heat transfer in inclined single-row oval-trench dimples at the narrow channel wall // Acta Astronautica. 2019. V. 163 (Part. A). P. 202–207.
- Isaev S.A., Leontiev A.I., Milman O.O., Popov I.A., Sudakov A.G. Influence of the depth of single-row oval-trench dimples inclined to laminar air flow on heat transfer enhancement in a narrow micro-channel // International Journal of Heat and Mass Transfer. 2019. V. 134. P. 338–358.
Supplementary files


















