ЧИСЛЕННОЕ ИССЛЕДОВАНИЕ ИЗЛУЧЕНИЯ В УДАРНО-НАГРЕТОЙ СМЕСИ CO2 И N2 МЕТОДОМ ПРЯМОГО СТАТИСТИЧЕСКОГО МОДЕЛИРОВАНИЯ
- Authors: 1, 1, 1, 1, 1, 1
-
Affiliations:
- МГУ им. М.В. Ломоносова, Научно-исследовательский институт механики
- Issue: No 6 (2023)
- Pages: 192-204
- Section: Articles
- URL: https://bakhtiniada.ru/1024-7084/article/view/231752
- DOI: https://doi.org/10.31857/S1024708423600252
- EDN: https://elibrary.ru/QOXBJC
- ID: 231752
Cite item
Full Text
Abstract
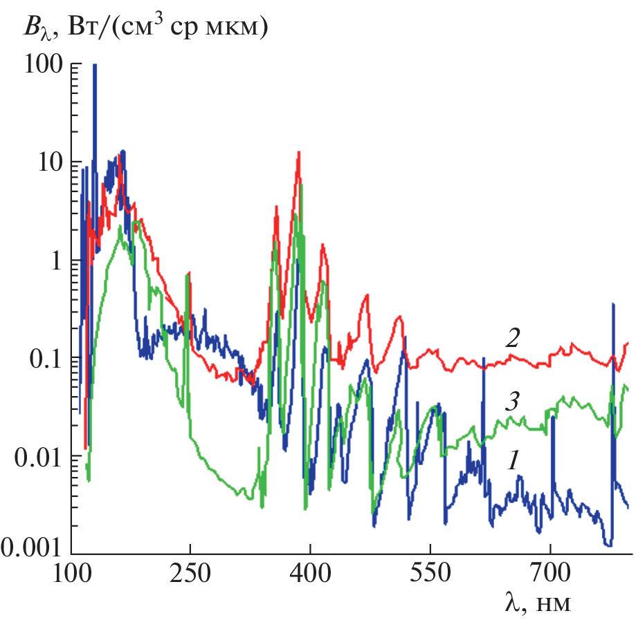
Предложена модель для численного исследования излучения за фронтом сильной ударной волны в газовой смеси CO2–N2. Модель основана на методе прямого статистического моделирования Монте-Карло и учитывает физико-химические свойства атомов и молекул, поступательно-вращательный и поступательно-колебательный обмен энергией, кинетику химических реакций, возбуждение электронных уровней атомов и молекул, а также процессы переноса радиационной энергии. Проведена серия расчетов спектральных характеристик ударно нагретой смеси. Полученные результаты сравниваются с имеющимися экспериментальными данными.
About the authors
МГУ им. М.В. Ломоносова, Научно-исследовательский институт механики
Email: levashovvy@imec.msu.ru
Россия, Москва
МГУ им. М.В. Ломоносова, Научно-исследовательский институт механики
Email: levashovvy@imec.msu.ru
Россия, Москва
МГУ им. М.В. Ломоносова, Научно-исследовательский институт механики
Email: levashovvy@imec.msu.ru
Россия, Москва
МГУ им. М.В. Ломоносова, Научно-исследовательский институт механики
Email: levashovvy@imec.msu.ru
Россия, Москва
МГУ им. М.В. Ломоносова, Научно-исследовательский институт механики
Email: levashovvy@imec.msu.ru
Россия, Москва
МГУ им. М.В. Ломоносова, Научно-исследовательский институт механики
Author for correspondence.
Email: levashovvy@imec.msu.ru
Россия, Москва
References
- Braun M., Bruce P., Levis E. Strategies to utilize advanced heat shield technology for high-payload Mars atmospheric entry missions // Acta Astronaut. 2017. V. 136. P. 22–33.
- Суржиков С.Т., Яцухно Д.С. // Анализ летных данных по конвективному и радиационному нагреву поверхности спускаемого марсианского космического аппарата SCHIAPARELLI // Изв. РАН. МЖГ. 2022. № 6. С. 73–84.
- Суржиков С.Т. Радиационно-конвективный теплообмен космического аппарата сферической формы // ТВТ. 2011. Т. 49. № 1. С. 92–107.
- Reyner P. Survey of CO2 radiation experimental data in relation with planetary entry // Galaxies. 2021. V. 9. № 15. 41 p.
- Gu S., Olivier H. Capabilities and limitations of existing hypersonic facilities // Prog. Aerospace Sci. 2020. V. 113. № 100607. 27 p.
- Bose D., Grinstead J.H., Bogdanoff D.W., Wright M.J. Shock layer radiation measurements and analysis for Mars entry // Proc. 3rd Int. Workshop on Radiation of High Temperature Gases in Atmospheric Entry. 2008. ESA SP-667. Heraklion, Greece.
- Grinstead J.H., Wright M.J., Bogdanoff D.W., Allen G.A. Shock radiation measurements for mars aerocapture radiative heating analysis // J. Thermophys. Heat Transfer. 2009. V. 23. P. 249–255.
- Cruden B.A., Prabhu D., Martinez R., Le H., Bose D., Grinstead J.H. Absolute radiation measurement in Venus and Mars entry conditions // AIAA Paper 2010–4508. 15 p.
- Cruden B.A., Prabhu D., Martinez R. Absolute radiation measurement in Venus and Mars entry conditions // J. Spacecr. Rockets. 2012. V. 49. 1069–1079.
- Brandis A.M., Johnston C.O., Cruden B.A., Prabhu D. Investigation of nonequilibrium radiation for Mars entry // AIAA Paper 2013–1055. 36 p.
- Brandis A.M., Johnston C.O., Cruden B.A. Validationof CO 4th positive radiation for Mars entry // J. Quant. Spectrosc. Radiat. Transfer. 2013. V. 121. P. 91–104.
- Cruden B.A. Absolute radiation measurement in Earth and Mars entry conditions // Von Karman Inst. Lecture Ser. 2014. № STO-AVT-218-VKI.
- Johnston C.O., Brandis A.M. Modeling of nonequilibrium CO Fourth-Positive and CN Violet emission in CO2–N2 gases // J. Quant. Spectrosc. Radiat. Transfer. 2014. V. 149. P. 303–317.
- Горелов В.А., Киреев А.Ю., Шиленков С.В. Неравновесное молекулярной излучение за фронтом сильной ударной волны в смеси CO2-N2-O2 // ПМТФ. 2005. Т. 46. № 2. С. 13–22.
- Takayanagi H., Lemal A., Nomura S., Fujita K. Measurements of carbon dioxide nonequilibrium infrared radiation in shocked and expanded flows // J. Thermophys. Heat Transfer. 2018. V. 32. P. 483.
- Анохин Е.М., Иванова Т.Ю., Кудрявцев Н.Н., Стариковский А.Ю. Динамика излучения в смеси CO–N2 за сильными ударными волнами // ТВТ. 2007. Т. 45. № 6. С. 807–813.
- Залогин Г.Н., Козлов П.В., Кузнецова Л.А., Лосев С.А., Макаров В.Н., Романенко Ю.В., Суржиков С.Т. Излучение смеси CО2–N2–Ar в ударных волнах: эксперимент и теория // ЖТФ. 2001. Т. 71. № 6. С. 10–16.
- Козлов П.В., Забелинский И.Е., Быкова Н.Г., Герасимов Г.Я., Левашов В.Ю. Экспериментальное исследование радиационных характеристик смеси CO2–N2 за фронтом сильной ударной волны // Хим. физика. 2021. Т. 40. № 12. С. 23–28.
- Ступоченко Е.В., Лосев С.А., Осипов А.И. Релаксационные процессы в ударных волнах. М.: Наука, 1965. 484 с.
- Грим Г. Спектроскопия плазмы. М.: Атомиздат, 1969. 452 с.
- Авилова И.В., Биберман Л.М., Воробьев В.С. и др. Оптические свойства горячего воздуха. М.: Наука, 1970. 320 с.
- Каменщиков В.А., Пластинин Ю.А., Николаев В.М. и др. Радиационные свойства газов при высоких температурах. М.: Машиностроение, 1971. 440 с.
- Лохте-Хольтгревен В. Методы исследования плазмы. Спектроскопия, лазеры, зонды. М.: Мир, 1971. 126 с.
- Кузнецова Л.А., Кузьменко Н.Е., Кузяков Ю.Я., Пластинин Ю.А. Вероятности оптических переходов двухатомных молекул. М.: Наука, 1980. 320 с.
- Park C. Nonequilibrium Hypersonic Aerothermodynamics. New York: Wiley, 1990. 358 p.
- Уэйн Р. Основы и применения фотохимии. М.: Мир, 1991. 304 с.
- Ельяшевич М.А. Атомная и молекулярная спектроскопия. М.: УРСС. 2001. 894 с.
- Суржиков С.Т. Оптические свойства газов и плазмы. М.: Изд-во МГТУ им. Н.Э. Баумана, 2004. 575 с.
- Whiting E., Park C., Yen L., Arnold J., Paterson J. NEQAIR96, Nonequilibrium and equilibrium radiative transport and spectra program: user’s manual // Tech. Rep. NASA RP-1389. Moffett Field: Ames Research Center, 1996.
- Кузнецова Л.А., Суржиков С.Т. Информационно-вычислительный комплекс MSRT-RADEN. I. Основная модель коэффициентов поглощения // Мат. моделирование. 1998. Т. 36. № 3. С. 15–28.
- Johnston C.O., Hollis B.R., Sutton K. Spectrum modeling for air shock-layer radiation at lunar-return conditions // J. Spacecr. Rockets. 2008. V. 45. P. 865–878.
- Kumar N., Bansal A. Flow and radiation modeling over a Martian entry vehicle // Acta Astronaut. 2023. V. 205. P. 172–184.
- Johnston C.O., Hollis B.R., Sutton K. Non-Boltzmann modeling for air shock-layer radiation at lunar-return conditions // J. Spacecr. Rockets. 2008. V. 45. P. 879–890.
- Суржиков С.Т. Применение квазистационарных eRC-моделей для расчета неравновесного излучения ударных волн при скорости порядка 10 км/с // Физ.-хим. кинет. газ динам. 2022. Т. 23. № 4. 39 с.
- Lemal A., Jacobs C.M., Perrin M.-Y., Laux C.O., Tran P., Raynaud E. Prediction of nonequilibrium air plasma radiation behind a shock wave // J. Thermophys. Heat Trans. 2016. V. 30. P. 197–210.
- Karpuzcu I.T., Jouffray M.P., Levin D.A. Collisional radiative modeling of electronically excited states in a hypersonic flow // J. Thermophys. Heat Transfer. 2022. V. 36. P. 982–1002.
- Du Y.W., Sun S.R., Tan M.J., Zhou Y., Chen X., Meng X., Wang H.X. Non-equilibrium simulation of energy relaxation for earth reentry utilizing a collisional-radiative model // Acta Astronaut. 2022. V. 193. P. 521–537.
- Zhu T., Li Z., Levin D.A. Modeling of unsteady shock tube flows using direct simulation Monte Carlo // J. Thermophys. Heat Transfer. 2014. V. 28. P. 623–634.
- Gimelshein S.F., Wysong I.J., Fangman A.J. et al. Kinetic and continuum modeling of high-temperature air relaxation // J. Thermophys. Heat Transfer. 2022. V. 36. P. 870–893.
- Bird G.A. Molecular Gas Dynamics and the Direct Simulation of Gas Flows. Oxford: Clarendon Press, 1994. 458 p.
- Boyd I.D. Computation of hypersonic flows using the direct simulation Monte Carlo method // AIAA Paper 2013–2557. 33 p.
- Кусов А.Л. О релаксации вращательной энергии молекул в методе прямого статистического моделирования Монте-Карло // Мат. моделирование. 2017. Т. 29. № 8. С. 95–109.
- Grover M.S., Schwartzentruber T.E. Internal energy relaxation and dissociation of molecular oxygen using direct molecular simulation // AIAA Paper 2017–3488. 16 p.
- Wysong I., Gimelshein S. Modeling hypersonic reacting flows using DSMC with the Bias reaction model // AIAA Paper 2017–4025. 15 p.
- Beyer J., Pfeiffer M., Fasoulas S. Non-equilibrium radiation modeling in a gas kinetic simulation code // J. Quant. Spectrosc. Radiat. Transfer. 2022. V. 280. № 108083. 13 p.
- Tibère-Inglesse A., Cruden B.A. Analysis of nonequilibrium atomic and molecular nitrogen radiation in pure N2 shockwaves // J. Quant. Spectrosc. Radiat. Transfer. 2022. V. 280. № 108302. 16 p.
- Кусов А.Л., Быкова Н.Г., Герасимов Г.Я., Забелинский И.Е., Козлов П.В., Левашов В.Ю. Прямое статистическое моделирование излучения за фронтом ударной волны в смеси CO2 и N2 // Физ.-хим. кинет. газ. динам. 2023. Т. 24. № 2. 63 с.
- Park C., Howe J.T., Jaffe R.L., Candler G.V. Review of chemical-kinetic problems of future NASA missions, II: Mars entries // J. Thermophys. Heat Transfer. 1994. V. 8. P. 9–23.
- Borgnakke C., Larsen P.S. Statistical collision model for Monte Carlo simulation of polyatomic gas mixture // J. Comput. Phys. 1975. V. 18. P. 405–420.
- Ibragimova L.B., Shatalov O.P. Non-equilibrium kinetics behind shock waves experimental aspects // High Temperature Phenomena in Shock Waves. Berlin: Springer, 2012. P. 99–147.
- Nomura S., Kawakami T., Fujita K. Nonequilibrium effects in precursor electrons ahead of shock waves // J. Thermophys. Heat Transfer. 2021. V. 35. P. 518–523.
- Adamson S., Astapenko V., Deminskii M., Eletskii A., Potapkin B., Sukhanov L., Zaitsevskii A. Electron impact excitation of molecules: Calculation of the cross section using the similarity function method and ab initio data for electronic structure // Chem. Phys. Lett. 2007. V. 436. P. 308–313.
- Sun Q., Winstead C., McKoy V. Electronic excitation of carbon monoxide by low-energy electron impact // Phys. Rev. A. 1992. V. 46. P. 6987–6994.
- Mumma M.J., Stone E.J., Zipf E.C. Excitation of the CO Fourth Positive Band System by Electron Impact on Carbon Monoxide and Carbon Dioxide // J. Chem. Phys. 1971. V. 54. P. 2627–2634.
- Ajello J.M. Emission Cross Sections of CO by Electron Impact in the Interval 1260–5000 Å // J. Chem. Phys. 1971. V. 55. P. 3158–3168.
- NIST Atomic Spectra Database, Version 5.9. Gaithersburg: NIST, 2021.
- Кусов А.Л., Быкова Н.Г. Теоретические основы расчета факторов Хёнля-Лондона двухатомных молекул // Физ.-хим. кинет. газ. динам. 2022. Т. 23. № 1. 21 с.
- Гурвич Л.В., Вейц И.В., Медведев В.А и др. Термодинамические свойства индивидуальных веществ. Т. I. Кн. 1. М.: Наука, 1978. 496 с.
- Зельдович Я.Б., Райзер Ю.П. Физика ударных волн и высокотемпературных гидродинамических явлений. М.: Физматлит, 2008. 656 с.
- Badnell N.R., Bautista M.A., Butler K., Delahaye F., Mendoza C., Palmeri P., Zeippen C.J., Seaton M.J. Updated opacities from the Opacity Project // Mon. Not. R. Astron. Soc. 2005. V. 360. P. 458–464.
- Дикалюк А.С., Суржиков С.Т. Расчетное исследование модели неравновесного излучения за фронтом ударных волн в марсианской атмосфере // Изв. РАН. МЖГ. 2013. № 1. С. 141–160.
- Collen P.L., Doherty L.J., McGilvray M. Measurements of radiating hypervelocity air shock layers in the T6 free-piston driven shock tube // Intern. Conf. FAR–2019. 2019. № 1053360.
- Qin Z., Zhao J.M., Liu L.H. Radiative transition probabilities for the main diatomic electronic systems of N2, , NO, O2, CO, CO+, CN, C2 and H2 produced in plasma of atmospheric entry // J. Quant. Spectrosc. Radiat. Transfer. 2017. V. 202. P. 286–301.
- Козлов П.В., Забелинский И.Е., Быкова Н.Г., Герасимов Г.Я., Левашов В.Ю. Экспериментальное исследование излучательных характеристик ударно-нагретого воздуха в ультрафиолетовой и видимой областях спектра // Изв. РАН. МЖГ. 2022. № 6. С. 85–93.
- Greenberg R.B., Cruden B.A., Grinstead J.H., Yeung D. Collection optics for imaging spectroscopy of an electric arc shock tube // Proc. SPIE 7429, Novel Optical Systems Design and Optimization XII. 2009. № 74290H.
Supplementary files










