Supersonic Flow past a Sharp Plate with Surface Anomalous Glow Discharge in a Magnetic Field
- Autores: Surzhikov S.T.1
-
Afiliações:
- Ishlinsky Institute for Problems in Mechanics, Russian Academy of Sciences
- Edição: Nº 6 (2023)
- Páginas: 144-167
- Seção: Articles
- URL: https://bakhtiniada.ru/1024-7084/article/view/231749
- DOI: https://doi.org/10.31857/S1024708423600598
- EDN: https://elibrary.ru/UXTNQH
- ID: 231749
Citar
Texto integral
Resumo
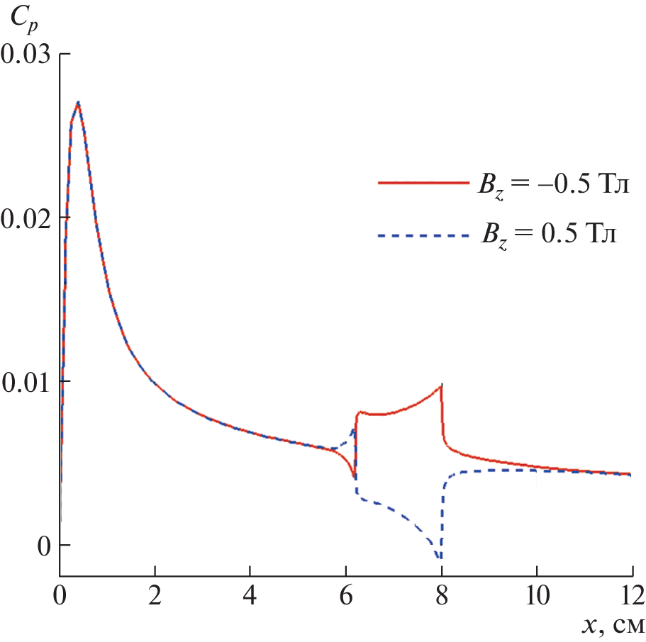
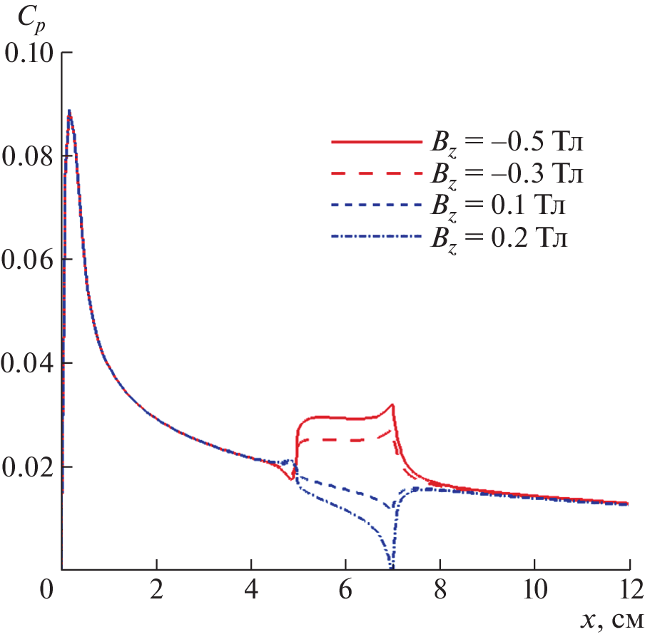
The electrodynamic structure of an anomalous glow discharge between two plane electrodes located on the surface of a sharp plate in supersonic flow of molecular nitrogen is studied numerically in a wide range of Mach numbers using a modified ambipolar model of quasi-neutral electric-discharge plasma. The ambipolar diffusion coefficient and the effective ionization rate are modified while taking into account the external magnetic field. The problem is solved in the two-dimensional x–y formulation, when the external magnetic field strength is directed in the positive or negative direction of the z axis. The parameters of anomalous glow discharge are numerically studied in the pressure range p = 0.14–5 Torr and the voltage drops on the quasineutral current column of discharge plasma V = 30–320 V. The main problem parameters which make it possible to obtain a reasonable agreement with the available experimental data are determined.
Palavras-chave
Sobre autores
S. Surzhikov
Ishlinsky Institute for Problems in Mechanics, Russian Academy of Sciences
Autor responsável pela correspondência
Email: surg@ipmnet.ru
Moscow, Russia
Bibliografia
- Энгель А., Штеенбек М. Физика и техника электрического разряда в газах. Т. 2. М.– Л.: Объединенное научно-техн. изд-во НКТП СССР, 1936. 382 с.
- Капцов Н.А. Электрические явления в газах и вакууме. М.: Гостехиздат, 1950. 808 с.
- Браун С. Элементарные процессы в плазме газового разряда. М.: 1961. Гос. Изд-во литературы в области атомной науки и техники. 323 с. (Brown S.C. Basic Data of Plasma Physics. Technology Press of M.I.T. and Wiley, 1966).
- Грановский В.Л. Электрический ток в газе. Установившийся ток. М.: Наука, 1971. 543 с.
- Райзер Ю.П. Физика газового разряда. М.: Наука, 1987. 591 с.
- Kimmel R.L., Hayes J.R., Menart J.A., Shang J. Effect of surface plasma discharge on boundary layers at Mach 5 // AIAA Paper 2004–509. 2004. 10 p.
- Menart J., Shang J.S., Kimmel R., and Hayes J. Effects of Magnetic Fields on Plasmas Generated in a Mach 5 Wind Tunnel //AIAA Paper 2003-4165. 2003. 13 p.
- Shang J.S., Surzhikov S.T., Kimmel R., Gaitonde D., Menart J., Hayes J. Mechanisms of plasma actuators for hypersonic flow control // Progress in Aerospace Sciences. 2005. V. 41. P. 642.
- Суржиков С.Т. Физическая механика газовых разрядов. Изд-во МГТУ им. Н.Э. Баумана. 2006. 640 с.
- Гладуш Г.Г., Самохин А.А. Численное исследование шнурования тока на электродах в тлеющем разряде // Прикладная механика и техническая физика. 1981. № 5. С. 15–23.
- Райзер Ю.П., Суржиков С.Т. Двумерная структура нормального тлеющего разряда и роль диффузии в формировании катодного и анодного пятен // Теплофизика высоких температур. 1988. Т. 25. № 3. С. 428–435.
- Битюрин В.А., Бочаров А.Н., Попов Н.А. Численное моделирование электрического разряда в сверхзвуковом потоке //Изв. РАН. МЖГ. 2008. № 4. С. 160–172.
- Баранов В.Б., Краснобаев К.В. Гидродинамическая теория космической плазмы. М.: Наука. 1977. 333 с.
- Гершман Б.Н., Ерухимов Л.М., Яшин Ю.Я. Волновые явления в ионосфере и космической плазме. М.: Наука, 1984. 392 с.
- Шкаровский И., Джонстон Т., Бачинский М. Кинетика частиц плазмы. М.: Атомиздат, 1969. 396 с.
- Суржиков С.Т. Двухмерная электродинамическая структура нормального тлеющего разряда в продольном магнитном поле // Физика плазмы. 2017. Т. 43. № 3. С. 303–313.
- Райзер Ю.П., Суржиков С.Т. Еще раз о природе эффекта нормальной плотности тока на катоде тлеющего разряда // Письма в ЖТФ. 1987. Т. 13. № 8. С. 452–456.
- Surzhikov S.T., Shang J.S. Two-component plasma model for two-dimensional glow discharge in magnetic field// Journal of Computational Physics. 2004. V. 199. P. 437–464.
- Тамм И.Е. Основы теории электричества. М.: Наука, 1966. 624 с.
- Кадомцев Б.Б. Коллективные явления в плазме. М.: Наука, 1988. 304 с.
- Трубников Б.А. Теория плазмы. М.: Энергоатомиздат, 1996. 463 с.
- Суржиков С.Т. Гиперзвуковое обтекание разреженным газом поверхностного тлеющего разряда с внешним магнитным полем. М.: Изд-во ИПМех РАН, 2011. 273 с.
- Суржиков С.Т., Шэнг Дж.С. Вязкое взаимодействие на плоской пластине с поверхностным разрядом в магнитном поле // Теплофизика высоких температур. 2005. Т. 43. № 1. С. 21–31.
Arquivos suplementares


















