ТРАЕКТОРИИ ЖИДКИХ ЧАСТИЦ В ПОЛЕ ТЕМНОГО СОЛИТОНА В ЖИДКОСТИ ПОД ЛЕДЯНЫМ ПОКРОВОМ
- Авторы: Ильичев А.Т.1, Савин А.С.2,3, Шашков А.Ю.2
-
Учреждения:
- Математический институт им. В.А. Стеклова РАН
- Московский государственный технический университет им. Н.Э. Баумана
- Институт геохимии и аналитической химии им. В.И. Вернадского РАН
- Выпуск: № 6 (2023)
- Страницы: 110-120
- Раздел: Статьи
- URL: https://bakhtiniada.ru/1024-7084/article/view/231746
- DOI: https://doi.org/10.31857/S1024708423600550
- EDN: https://elibrary.ru/QYFEAR
- ID: 231746
Цитировать
Полный текст
Аннотация
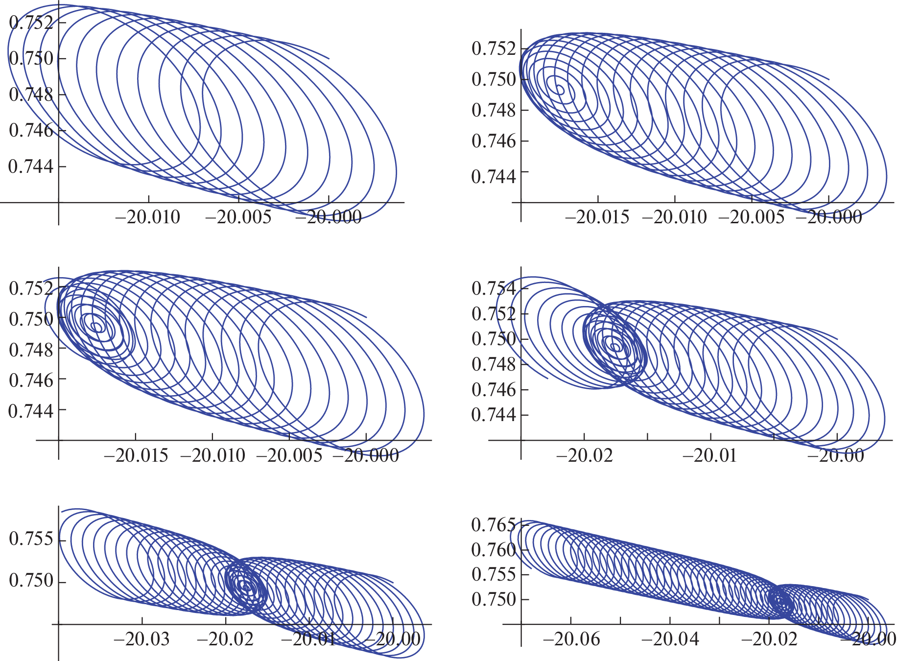
Рассматривается слой жидкости конечной глубины, описываемый уравнениями Эйлера. Ледяной покров моделируется геометрически нелинейной упругой пластиной Кирхгоффа–Лява. Находятся траектории частиц жидкости под ледяным покровом в поле нелинейной поверхностной бегущей волны, стремящейся к периодической волне на бесконечности: так называемого “темного солитона” (который является нелинейным продуктом боры и периодической волны) малой, но конечной, амплитуды. Присутствие темных солитонов в системе является индикатором модуляционной устойчивости несущей периодической волны (дефокусировки). Приводимый анализ использует явные асимптотические выражения для решений, описывающих волновые структуры на поверхности раздела вода–лед типа темных солитонов, а также асимптотических решений для поля скоростей в толще жидкости, генерируемого этими волнами.
Ключевые слова
Об авторах
А. Т. Ильичев
Математический институт им. В.А. Стеклова РАН
Email: ilichev@mi-ras.ru
Россия, Москва
А. С. Савин
Московский государственный технический университет им. Н.Э. Баумана; Институт геохимии и аналитической химии им. В.И. Вернадского РАН
Email: ilichev@mi-ras.ru
Россия, Москва; Россия, Москва
А. Ю. Шашков
Московский государственный технический университет им. Н.Э. Баумана
Автор, ответственный за переписку.
Email: ilichev@mi-ras.ru
Россия, Москва
Список литературы
- Forbes L.R. Surface waves of large amplitude beneath an elastic sheet. High order series solution // J. Fluid Mech. 1986. V. 169. P. 409–428.
- Forbes L.K. Surface waves of large amplitude beneath an elastic sheet. Galerkin solutions // J. Fluid Mech. 1988. V.188. P. 491–508.
- Iooss G., Adelmeyer M. Topics in bifurcation theory and applications. 2nd edition. Singapore: World Scientific, 1998. 186 p.
- Kirchgässner K. Wave solutions of reversible systems and applications // J. Diff. Eqns. 1982. V. 45. P. 113–127.
- Mielke A. Reduction of quasilinear elliptic equations in cylindrical domains with applications // Math. Meth. Appl. Sci. 1988. V. 10. P. 501–566.
- Ильичев А. Т. Уединенные волны в средах с дисперсией и диссипацией (обзор) // Изв. РАН, МЖГ 2000. № 2. С. 3–27 = Il’ichev A. Solitary waves in media with dispersion and dissipation (a review) Fluid Dyn. 2000. V. 35. P. 157–176.
- Parau E., Dias F. Nonlinear effects in the response of a floating ice plate to a moving. load // J. Fluid. Mech. 2001. V. 437. P. 325–336.
- Plotnikov P.I., Toland J.F. Modelling nonlinear hydroelastic waves // Phil. Trans. R. Soc. A. 2011. V. 369. P. 2942–2956.
- Ильичев А.Т., Савин А.С., Шашков А.Ю. Траектории частиц жидкости под ледяным покровом в поле уединенной изгибно-гравитационной волны // Изв. вузов. Радиофизика, в печати.
- Филлипс О.М. Динамика верхнего слоя океана, Л: Гидрометеоиздат, 1980. 320 с.
- Монин А.С. Теоретические основы геофизической гидродинамики. Л: Гидрометеоиздат, 1988. 424 с.
- Stokes G. On the theory of oscillatory waves // Trans. Camb. Phil. Soc. 1847. V. 8. P. 441–455.
- Очиров А.А. Исследование закономерностей формирования массопереноса, инициируемого волновыми движениями жидкости: Дис. на соискание ученой степени кандидата физ.-мат. наук: 01.02.05. Ярославль, 2020. 142 с.
- Ильичев А.Т., Савин А.С., Шашков А.Ю. Движение частиц в поле нелинейных волновых пакетов в слое жидкости под ледяным покровом // Теор. мат. физ., в печати.
- Müller A., Ettema R. Dynamic response of an icebreaker hull to ice breaking // In Proc. IAHR Ice Symp., Hamburg. 1984. V. II. P. 287–296.
- Ильичев А.Т. Уединенные волны в моделях гидромеханики. М.: Физматлит, 2003. 256 с.
- Марченко А.В. О длинных волнах в мелкой жидкости под ледяным покровом // ПММ. 1988. Т. 52. С. 230–235.
- Il’ichev A.T., Semenov A.Yu. Stability of solitary waves in dispersive media described by a fifth-order evolution equation // Theoret. Comput. Fluid Dyn. 1992. V. 3. P. 307–326.
- Ильичев А.Т. Солитоноподобные структуры на поверхности раздела вода–лед // УМН. 2015. Т. 70. С. 85–138 = Il’ichev A.T. Soliton-like structures on a water-ice interface // Russian Math. Surveys. 2015. V. 70. P. 1051–1103.
- Haragus M., Iooss G. Local Bifurcations, Center Manifolds, and Normal Forms in Infinite-Dimensional Dynamical Systems. Berlin, Heidelberg: Springer, 2012. 329 p.
- Iooss G., Perouéme M.C. Perturbed homoclinic solutions in reversible 1 : 1 resonance vector fields // J. Diff. Eqns. 1993. V. 102. P. 62–88.
- Dias F., Iooss G. Capillary-gravity interfacial waves in infinite depth // Eur. J. Mech., B/Fluids. 1996. V. 15. P. 367–393.
- Il’ichev A.T., Tomashpolskii V.Ja. Characteristic parameters of nonlinear surface envelope waves beneath an ice cover under pre-stress // Wave Motion. 2019. V. 86. P. 11–20.
Дополнительные файлы








