ДЕФОРМАЦИИ И ВОЛНОВЫЕ СИЛЫ ПРИ ДВИЖЕНИИ НАГРУЗКИ ПО ЛЕДЯНОМУ ПОКРОВУ И НАЛИЧИИ ТЕЧЕНИЯ СО СДВИГОМ СКОРОСТИ
- Авторы: Ткачева Л.А.1
-
Учреждения:
- Институт гидродинамики им. М.А. Лаврентьева СО РАН
- Выпуск: № 6 (2023)
- Страницы: 59-66
- Раздел: Статьи
- URL: https://bakhtiniada.ru/1024-7084/article/view/231733
- DOI: https://doi.org/10.31857/S1024708423600203
- EDN: https://elibrary.ru/QXOXEV
- ID: 231733
Цитировать
Полный текст
Аннотация
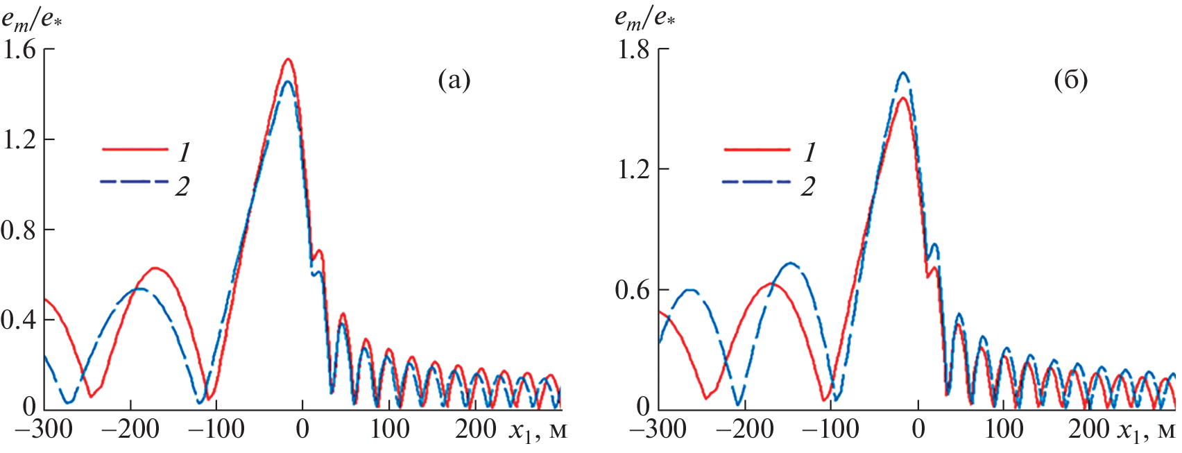
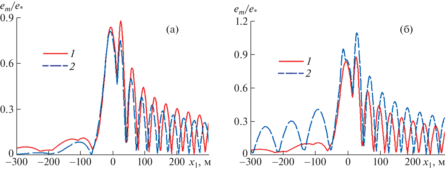
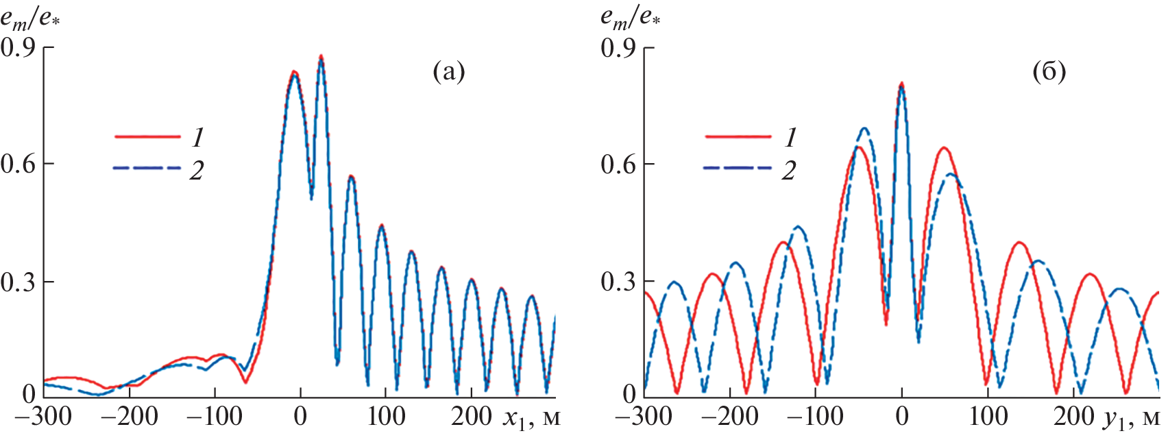
Изучаются деформации ледяного покрова на поверхности идеальной несжимаемой жидкости конечной глубины под действием движущейся прямолинейно с постоянной скоростью области давления при наличии течения со сдвигом скорости, а также волновые силы, действующие на движущееся тело. Течение жидкости не потенциально. Ледяной покров моделируется тонкой упругой пластиной с учетом равномерного сжатия. Движение нагрузки может происходить под произвольным углом к направлению течения. Предполагается, что в системе координат, движущейся вместе с нагрузкой, прогиб льда является установившимся. Использован метод преобразования Фурье в рамках линейной теории волн. Исследованы зависимости максимальных деформаций ледяного покрова и волновых сил от градиента скорости течения, направления движения и коэффициента сжатия.
Об авторах
Л. А. Ткачева
Институт гидродинамики им. М.А. Лаврентьева СО РАН
Автор, ответственный за переписку.
Email: tkacheva@hydro.nsc.ru
Россия, Новосибирск
Список литературы
- Хейсин Д.Е. Динамика ледяного покрова. Л.: Гидрометеоиздат. 1967. 215 с.
- Davys J.W., Hosking R.I., Sneyd A.D. Waves due to a steadily moving source on a floating ice plate// J. Fluid Mech. 1985. V. 158. P. 269–287.
- Schulkes R.M.S.M., Hosking R.J., Sneyd A.D. Waves due to a steadily moving source on a floating ice plate. Pt 2 // J. Fluid Mech. 1987. V. 180. P. 297–318.
- Букатов А.Е., Жарков В.В., Завьялов Д.Д. Трехмерные изгибно-гравитационные волны при неравномерном сжатии // ПМТФ. 1991. № 6. С. 51–57.
- Жесткая В.Д., Козин В.М. Исследования напряженно-деформированного состояния полубесконечного ледяного покрова под действием движущейся нагрузки // ПМТФ. 1994. Т. 35. № 5. С. 112–117.
- Milinazzo F., Shinbrot M., Evans N.W. A mathematical analysis of the steady response of floating ice to the uniform motion of a rectangle load // J. Fluid Mech. 1995. V. 287. P. 173–197.
- Squire V.A. Moving Loads on Ice Plates. / V.A. Squire, R.J. Hosking, A.D. Kerr, et al. Dordrecht: Kluwer, 1996.
- Das S., Sahoo T., Meylan M.H. Dynamics of flexural gravity waves: from sea ice to Hawking radiation and analogue gravity// Proc. R. Soc. A 2018. V. 474. P. 20170223.
- Sturova I.V. Unsteady three-dimensional sources in deep water with an elastic cover and their applications// J. Fluid Mech. 2013. V. 730. P. 392–418.
- Козин В.М., Погорелова А.В., Земляк В.Л., Верещагин В.Ю., Рогожникова В.Е., Кипин Д.Ю., Матюшина А.А. Экспериментально-теоретические исследования зависимости параметров, распространяющихся в плавающей пластине изгибно-гравитационных волн от условий их возбуждения. Новосибирск: Изд-во СО РАН, 2016. 221 с.
- Букатов А.Е. Волны в море с плавающим ледяным покровом. Морской гидрофизический институт РАН. Севастополь. 2017. 357 с.
- Bao-yu Ni, Duan-feng Han, Shao-cheng Di, Yan-zhuo Xue On the development of ice-water-structure interaction // J. Hydrodynamics. 2020. V. 32. № 4. P. 629–652. https://doi.org/10.1007/s42241-020-0047-8
- Ткачева Л.А. Движение нагрузки по ледяному покрову при наличии течения со сдвигом скорости// Изв. РАН. МЖГ. 2023. № 2. С. 113–122.
- Squire V., Martin S. A field study of the physical properties, response to swell, and subsequent fracture of a single ice floe in the winter Bering sea. Technical report 18. University of Washington. 1980.
- Shishmarev K., Khabakhpasheva T., Korobkin A. The response of ice cover to a load moving along a frozen channel // Appl. Ocean Res. 2016. V. 59. P. 313–326.
Дополнительные файлы









