Radiative-convective heating of the surface of the Martian descent vehicle MSL with allowance for the turbulent nature of the flow
- Authors: Surzhikov S.T.1
-
Affiliations:
- Ishlinsky Institute of Problems of Mechanics of the Russian Academy of Sciences
- Issue: No 5 (2023)
- Pages: 119-137
- Section: Articles
- URL: https://bakhtiniada.ru/1024-7084/article/view/135110
- DOI: https://doi.org/10.31857/S102470842360032X
- EDN: https://elibrary.ru/TRMSCE
- ID: 135110
Cite item
Full Text
Abstract
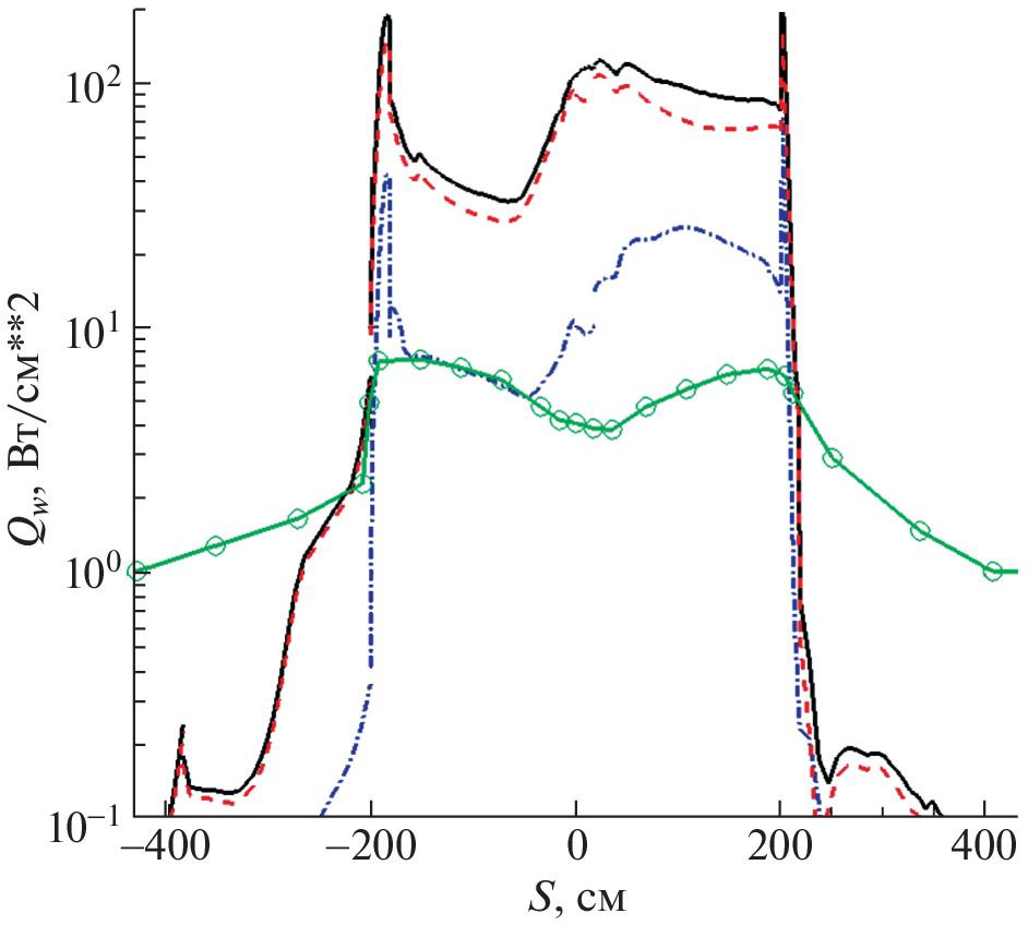
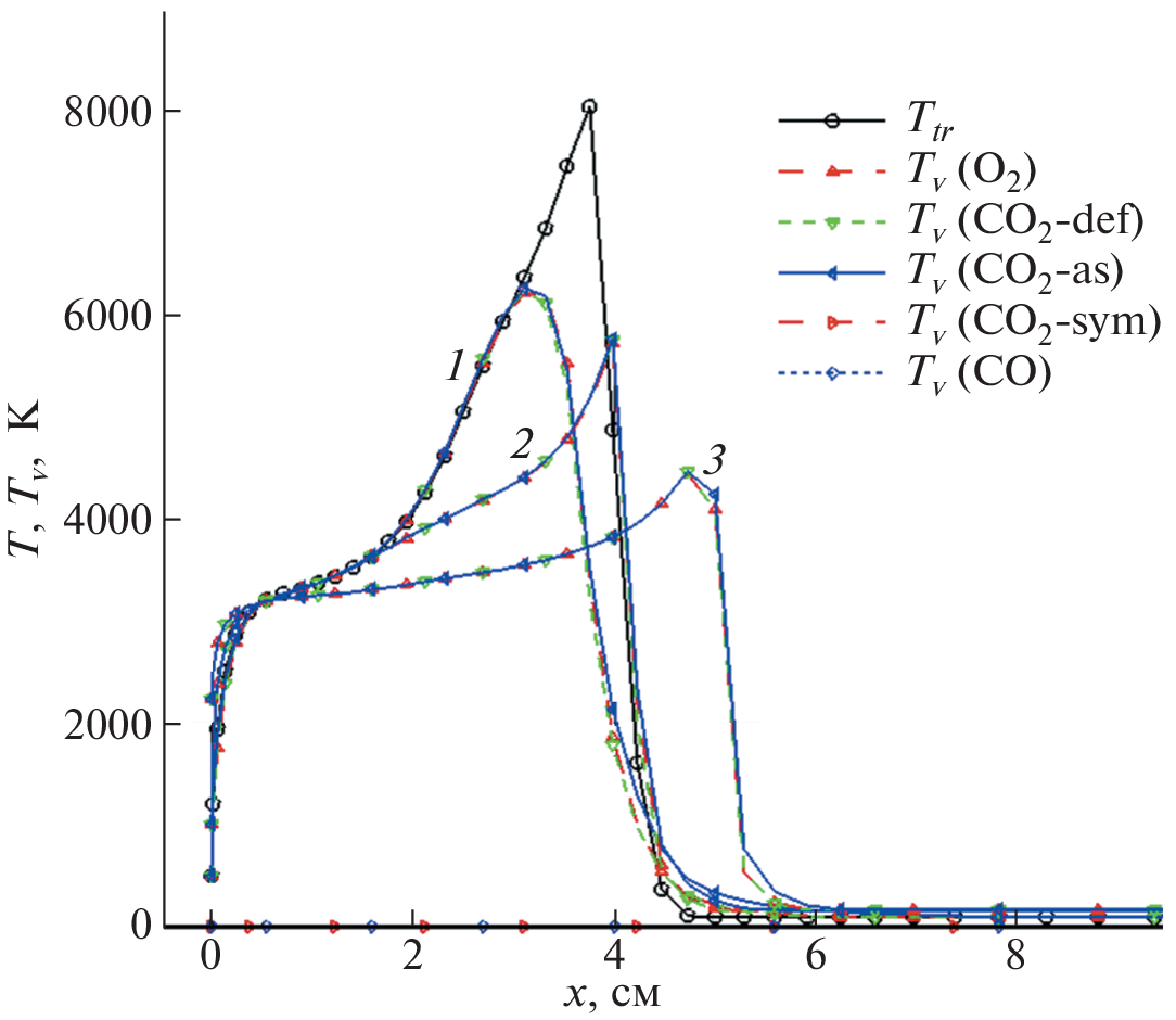
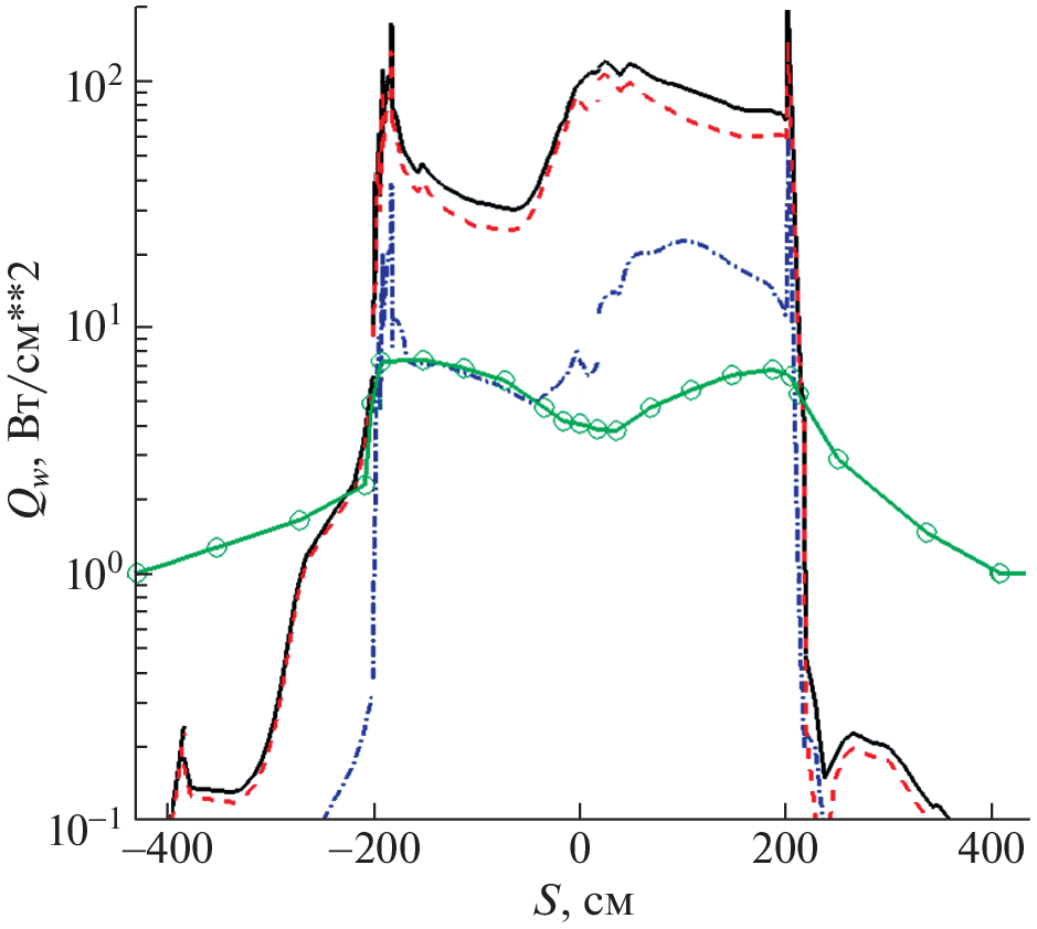
A spatial computer model based on the Reynolds-averaged Navier-Stokes equations together with the Baldwin-Lomax and Prandtl algebraic models of turbulent mixing was used to calculate the radiative-convective heat transfer on the surface of the MSL descent vehicle. The intensification of convective heat transfer on the leeward side of the frontal aerodynamic shield and the superiority of the radiative heat flux density over the convective one on the rear surface are shown. The calculations were performed using the model of a physically and chemically nonequilibrium gas. A comparison is made with the results of calculations using other computational models and with flight data on the heat load on the descent vehicle obtained during the MSL descent in the dense layers of the Martian atmosphere.
About the authors
S. T. Surzhikov
Ishlinsky Institute of Problems of Mechanics of the Russian Academy of Sciences
Author for correspondence.
Email: surg@ipmnet.ru
Moscow, Russia
References
- Edquist K.T., Hollis B.R., Johnston C.O., Bose D., White T.R., Mahzari M. Mars Science Laboratory Heat Shield Aerothermodynamics: Design and Reconstruction // JSR. 2014. V. 51. № 4. P. 1106–1124.
- Planetary Mission Entry Vehicles. NASA SP-20220010761 / By ed K. Parcelo, G. Allen. Version 4. Davies, ELORET Corporation.
- Edquist K.T., Dyakonov A.A., Wright M.J., Tang C.-Y. Aerothermody-namic Design of the Mars Science Laboratory Backshell and Parachute Cone // AIAA. Paper 2009–4078. June 2009.
- Cheatwood F.M., Gnoffo P.A. Users Manual for the Langley Aerothermo-dynamic Upwind Algorithm (LAURA) // NASA TM-4674, April 1996.
- Wright M.J., Candler G.V., Bose D. Data-Parallel Line Relaxation Method for the Navier-Stokes Equations // AIAA Journal. 1998. V. 36. № 9. P. 1603–1609.
- Суржиков С.Т. Анализ экспериментальных данных по конвективному нагреву модели марсианского спускаемого аппарата с использованием алгебраических моделей турбулентности // Изв. РАН. МЖГ. 2019. № 6. С. 129–140.
- Baldwin B.S., Lomax H. Thin Layer Approximation and Algebraic Model for Separated Turbulent Flows. AIAA Paper 78−0257. 1978. 8 p.
- Visbal M., Knight D. The Baldwin − Lomax Turbulence Model for Two-Dimensional Shock-Wave/ Boundary-Layer Interaction // AIAA J. 1984. V. 22. № 7. P. 921−928.
- Tannehill J.C., Anderson D.A., Pletcher R.H. Computational Fluid Mechanics and Heat transfer. 1997. Taylor&Francis. 792 p.
- Шлихтинг Г. Теория пограничного слоя. М.: Главная редакция физико-математической литературы. 1974. 711 с.
- Суржиков С.Т. Радиационно-конвективный нагрев марсианского аппарата EDL MSL под углом атаки // Физико-химическая кинетика в газовой динамике. 2015. Т. 16. Вып. 2. http://chemphys.edu.ru/issues/2015-16-2/articles/604/
- Surzhikov S.T. Three-Dimensional Computer Model of Nonequilibrium Aerophysics of the Spacecraft Entering in the Martian Atmosphere // Fluid Dynamics. 2011. V. 46. № 3. P. 490–503.
- Surzhikov S.T. Comparative Analysis of Radiative Aerothermodynamics of Martian Entry Probes // AIAA paper AIAA 2012-2867. 2012. 38 p.
- Суржиков С.Т. Радиационно-конвективный нагрев марсианских зондов // Физико-химическая кинетика в газовой динамике. 2013. Т. 14. Вып. 2. http://chemphys.edu.ru/issues/2013-14-2/articles/408/
- Суржиков С.Т. Расчетный анализ ионизации сжатого слоя при входе космического аппарата Schiaparelli в плотные слои атмосферы Марса // Изв. РАН. МЖГ. 2020. № 3. С. 80–92.
- Суржиков С.Т. Радиационная газовая динамика спускаемых космических аппаратов. Многотемпературные модели. М.: Ин-т проблем механики им. А.Ю. Ишлинского РАН. 2013. 706 с.
- Ступоченко Е.В., Лосев С.А., Осипов А.И. Релаксационные процессы в ударных волнах. М.: Наука. Глав. ред. физ.-мат. лит-ры. 1965. 484 с.
- Park C. Nonequilibrium Hypersonic Aerothermodynamics. Wiley-Inter-science Publication. New York: J. Wiley & Son, 1990.
- Millikan R.C., White D.R. Systematic of Vibrational Relaxation // J. of Chemical Physics. 1963. V. 39. № 12. P. 3209–3212.
- Treanor C.E., Marrone P.V. Effect of Dissociation on the Rate of Vibrational Relaxation // Phys. Fluids. 1962. V. 5. № 9. P. 1022–1026.
- Bird R.B., Stewart W.E., Lightfoot E.N. Transport Phenomena. New York: John Wiley & Sons. Inc, 2007. 920 p.
- Гинзбург И.П. Теория сопротивления и теплопередачи. Л.: Изд-во Ленинградского ун-та, 1979. 375 с.
- Svehla R.A. Estimated Viscosities and Thermal Conductivities of Gases at High Temperatures // NASA TR-R-132. 1962. 26 p.
- Wilke C.R. Diffusional properties of multicomponent gases // Chemical engineering progress. 1950. V. 46. № 2. P. 95–104.
- Анфимов Н.А. Ламинарный пограничный слой в многокомпонентной смеси газов // Изв. АН СССР. Механика и машиностроение. 1962. № 1. С. 25–31.
- Суржиков С.Т. Тепловое излучение газов и плазмы. М.: Изд-во МГТУ им. Н.Э. Баумана, 2004. 543 с.
- Землянский Б.А., Лунев В.В., Власов В.И. и др. Конвективный теплообмен летательных аппаратов. М.: Физматлит, 2014. 330 с.
- Суржиков С.Т. Результаты использования алгебраических моделей турбулентности в рамках RANS-модели нагрева поверхности острой пластины в сверхзвуковом потоке // Физико-химическая кинетика в газовой динамике. 2023. Т. 20. Вып. 4. http://chemphys.edu.ru/issues/2019-20-4/articles/890/
- Shang J.S., Scherr S.J. Navier–Stockes Solution for a Complete Re-Entry Configuration. J. Aircraft. 1986. V. 23. № 12. P. 881−888.
- Liou M.-S. 1996 A Sequel to AUSM: AUSM+ // J. Comput. Phys. V. 129. P. 364–382.
- Суржиков С.Т. Оптические свойства газов и плазмы. Изд-во МГТУ им. Н.Э. Баумана. 2004. 576 с.
- Ludwig C.B., Malcmus W., Reardon J.E. et al. Handbook of infrared radiation from combastion gases // NASA SP-3080. Washington: Marshal Space Flight Center. 1973.
- Gromov V.G., Surzhikov S.T., Charbonnier J.-M. Convective and Radiative Heating of a Martian Space Vehicle Base Surface // Proceeding of the 4th European Symposium on Aerothermodynamics for Space Vehicles. 15–18 Oct. 2001. Capua, Italy. ESA SP-487. 2002. P. 265–269.
Supplementary files













