ЧИСЛЕННОЕ ИССЛЕДОВАНИЕ ВЛИЯНИЯ ПОРИСТЫХ ЭЛЕМЕНТОВ КРЫЛА НА СВОЙСТВА СВЕРХЗВУКОВЫХ КОНЦЕВЫХ ВИХРЕЙ
- Authors: 1, 1
-
Affiliations:
- Институт прикладной математики им. М.В. Келдыша РАН
- Issue: No 3 (2023)
- Pages: 94-102
- Section: Articles
- URL: https://bakhtiniada.ru/1024-7084/article/view/135094
- DOI: https://doi.org/10.31857/S1024708422600804
- EDN: https://elibrary.ru/TMOJWC
- ID: 135094
Cite item
Full Text
Abstract
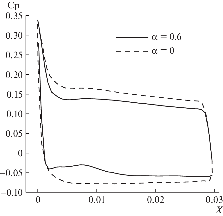
Исследовано влияние пористой законцовки крыла на формирование концевого вихря и его свойства при сверхзвуковом обтекании. Установлено, что пористая законцовка существенно влияет на структуру и параметры вихря, уменьшает его интенсивность.
About the authors
Институт прикладной математики им. М.В. Келдыша РАН
Author for correspondence.
Email: allutsky@yandex.ru
Россия, Москва
Институт прикладной математики им. М.В. Келдыша РАН
Author for correspondence.
Email: alsewerin@yandex.ru
Россия, Москва
References
- Гиневский А.С., Желанников А.И. Вихревые следы самолетов. М.: Физматлит, 2008. 172 с.
- Вышинский В.В., Судаков Г.Г. Вихревой след самолета и вопросы безопасности полетов // Труды МФТИ. 2009. № 1 (3). С. 73–93.
- Whitcomb R.T. A Design Approach and Selected Wind-Tunnel Results at High Subsonic Speeds for Wing-Tip Mounted Winglets // NASA-TN-D-8260, 1976.
- Keenan J.A., Kuhlman J.M. The Effects of Winglets on Low Aspect Ratio Wings at Supersonic Mach Numbers // NASA Contractor Report 4407.
- Корнилов В.И., Бойко А.В. Экспериментальное моделирование вдува воздуха в турбулентный пограничный слой при помощи внешнего напорного потока // Журнал технической физики. 2016. Т. 86. Вып. 10. С. 8–46.
- Лысенко В.И., Смородский Б.В., Ермолаев Ю.Г., Гапонов С.А., Косинов А.Д., Семенов Н.В., Яцких А.А. Влияние инжекции тяжелого газа в пристеночный слой сверхзвукового пограничного слоя на его переход // Сибирский физический журнал. 2017. Т. 12. № 1. С. 50–56.
- Циберкин К.Б. О структуре поля скорости стационарного течения вблизи границы раздела однородной жидкости и пористой среды Бринкмана // Журнал технической физики. 2016. Т. 8. Вып. 8.
- Шиплюк А.Н., Буров Е.В., Маслов А.А., Фомин В.М. Влияние пористых покрытий на устойчивость гиперзвуковых пограничных слоев // Прикладная механика и техническая физика (ПМТФ). 2004. Т. 45. № 2. С. 169–176.
- Фомин В.М., Запрягаев В.И., Локотко А.В., Волков В.Ф., Луцкий А.Е., Меньшов И.С., Максимов Ю.М., Кирдяшкин А.И. Аэродинамические характеристики тела вращения с газопроницаемыми участками поверхности // Прикладная механика и техническая физика (ПМТФ). 2010. Т. 51. № 1. С. 79–88.
- Willis B.P., Davis D.O., Hingst W.R. Flowfield Measurements in a Normal-Hole-Bled Oblique Shock-Wave and Turbulent Boundary-Layer Interaction // AIAA Paper 1995–2885 (July 1995).
- Poplavskaya T.V., Kirilovskiy S.V., Mironov S.G. Supersonic flow around a cylinder with front gas-permeable insert which modeled by skeleton of porous material // AIP Conference Proceedings.2016. V. 1770. 030067.
- Schuelein E. Shock-wave control by permeable wake generators // 5th Flow Control Conference, Fluid Dynamics and Co-located Conferences, Chicago, Illinois, 28 June – 1 July 2010.
- Фомин В.М., Миронов С.Г., Сердюк К.М. Снижение волнового сопротивления тел в сверхзвуковом потоке с помощью пористых материалов // Письма в ЖТФ. 2009. Т. 35. Вып. 3.
- Winglet with injected flow. https://technology.nasa.gov/contact-us/TOP2-289
- Меньшов И.С., Северин А.В. Программный комплекс S3D. https://cfd.imamod.ru/FILES/2015/2015_CFDWeekend_Abstracts.pdf
- Baer M.R., Nunziato J.W. A two-phase mixture theory for the deflagration-to-detonation transition (DDT) in reactive granular materials // Int. J. Multiphase Flow. 1986. 12. P. 861–889.
- Ergun S. Fluid flow through packed columns // Chem. Eng. Prog. 48 1952.
- Северин А.В., Луцкий А.Е., Меньшов И.С. Управление высокоскоростным течением в канале при помощи пористых вставок // Матем. моделирование. 2022. V. 34. № 4. С. 100–112.
- Вычислительные комплексы МВС-Экспресс, К-100 и К-60 ИПМ РАН. http://www.kiam.ru
Supplementary files










