Self-similar flows with a shock wave moving towards the center or axis of symmetry
- Autores: Valiev H.F.1, Kraiko A.N.1
-
Afiliações:
- Central Institute of Aviation Engine Engineering (CIAM) named after. P.I. Baranova
- Edição: Nº 5 (2023)
- Páginas: 37-46
- Seção: Articles
- URL: https://bakhtiniada.ru/1024-7084/article/view/135087
- DOI: https://doi.org/10.31857/S1024708423700060
- EDN: https://elibrary.ru/YNXIMR
- ID: 135087
Citar
Texto integral
Resumo
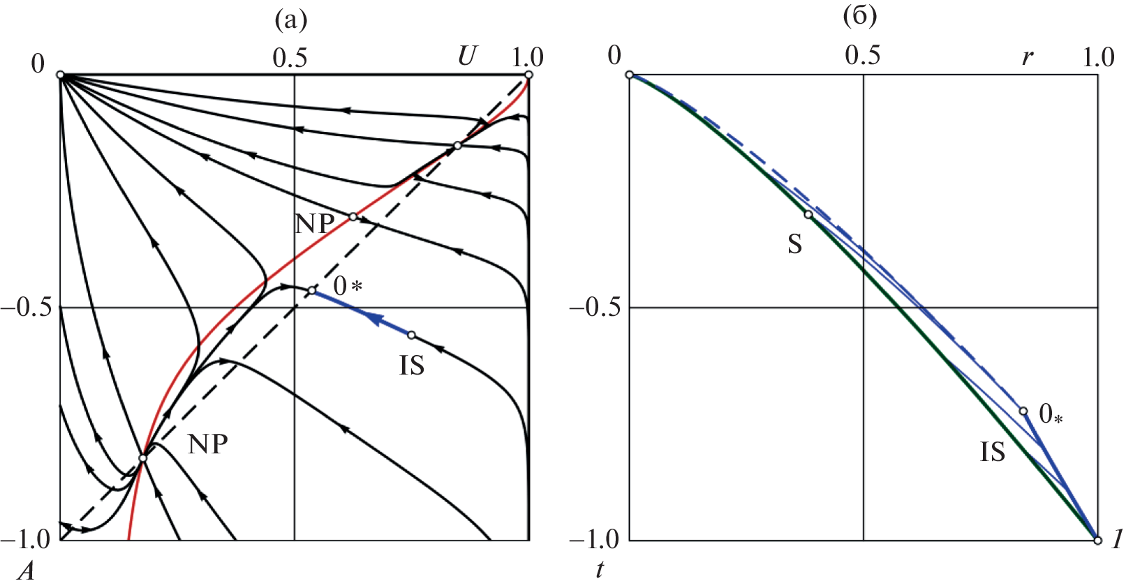
One-dimensional flows of an ideal (inviscous and non-thermal-conducting) perfect gas with adiabatic index γ behind a shock wave moving towards the center (ν = 3) or towards the axis (ν = 2) of symmetry along a stationary cold gas are studied. Flows with a reflected shock wave and flows that end with the simultaneous arrival of a shock wave and a piston at the center of symmetry, compressing the gas into a point or line, are allowed.
Sobre autores
H. Valiev
Central Institute of Aviation Engine Engineering (CIAM) named after. P.I. Baranova
Email: akraiko@ciam.ru
Moscow, Russia
A. Kraiko
Central Institute of Aviation Engine Engineering (CIAM) named after. P.I. Baranova
Autor responsável pela correspondência
Email: akraiko@ciam.ru
Moscow, Russia
Bibliografia
- Guderley G. Starke kugelige und zylindrische Verdichtungsstöße in der Nähe des Kugelmittelpunktes bzw. der Zylinderachse // Luftfartforschung. 1942. Bd. 19. Lfg. 9. S. 302–312.
- Брушлинский К.В., Каждан Я.М. Об автомодельных решениях некоторых задач газовой динамики // УМН. 1963. Т. 18. Вып. 2. С. 3–23.
- Ландау Л.Д., Лифшиц Е.М. Теоретическая физика. Т. 6. Гидродинамика. М.: Наука, 1986.
- Черный Г.Г. Газовая динамика. М.: Наука, 1988.
- Крайко А.Н. Теоретическая газовая динамика: классика и современность. М.: Торус Пресс, 2010.
- Крайко А.Н., Тилляева Н.И. Автомодельное сжатие идеального газа плоским, цилиндрическим или сферическим поршнем // ТВТ. 1998. Т. 36. № 1. С. 120–128.
- Валиев Х.Ф. Отражение ударной волны от центра или оси симметрии при показателях адиабаты от 1.2 до 3 // ПММ. 2009. Т. 73. Вып. 3. С. 397–407.
- Валиев Х.Ф., Крайко А.Н. Цилиндрически и сферически симметричное быстрое сильное сжатие идеального совершенного газа с показателями адиабаты от 1.001 до 3 // ПММ. 2011. Т. 75. Вып. 2. С. 314–326.
- Куропатенко В.Ф., Шестаковская Е.С., Якимова М.Н. Динамическое сжатие холодного газового шара // Доклады РАН. 2015. Т. 461. № 5. С. 530–532.
- Куропатенко В.Ф., Шестаковская Е.С., Якимова М.Н. Ударная волна в газовом шаре // Вестник ЮУрГУ. Математическое моделирование и программирование. 2016. Т. 9. № 1. С. 5–19.
- Куропатенко В.Ф., Магазов Ф.Г., Шестаковская Е.С. Аналитическое решение задачи о сходящейся ударной волне в газе в одномерном случае // Вестник ЮУрГУ. Математика. Механика. Физика. 2017. Т. 9. № 4. С. 52–58.
- Куропатенко В.Ф., Магазов Ф.Г. О фокусировке цилиндрически симметричной ударной волны в газе // Сб. материалов Международной конференции “XIII Забабахинские научные чтения”. Снежинск: Издательство РФЯЦ-ВНИИТФ, 2017. 424 с. С. 39–40.
- Куропатенко В.Ф., Шестаковская Е.С. О сходящейся ударной волне в газе для больших значений показателя автомодельности // Сб. материалов Международной конференции “XIII Забабахинские научные чтения”. Снежинск: Издательство РФЯЦ-ВНИИТФ, 2017. 424 с. С. 55–56.
- Богоявленский О.И. Методы качественной теории динамических систем в астрофизике и газовой динамике. М.: Наука, 1980.
Arquivos suplementares









