CONDITIONS OF DEEP-WATER UNDERCURRENTS GENERATION IN THE NORTH-EASTERN BLACK SEA
- Authors: Markova N.V.1, Dymova O.A.1
-
Affiliations:
- Federal State Budgetary Institution Federal Research Center "Marine Hydrophysical Institute of the Russian Academy of Sciences"
- Issue: No 5 (2023)
- Pages: 25-36
- Section: Articles
- URL: https://bakhtiniada.ru/1024-7084/article/view/135083
- DOI: https://doi.org/10.31857/S1024708423600057
- EDN: https://elibrary.ru/TSHOAY
- ID: 135083
Cite item
Full Text
Abstract
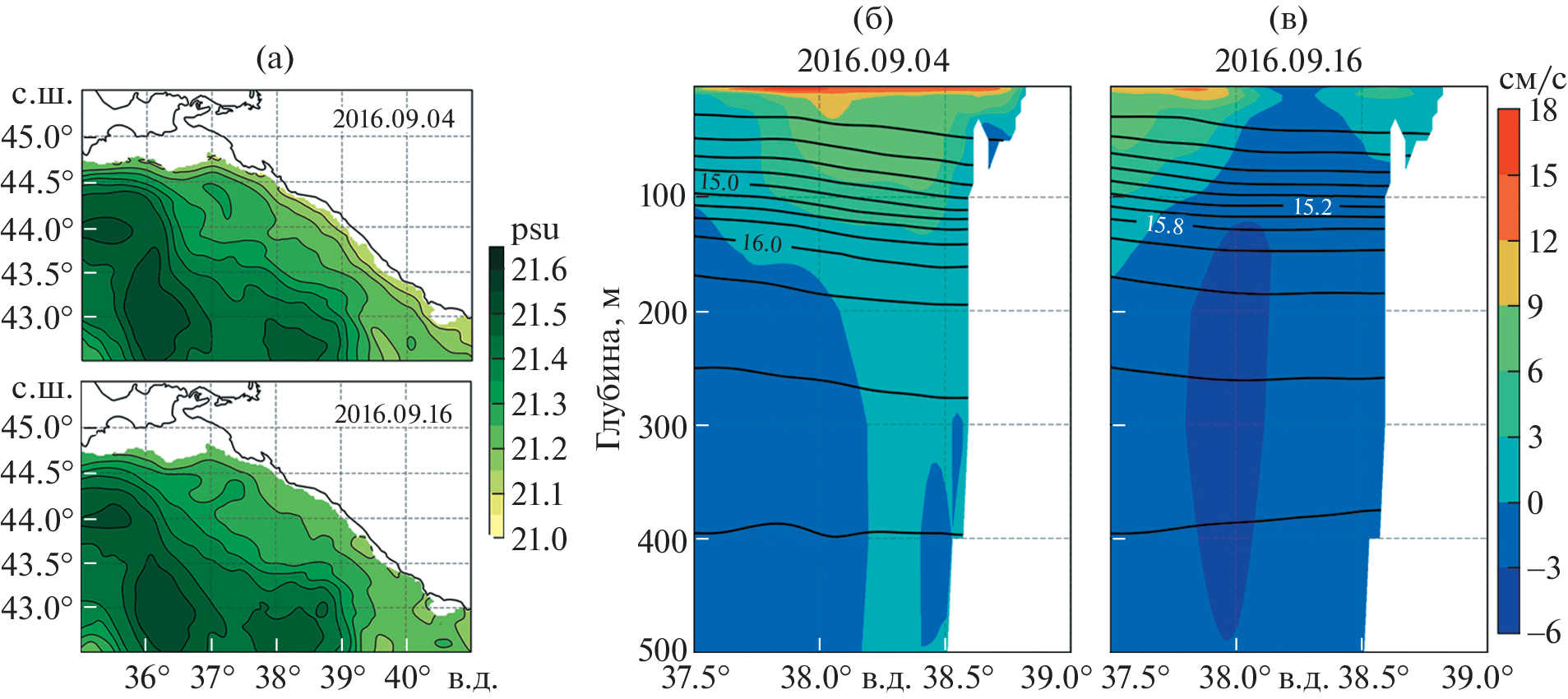
A research of the occurrence factors of narrow non-stationary movements formed in the Black Sea in the lower part of the constant piccoline and deeper is performed. Such currents spread along the continental slope against the predominant cyclonic direction of surface circulation (undercurrents) are observed from several days to several weeks and have a width of 8 to 12 km. The prerequisites for the generation of undercurrents in the Black Sea hydrophysical fields are studied on the example of its north-eastern region, where the undercurrents are fixed most often. The numerical experiment results are analyzed to calculate the hydrophysical fields based on the numerical z-model of MHI with a horizontal resolution of 1.6 km. The experiment is carried out for the 2016-2017 period with assimilation in the model of hydrological observations of temperature and salinity. ERA5 data are used to set atmospheric forcing. The undercurrents are fixed twice in September 2016 and February 2017 according to the observations of the ARGO float ID6901833 in the area of the North Caucasus coast. A change in the direction of currents in the specified area (from cyclonic to anticyclonic and back) is reconstructed in the numerical experiment. Fields of basic hydrophysical parameters and some of their derivative characteristics are built and analyzed. The influence of mesoscale anticyclonic eddies, as well as gradients of the sea water density on the structure and variability of the velocity field in the north-eastern part of the sea is shown. According to the simulation results, narrow undercurrents into which Argo float fell in the fall of 2016 and in the winter of 2017 are distributed within a few days in the anticyclonic direction along the continental slope on horizons from 50–100 to 500 m, and their formation occurred under the conditions of weakening cyclonic Main Black Sea current in the upper layer of the sea and the increase in the Kerch anticyclonic eddy.
Keywords
About the authors
N. V. Markova
Federal State Budgetary Institution Federal Research Center "Marine Hydrophysical Institute of the Russian Academy of Sciences"
Email: olgadym@yahoo.com
Sevastopol Russia
O. A. Dymova
Federal State Budgetary Institution Federal Research Center "Marine Hydrophysical Institute of the Russian Academy of Sciences"
Author for correspondence.
Email: olgadym@yahoo.com
Sevastopol Russia
References
- Murray J.W., Izdar E. The 1988 Black Sea Oceanographic Expedition: Overview and new discoveries // Oceanography. 1989. V. 2 (1). P. 15–21.
- Oguz T., Latun V.S., Latif M.A., Vladimirov V.V., Sur H.I., Markov A.A., Özsoy E., Kotovshchikov B.B., Eremeev V.V., Ünlüata Ü. Circulation in the surface and intermediate layers of the Black Sea // Deep-Sea Res. 1993. V. 40. № 8. P. 1597–1612. https://doi.org/10.1016/0967-0637(93)90018-X
- Neumann G. Uber den Aufbau und die Frage der Tiefenzirkulation des Schwarzen Meeres // Ann. Hydrogr. und marit. Meteorol. 1943. Bd.71 (1). № 4/6. P. 1–20.
- Булгаков С.Н., Коротаев Г.К., Уайтхед Дж.А. Роль потоков плавучести в формировании крупномасштабной циркуляции и стратификации вод моря. Ч. 1, 2 // Изв. АН СССР. ФАО. 1996. Т. 32. № 4. С. 548–564.
- Еремеев В.Н., Кушнир В.М. Слоистая структура течений и вертикальный обмен в Черном море // Океанология. 1996. Т. 36. № 1. С. 13–19.
- Латун B.C. О движениях глубинных слоев Черного моря. Комплексные океанографические исследования Черного моря. Севастополь: МГИ АН УССР, 1989. С. 9–16.
- Коротаев Г.К. Интенсификация с глубиной циркуляции в мезомасштабном бассейне под влиянием рельефа дна // Мор. гидрофиз. журн. 2005. № 26. С. 3–10.
- Демышев С.Г., Кныш В.В., Инюшина Н.В. Сезонная изменчивость и трансформация с глубиной климатических горизонтальных течений Черного моря по результатам ассимиляции в модели новых климатических данных температуры и солености // Мор. гидрофиз. журн. 2005. № 6. С. 28–45.
- Петренко Л.А., Кушнир В.М. Климатические придонные течения в Черном море // Экологическая безопасность прибрежной и шельфовой зон и комплексное использование ресурсов шельфа. Севастополь: ЭКОСИ-Гидрофизика, 2006. Вып. 14. С. 477–486.
- Кордзадзе A.A., Деметрашвили Д.И., Сурмава А.А. Численное моделирование гидрофизических полей Черного моря в условиях чередования атмосферных циркуляционных процессов // Изв. РАН. ФАО. 2008. Т. 44. № 2. С. 227–238.
- Архипкин В.С., Косарев А.Н., Гиппиус Ф.Н., Мигали Д.И. Сезонная изменчивость климатических полей температуры, солености и циркуляции вод Черного и Каспийского морей // Вестник МГУ. Сер. 5. География. 2013. № 5. С. 33–44.
- Лукьянова А.Н., Багаев А.В., Пластун Т.В., Маркова Н.В., Залесный В.Б., Иванов В.А. Исследование глубоководной циркуляции Черного моря по результатам численного моделирования и натурным данным: Численные эксперименты на основе модели ИВМ РАН и сравнение с данными Банка данных МГИ РАН // Экологическая безопасность прибрежной и шельфовой зон моря. 2016. № 3. С. 9–14.
- Korotaev G., Oguz T., Riser S. Intermediate and deep currents of the Black Sea obtained from autonomous profiling floats // Deep-Sea Res. II: Topical Studies in Oceanography. 2006. V. 53. № 17–19. P. 1901–1910.
- Poulain P.-M., Menna M., Zu Z. Geostrophic currents in the Mediterranean and Black Seas derived from Argo float profiles // Argo-Italy Project. 2016. URL: https://www.researchgate.net/publication/308983483
- Markova N.V., Bagaev A.V. The Black Sea deep current velocities estimated from the data of ARGO profiling floats // Physical Oceanography. 2016. V. 3. P. 23–35. https://doi.org/10.22449/1573-160X-2016-3-23-35
- Демышев С.Г., Иванов В.А., Маркова Н.В., Черкесов Л.В. Построение поля течений в Черном море на основе вихреразрешающей модели с ассимиляцией климатических полей температуры и солености // Экологическая безопасность прибрежной и шельфовой зон и комплексное использование ресурсов шельфа. Севастополь: ЭКОСИ-Гидрофизика, 2007. Вып. 15. С. 215–226.
- Demyshev S.G., Ivanov V.A., Markova N.V. Analysis of the Black Sea climatic fields below the main pycnocline obtained on the basis of assimilation of the archival data on temperature and salinity in the numerical hydrodynamic model // Physical Oceanography. 2009. 19(1). P. 1–12.
- Островский А.Г., Зацепин А.Г., Соловьев В.А. Цибульский А.Л., Швоев Д.А. Автономный мобильный аппаратно-программный комплекс вертикального зондирования морской среды на заякоренной буйковой станции // Океанология. 2013. Т. 53. № 2. С. 1–10.
- Коршенко Е.А., Дианский Н.А., Фомин В.В. Воспроизведение глубоководной циркуляции Черного моря с помощью модели INMOM и сопоставление результатов с данными буев ARGO // Морской гидрофиз. журн. 2019. Т. 35. № 3. С. 220–232.
- Demyshev S.G., Dymova O.A., Markova N.V., Korshenko E.A., Senderov M.V., Turko N.A., Ushakov K.V. Undercurrents in the northeastern Black Sea detected on the basis of multi-model experiments and observations // J. Mar. Sci. Eng. 2021. 9 (9), 933. https://doi.org/10.3390/jmse9090933
- Demyshev S.G., Dymova O.A., Markova N.V., and Piotukh V.B. Numerical experiments on modeling of the Black Sea deep currents // Physical Oceanography. 2016. № 2. P. 38–50. https://doi.org/10.22449/1573-160X-2016-2-34-45
- Саркисян А.С., Иванов В.Ф. Совместный эффект бароклинности и рельефа дна как важный фактор в динамике морских течений //Изв. АН СССР. ФАО. 1971. Т. 7. № 2. С. 173–188.
- Francis P.A., Jithin A.K., Chatterjee A., Mukherjee A., Shankar D., Vinayachandran P.N., Ramakrishna S.S.V.S. Structure and dynamics of undercurrents in the western boundary current of the Bay of Bengal // Ocean Dyn. 2020. V. 70. P. 387–404.
- Титов В.Б. Морфометрические параметры и гидрофизические характеристики прибрежных антициклонических вихрей в Черном море // Метеорология и гидрология. 2002. № 4. С. 67–73.
- Каримова С.С. Вихревые течения в Черном море // Современные проблемы дистанционного зондирования Земли из космоса. 2008. Т. 5. № 2. С. 95–101.
- Demyshev S.G., Dymova O.A. Analysis of the annual mean energy cycle of the Black Sea circulation for the climatic, basin‑scale and eddy regimes // Ocean Dyn. 2022. 72. P. 259–278. https://doi.org/10.1007/s10236-022-01504-0
- Mellor G.L., Yamada T. Development of a turbulence close model for geophysical fluid problems // Rev. Geophys. Space Phys. 1982. 20. P. 851–875.
- Гидрометеорология и гидрохимия морей СССР. Т. 4. Черное море. Вып. 1. Гидрометеорологические условия / Под ред. А.И. Симонова, Э.Н. Альтмана. СПб.: Гидрометеоиздат, 1991. С. 103–262.
- Кныш В.В., Моисеенко В.А., Саркисян А.С., Тимченко И.Е. Комплексное использование измерений на гидрофизических полигонах океана в четырехмерном анализе // Докл. АН СССР. 1970. Т. 252. № 4. С. 832–836.
- Демышев С.Г., Евстигнеева Н.А., Алексеев Д.В., Дымова О.А., Миклашевская Н.А. Анализ динамических и энергетических характеристик циркуляции вод у берегов Западного Крыма на основе ассимиляции данных наблюдений в численной модели динамики Черного моря // Мор. гидрофиз. журн. 2021. Т. 37. № 1. С. 23–40. https://doi.org/10.22449/0233-7584-2021-1-23-40
- Lima L., Aydogdu A., Escudier R., Masina S., Ciliberti S.A., Azevedo D., Peneva E.L., Causio S., Cipollone A., Clementi E., Cretí S., Stefanizzi L., Lecci R., Palermo F., Coppini G., Pinardi N., and Palazov A. Black Sea Physical Reanalysis (CMEMS BS-Currents) (Version 1) // Copernicus Monitoring Environment Marine Service (CMEMS). 2020. https://doi.org/10.25423/CMCC/BLKSEA_MULTIYEAR_PHY_007_004
- Жмур В.В., Новоселова Е.В., Белоненко Т.В. Потенциальная завихренность в океане: подходы Эртеля и Россби с оценками для Лофотенского вихря // Изв. РАН. ФАО. 2021. Т. 57. № 6. С. 721–732. https://doi.org/10.31857/S0002351521050151
- Li Z., Chao Y., & McWilliams J.C. Computation of the Streamfunction and Velocity Potential for Limited and Irregular Domains // Mon. Weather Rev. 2006. V. 134 (11). P. 3384–3394.
Supplementary files











