ВЛИЯНИЕ ВЫДУВА И ОТСОСА ГАЗА НА НЕУСТОЙЧИВОСТЬ СВЕРХЗВУКОВОГО ПОГРАНИЧНОГО СЛОЯ
- Авторы: Новиков А.В.1,2, Образ А.О.1,2, Тимохин Д.А.2
-
Учреждения:
- Центральный аэрогидродинамический институт им. проф. Н.Е. Жуковского
- Московский физико-технический институт (национальный исследовательский университет)
- Выпуск: № 3 (2023)
- Страницы: 69-76
- Раздел: Статьи
- URL: https://bakhtiniada.ru/1024-7084/article/view/135080
- DOI: https://doi.org/10.31857/S0568528122600588
- EDN: https://elibrary.ru/NTEPQJ
- ID: 135080
Цитировать
Полный текст
Аннотация
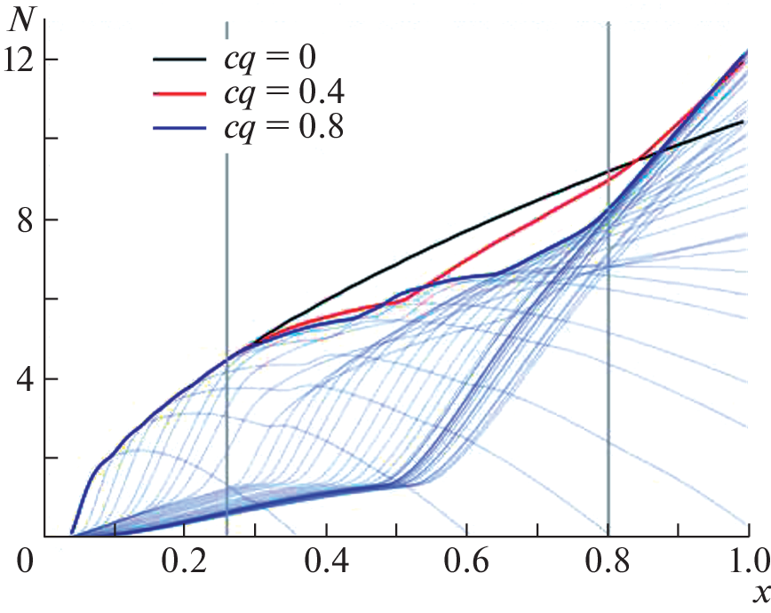
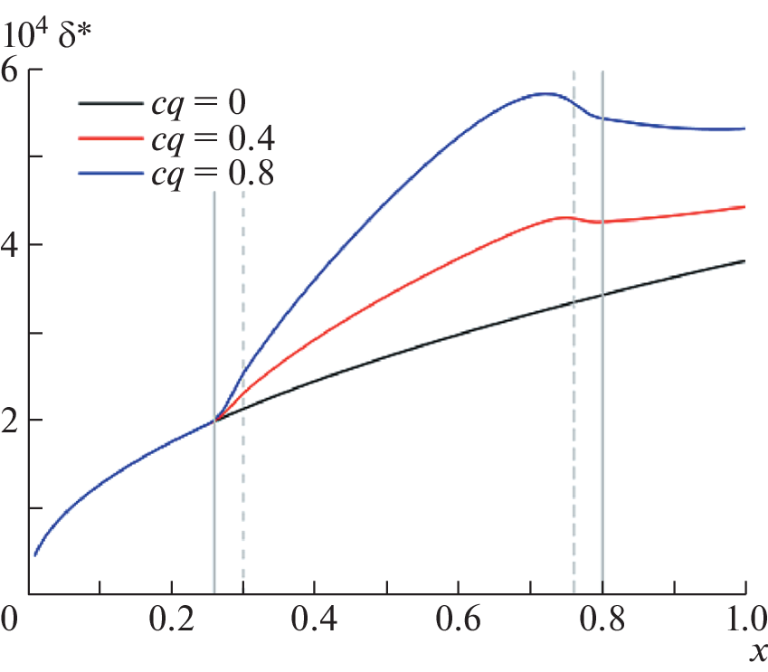
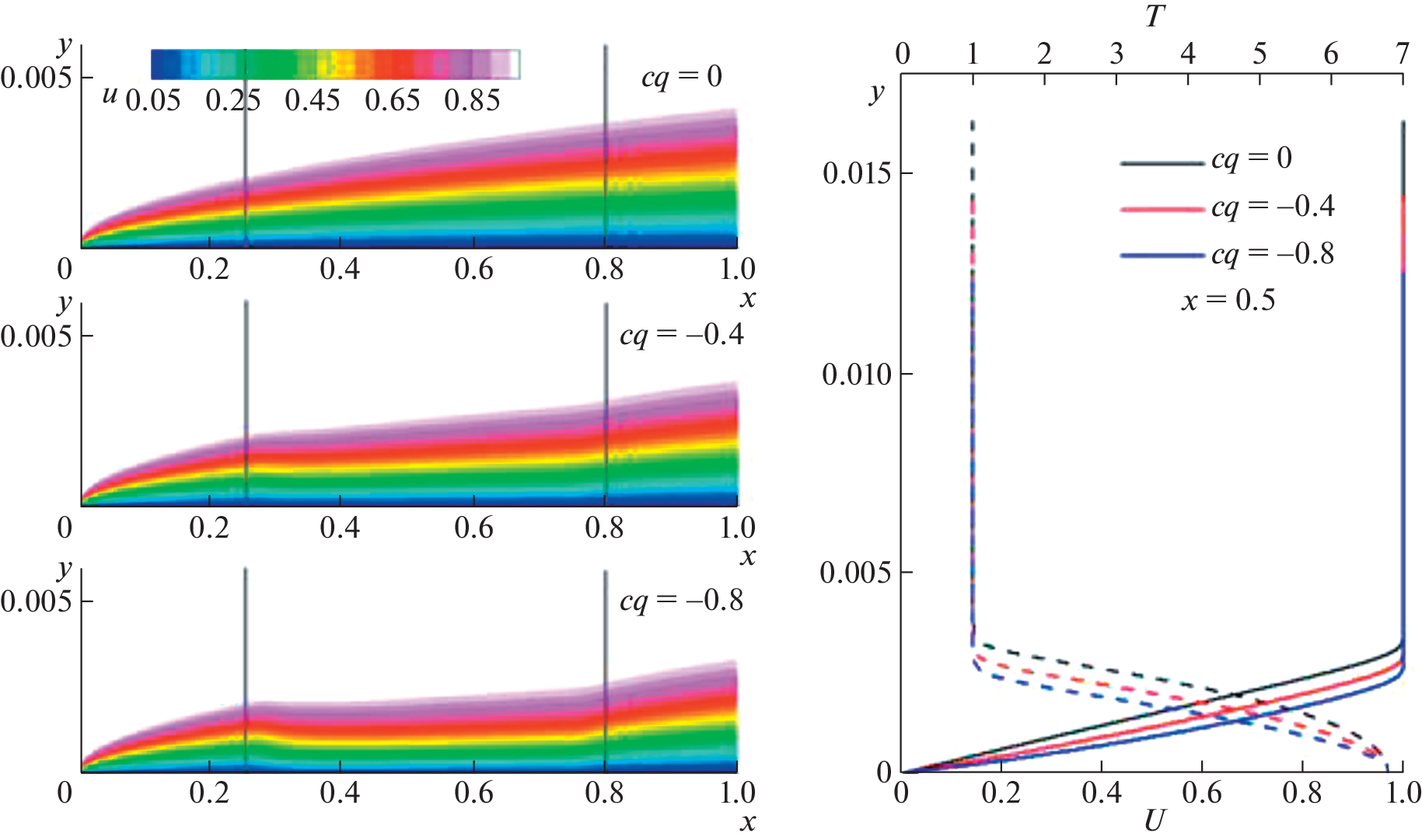
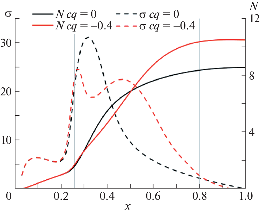
Представлены результаты исследования устойчивости пограничного слоя на плоской пластине с участком выдува/отсоса газа через стенку по нормали к поверхности при большом сверхзвуковом числе Маха набегающего потока. Численное моделирование ламинарного обтекания пластины с участком распределенного выдува/отсоса фиксированной интенсивности производится с помощью интегрирования уравнений Навье–Стокса. Неустойчивые возмущения в искаженном выдувом/отсосом пограничном слое анализируются в рамках линейной теории устойчивости и метода eN для течений сжимаемого газа. Рассмотрены высокочастотные возмущения, относящиеся к плоской второй моде пограничного слоя, наиболее неустойчивые при высоких скоростях. Показано, что выдув/отсос газа приводит к немонотонному изменению инкрементов роста возмущений с появлением областей стабилизации/дестабилизации по сравнению со случаем без выдува/отсоса.
Ключевые слова
Об авторах
А. В. Новиков
Центральный аэрогидродинамический институт им. проф. Н.Е. Жуковского; Московский физико-технический институт (национальный исследовательский университет)
Email: novikov.av@mipt.ru
Россия, Московская обл., Жуковский; Россия, Московская обл., Долгопрудный
А. О. Образ
Центральный аэрогидродинамический институт им. проф. Н.Е. Жуковского; Московский физико-технический институт (национальный исследовательский университет)
Email: obraz.ao@mipt.ru
Россия, Московская обл., Жуковский; Россия, Московская обл., Долгопрудный
Д. А. Тимохин
Московский физико-технический институт (национальный исследовательский университет)
Автор, ответственный за переписку.
Email: timokhin.da@phystech.edu
Россия, Московская обл., Долгопрудный
Список литературы
- Joslin R.D. Overview of Laminar Flow Control // NASA Technical Paper NASA/TP-1998-208705. 1998.
- Mack L.M. On the Inviscid Acoustic-Mode Instability of Supersonic Shear Flows. Part I: Two-Dimensional Waves // AIAA J. V. 27. № 11. November 1989. P. 1487–1493.
- Mack L.M. Boundary-Layer Stability Theory // Special Course on Stability and Transition of laminar Flow/ Ed by R. Michel, AGARD Report. 1984. № 709. P. 3-1 to 3-81.
- Kimmel R.L. Aspects of Hypersonic Boundary-Layer Transition Control // 41st Aerospace Sciences Meeting and Exhibit 6-9 January 2003, Reno, Nevada, AIAA Paper № 2003-772.
- Malik M.R. Prediction and Control of Transition in Supersonic and Hypersonic Boundary layers // AIAA J. V. 27. № 11. November 1989. P. 1487–1493.
- Al-Maaitah A.A., Nayfeh A.H., Masad J.A. Effect of Suction on the Stability of Supersonic Boundary Layers. Part I – Second-Mode Waves // Journal of Fluids Engineering Dec. 1991. V. 113(4). P. 591–597. https://doi.org/10.1115/1.2926520
- Balakumar P. Control of Supersonic Boundary Layers Using Steady Suction // 36th AIAA Fluid Dynamics Conference and Exhibit, Conference Paper 20060022120.
- Егоров И.В., Новиков А.В., Фёдоров А.В. Прямое численное моделирование ламинарно-турбулентного перехода при гиперзвуковых скоростях потока на супер-ЭВМ // ЖВМиМФ. 2017. Т. 57. № 8. С. 1347–1373. https://doi.org/10.7868/S0044466917080063
- Образ А.О., Фёдоров А.В. Пакет программ HSFS для анализа устойчивости сжимаемых пограничных слоев. // Уч. зап. ЦАГИ. 2017. Т. XLVIII. № 3. С. 11–28. https://doi.org/10.1615/TsAGISciJ.2017022797
- Bountin D., Chimitov T., Maslov A., Novikov A., Egorov I., Fedorov A., Utyuzhnikov S. Stabilization of a hypersonic boundary layer using a wavy surface // AIAA J. 2013. V. 51. № 5. P. 1203–1210. https://doi.org/10.2514/1.J052044
- Шлихтинг Г. Теория пограничного слоя. М.: Наука, 1974. 703 с.
Дополнительные файлы










