ЭКСПЕРИМЕНТАЛЬНОЕ ИССЛЕДОВАНИЕ ЭНЕРГОРАЗДЕЛЕНИЯ ПРИ ПОПЕРЕЧНОМ ОБТЕКАНИИ ПАРЫ КРУГОВЫХ ЦИЛИНДРОВ СЖИМАЕМЫМ ПОТОКОМ ВОЗДУХА
- Авторы: Виноградов Ю.А.1, Здитовец А.Г.1, Киселёв Н.А.1, Попович С.С.1
-
Учреждения:
- МГУ им. М.В. Ломоносова, Научно-исследовательский институт механики
- Выпуск: № 2 (2023)
- Страницы: 102-112
- Раздел: Статьи
- URL: https://bakhtiniada.ru/1024-7084/article/view/135079
- DOI: https://doi.org/10.31857/S0568528122600904
- EDN: https://elibrary.ru/NTSOFA
- ID: 135079
Цитировать
Полный текст
Аннотация
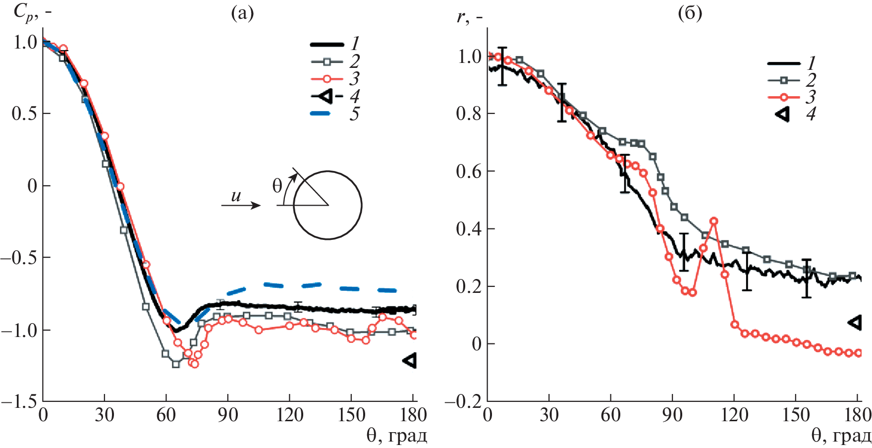
Экспериментально исследовано влияние расстояния между двумя поперечно обтекаемыми круговыми цилиндрами на распределение температуры и статического давления по их поверхности. Исследования проводились при числах Маха набегающего потока \({\text{M}} = 0.295\) и 0.365 и числах Рейнольдса \({\text{R}}{{{\text{e}}}_{{\text{D}}}} = 6.4 \times {{10}^{4}}\) и 7.9 × 104 соответственно. Получено распределение коэффициентов давления и восстановления температуры на поверхности одного из цилиндров. Показано, что в зависимости от расстояния между цилиндрами коэффициенты давления и восстановления температуры могут быть как больше, так и меньше значений, полученных при обтекании одиночного цилиндра при идентичных параметрах набегающего потока.
Об авторах
Ю. А. Виноградов
МГУ им. М.В. Ломоносова, Научно-исследовательский институт механики
Email: vinograd@imec.msu.ru
Россия, Москва
А. Г. Здитовец
МГУ им. М.В. Ломоносова, Научно-исследовательский институт механики
Email: zditovets@mail.ru
Россия, Москва
Н. А. Киселёв
МГУ им. М.В. Ломоносова, Научно-исследовательский институт механики
Email: kiselev.nick.a@gmail.com
Россия, Москва
С. С. Попович
МГУ им. М.В. Ломоносова, Научно-исследовательский институт механики
Автор, ответственный за переписку.
Email: pss1@mail.ru
Россия, Москва
Список литературы
- Eckert E.R.G. Energy separation in fluid streams // Int. Commun. Heat Mass Transf. 1986. V. 13. № 2. P. 127–143. https://doi.org/10.1016/0735-1933(86)90053-9
- Eiamsa-ard S., Promvonge P. Review of Ranque–Hilsch effects in vortex tubes // Renew. Sust. Energ. Rev. 2008. V. 2. № 7. P. 1822–1842. https://doi.org/10.1016/j.rser.2007.03.006
- Raman G., Srinivasan K. The powered resonance tube: From Hartmann’s discovery to current active flow control applications // Prog. Aerosp. Scie. 2009. V. 45. № 4–5. P. 97–123. https://doi.org/10.1016/j.paerosci.2009.05.001
- Леонтьев А.И. Температурная стратификация сверхзвукового газового потока // ДАН. 1997. Т. 354. № 4. С. 475–477.
- Golubkina I.V., Osiptsov A.N., Compressible gas-droplet flow and heat transfer behind a condensation shock in an expanding channel // Int. J. Therm. Sci. 2022. V. 179. P. 107576. https://doi.org/10.1016/j.ijthermalsci.2022.107576
- Leontiev A.I., Zditovets A.G., Vinogradov Y.A., Strongin M.M., Kiselev N.A. Experimental investigation of the machine-free method of temperature separation of air flows based on the energy separation effect in a compressible boundary layer // Exp. Therm. Fluid Sci. 2017. V. 88. P. 202–219. https://doi.org/10.1016/j.expthermflusci.2017.05.021
- Вигдорович И.И., Леонтьев А.И. Энергоразделение газов с малыми и большими числами Прандтля // Изв. РАН. МЖГ. 2013. № 6. С. 117–134.
- Vinogradov Y.A., Zditovets A.G., Leontiev A.I., Popovich S.S., Strongin M.M. Experimental research of shock wave processes influence on machineless gas flow energy separation effect // J. Phys. Conf. Ser. 2017. V. 891. № 1. P. 012080. https://doi.org/10.1088/1742-6596/891/1/012080
- Макаров М.С., Макарова С.Н. Эффективность энергоразделения при течении сжимаемого газа в плоском канале // Теплофизика и аэромеханика. 2013. Т. 20. № 6. С. 777–787.
- Leontiev A.I., Zditovets A.G., Kiselev N.A., Vinogradov Y.A., Strongin M.M. Experimental investigation of energy (temperature) separation of a high-velocity air flow in a cylindrical channel with a permeable wall // Exp. Therm. Fluid Sci. 2019. V. 105. P. 206–215. https://doi.org/10.1016/j.expthermflusci.2019.04.002
- Khazov D.E., Leontiev A.I., Zditovets A.G., Kiselev N.A., Vinogradov Y.A. Energy separation in a channel with permeable wall // Energy. 2022. V. 239. P. 122427. https://doi.org/10.1016/j.energy.2021.122427
- Бирюк В.В., Веретенников С.В., Гурьянов А.И., Пиралишвили Ш.А. Вихревой эффект. Технические приложения. М: ООО “Научтехлитиздат”, 2014. 216 c. ISBN:978-5-93728-143-2.
- Eckert E., Weise W. Messungen der temperaturverteilung auf der oberflache schnell angestromter unbeheizter korper // Forsch. Geb. Ing. Wesen. 1942. V. 13. № 6. P. 246–254. https://doi.org/10.1007/BF02585343
- Ryan L.F. Experiments on Aerodynamic CoolingExperiments on aerodynamic cooling. PhD thesis. Swiss Federal Institute of Technology. Zurich. 1951. https://doi.org/10.3929/ethz-a-000092033
- Popovich S.S., Kiselev N.A., Zditovets A.G., Vinogradov Y.A. Experimental study of the adiabatic wall temperature of a cylinder in a supersonic cross flow // J. Phys. Conf. Ser. 2021. V. 2039. № 1. P. 012029. https://doi.org/10.1088/1742-6596/2039/1/012029
- Попович С.С., Леонтьев А.И., Лущик В.Г., Макарова М.С. Коэффициент восстановления температуры в сжимаемом турбулентном пограничном слое // Теплофиз. выс. темп. 2022. Т. 60. № 3. С. 455–480. https://doi.org/10.31857/S0040364422030115
- Thomann H. Measurements of the recovery temperature in the wake of a cylinder and of a wedge at Mach numbers between 0.5 and 3. Tech. Rep. Report 84, National Aeronautical Research Institute (FFA), Sweden, 1959.
- Kurosaka M., Gertz J.B., Graham J.E., Goodman J.R., Sundaram P., Riner W.C., Kuroda H., Hankey W.L. Energy separation in vortex street // J. Fluid Mech. 1987. V. 178. P. 1–29. https://doi.org/10.1017/S0022112087001095
- Kulkarni K.S., Goldstein R.J. Energy separation in the wake of a cylinder: Effect of Reynolds number and acoustic resonance // Int. J. Heat Mass Transf. 2009. V. 52. № 17–18. P. 3994–4000. https://doi.org/10.1016/j.ijheatmasstransfer.2009.03.024
- Burazer J. Energy separation in transient and steady-state flow across the cylinder // J. Theor. Appl. Mech. 2018. V. 45. № 1. P. 83–94. https://doi.org/10.2298/TAM171130006B
- Aleksyuk A.I., Osiptsov A.N. Direct numerical simulation of energy separation effect in the near wake behind a circular cylinder // Int. J. Heat Mass Transf. 2018. V. 119. P. 665–677. https://doi.org/10.1016/j.ijheatmasstransfer.2017.11.133
- Aleksyuk A.I. The Eckert–Weise effect and energy separation under the f low interference behind side-by-side cylinders // J. Fluid Mech. 2021. V. 915. P. A95. https://doi.org/10.1017/jfm.2021.128
- Алексюк А.И. Области пониженной полной энтальпии в ближнем следе за телом в потоке вязкого газа // Изв. РАН. МЖГ. 2022. № 1. С. 69–80. https://doi.org/10.31857/S0568528122010017
- Aleksyuk A.I. Influence of vortex street structure on the efficiency of energy separation // Int. J. Heat Mass Transf. 2019. V. 135. P. 284–293. https://doi.org/10.1016/j.ijheatmasstransfer.2019.01.103
- Zdravkovich M.M. The effects of interference between circular cylinders in cross flow // J. Fluids Struct. 1987. V. 1. № 2. P. 239–261. https://doi.org/10.1016/S0889-9746(87)90355-0
- Shapiro A.H. The Dynamics and Thermodynamics of Compressible Fluid Flow. New York: The Ronald Press Company. Vol. 1. 1953.
- ГОСТ Р 54500.3-2011 / Руководство ИСО/МЭК 98-3:2008 https://docs.cntd.ru/document/1200088855
- Williamson C.H.K. Vortex Dynamics in the Cylinder Wake // Annu. Rev. Fluid Mech. 1996. V. 28. № 1. P. 477–539. https://doi.org/10.1146/annurev.fl.28.010196.002401
- Szepessy S., Bearman P.W. Aspect ratio and end plate effects on vortex shedding from a circular cylinder // J. Fluid Mech. 1992. V. 234. № 1. P. 191. https://doi.org/10.1017/S0022112092000752
- Nagata T., Noguchi A., Kusama K., Nonomura T., Komuro A., Ando A., Asai K. Experimental investigation on compressible flow over a circular cylinder at Reynolds number of between 1000 and 5000 // J. Fluid Mech. 2020. V. 893. P. A13. https://doi.org/10.1017/jfm.2020.221
- Mahbub Alam M., Moriya M., Sakamoto H. Aerodynamic characteristics of two side-by-side circular cylinders and application of wavelet analysis on the switching phenomenon // J. Fluids Struct. 2003. V. 18 № 3–4. P. 325–346. https://doi.org/10.1016/j.jfluidstructs.2003.07.005
Дополнительные файлы








