КАСАТЕЛЬНОЕ НАПРЯЖЕНИЕ СДВИГА ПРИ КОЛЕБАТЕЛЬНОМ ТЕЧЕНИИ ВЯЗКОУПРУГОЙ НЕСЖИМАЕМОЙ ЖИДКОСТИ В ПЛОСКОМ КАНАЛЕ
- Авторы: Наврузов К.1, Шарипова Ш.Б.1
-
Учреждения:
- Ургенчский государственный университет
- Выпуск: № 3 (2023)
- Страницы: 47-58
- Раздел: Статьи
- URL: https://bakhtiniada.ru/1024-7084/article/view/135073
- DOI: https://doi.org/10.31857/S1024708422600610
- EDN: https://elibrary.ru/VJZRHK
- ID: 135073
Цитировать
Полный текст
Аннотация
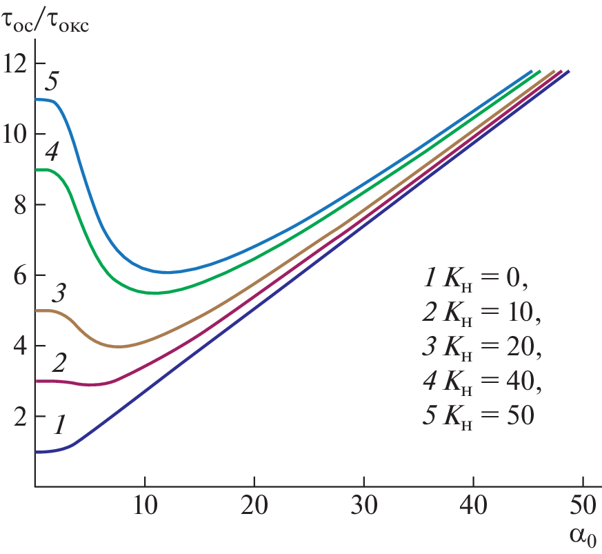
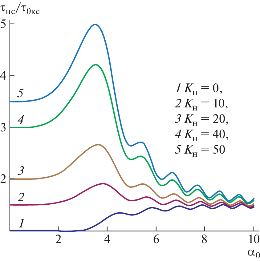
Решены задачи о колебательном течении вязкоупругой несжимаемой жидкости в плоском канале при заданном гармоническом колебании расхода жидкости. Определена передаточная функция (амплитудно-фазовой частотной характеристики). С помощью этой функции определено влияние частоты колебаний ускорения и релаксационных свойств жидкости на отношение касательного напряжения сдвига на стенке канала к средней скорости по сечению канала. Показано, что вязкоупругие свойства жидкости, а также ее ускорение являются ограничивающими факторами для использования квазистационарного подхода. Найденные формулы для определения передаточной функции при течении вязкоупругой жидкости в нестационарном потоке позволяют определить диссипации механической энергии в нестационарном потоке среды, имеющие важные значения при расчете регулирования гидро-и пневмосистем.
Ключевые слова
Об авторах
К. Наврузов
Ургенчский государственный университет
Email: shohistasharipova0@gmail.com
Узбекистан, Ургенч
Ш. Б. Шарипова
Ургенчский государственный университет
Автор, ответственный за переписку.
Email: shohistasharipova0@gmail.com
Узбекистан, Ургенч
Список литературы
- Marx U., Wallis H., Hoffmann S., Linder G., Harland R., Sonntag F., Klotzbach U., Sakharov D., Tonevitskiy A., Lonster R. “Homan-on-a-Chip” developments: a translational cutting-edge alternative to systemic safety assessment and effecting evacuation in laboratory animals and man? // ATLA 2012. V. 40. P. 235–257.
- Inman W., Domanskiy K., Serdy J., Ovens B., Trimper D., Griffith L.G. Dishing modeling and fabrication of a constant flow pneumatic micropump //J. Micromech. Microeng. 2007. V. 17. P. 891–899.
- Акилов Ж.А. Нестационарные движения вязкоупругих жидкостей. Ташкент: Фан. 1982. 104 с.
- Хужаеров Б.Х. Реологические свойства смесей. Самарканд: Согдиана. 2000.
- Мирзаджанзаде А.Х., Караев А.К., Ширинзаде С.А. Гидравлика в бурении и цементировании нефтяных и газовых скважин. М.: Недра, 1977. 232 с.
- Громека И.С. К теории движения жидкости в узких цилиндрических трубках. Собр. соч. М.: 1952. С. 149–171.
- Громека И.С. О скорости распространения волнообразного движения жидкости в упругих трубах // Собр. соч. М.: 1952. С. 172–183.
- Crandall I.B. Theory of vibrating systems and sounds. D. Van. Nostrand Co., New York. 1926.
- Lambossy P. Oscillations foresees dun liquids incompressible et visqulux dans un tube rigide et horizontal calculi de IA force de frottement // Helv. Physiol. Acta. 25. 1952. P. 371–386.
- Womersly J.R. Method for the calculation of velocity rate of flow and viscous drag in arteries when the pressure gradient is known // J. Physiol. 1955. N 3. P. 553–563.
- Richardson E.G., Tyler E. The transverse Velocity gradient neat the mothe of pipes in which an alternating or continuous flow of air is established // Pros. Phys. Soc. London: 1929. V. 42.
- Попов Д.Н., Мохов И.Г. Экспериментальное исследование профилей местных скоростей в трубе при колебаниях расхода вязкой жидкости //Изв. Вузов. Машиностроение. 1971. № 7. С. 91–95.
- Uchida S. The pulsating viscous flow superposed on the stead laminar motion of incompressible fluid in a circular pipe // ZAMP 1956. vol. 7. № 5. P. 403–422.
- Ünsal B., Ray S., Durst F., Ertunç Ö. Pulsating laminar pipe flows with sinusoidal mass flux variations // Fluid Dynamics Research. 2005. vol. 37. P. 317–333.
- Зигель Р., Перлмуттер М. Теплоотдача при пульсирующем течении в канале // Теплопередача. М.: 1962. № 2. С. 18–32.
- Файзуллаев Д.Ф., Наврузов К. Гидродинамика пульсирующих потоков. Ташкент: Фан, 1986. 192 с.
- Валуева Е.П., Пурдин М.С. Гидродинамика и теплообмен пульсирующего ламинарного потока в каналах // Теплоэнергетика. 2015. № 9. С. 24–33.
- Валуева Е.П., Пурдин М.С. Пульсирующее ламинарное течение в прямоугольном канале // Теплофизика и аэродинамика. 2015. Т. 22. № 6. С. 761–773.
- Tsangaris S., Vlachakis N.W. Exact solution of the Navier–Stokes equations for the fully developed, pulsing flow in a rectangular duct with a constant cross-sectional velocity // J. Fluids Eng. 2003. V. 125. P. 382–385.
- Tsangaris S., Vlachakis N.W. Exact solution of the Navier-Stokes equations for the oscillating flow in a duct of a cross-section of right-angled isosceles triangle // ZAMP. 2003. V. 54. P. 1094–1100.
- Tsangaris S., Vlachakis N.W. Exact solution for the pulsating finite gap Dean flow // Appl. Math. Modelling. 2007. V. 31. P. 1899–1906. 21a. Георгиевский Д.В. Оценки экспоненциального затухания возмущений, наложенных на продольные гармонические колебания вязкого слоя // Дифференциальные уравнения. 2020. Т. 56. № 10. С. 1366–1375.
- Jons J.R., Walters T.S. Flow of elastic-viscous liquids in channels under the influence of a periodic pressure gradient // Part 1. Rheol. Acta. 1967. V. 6 P. 240–245.
- Khabakhpasheva E., Popov V., Kekalov A., and Mikhailova E. Pulsating flow of viscoelastic fluids in tubes // J. Non-Newtonian Fluid. Mech. 1989. V. 33(3). P. 289–304.
- Casanellas L., Ortin J. Laminar oscillatory flow of Maxwell and Oldroyd-B fluids// J. Non-Newtonian Fluid. Mechanics. 2011. 166. P. 1315–1326.
- Hassan A.Abu-El and El-Maghawru E.M. Unsteady axial viscoelastic pipe flows of an Oldroyd-B fluid in // Rheology-New concepic . Applications and Methods / Ed by Durairaj R. Published // Tech. 2013. Ch. 6. P. 91–106.
- Akilov Zh.A., Dzhabbarov M.S. and Khuzhayorov B.Kh. Tangential Shear Stress under the Periodic Flow of a Viscoelastic Fluid in a Cylindrical Tube// SSN 0015-4628. Fluid Dynamics. 2021. V. 56. № 2. P. 189–199.
- Ding Z., Jian Y. Electrokinetic oscillatory flow and energy microchannelis: a linear analysis // J. Fluid. Mech. 2021. V. 919. A20. P. 1–31.
- Попов Д.Н. Нестационарные гидромеханические процессы. М.: Машиностроение, 1982. 424 с.
- Астарита Дж., Марруччи Дж. Основы гидромеханики неньютоновских жидкостей. М.: Мир, 1978. 309 с.
- Лойцянский Л.Г. Механика жидкости и газа. М.: Дрофа, 2003. 840 с.
- Колесниченко В.И., Шарифулин А.Н. Введение в механику несжимаемой жидкости. Перим: Изд. Пермского нац. иссл. полит. ун-та, 2019. 127 с.
- Наврузов К. Гидродинамика пульсирующих течений в трубопроводах. Ташкент: Фан, 1986. 112 с.
Дополнительные файлы







