Compressible Flows with Oscillating Boundaries
- Authors: Logvinov O.A.1
-
Affiliations:
- Moscow State University, Mechanics and Mathematics Department
- Issue: No 3 (2023)
- Pages: 36-46
- Section: Articles
- URL: https://bakhtiniada.ru/1024-7084/article/view/135071
- DOI: https://doi.org/10.31857/S1024708422600828
- EDN: https://elibrary.ru/TMPLGN
- ID: 135071
Cite item
Full Text
Abstract
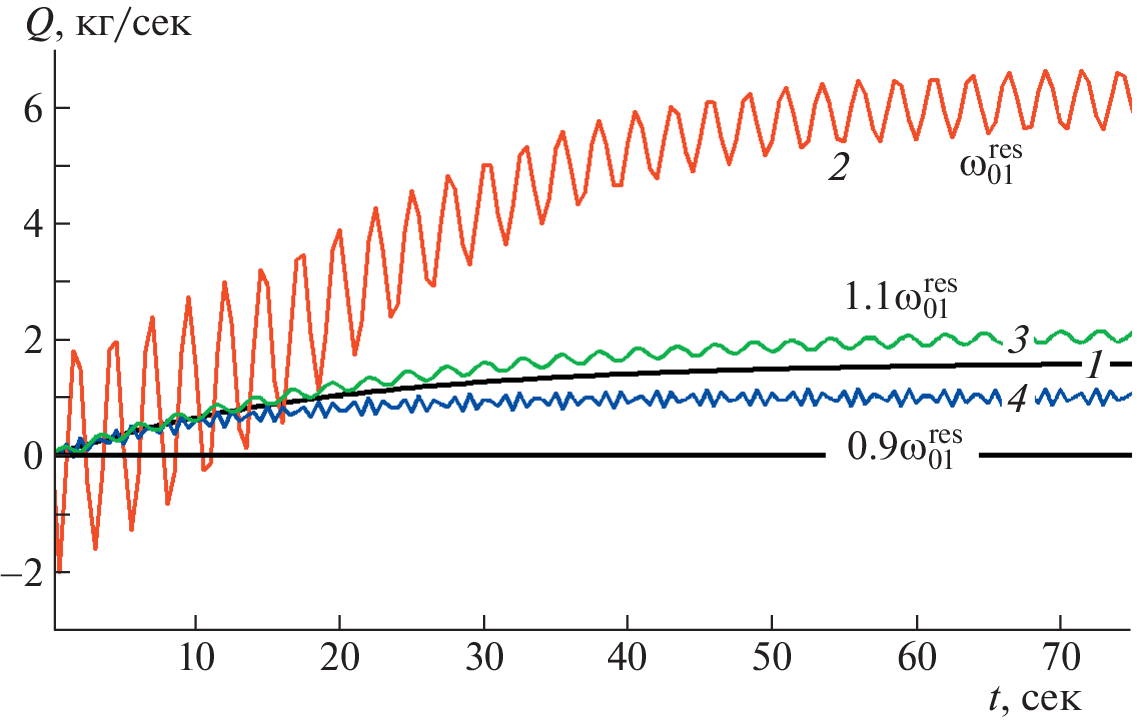
The flow of a viscous compressible heat-conducting fluid in a plane channel with rigid oscillating walls is considered. It is shown that even a vanishingly small compressibility can be the reason for the onset of a resonance, i.e., sharp increase in the amplitude of oscillations of the flow parameters at a properly selected wall oscillation frequency. An exact analytical expression for the leading resonant frequency is given. Numerical calculations have demonstrated the possibility of a cumulative effect, namely, sharp increase in the mass flow rate even at constant pressure gradient.
About the authors
O. A. Logvinov
Moscow State University, Mechanics and Mathematics Department
Author for correspondence.
Email: oleglogvinov@mail.ru
Moscow, Russia
References
- Ганиев О.Р., Ганиев Р.Ф., Звягин А.В., Украинский Л.Е., Устенко И.Г. Повышение нефтеотдачи пластов на основе волноводных эффектов. Немонотонность затухания двумерных волн в волноводе // Спр. инж. журн. 2016. 228. № 3. С. 42–48.
- Ганиев О.Р., Ганиев Р.Ф., Звягин А.В., Украинский Л.Е., Устенко И.Г. Повышение нефтеотдачи пластов на основе волноводных эффектов. Распределение в волноводе силы, действующей на частицы в гармоническом волновом поле // Спр. инж. журн. 2016. 229. № 4. С. 49–56.
- Secomb T.W. Flow in a channel with pulsating walls // J. Fluid. Mech. 1978. V. 88. P. 273–288.
- Hall P., Papageorgiou D.T. The onset of chaos in a class of Navier – Stokes solutions // J. Fluid. Mech. 1999. V. 393. P. 59–87.
- Mingalev S.V., Filippov L.O., Lyubimova T.P. Flow rate in a channel with small-amplitude pulsating walls // Euro. J. Mech. B/Fl. 2015. V. 51. P. 1–7.
- Тукмаков А.Л. Течение газа в плоском канале с вибрирующими стенками // Инж.-физ. журн. 2002. Т. 75. № 6. С. 109–115.
- Smirmov N.N., Shugan I.V., Legros J.C. Streaming flows in a channel with elastic walls // Phys. Fluids. 2002. V. 14. № 10. P. 1–10.
- Bagchi S., Gupta K., Kushari A., Iyengar N.G.R. Experimental study of pressure fluctuations and flow perturbations in air flow through vibrating pipes // J. Sound. Vibr. 2009. V. 328. P. 441–455.
- Logvinov O.A., Malashin A.A. Resonance phenomena in a channel with oscillating walls // Euro. J. Mech. B/Fl. 2020. 83. 205–211.
- Ковеня В.М., Яненко Н.Н. Метод расщепления в задачах газовой динамики. Новосибирск: Наука, 1981. 304 с.
Supplementary files








