Effect of Confinement of Flow by Side Walls on the Cross Flow
- Authors: Dushina O.A.1, Kalinin E.I.1,2, Klyuev M.A.1,2, Mazo A.B.1,2, Molochnikov V.M.1,2
-
Affiliations:
- Federal Research Center “Kazan Scientific Center of the Russian Academy of Sciences
- Kazan (Privolzhskii) Federal University, Kazan, Russia Tupolev Kazan National Research Technical University (KAI)
- Issue: No 1 (2023)
- Pages: 97-114
- Section: Articles
- URL: https://bakhtiniada.ru/1024-7084/article/view/135055
- DOI: https://doi.org/10.31857/S0568528122600448
- EDN: https://elibrary.ru/AIEIPR
- ID: 135055
Cite item
Full Text
Abstract
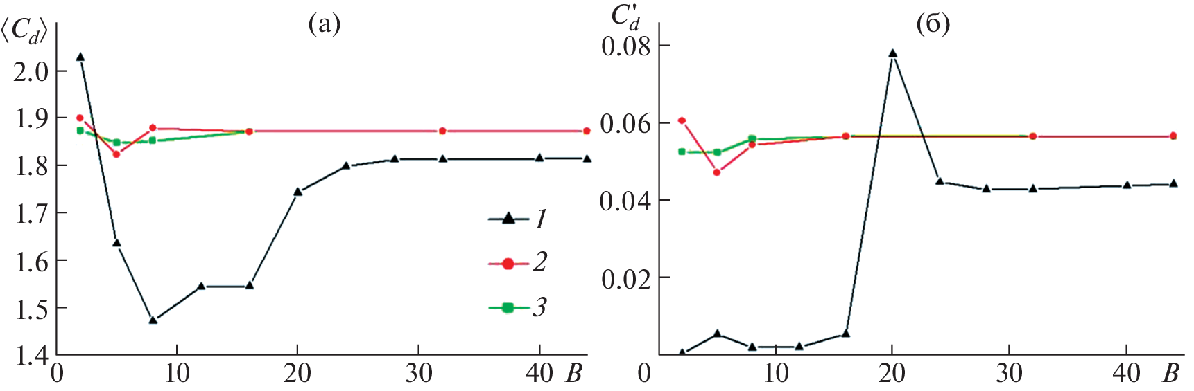
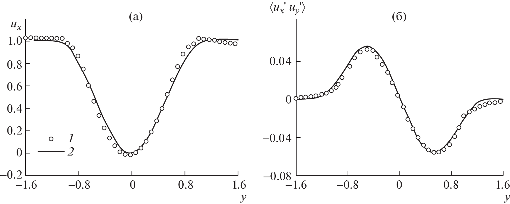
The effect of confinement of flow over the transversal coordinate on cross flow past a circular cylinder at the Reynolds numbers from 40 to 255 (based on the cylinder diameter and the undisturbed flow velocity) is studied numerically and experimentally. In the experiments, the cylinder was located in a rectangular channel and, in the case of numerical simulation, three types of the boundary conditions, namely, the periodic boundary conditions and the slip and no-slip conditions were imposed on the side walls confining the flow. Particular attention is concentrated on the vertical flow structure in the cylinder wake. It is shown that spiral vortices that travel in the plane of symmetry of the channel are formed only in the case of no-slip boundary conditions in the region of junction of the cylinder and the side walls. Under their interaction, vortex clusters are formed in the center of channel and some indications to flow turbulization can be observed in the wake. Under the periodic boundary conditions and the slip conditions on the side walls, there are no spiral vortices and, in the Re range from 200 to 250, the A and B modes of three-dimensional instability and turbulence transition are implemented in the cylinder wake. The effect of the channel width and the type of boundary conditions on the side walls on the vortex wake structure behind the cylinder and integral flow parameters is estimated.
About the authors
O. A. Dushina
Federal Research Center “Kazan Scientific Center of the Russian Academy of Sciences
Email: o.a.dushina@mail.ru
Kazan, Russia
E. I. Kalinin
Federal Research Center “Kazan Scientific Center of the Russian Academy of Sciences; Kazan (Privolzhskii) Federal University, Kazan, RussiaTupolev Kazan National Research Technical University (KAI)
Email: kalininei@yandex.ru
Kazan, Russia; Kazan, Russia
M. A. Klyuev
Federal Research Center “Kazan Scientific Center of the Russian Academy of Sciences; Kazan (Privolzhskii) Federal University, Kazan, RussiaTupolev Kazan National Research Technical University (KAI)
Email: yahoo_099@mail.ru
Kazan, Russia; Kazan, Russia
A. B. Mazo
Federal Research Center “Kazan Scientific Center of the Russian Academy of Sciences; Kazan (Privolzhskii) Federal University, Kazan, RussiaTupolev Kazan National Research Technical University (KAI)
Email: abmazo1956@gmail.com
Kazan, Russia; Kazan, Russia
V. M. Molochnikov
Federal Research Center “Kazan Scientific Center of the Russian Academy of Sciences; Kazan (Privolzhskii) Federal University, Kazan, RussiaTupolev Kazan National Research Technical University (KAI)
Author for correspondence.
Email: vmolochnikov@mail.ru
Kazan, Russia; Kazan, Russia
References
- Chang P.K. Separation of Flow, Chapter 1. Oxford: Pergamon Press, 1970. 796 p.
- Zdravkovich M.M. Flow around circular cylinders. Oxford Univ. Press, 1997. 694 p.
- Norberg C. Effects of Reynolds number and a low-intensity freestream turbulence on the flow around a circular cylinder // Chalmers University, Goteborg, Sweden, Technological Publications. 1987. V. 87 (2). P. 1–55.
- Beaudan P., Moin P. Numerical experiments on the flow past a circular cylinder at sub-critical Reynolds number // Report No. TF-62, Department of Mechanical Engineering, Stanford University. 1994.
- Williamson C.H.K. Vortex dynamics in the cylinder wake // Annu. Rev. Fluid Mech. 1996. 28. P. 477–539.
- Schlichting H. Boundary Layer Theory. New York: McGraw Hill Book Co. 1968.
- Van Dyke M. An album of fluid motion. Stanford: Parabolic Press, 1982. 176 p.
- Williamson C.H.K. The natural and forced formation of spot-like ‘vortex dislocations’ in the transition of a wake // J. Fluid Mech. 1992. V. 243. P. 393–441.
- Norberg C. An experimental investigation of the flow around a circular cylinder: influence of aspect ratio // J. Fluid Mech. 1994. V. 258. P. 287–316.
- Strandenes H., Pettersen D., Andersson H.I., Manhart M. Influence of spanwise no-slip boundary conditions on the flow around a cylinder // Comput. Fluids. 2017. Vol. 156. P. 48–57.
- Dou H.S., Ben A.Q. Simulation and instability investigation of the flow around a cylinder between two parallel walls // J. Therm. Sci. 2015. V. 24 (2). P. 140–148.
- Khan N.B., Ibrahim Z., Nguyen L.T., Javed M.F., Jameel M. Numerical investigation of the vortex-induced vibration of an elastically mounted circular cylinder at high Reynolds number (Re= 104) and low mass ratio using the RANS code //PloS ONE. 2017. V. 12 (10), e0185832. https://doi.org/10.1371/journal.pone.0185832
- Pereira F.S., Vaz G., Eça L., Girimaji S.S. Simulation of the flow around a circular cylinder at Re = 3900 with Partially-Averaged Navier–Stokes equations // Int. J. Heat Fluid Flow. 2018. V. 69. P. 234–246.
- Jiang H. Separation angle for flow past a circular cylinder in the subcritical regime // Phys. Fluids. 2020. V. 32. 014106.
- Ma X., Karamanos G.S., Karniadakis G.E. Dynamics and low-dimensionality of a turbulent near wake // J. Fluid Mech. 2000. V. 410. P. 29–65.
- Wissink J.G., Rodi W. Numerical study of the near wake of a circular cylinder // Int. J. Heat Fluid Flow. 2008. V. 29 (4). P. 1060–1070.
- Khan N.B., Ibrahim Z., Badry A.B.B.M, Jameel M., Javed M.F. Numerical investigation of flow around cylinder at Reynolds number= 3900 with large eddy simulation technique: Effect of spanwise length and mesh resolution // Proc. Inst. Mech. Eng., Part M: J. Eng. Maritime Environment. 2019. V. 233 (2). P. 417–427. https://doi.org/10.1177/1475090217751326
- Roshko A. On the development of turbulent wakes from vortex streets. Washington D.C.: NACA Rep. 1191. 1954.
- Thompson M., Hourigan K., Sheridan J. Three-dimensional instabilities in the wake of a circular cylinder // Exp. Therm. Fluid Sci. 1996. V. 12 (2). P. 190–196.
- Zhang H.Q., Fey U., Noack B.R., Konig M., Eckelmann H. On the transition of the cylinder wake // Phys. Fluids. 1995. V. 7 (4). P. 779–794.
- Mittal S., Pandi J.S.S., Hore M. Cellular vortex shedding from a cylinder at low Reynolds number // J. Fluid Mech. 2021. V. 915. A74.
- Fukuoka H., Hirabayashi S., Suzuki H. The effects of free surface and end cell on flow around a finite circular cylinder with low aspect ratio // J. Mar. Sci. Technol. 2016. V. 21 (1). P. 145–153.
- Sarwar W., Mellibovskya F. Characterization of three-dimensional vertical structures in the wake past a circular cylinder in the transitional regime // Phys. Fluids. 2020. V. 32 (7). P. 074104.
- Bhattacharya S. The effect of spatially and temporally modulated plasma actuation on cylinder wake // AIAA Journal. 2020. Vol. 58. P. 3808–3818.
- Coutanceau M., Bouard R. Experimental determination of the main features of the viscous flow in the wake of a circular cylinder in uniform translation. Part 1. Steady flow // J. Fluid Mech. 1977. V. 79 (2). P. 231–256.
- Lee T., Budwig R. A study of the effect of aspect ratio on vortex shedding behind circular cylinders // Phys. Fluids A. 1991. V. 3 (2). P. 309–315.
- Chang Y.S., Chen Y.-J., Qiu Y.-H., Chang C.C., Chu C.-C., Lee F.-S. Source-like patterns of flow past a circular cylinder of finite span at low Reynolds numbers // Phys. Fluids. 2021. V. 33 (8). P.083607.
- Zanin B.Yu., Zverkov I.D., Kozlov V.V., Pavlenko A.M. Vortex structure of separated flows on model wings at low freestream velocities // Fluid Dyn. 2008. V. 43 (6). P. 938–944.
- Boiko A.V., Dovgal A.V., Zanin B.Yu., Kozlov V.V. Three-Dimensional Structure of Separated Flows on Wing Airfoils (An Overview) // Thermophys. Aeromechanics. 1996. V. 3 (1). P. 1–13.
- Zanin B.Y. Separated flows receptivity for external disturbances //AIP Conf. Proc. 2017. V. 1893 (1). P. 020006.
- American National Standards Institute. Measurement of Gas Flow by Means of Critical Flow Venturi Nozzles. American Society of Mechanical Engineers, 1987.
- Mikheev N.I., Dushin N.S. A method for measuring the dynamics of velocity vector fields in a turbulent flow using smoke image-visualization videos // Instrum. Exp. Tech. 2016. V. 59 (6). P. 882–889.
- Mikheev N.I., Goltsman A.E., Saushin I.I., Dushina O.A. Estimation of turbulent energy dissipation in the boundary layer using Smoke Image Velocimetry // Exp. Fluids. 2017. V. 58 (8). Article 97.
- Kalinin E.I., Mazo A.B., Isaev S.A. Composite mesh generator for CFD problems // IOP Conf. Ser.: Materials Sci. Eng. 2016. V. 158. P. 012047.
- Pearson R.A. Consistent boundary conditions for numerical models of system that admit disperse waves // J. Atmos. Sci. 1976. V. 31. P. 1481–1489.
- Nikolas K., Dimokratis G., Starvos K. Three dimensional flow around a circular cylinder confined in a plane channel // Phys. Fluids. 2011. V. 23. P. 064106.
- Singha S., Sinhamahapatra K. Flow past a circular cylinder between parallel walls at low Reynolds numbers // Ocean Eng. 2010. V. 37. P. 757–769.
- Molochnikov V.M., Mazo A.B., Kalinin E.I., Malyukov A.V., Okhotnikov D.I., Dushina O.A. Formation and turbulent breakdown of large-scale vortical structures behind an obstacle in a channel at moderate Reynolds numbers // Phys. Fluids. 2019. V. 31 (10). P. 104.
- Molochnikov V.M., Mazo A.B., Malyukov A.V., Kalinin E.I., Mikheev N.I., Dushina O.A., Paereliy A.A. Distinctive features of vortical structures generation in separated channel flow behind a rib under transition to turbulence // Thermophys. Aeromechanics. 2014. V. 21 (3). P. 309–317.
- Kalinin E., Mazo A., Molochnikov V., Dushina O. Spectral analysis of a vortex wake behind a circular cylinder in a channel at moderate Reynolds numbers // Lobachevskii J. Math. 2021. V. 42 (8). P. 1989–1997.
- Kuzmina S., Ishmuratov F., Zichenkov M., Chedrik V., Amiryants G., Kulesh V., Malyutin V., Chedrik A., Timokhin V., Shalaev S., Chevagin A., Efimov R., Kursakov I., Kuruliuk K., Lysenkov A., Malenko V., Pronin M., Saprykin A. Wind tunnel testing of adaptive wing structures //Morphing Wing Technologies. Large Commercial Aircraft and Civil Helicopters, Butterworth-Heinemann. 2018. P. 713–755. https://doi.org/10.1016/B978-0-08-100964-2.00023-X
- Stansby P.K. The effects of end plates on the base pressure coefficient of a circular cylinder // Aeronaut. J. 1968. V. 78 (757). P. 36–37. https://doi.org/10.1017/S0001924000036319
- Zhogolev D.A., Kopylov A.A., Nikulenko A.A., Sevostyanov S.Ya., Sudakov V.G. An active system for controlling the wing flap flow on a model of a passenger aircraft wing section // J. “Almaz–Antey” Air and Space Defence Corporation. 2020. V. 4. P. 41–46.
Supplementary files




















