Duality of the stream pattern of supersonic viscous gas flow past a blunt-fin junction: effect of a low sweep angle
- Autores: KOLESNIK E.V.1, SMIRNOV E.M.1
-
Afiliações:
- Peter the Great Saint-Petersburg Polytechnic University
- Edição: Nº 1 (2023)
- Páginas: 3-11
- Seção: Articles
- URL: https://bakhtiniada.ru/1024-7084/article/view/135048
- DOI: https://doi.org/10.31857/S0568528122600655
- EDN: https://elibrary.ru/AJONLC
- ID: 135048
Citar
Texto integral
Resumo
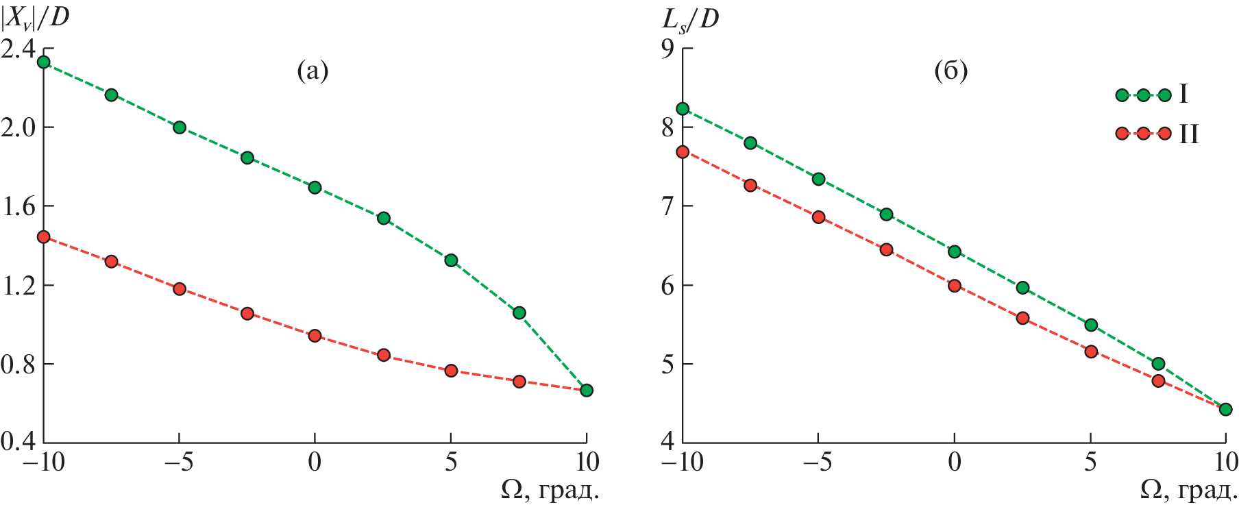
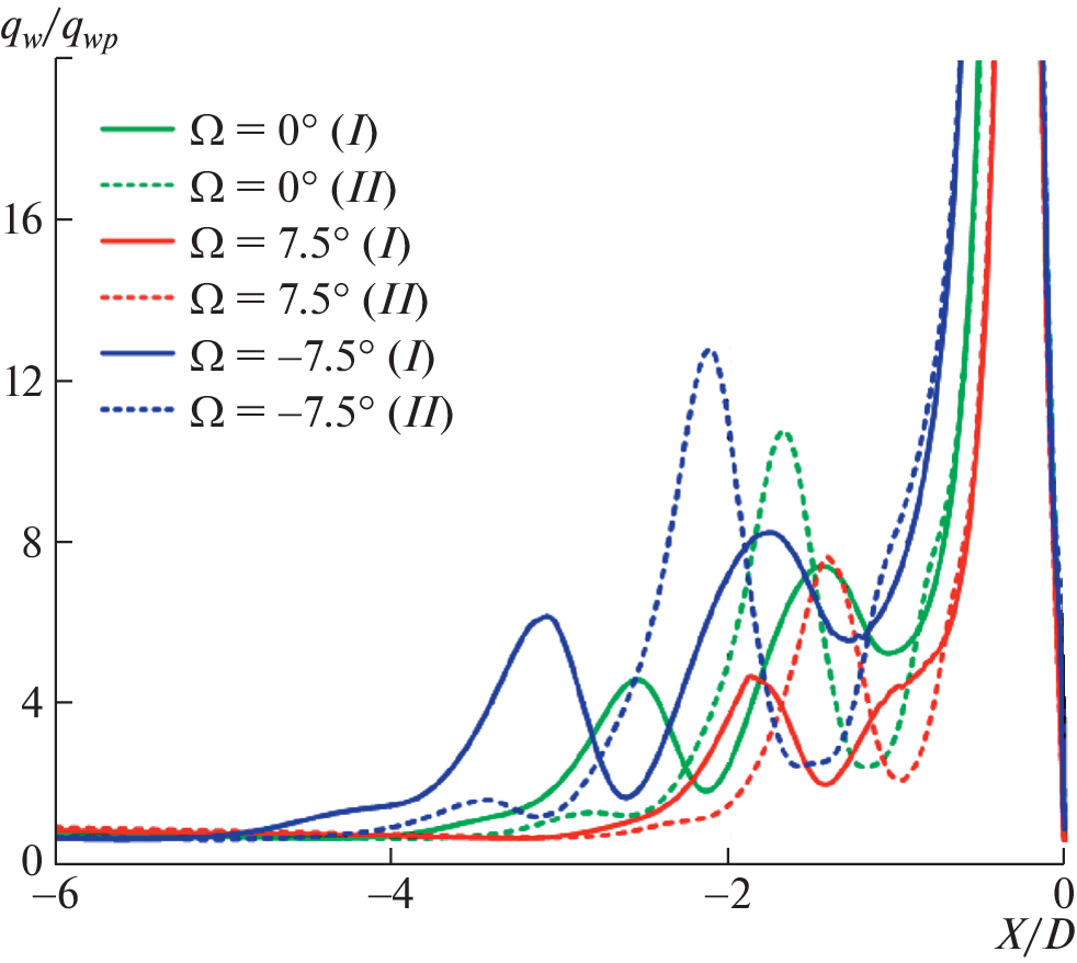
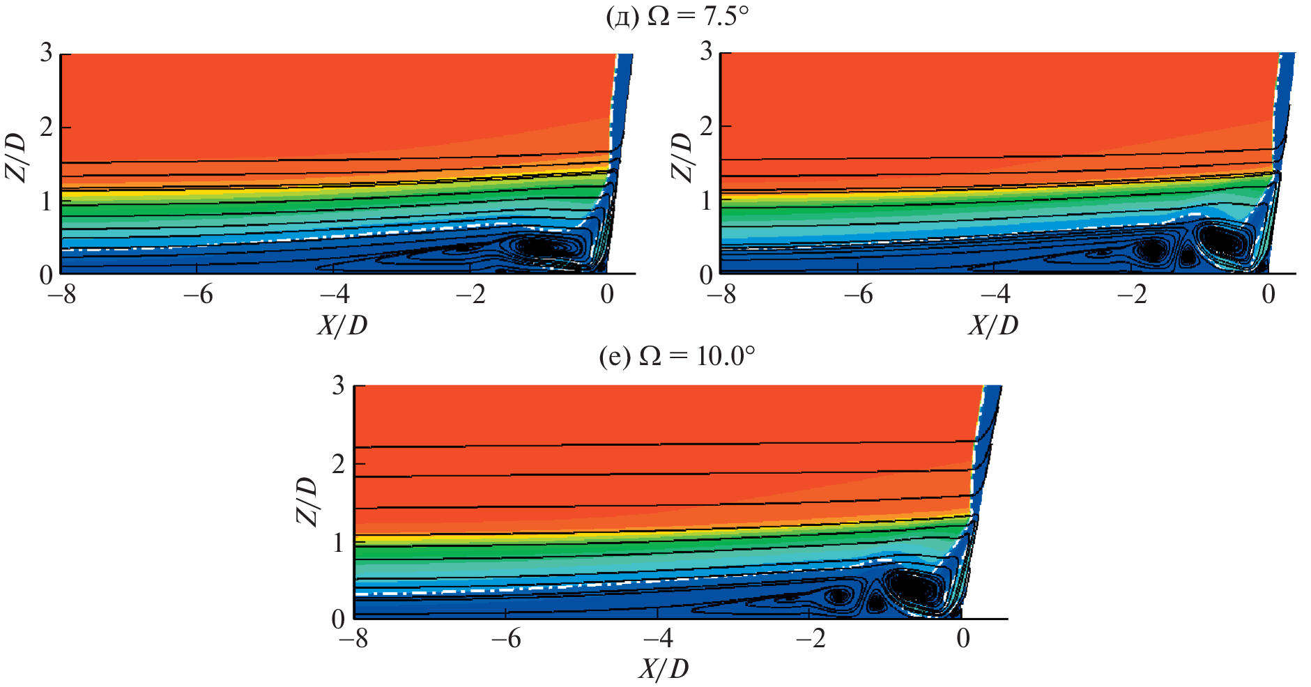
Results of numerical solution of the problem of supersonic flow past a symmetric blunt fin mounted on a plate with a developing boundary layer are presented. Generally, the case considered corresponds to the flow configuration used in the experimental and computational study by Tutty et al. (2013), in which the laminar air flow with the freestream Mach number of 6.7 is considered. Previously, the authors have shown (2020) that for these conditions two stable solutions corresponding to metastable flow states with different configurations of the vortex structure and the pattern of local heat transfer are predicted. In present paper, the influence of a low sweep angle of a blunt leading edge on the vortex structure in the separation region, local heat transfer, and the possibility of obtaining a dual solution are investigated. The bifurcation diagrams showing for two solutions the main horseshoe vortex center location and the length of separation region versus the skew angle are presented.
Sobre autores
E. KOLESNIK
Peter the Great Saint-Petersburg Polytechnic University
Email: kolesnik.ev1@spbstu.ru
Saint-Petersburg, Russia
E. SMIRNOV
Peter the Great Saint-Petersburg Polytechnic University
Autor responsável pela correspondência
Email: kolesnik.ev1@spbstu.ru
Saint-Petersburg, Russia
Bibliografia
- Korkegi R.H. Survey of viscous interactions associated with high Mach number flight // AIAA Journal. 1971. V. 9. № 5. P. 771–784.
- Zheltovodov A. Some Advances in Research of Shock Wave Turbulent Boundary Layer Interactions // 44th AIAA Aerospace Sciences Meeting and Exhibit. Reno, Nevada: American Institute of Aeronautics and Astronautics, 2006.
- Knight D. et al. Advances in CFD prediction of shock wave turbulent boundary layer interactions // Progress in Aerospace Sciences. 2003. V. 39. P. 121–184.
- Dolling D.S. Fifty Years of Shock-Wave/Boundary-Layer Interaction Research: What Next? // AIAA Journal. 2001. V. 39. № 8. P. 1517–1531.
- Schuricht P.H., Roberts G.T. Hypersonic interference heating induced by a blunt fin // AIAA J. 1998. V. 1579. P. 1–9.
- Tutty O.R., Roberts G.T., Schuricht P.H. High-speed laminar flow past a fin-body junction // J. Fluid Mech. 2013. V. 737. P. 19–55.
- Zhuang Y.Q., Lu X.Y. Quasi-periodic Aerodynamic Heating in Blunt-fin Induced Shock Wave/Boundary Layer Interaction // Procedia Eng. 2015. V. 126. P. 134–138.
- Mortazavi M., Knight D. Simulation of Hypersonic-Shock-Wave–Laminar-Boundary-Layer Interaction over Blunt Fin // AIAA Journal. 2019. V. 57. № 8. P. 3506–3523.
- Clemens N.T., Narayanaswamy V. Low-Frequency Unsteadiness of Shock Wave/Turbulent Boundary Layer Interactions // Annu. Rev. Fluid Mech. 2014. V 46. № 1. P. 469–492.
- Combs C.S. et al. Investigating Unsteady Dynamics of Cylinder-Induced Shock-Wave/Transitional Boundary-Layer Interactions // AIAA Journal. 2018. V. 56. № 4. P. 1588–1599.
- Колесник Е.В., Смирнов Е.М. Сверхзвуковое ламинарное обтекание затупленного ребра: двойственность численного решения // Журнал технической физики. 2021. Т. 91. № 5. С. 764–771.
- Гувернюк С.В., Зубков А.Ф., Экспериментальное исследование трехмерного сверхзвукового обтекания осесимметричного тела с кольцевой каверной // ИЗВ. РАН. МЖГ. 2014. Т. 4. С. 136–142.
- Guvernyuk S.V., Zubkov A.F., Simonenko M.M. Experimental Investigation of the Supersonic Flow over an Axisymmetric Ring Cavity // J. Eng. Phys. Thermophy. 2016. V. 89. № 3. P. 678–687.
- Kolesnik E.V., Smirnov E.M. Testing of various schemes with quasi-one-dimensional reconstruction of gasdynamic variables in the case of unstructured-grid calculations // St. Petersburg Polytechnical University Journal: Physics and Mathematics. 2017. V. 3. № 3. P. 259–270.
- Smirnov E.M. et al. Comparison of RANS and IDDES solutions for turbulent flow and heat transfer past a backward-facing step // Heat Mass Transfer. 2018. V. 54. № 8. P. 2231–2241.
- Liou M.-S., Steffen C.J. A New Flux Splitting Scheme // Journal of Computational Physics. 1993. V. 107. № 1. P. 23–39.
- van Albada G.D. van Leer, Roberts W.W. A Comparative Study of Computational Methods in Cosmic Gas Dynamics // Upwind and High-Resolution Schemes. Berlin, Heidelberg: Springer Berlin Heidelberg, 1997. P. 95–103.
- Kolesnik E., Smirnov E., Smirnovsky A. RANS-based numerical simulation of shock wave/turbulent boundary layer interaction induced by a blunted fin normal to a flat plate // Computers & Fluids. 2022. V. 247. P. 105622.
Arquivos suplementares









