Peculiarities of Fear Memory Disturbance in Male and Female Disc1-Q31L Mice
- Autores: Chizhova N.D.1,2, Smirnova K.V.1,2, Dubrovina N.I.1, Kalueff A.V.1,3,4,5,6, Amstislavskaya T.G.1,3
-
Afiliações:
- Scientific Research Institute of Neurosciences and Medicine
- Institute of Cytology and Genetics
- Novosibirsk State University
- Sirius University of Science and Technology
- St. Petersburg State University
- Ural Federal University
- Edição: Volume 109, Nº 12 (2023)
- Páginas: 1898-1907
- Seção: EXPERIMENTAL ARTICLES
- URL: https://bakhtiniada.ru/0869-8139/article/view/233852
- DOI: https://doi.org/10.31857/S0869813923120038
- EDN: https://elibrary.ru/EWSIJJ
- ID: 233852
Citar
Texto integral
Resumo
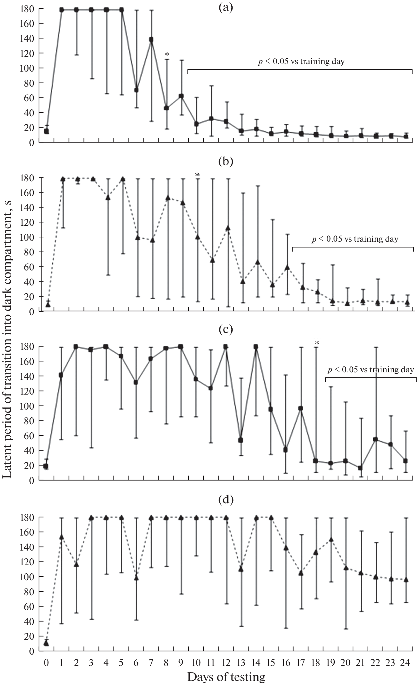
Depressive disorder is the most common psychopathology that can coexist with other mental illnesses such as post-traumatic stress disorder. It has been shown that there are gender differences in susceptibility to these psychopathologies. Mice of the mutant strain Disc1-Q31L are characterized by depressive-like behavior and disruption of the molecular pathways involved in the processes associated with fear memory. Gender and interstrain differences in the processes of learning and extinction of the conditioned response of passive avoidance were studied in male and female Disc1-Q31L mice and control C57BL/6 mice. It was shown that male and female mice of both strains learned equally well the conditioned response of passive avoidance, but differed in fear memory extinction, the ability to form a new safety memory trace in the previously dangerous dark compartment of the setup. However, there was a deficit in the extinction of the conditioned response of passive avoidance in C57BL/6 females compared to males, as well as interstrain differences in the dynamics of extinction in both females and males. Disc1-Q31L males reached full extinction later than C57BL/6 males, while Disc1-Q31L females did not exhibit extinction during the 24 days of the test. Thus, this work shows the interaction of the effect of gender and the Disc1-Q31L mutation on the processes of fear memory extinction.
Palavras-chave
Sobre autores
N. Chizhova
Scientific Research Institute of Neurosciences and Medicine; Institute of Cytology and Genetics
Autor responsável pela correspondência
Email: chnadezhda1995@gmail.com
Russia, Novosibirsk; Russia, Novosibirsk
K. Smirnova
Scientific Research Institute of Neurosciences and Medicine; Institute of Cytology and Genetics
Autor responsável pela correspondência
Email: vedelina@mail.ru
Russia, Novosibirsk; Russia, Novosibirsk
N. Dubrovina
Scientific Research Institute of Neurosciences and Medicine
Email: vedelina@mail.ru
Russia, Novosibirsk
A. Kalueff
Scientific Research Institute of Neurosciences and Medicine; Novosibirsk State University; Sirius University of Science and Technology; St. Petersburg State University; Ural Federal University
Email: vedelina@mail.ru
Russia, Novosibirsk; Russia, Novosibirsk; Russia, Sochi; Russia, St. Petersburg; Russia, Yekaterinburg
T. Amstislavskaya
Scientific Research Institute of Neurosciences and Medicine; Novosibirsk State University
Email: vedelina@mail.ru
Russia, Novosibirsk; Russia, Novosibirsk
Bibliografia
- Malhi GS, Mann JJ (2018) Depression. Lancet 392: 2299–2312. https://doi.org/10.1016/S0140-6736(18)31948-2
- Pu S, Setoyama S, Noda T (2017) Association between cognitive deficits and suicidal ideation in patients with major depressive disorder. Sci Rep 7: 11637. https://doi.org/10.1038/s41598-017-12142-8
- Castelpietra G, Knudsen AKS, Agardh EE, Armocida B, Beghi M, Iburg KM, Logroscino G, Ma R, Starace F, Steel N, Addolorato G, Andrei CL, Andrei T, Ayuso-Mateos JL, Banach M, Bärnighausen TW, Barone-Adesi F, Bhagavathula AS, Carvalho F, Carvalho M, Chandan JS, Chattu VK, Couto RAS, Cruz-Martins N, Dargan PI, Deuba K, da Silva DD, Fagbamigbe AF, Fernandes E, Ferrara P, Fischer F, Gaal PA, Gialluisi A, Haagsma JA, Haro JM, Hasan MT, Hasan SS, Hostiuc S, Iacoviello L, Iavicoli I, Jamshidi E, Jonas JB, Joo T, Jozwiak JJ, Katikireddi SV, Kauppila JH, Khan MAB, Kisa A, Kisa S, Kivimäki M, Koly KN, Koyanagi A, Kumar M, Lallukka T, Langguth B, Ledda C, Lee PH, Lega I, Linehan C, Loureiro JA, Madureira-Carvalho ÁM, Martinez-Raga J, Mathur MR, McGrath JJ, Mechili EA, Mentis A-FA, Mestrovic T, Miazgowski B, Mirica A, Mirijello A, Moazen B, Mohammed S, Mulita F, Nagel G, Negoi I, Negoi RI, Nwatah VE, Padron-Monedero A, Panda-Jonas S, Pardhan S, Pasovic M, Patel J, Petcu I-R, Pinheiro M, Pollok RCG, Postma MJ, Rawaf DL, Rawaf S, Romero-Rodríguez E, Ronfani L, Sagoe D, Sanmarchi F, Schaub MP, Sharew NT, Shiri R, Shokraneh F, Sigfusdottir ID, Silva JP, Silva R, Socea B, Szócska M, Tabarés-Seisdedos R, Torrado M, Tovani-Palone MR, Vasankari TJ, Veroux M, Viner RM, Werdecker A, Winkler AS, Hay SI, Ferrari AJ, Naghavi M, Allebeck P, Monasta L (2022) The burden of mental disorders, substance use disorders and self-harm among young people in Europe, 1990–2019: Findings from the Global Burden of Disease Study 2019. Lancet Reg Heal – Eur 16: 100341. https://doi.org/10.1016/j.lanepe.2022.100341
- Willner P (1984) The validity of animal models of depression. Psychopharmacology (Berl) 83: 1–16. https://doi.org/10.1007/BF00427414
- Becker M, Pinhasov A, Ornoy A (2021) Animal Models of Depression: What Can They Teach Us about the Human Disease? Diagnostics 11: 123. https://doi.org/10.3390/diagnostics11010123
- Song J, Kim Y (2021) Animal models for the study of depressive disorder. CNS Neurosci Ther 27: 633–642. https://doi.org/10.1111/cns.13622
- Serykh A, Khrapova MV., Dubrovina NI, Petrova ES, Mikhnevich N, Starostina MV, Amstislavskaya TG, Lipina TV (2020) The increased density of the habenular neurons, high impulsivity, aggression and resistant fear memory in Disc1-Q31L genetic mouse model of depression. Behav Brain Res 392: 112693. https://doi.org/10.1016/j.bbr.2020.112693
- Roley ME, Claycomb MA, Contractor AA, Dranger P, Armour C, Elhai JD (2015) The relationship between rumination, PTSD, and depression symptoms. J Affect Disord 180: 116–121. https://doi.org/10.1016/j.jad.2015.04.006
- Tomoda T, Sumitomo A, Jaaro-Peled H, Sawa A (2016) Utility and validity of DISC1 mouse models in biological psychiatry. Neuroscience 321: 99–107. https://doi.org/10.1016/j.neuroscience.2015.12.061
- Lipina TV, Roder JC (2014) Disrupted-In-Schizophrenia-1 (DISC1) interactome and mental disorders: Impact of mouse models. Neurosci Biobehav Rev 45: 271–294. https://doi.org/10.1016/j.neubiorev.2014.07.001
- Clapcote SJ, Lipina TV, Millar JK, Mackie S, Christie S, Ogawa F, Lerch JP, Trimble K, Uchiyama M, Sakuraba Y, Kaneda H, Shiroishi T, Houslay MD, Henkelman RM, Sled JG, Gondo Y, Porteous DJ, Roder JCC (2007) Behavioral Phenotypes of Disc1 Missense Mutations in Mice. Neuron 54: 387–402. https://doi.org/10.1016/j.neuron.2007.04.015
- Bouton ME, Maren S, McNally GP (2021) Behavioral and neurobiological mechanisms of pavlovian and instrumental extinction learning. Physiol Rev 101: 611–681. https://doi.org/10.1152/physrev.00016.2020
- Bentefour Y, Bennis M, Garcia R, M’hamed SB (2015) Effects of paroxetine on PTSD-like symptoms in mice. Psychopharmacology (Berl) 232: 2303–2312. https://doi.org/10.1007/s00213-014-3861-2
- Colom-Lapetina J, Li AJ, Pelegrina-Perez TC, Shansky RM (2019) Behavioral Diversity Across Classic Rodent Models Is Sex-Dependent. Front Behav Neurosci 13: 45. https://doi.org/10.3389/fnbeh.2019.00045
- Velasco ER, Florido A, Milad MR, Andero R (2019) Sex differences in fear extinction. Neurosci Biobehav Rev 103: 81–108. https://doi.org/10.1016/j.neubiorev.2019.05.020
- Petrova E, Gromova A, Anisimenko M, Ruban L, Egorova S, Petrovskaya I, Amstislavskaya T, Lipina T (2018) Maintenance of Genetically Modified Mouse Lines: Input to the Development of Bio-Collections In Russia. Lab Anim Sci Res 1. https://doi.org/10.29296/2618723X-2018-02-01
- Dubrovina NI, Khrapova MV, Lipina TV (2018) Characteristics of the Formation of Memories Relating to Fear in Mice with Depression- and Schizophrenia-Like Phenotypes: Effects of Gender and Age. Neurosci Behav Physiol 48: 488–495. https://doi.org/10.1007/s11055-018-0590-8
- Gobinath AR, Mahmoud R, Galea LAM (2015) Influence of sex and stress exposure across the lifespan on endophenotypes of depression: focus on behavior, glucocorticoids, and hippocampus. Front Neurosci 8. https://doi.org/10.3389/fnins.2014.00420
- Bangasser DA, Valentino RJ (2014) Sex differences in stress-related psychiatric disorders: Neurobiological perspectives. Front Neuroendocrinol 35: 303–319. https://doi.org/10.1016/j.yfrne.2014.03.008
- Greiner EM, Müller I, Norris MR, Ng KH, Sangha S (2019) Sex differences in fear regulation and reward-seeking behaviors in a fear-safety-reward discrimination task. Behav Brain Res 368: 111903. https://doi.org/10.1016/j.bbr.2019.111903
- McGirr A, Lipina T V, Mun H-S, Georgiou J, Al-Amri AH, Ng E, Zhai D, Elliott C, Cameron RT, Mullins JG, Liu F, Baillie GS, Clapcote SJ, Roder JC (2016) Specific Inhibition of Phosphodiesterase-4B Results in Anxiolysis and Facilitates Memory Acquisition. Neuropsychopharmacology 41: 1080–1092. https://doi.org/10.1038/npp.2015.240
- Lipina TV, Fletcher PJ, Lee FH, Wong AH, Roder JC (2013) Disrupted-In-Schizophrenia-1 Gln31Leu Polymorphism Results in Social Anhedonia Associated with Monoaminergic Imbalance and Reduction of CREB and β-arrestin-1,2 in the Nucleus Accumbens in a Mouse Model of Depression. Neuropsychopharmacology 38: 423–436. https://doi.org/10.1038/npp.2012.197
- Чижова НД, Смирнова КВ, Дубровина НИ, Липина ТВ (2023) Половые и линейные различия у мышей DISC1-L100P и C57BL/6 в угашении условной реакции пассивного избегания. Журн высш нервн деятельн им ИП Павлова 73: 425–432. [Chizhova ND, Smirnova KV, Dubrovina NI, Lipina TV (2023) Sex and linear differences in DISC1-L100P and C57BL/6 mice in the extinction of the conditioned passive avoidance response. J Higher Nerve Activity IP Pavlova 73: 425–432. (In Russ)]. https://doi.org/10.31857/S004446772303005X
- Savitz JB, Nugent AC, Bogers W, Roiser JP, Bain EE, Neumeister A, Zarate CA, Manji HK, Cannon DM, Marrett S, Henn F, Charney DS, Drevets WC (2011) Habenula Volume in Bipolar Disorder and Major Depressive Disorder: A High-Resolution Magnetic Resonance Imaging Study. Biol Psychiatry 69: 336–343. https://doi.org/10.1016/j.biopsych.2010.09.027
- Savitz JB, Bonne O, Nugent AC, Vythilingam M, Bogers W, Charney DS, Drevets WC (2011) Habenula volume in post-traumatic stress disorder measured with high-resolution MRI. Biol Mood Anxiety Disord 1: 7. https://doi.org/10.1186/2045-5380-1-7
- Park H, Rhee J, Park K, Han J-S, Malinow R, Chung C (2017) Exposure to Stressors Facilitates Long-Term Synaptic Potentiation in the Lateral Habenula. J Neurosci 37: 6021–6030. https://doi.org/10.1523/JNEUROSCI.2281-16.2017
- Day HLL, Stevenson CW (2020) The neurobiological basis of sex differences in learned fear and its inhibition. Eur J Neurosci 52: 2466–2486. https://doi.org/10.1111/ejn.14602
- Marek R, Xu L, Sullivan RKP, Sah P (2018) Excitatory connections between the prelimbic and infralimbic medial prefrontal cortex show a role for the prelimbic cortex in fear extinction. Nat Neurosci 21: 654–658. https://doi.org/10.1038/s41593-018-0137-x
- Lee FHF, Fadel MP, Preston-Maher K, Cordes SP, Clapcote SJ, Price DJ, Roder JC, Wong AHC (2011) Disc1 Point Mutations in Mice Affect Development of the Cerebral Cortex. J Neurosci 31: 3197–3206. https://doi.org/10.1523/JNEUROSCI.4219-10.2011
Arquivos suplementares




